Next Article in Journal
Methodology for Evaluating the Performance Data of Practical Honeycomb Fairing
Next Article in Special Issue
Design of an Autonomous, Sustainable Sharing Mobility Solution Aimed to Mobility-Disabled Individuals
Previous Article in Journal
Compromised Vibration Isolator of Electric Power Generator Considering Self-Excitation and Basement Input
Previous Article in Special Issue
Design Requirements for Personal Mobility Vehicle (PMV) with Inward Tilt Mechanism to Minimize Steering Disturbances Caused by Uneven Road Surface
 
 
Font Type:
Arial Georgia Verdana
Font Size:
Aa Aa Aa
Line Spacing:
Column Width:
Background:
Article

Intelligent Design of ZVS Single-Ended DC/AC Converter Based on Neural Network

1
Department of Power Electronics, Technical University of Sofia, 1000 Sofia, Bulgaria
2
Department of Mathematical Modeling and Numerical Methods, Technical University of Sofia, 1000 Sofia, Bulgaria
*
Author to whom correspondence should be addressed.
Inventions 2023, 8(1), 41; https://doi.org/10.3390/inventions8010041
Submission received: 17 December 2022 / Revised: 23 January 2023 / Accepted: 29 January 2023 / Published: 2 February 2023
(This article belongs to the Collection Feature Innovation Papers)

Abstract

This paper presents a model-based and neural network-based innovative design of single-ended transistor resonant DC/AC converters with zero voltage switching (ZVS). A characteristic of the proposed design method is that the determination of the circuit elements of the converter is performed with an automated procedure, as their values are determined by the output of a previously trained neural network. The use of the proposed method is justified in cases where there is no methodology for the design of the specific power electronic device, or such a methodology exists, but it is either too complex or based on a large number of assumptions. This is usually due to the increasing complexity of power circuits, their possible modes of operation, and the inevitable assumptions and limitations in the analyses and methodologies based on them. In this way, a natural combination of classic design methods and innovative processes is developed based on applied techniques for artificial intelligence.

1. Introduction

Power electronics is an interdisciplinary field that is focused on the development of power electronic devices and electrical energy conversion systems. In this aspect, improving the design of these devices is an important task that has a direct impact on the efficient use of electrical energy. Usually, the design of electronic converters ends with optimization based on a certain objective function. Over time, different design methods have been established—classical methods based on analysis and design methodologies and innovative methods based on the application of mathematical modeling and software products.
In classical methods, the final result depends significantly on the human factor, which makes them a function of the experience and preparation of the designers. Due to the wide variety and wide application of power electronic devices, alternative design methods based on the application of artificial intelligence techniques have recently been sought. This is due to the development of computational mathematics and numerical methods, and to the successful implementation of information and communication technologies in scientific research and commercial development.
Artificial intelligence (AI) is one of the most remarkable and dynamically developing research fields in the last few decades. The goal of AI is to design and create systems with intelligent functions similar to biological learning, reactions, and interactions. AI has tremendous adaptive advantages and has been successfully applied in numerous industrial fields, including 2D and 3D image classification, speech recognition, mobile autonomy, computer vision, and more.
Thanks to the rapid development of big data science, sensors and sensor networks, Internet of Things (IoT), and computing and cloud technologies, a wide variety of data exists for power electronic systems in different phases of their life cycle. The growing volume of data provides enormous opportunities and lays a solid foundation for the application of AI in power electronics. AI is able to use data to improve product competitiveness through global design optimization, intelligent control, performance evaluation, system aging prediction, and more. Due to the specific challenges and characteristics of electronic systems (for example, high tuning speed in control, high sensitivity in condition monitoring to detect aging, etc.) the implementation of AI in power electronics has its own characteristics that are different from other engineering fields.
In [1,2,3], methods are proposed for predicting the load of both single devices and power electronic systems in smart networks. In this way, an assessment was made of the range of parameter changes, as well as the possibilities of implementing relevant operating modes to cover energy needs. Artificial intelligence techniques have found widespread use in the synthesis of power electronic devices using a variety of applications [4,5,6,7,8,9]. In this aspect, various tools have been developed to support and assist with this process, with an aim to obtain robust control despite a wide change of both scheme parameters and disturbance effects. Another main direction for the application of artificial intelligence techniques in power electronics is assessing the reliability and improvement of the operation of power electronic devices and systems [10,11,12].
The main problems solved by the application of artificial intelligence are related to the modeling and simulation of various malfunctions, as well as to the prediction of accidents in individual devices and systems. A characteristic of this field of application is that we work with uncertainty and lack sufficient collected data on the operation of power devices and systems in different modes and working conditions. Artificial intelligence techniques make it possible to take into account aspects related to the operation and reliability of devices already at the initial stages of the overall design and prototyping processes. A natural development of these approaches is their implementation in systems for automated design of power electronic devices. A few specific cases of model-based design in various applications are presented in [13,14,15,16,17,18,19]. For this purpose, specialized expert systems have been developed and implemented [20].
On the other hand, one of the trends in the development of scientific research is the increasing use of neural networks and machine learning. For this purpose, various tools based on mathematical software have been developed. In [21,22,23,24,25], in-depth studies of the application of artificial intelligence techniques in the modeling, analysis, design, and operation of power electronic devices and systems are presented. It has been shown that the effectiveness of system autonomy and adaptability can be improved through the application of AI in the design and prototyping of power electronic devices and systems. In this way, devices with guaranteed indicators, self-learning, and self-adaptation capabilities useful for changing system input parameters, as well as tolerances of circuit elements and disturbances, have been realized.
AI applications for power electronics are categorized into the following aspects: modeling, design, control, and operation. AI methods typically include expert systems, fuzzy logic, heuristics and machine learning, deep learning with neural networks, and combined neural fuzzy systems.
In [26,27], the authors applied an approach for the design of DC-DC converters based on the use of neural networks. The aim of these studies was to prove the applicability of this new and innovative approach to the design of power electronic devices. The studies were carried out on basic schemes of DC-DC converters, such as Buck and Boost, because with them, the interpretation and verification of the obtained results are very quick. The main goal of formulating this design approach is to apply it to more complex power circuits, with more possible operating modes. In this way and in these cases, it would be possible to carry out a formalization, a mathematical description of the electromagnetic processes, and to apply an engineering methodology to automated design, accordingly.
The aim of the present work is, by applying techniques of artificial intelligence, such as neural networks, to realize a model-based design of a serial single-ended DC/AC converter with direct mode detection. In this way, the main advantages of artificial intelligence compared to classical methods will be demonstrated, such as: the greater degree of automation and, accordingly, the speed of execution of the design process; weak dependence on the human factor; and the ability of algorithms to extract regularities from data and to self-learn and self-improve on this basis.
The manuscript is organized as follows: the first chapter introduces the importance of issues related to the design and prototyping of DC/AC converters; in the second chapter, the essence of the innovative approach to the design of power electronic devices, based on the use of neural networks, is presented; in the third chapter, this approach is demonstrated through the implementation of a specific calculation method for the design of a single-ended series resonant DC/AC converter; and the fourth chapter describes the main findings and conclusions, as well as guidelines for the future application and development of scientific research.

2. Materials and Methods

Depending on the type of resonant circuit, the single-ended transistor resonant DC/AC converter has two circuit types—series and parallel [28]. The difference between them is in the way of connecting the resonant capacitor and, accordingly, in the conditions necessary to ensure operation in ZVS mode. In this manuscript, the design of the series resonant DC/AC converter will be discussed, and based on this, our innovative approach to the design of power electronic devices will be formulated and presented.

2.1. Principle of Operation of the Single-Ended Resonant DC/AC Converter

Figure 1 shows a diagram of a series single-ended resonant DC/AC converter. The scheme consists of a load with an active-inductive nature (L and R), transistor T, capacitor C, and reverse diode D, which is necessary in cases where the transistor does not have a built-in one.
The determination of the basic ratios in the power circuit is made under the assumption of ideality of all building elements, and it is also assumed that the DC power source has zero internal resistance.
The action of the DC/AC converter is explained by the time diagrams of Figure 2. The operation of the power circuit, depending on whether the transistor reverse diode structure conducts or not, may be divided into two stages.
1-First stage: this is the interval that begins when a control pulse is applied to the transistor T. Initially, the reverse diode D turns on because the current through the inductance is in the reverse direction and the load circuit closes through it (for the interval from 0 to tD, as shown in Figure 2). After the change in the direction of the current, the transistor T begins to conduct (for the interval from tD to ti). A characteristic of this stage is that for the entire interval, an increasing current with a shape close to linear flows through the LR load, and the capacitor C has a voltage close to 0 (the voltage drop of the unblocked reverse diode D and transistor T).
The second stage (from ti to t2): it begins at the moment when the transistor T turns off. If resonance conditions are met in the series RLC circuit (and this is necessary for the normal operation of the power circuit), a sinusoidal current with a non-zero initial value I0 begins to flow through the load (according to Figure 2). This initial value of current through the load is the value reached when the first stage of operation of the circuit has ended. Due to the presence of resonant processes, resonant capacitor C is charged according to an oscillatory law to a voltage higher than the voltage of the DC power source. After that, a discharge process begins in the circuit, and when the voltage on the capacitor C reaches the value of the input voltage Ud, the current through the inductance has a value close to the maximum, although with the opposite sign. Thus, the energy stored in inductance L causes the further discharge of resonant capacitor C. When the capacitor voltage becomes equal to zero and tends to go negative, the reverse diode is turned on, which ends this interval of circuit operation, and the next period begins.
To achieve safe and reliable operation of the circuit and of the transistor with zero voltage switching (ZVS), at the moment of resetting the capacitor voltage (turning on the reverse diode D), it is necessary to provide control of transistor T. It will turn on when the current through the load reverses its direction and becomes equal to zero. When the transistor is turned on again, one period of circuit operation ends.
Considering the operation of the DC/AC converter, it is clear that it always works with zero initial conditions of the reactive elements (load current and capacitor voltage), which gives us precisely the reason to claim that the circuit works directly in an established mode. The adjustment of the output voltage and power in the scheme is carried out by changing the magnitude of the current at which the transistor T—I0 is turned off.

2.2. Modeling of Operation of the Single-Ended Resonant DC/AC Converter

In the studied circuit, the state variables are i (the current through the inductance) and u (the voltage on the resonant capacitor). Normal operation of the circuit in soft-switching (ZVS) mode requires that the transistor be driven when the following conditions are simultaneously met for the current i: i increases and iI0.
Using Kirchhoff’s laws, the following mathematical model is obtained. It describes the electromagnetic processes in the converter:
L d i d t = R i u C + U d C d u d t = i . c o n t r o l ( t )
where the switching function control defines the two states of the power circuit according to the two stages of its operation:
c o n t r o l ( t ) = 1 , f o r { i increases   and   i I 0 } 0 , f o r otherwise
From a modeling perspective, the DC/AC converter is a partially linear system. It operates in an arbitrary number of steps, solving the resulting system of ordinary differential equations at each step. The forms of the state variables are learned such that for each step, the initial conditions are the values of the state variables at the end of the previous step, i.e., the system is solved by the stitching method (stich method).
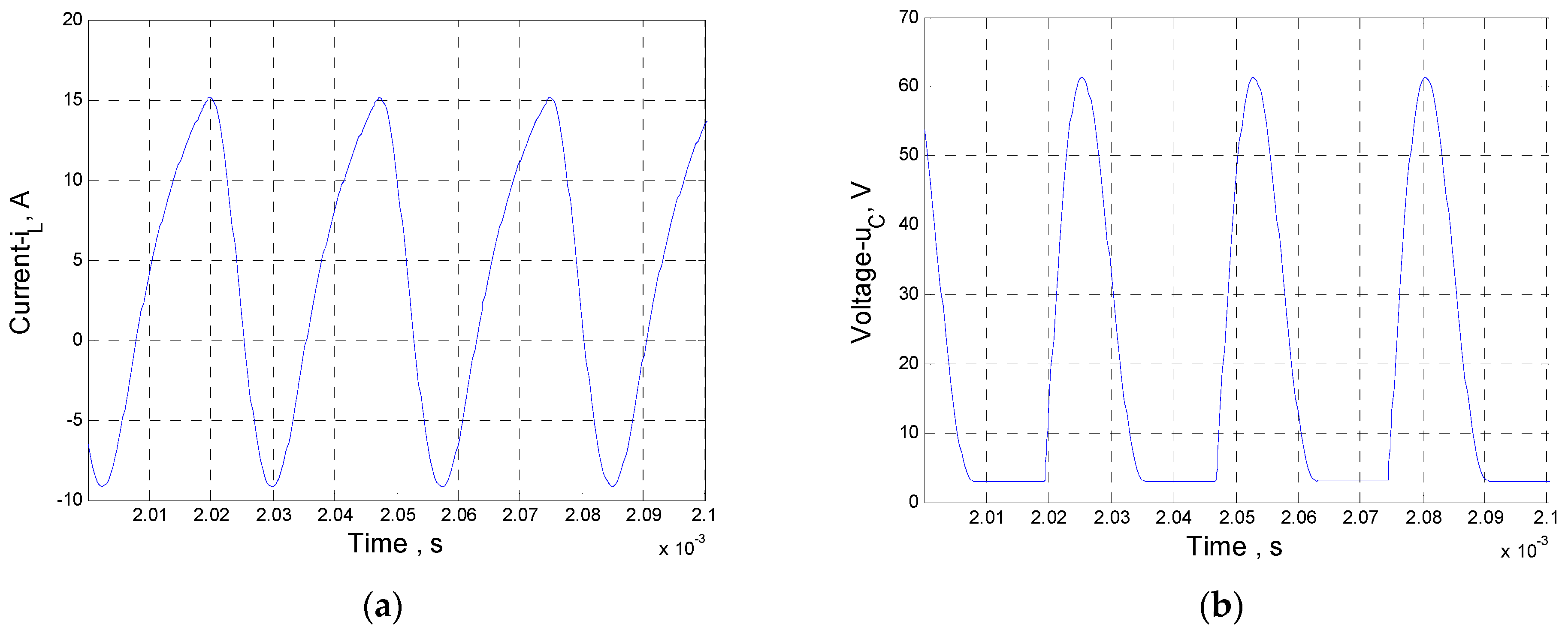
The model thus defined was implemented in Matlab after substitution with the following values of circuit parameters: input voltage Ud = 25 V, active resistance R = 1 Ω, capacitance C = 10 μF, and inductance L = 1 μH. The value of the current I0 was chosen to be 15A. Figure 3 shows the obtained time diagrams of the current through the inductance and of the voltage on the capacitor. These circuit parameter values were obtained using the design methodology presented in [28].

3. Results

In this section, the step-by-step design of a series single-transistor DC/AC converter with neural network will be presented in detail. The main tool for the creation and implementation of this procedure was the mathematical software Matlab. A strong argument for its use is that it is well-known to most engineers and designers and it is studied in most leading technical universities. In addition, it has a very large set of standard and advanced mathematical functions, which allows a significant volume of tasks and problems to be solved by people without a specific education in mathematics.

3.1. Formulation of the Task

For the design of the single-ended DC/AC converter, the forward neural network (NN) feed was used. In this aspect, for the successful application of the method, it was necessary to reduce the task to a static one. When changing some of the circuit parameters (R, L and C), the operating mode changes, and the dynamics of the behavior of the state variables i and u change accordingly over time. Based on the time diagrams of the current through the inductance i and the voltage across the resonant capacitor u (Figure 3), which had already been obtained through the model, we selected values suitable for defining the output of the neural network intended for design. These are, respectively, the mean values and maximum deviations of the state variables i and u, that is:
i a v e r = k = 1 n i k / n ,   Δ i = max ( i k ) min ( i k )
u a v e r = k = 1 n u k / n ,   Δ u = max ( u k ) min ( u k )
Of course, in order to eliminate the random fluctuations of the considered quantities, these four average values defined in this way were calculated sometimes after the start of the numerical experiments (to eliminate the transient process). In this case, the interval chosen was t [ 2.10 3 , 5.10 3 ] .
Choosing iaver, Δi, uaver and Δu as the input for the network allowed us to change some of the values of the circuit elements R, L, and C, as well as the values of iaver, Δi, uaver and Δu. Thus, the considered design task was reduced to a static one. This is what allowed the use of the forward NN for the automated design of the DC/AC converter. To visualize the design process, we called this network the inverse neural network model of the converter. If the design task had not been reduced to a static one, it would have required the use of recurrent neural networks in the role of an inverse neural network model. This would have significantly complicated the task, as it is not known whether it is possible to realize the modeling of the desired process with a recurrent neural network. On the other hand, the static task risked that the neural model would turn out to be inadequate for our applications (too simplistic). The results presented below show that, fortunately, this was not the case.

3.2. Preparing the Data for Training the Neural Network

The neural network training data were automatically generated with specially designed MATLAB source code, which was based on the mathematical model (1–2) and formulas (3) and (4). For the mathematical model, respectively, the input data were R, L and C, and the output data were iaver, Δi, uaver and Δu, as shown in Figure 4.
In order to begin the input/output/model data generation process, we needed to determine the ranges of variation of R, L, and C. For the circuit in Figure 1 to work correctly, the parameters R, L and C must be selected such that:
-
First, the condition for the resonance of the series circuit is satisfied: R < 2 L C ;
-
Secondly, within a pseudo-period, the voltage on the capacitor u becomes negative and as a result, current flows through the reverse diode for some time.
In this aspect, some suitable ranges for changing R, L, and C, at which the above two conditions are met and which are close to the originally selected values of R = 1 Ω, C = 10 μF, and L = 1 μH, are as follows:
R [ 0.2 ; 1 ]   Ω ,   L [ 10 ; 18 ]   μ H   and   C [ 0.6 ; 1.4 ]   μ F
On the other hand, it is quite possible to generate input/output data for the model (straight mesh) by supplying random values for the parameters R, L, and C that fall within the specified limits. Due to the simpler program implementation, the associated improved speed, and the correspondingly lower requirements for the computing equipment, another approach was chosen here, where R, L and C were changed with a constant step, ΔR = 0.2 Ω, ΔL = 2 μH and ΔC = 0.2 μF and were combined with each value of the other two parameters (three nested cycles). Thus, the R, L, and C data shown in Figure 5 were initially generated.
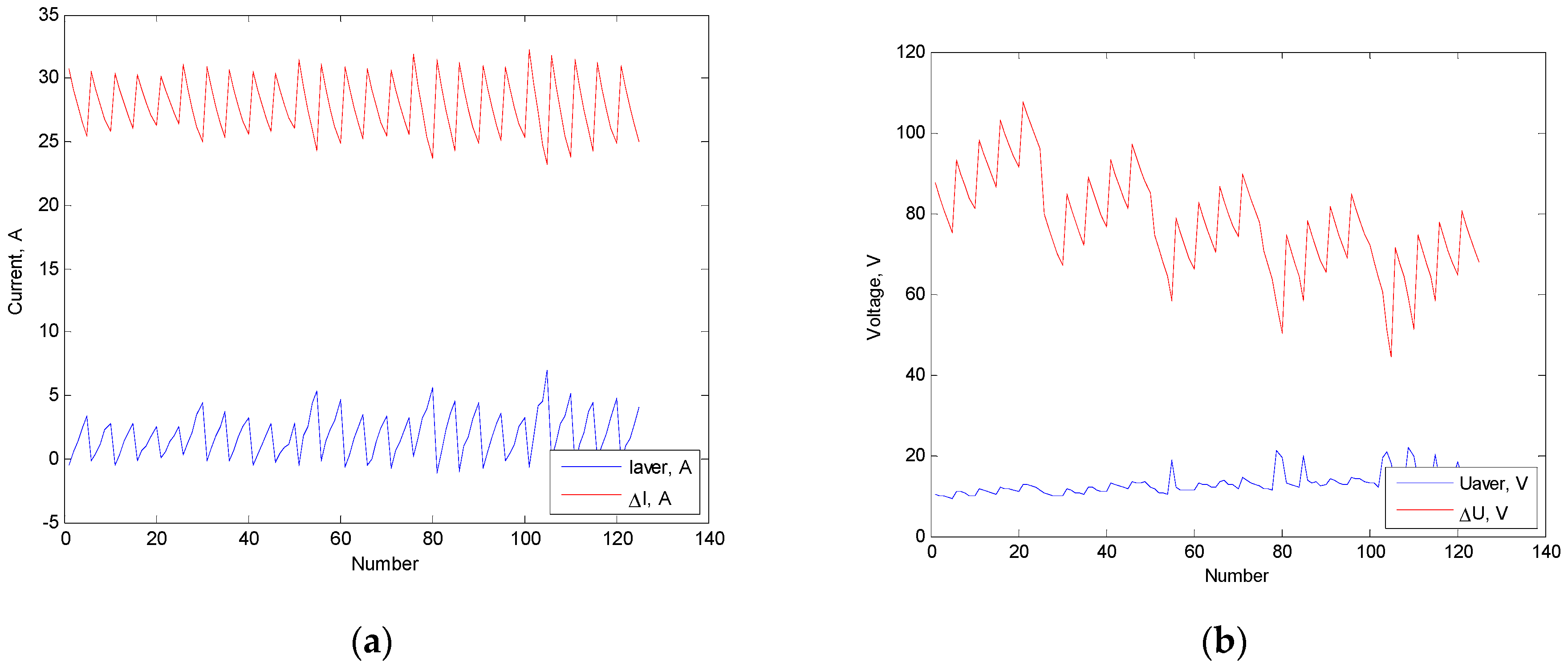
Then, using the mathematical model (from Figure 4), their corresponding data (iaver, Δi, uaver and Δu) were calculated. The result of this calculation with the model is shown in Figure 6.
For a further solution to the design task, an NN-inverse model was created. At the time of input, the quantities iaver, Δi, uaver and Δu have averaged values, and at the output, the values of the circuit elements R, L and C are determined. Schematically, this model is shown in Figure 7. To train this network (the inverse network), we needed a large amount of diverse input and output data. With the data generated by the previous step of the automated design, the NN—inverse model was trained (shown in Figure 7).
Since neural networks are elements performing parallel calculations, the output values (the values of the elements of the single-ended DC/AC converter) are calculated all at once.
We chose a feed-forward neural network, the structure of which is shown in Figure 8. This network has one hidden layer and one output layer. We used “sigmoidal” activation function in the hidden layers, and the output layers are linear. It is well-known fact that a neural network with such a structure is a good approximator.
In the NN structure shown in Figure 8, only the number of neurons (n) in the first (hidden) layer is not specified. The number of these neurons determines the power of the network. The number (n) should be selected such that some of the unwanted cases (overlapping or underlapping) do not occur. In the process of training the network, a suitable value for the number was found to be n = 60. More details about the parameters and setup of the chosen neural network are given in Appendix A at the end of the manuscript.
Before starting the training of the NN-inverse model, we needed to rescale the data for the reference output t = ( C , L , R ) T . This was necessary because the values for R are several units, and the values for L and C are micro-H or -F. For this purpose, we multiplied C, L and R by 1 × 106, 1 × 105, and 1, respectively. The values for C, L and R are plotted precisely at this normalized scale in Figure 5.
The training of the neural network was based on the batch training method. Briefly, the method is as follows: Let the input vectors be the columns of the X matrix and the outputs be the columns of the Y matrix. For the selected neural network structure, we have:
Y = V sigmoidal ( W X + B ) + D
where the matrices W and B are the network weights in the first layer and the matrices V and D are the weights of the network in the second layer.
The mean squared error is, accordingly:
S ( W , B ,   V , D ) = 1 2 k | | t ( k ) y ( k ) | | 2
where k represents the time reports, t ( k ) represents the reference network outputs, and y ( k ) represents the realized outputs.
To complete the procedure, an optimization problem of the type is solved numerically:
min ( W , B , V , D ) S ( W , B , V , D )
By default, the solution is by the Levenberg–Marquardt method. When solving problems of this type, the optimization procedure is considered complete when a certain minimum value of the objective function is reached or when a certain number of iterations are realized. Usually, an unattainably small value is chosen for the objective function, and in most practical cases, the optimization procedure terminates according to the “chosen maximum number of iterations” criterion. In the example shown, the iterations (called epochs in MATLAB) are set to 1000 by default.
We trained the neural networks in max1000 epochs (iteration), and mean squared errors, which are allowed in the training, are shown in Figure 9.
After the NN was already trained, the values for C, L, and R obtained by the neural network were compared with the values for C, L, and R that were used to generate iaver, Δi, uaver, and Δu from the mathematical model. Then, iaver, Δi, uaver and Δu were fed as input to the neural network. In general, if the network is well-selected and well-trained, a good match between the C, L and R values given as input to the mathematical model and obtained as output of the neural network should be expected. The results given in Figure 10 show that such a match was achieved.

3.3. Single-Ended DC/AC Converter Design Example

We verified the effectiveness of the design procedure using a specific example. For this purpose, we chose the following values for the inputs of the neural network:
Δu = 85 V, Δi = 27 A, uaver = 15 V and iaver = 2 A.
Using the neural network, the converter was designed and we obtained the following values for the circuit elements:
C = 0.5132 μF, L = 1.0781 μH and R = 0.7619 Ω.
With the obtained values for C, L and R, we performed computer simulations using the mathematical model of the DC/AC converter. The simulation results are shown in Figure 11.
For the data shown in Figure 11, the values of iaver, Δi, uaver and Δu were calculated. The calculation was performed with formulas (3) and (4). Of course, only the values of the state variables i and u in the established mode were used, as shown in Figure 11. The results were as follows:
Δu = 86.0230 V, Δi = 27.0437 A, uaver = 13.5835, and iaver = 1.8292 A.
We compared the obtained values of iaver, Δi, uaver and Δu with the values that were chosen for the input of the neural network at the beginning of this section. We found that they were extremely close (the difference was less than 5%). A certain (not large) deviation was observed only for the value of uaver. However, this was most likely due to the fact that the values of iaver, Δi, uaver and Δu are mutually dependent and cannot be set arbitrarily (at the beginning, this was not taken into account when setting the values of the design parameters). These values were chosen according to the subjective desire of the designer. However, as a result of the analysis of the obtained results, it should be noted that an arbitrary combination between them cannot be achieved. Based on this, it should be concluded that the design of the DC/AC converter was successful and the set goal of applying neural networks for the automated design of power electronic devices was fully achieved.

4. Discussion and Conclusions

The paper presents a model-based and neural network-based innovative design of a single-ended transistor series resonant DC/AC converter with zero voltage switching (ZVS).
The applicability of this approach was proven through a specific computational example, and a satisfactory accuracy of 5% was achieved in the design, which is fully relevant to the requirements of the design of power electronic devices. By using mathematical modeling and implementing modern information and communication technologies, the design of the power circuit was automated. In this way, the dependence of the qualities of the designed device on the human factor was significantly reduced, thus formalizing and speeding up the process. The obtained results of the proposed method have an accuracy that is comparable to that obtained by classical design methods. The proposed method is indispensable for use in cases where there is no established methodology for the design of a given power electronic device, or where the calculation procedure is too complicated, without a clear physical interpretation, and/or based on different assumptions. The proposed innovative method does not negate classical design methods, but complements and develops them by applying artificial intelligence techniques. A natural extension of the research would be to perform an optimization procedure to further determine the values of the circuit elements using different objective functions. In this sense, it would be very useful to develop an interactive graphical user interface that would facilitate the use of the method by users who do not have specific knowledge of computer modeling and mathematical software. On the other hand, a disadvantage of the proposed design approach is the need to train the network. This could be compensated for by creating a database of designed devices, with subsequent additions and expansion occurring with each new implemented project.
It should be noted that in order to be effective, the method used must go through a process of normalization of the data, and it would be even more precise if the corresponding normalization were performed by the neural network itself, and not by the scientist or the user who created and uses it. On the other hand, the proposed approach is useful for the purposes of power electronics education because it enables the design of power electronic devices to be carried out even by those who do not have sufficient experience in or deep knowledge of this interdisciplinary field.

Author Contributions

N.H. and B.G. were involved in the full process of producing this paper, including conceptualization, methodology, modeling, validation, visualization, and preparing the manuscript. All authors have read and agreed to the published version of the manuscript.

Funding

This research was funded by the Bulgarian National Scientific Fund, grant number КП-06-Н57/7/16.11.2021, and the APC was funded by КП-06-Н57/7/16.11.2021.

Institutional Review Board Statement

Not applicable.

Informed Consent Statement

Not applicable.

Data Availability Statement

Not applicable.

Acknowledgments

This research was carried out within the framework of the projects: “Artificial Intelligence-Based modeling, design, control, and operation of power electronic devices and systems”, KП-06-H57/7/16.11.2021, Bulgarian National Scientific Fund.

Conflicts of Interest

The authors declare no conflict of interest.

Appendix A

The appendix explains how to define the main parameters and settings of the neural network used in the manuscript.
The “feed forward” net, named net, was created with the following command:
net=newff(minmax(z),[60,3],{‘logsig’,‘purelin’});
In this command:
(a)
minmax(z) is a standard command that finds the minimum and maximum values of each of the inputs, and this data is then used to initialize the weights of the two layers W , B , V , D ;
(b)
[60,3] shows that the network has two layers. The first (input) consists of 60 neurons (the number of neurons in this layer is not fixed in advance; this number determines the power of the network, and in the process of experimentation, a value of 60 neurons was selected) and the second (output) consists of 3 neurons (the number of neurons in the last layer is equal to the number of outputs, so there can only be 3 neurons here);
(c)
{‘logsig’,‘purelin’}… show that the activation functions of the first and second layers are, respectively, logsig and purelin (subpoint “b” and “c” also determine the structure of the network shown in Figure 8).
The newff macro command generates, in the MATLAB Workspace, a net structure with the following fields, which contain the basic parameters of the neural network:
net =
  
Neural Network
  
name: ‘Custom Neural Network’
efficiency: .cacheDelayedInputs, .flattenTime,
.memoryReduction
userdata: (your custom info)
  
dimensions:
  
numInputs: 1
numLayers: 2
numOutputs: 1
numInputDelays: 0
numLayerDelays: 0
numFeedbackDelays: 0
numWeightElements: 483
sampleTime: 1
  
connections:
  
biasConnect: [1; 1]
inputConnect: [1; 0]
layerConnect: [0 0; 1 0]
outputConnect: [0 1]
  
subobjects:
  
inputs: {1×1 cell array of 1 input}
layers: {2×1 cell array of 2 layers}
outputs: {1×2 cell array of 1 output}
biases: {2×1 cell array of 2 biases}
inputWeights: {2×1 cell array of 1 weight}
layerWeights: {2×2 cell array of 1 weight}
  
functions:
  
adaptFcn: ‘adaptwb’
adaptParam: (none)
derivFcn: ‘defaultderiv’
divideFcn: (none)
divideParam: (none)
divideMode: ‘sample’
initFcn: ‘initlay’
performFcn: ‘mse’
performParam: .regularization, .normalization, .squaredWeighting
plotFcns: {‘plotperform’, plottrainstate,
plotregression}
plotParams: {1×3 cell array of 3 params}
trainFcn: ‘trainlm’
trainParam: .showWindow, .showCommandLine, .show, .epochs,
.time, .goal, .min_grad, .max_fail, .mu, .mu_dec,
.mu_inc, .mu_max
  
weight and bias values:
  
IW: {2×1 cell} containing 1 input weight matrix
LW: {2×2 cell} containing 1 layer weight matrix
b: {2×1 cell} containing 2 bias vectors
  
methods:
  
adapt: Learn while in continuous use
configure: Configure inputs and outputs
gensim: Generate Simulink model
init: Initialize weights and biases
perform: Calculate performance
sim: Evaluate network outputs given inputs
train: Train network with examples
view: View diagram
unconfigure: Unconfigure inputs and outputs

References

  1. Li, Y.; Qian, K.; Liu, Y.; Xie, Y. Design of short term prediction system for interactive potential of power users based on artificial intelligence. In Proceedings of the 2021 IEEE International Conference on Computer Science, Electronic Information Engineering and Intelligent Control Technology (CEI), Fuzhou, China, 24–26 September 2021; pp. 54–58. [Google Scholar] [CrossRef]
  2. Bhavesh, M.D.; Anilkumar, N.A.; Patel, M.I.; Gajjar, R.; Panchal, D. Power Consumption Prediction of Digital Circuits using Machine Learning. In Proceedings of the 2022 2nd International Conference on Artificial Intelligence and Signal Processing (AISP), Vijayawada, India, 12–14 February 2022; pp. 1–6. [Google Scholar] [CrossRef]
  3. Moradzadeh, A.; Moayyed, H.; Zakeri, S.; Mohammadi-Ivatloo, B.; Aguiar, A. Deep Learning-Assisted Short-Term Load Forecasting for Sustainable Management of Energy in Microgrid. Inventions 2021, 6, 15. [Google Scholar] [CrossRef]
  4. Xu, Q.; Dragicevic, T.; Xie, L.; Blaabjerg, F. Artificial Intelligence-Based Control Design for Reliable Virtual Synchronous Generators. IEEE Trans. Power Electron. 2021, 36, 9453–9464. [Google Scholar] [CrossRef]
  5. Sahoo, S.; Wang, H.; Blaabjerg, F. On the Explainability of Black Box Data-Driven Controllers for Power Electronic Converters. In Proceedings of the 2021 IEEE Energy Conversion Congress and Exposition (ECCE), Singapore, 24–27 May 2021; pp. 1366–1372. [Google Scholar] [CrossRef]
  6. Sahbani, A. NARMA-L2 Neuro controller for speed regulation of an intelligent vehicle based on image processing techniques. In Proceedings of the 2018 21st Saudi Computer Society National Computer Conference (NCC), Riyadh, Saudi Arabia, 25–26 April 2018; pp. 1–6. [Google Scholar] [CrossRef]
  7. Gao, Y.; Wang, S.; Hussaini, H.; Yang, T.; Dragicevic, T.; Bozhko, S.; Wheeler, P.; Vazquez, S. Inverse Application of Artificial Intelligence for the Control of Power Converters. IEEE Trans. Power Electron. 2022, 38, 1535–1548. [Google Scholar] [CrossRef]
  8. Meng, X.; Jia, Y.; Xu, Q.; Ren, C.; Han, X.; Wang, P. A Novel Intelligent Nonlinear Controller for Dual Active Bridge Converter with Constant Power Loads. IEEE Trans. Ind. Electron. 2022, 70, 2887–2896. [Google Scholar] [CrossRef]
  9. Susmitha, P.; Parventhan, K.; Umamaheswari, S. Artificial Neural Network Control for Solar—Wind Based Micro Grid. In Proceedings of the 2022 IEEE 2nd Mysore Sub Section International Conference (MysuruCon), Mysuru, India, 16–17 October 2022; pp. 1–6. [Google Scholar] [CrossRef]
  10. Dragicevic, T.; Wheeler, P.; Blaabjerg, F. Artificial Intelligence Aided Automated Design for Reliability of Power Electronic Systems. IEEE Trans. Power Electron. 2018, 34, 7161–7171. [Google Scholar] [CrossRef]
  11. Sumiti; Shrivastava, V. Condition Monitoring of Power Electronic Devices-A Review. In Proceedings of the 2022 2nd International Conference on Advance Computing and Innovative Technologies in Engineering (ICACITE), Greater Noida, India, 28–29 April 2022; pp. 749–753. [Google Scholar] [CrossRef]
  12. Beattie, A.; Mulink, P.; Sahoo, S.; Christou, I.T.; Kalalas, C.; Gutierrez-Rojas, D.; Nardelli, P.H.J. A Robust and Explainable Data-Driven Anomaly Detection Approach for Power Electronics. In Proceedings of the 2022 IEEE International Conference on Communications, Control, and Computing Technologies for Smart Grids (SmartGridComm), Singapore, 25–28 October 2022; pp. 296–301. [Google Scholar] [CrossRef]
  13. Wang, C.; Xiao, Y.; Zsurzsan, G.; Zhang, Z. Artificial Intelligence Assisted Parametric Design by Splitting Inductance in Dual Active Bridge Converter. In Proceedings of the 2021 IEEE 12th Energy Conversion Congress & Exposition-Asia (ECCE-Asia), Singapore, 24–27 May 2021; pp. 554–561. [Google Scholar] [CrossRef]
  14. Wu, C.W.; Wu, A.C.; Strom, J. DeepTune: Robust Global Optimization of Electronic Circuit Design via Neuro-Symbolic Optimization. In Proceedings of the 2021 IEEE International Symposium on Circuits and Systems (ISCAS), Daegu, Republic of Korea, 22–28 May 2021; pp. 1–5. [Google Scholar] [CrossRef]
  15. Beerel, P.A.; Pedram, M. Opportunities for Machine Learning in Electronic Design Automation. In Proceedings of the 2018 IEEE International Symposium on Circuits and Systems (ISCAS), Florence, Italy, 27–30 May 2018; pp. 1–5. [Google Scholar] [CrossRef]
  16. Huang, G.; Hu, J.; He, Y.; Liu, J.; Ma, M.; Shen, Z.; Wu, J.; Xu, Y.; Zhang, H.; Zhong, K.; et al. Machine Learning for Electronic Design Automation: A Survey. ACM Trans. Des. Autom. Electron. Syst. 2021, 26, 1–46. [Google Scholar] [CrossRef]
  17. Fan, S.; Cao, N.; Zhang, S.; Li, J.; Guo, X.; Zhang, X. From Specification to Topology: Automatic Power Converter Design via Reinforcement Learning. In Proceedings of the 2021 IEEE/ACM International Conference On Computer Aided Design (ICCAD), Munich, Germany, 1–4 November 2021; pp. 1–9. [Google Scholar] [CrossRef]
  18. Li, X.; Zhang, X.; Lin, F.; Blaabjerg, F. Artificial-Intelligence-Based Design for Circuit Parameters of Power Converters. IEEE Trans. Ind. Electron. 2021, 69, 11144–11155. [Google Scholar] [CrossRef]
  19. Zhao, B.; Zhang, X.; Huang, J. AI Algorithm-Based Two-Stage Optimal Design Methodology of High-Efficiency CLLC Resonant Converters for the Hybrid AC–DC Microgrid Applications. IEEE Trans. Ind. Electron. 2019, 66, 9756–9767. [Google Scholar] [CrossRef]
  20. Li, W.; Ying, J. Design and analysis artificial intelligence (AI) research for power supply power electronics expert system (PEES). In Proceedings of the 2008 Twenty-Third Annual IEEE Applied Power Electronics Conference and Exposition, Austin, TX, USA, 24–28 February 2008; pp. 2009–2015. [Google Scholar] [CrossRef]
  21. Karanayil, B.; Rahman, M.F. Artificial neural network applications in power electronics and electric drives. In Power Electronics Handbook, 4th ed.; Elsevier: Amsterdam, The Netherlands, 2018; pp. 1245–1260. [Google Scholar]
  22. Zhao, S.; Blaabjerg, F.; Wang, H. An Overview of Artificial Intelligence Applications for Power Electronics. IEEE Trans. Power Electron. 2020, 36, 4633–4658. [Google Scholar] [CrossRef]
  23. Mohammadi, E.; Alizadeh, M.; Asgarimoghaddam, M.; Wang, X.; Simoes, M.G. A Review on Application of Artificial Intelligence Techniques in Microgrids. IEEE J. Emerg. Sel. Top. Ind. Electron. 2022, 3, 878–890. [Google Scholar] [CrossRef]
  24. Bose, B.K. Artificial Intelligence Techniques: How Can it Solve Problems in Power Electronics?: An Advancing Frontier. IEEE Power Electron. Mag. 2020, 7, 19–27. [Google Scholar] [CrossRef]
  25. Qashqai, P.; Vahedi, H.; Al-Haddad, K. Applications of artifical intelligence in power electronics. In Proceedings of the 2019 IEEE 28th International Symposium on Industrial Electronics (ISIE), Vancouver, BC, Canada, 12–14 June 2019; pp. 764–769. [Google Scholar] [CrossRef]
  26. Hinov, N.; Gilev, B.; Popov, S. Modeling and Design of a Buck DC-DC Converter with Feed Forward Neural Networks. In Proceedings of the 2021 IV International Conference on High Technology for Sustainable Development (HiTech), Sofia, Bulgaria, 7–8 October 2021; pp. 1–4. [Google Scholar] [CrossRef]
  27. Hinov, N.L.; Gocheva, P.V.; Gochev, V.P.; Gilev, B. Modeling and design of a boost converter with neural networks. Proc. 45TH Int. Conf. Appl. Math. Eng. Econ. (AMEE’19) 2019, 2172, 110009. [Google Scholar] [CrossRef]
  28. Kraev, G.; Hinov, N.; Okoliyski, L. Analysis and Design of Serial ZVS Resonant Inverter; Annual Journal of Electronics, Volume 5, BOOK 1; Technical University of Sofia, Faculty of Electronic Engineering and Technologies: Sozopol, Bulgaria, 2011; pp. 169–172. ISSN 1313-1842. [Google Scholar]
Figure 1. Single-ended series resonant DC/AC converter.
Figure 1. Single-ended series resonant DC/AC converter.
Inventions 08 00041 g001
Figure 2. Timing diagrams describing the operation of a series resonant inverter. From top to bottom: control pulses, load current, and voltage on the capacitor and the transistor (on the reverse diode).
Figure 2. Timing diagrams describing the operation of a series resonant inverter. From top to bottom: control pulses, load current, and voltage on the capacitor and the transistor (on the reverse diode).
Inventions 08 00041 g002
Figure 3. Timing diagrams of the DC/AC converter state variables: (a) current through the inductance; (b) voltage across the capacitor.
Figure 3. Timing diagrams of the DC/AC converter state variables: (a) current through the inductance; (b) voltage across the capacitor.
Inventions 08 00041 g003
Figure 4. Input and output data of the mathematical model of the single-ended DC/AC converter.
Figure 4. Input and output data of the mathematical model of the single-ended DC/AC converter.
Inventions 08 00041 g004
Figure 5. Generated data for R, L and C parameter values.
Figure 5. Generated data for R, L and C parameter values.
Inventions 08 00041 g005
Figure 6. Output data for state variables: (a) current through the inductance L- iaver and Δi; (b) voltage across the capacitor C- uaver and Δu.
Figure 6. Output data for state variables: (a) current through the inductance L- iaver and Δi; (b) voltage across the capacitor C- uaver and Δu.
Inventions 08 00041 g006
Figure 7. Inputs and outputs of neural networks.
Figure 7. Inputs and outputs of neural networks.
Inventions 08 00041 g007
Figure 8. Structure of NN inverse model.
Figure 8. Structure of NN inverse model.
Inventions 08 00041 g008
Figure 9. Mean squared error of NN training.
Figure 9. Mean squared error of NN training.
Inventions 08 00041 g009
Figure 10. Targets (line) and neural network (stars) outputs.
Figure 10. Targets (line) and neural network (stars) outputs.
Inventions 08 00041 g010
Figure 11. State variable results of the neural network-designed DC/AC converter: (a) current form through the inductance with parameters iaver and Δi; (b) voltage across the capacitor with parameters uaver and Δu.
Figure 11. State variable results of the neural network-designed DC/AC converter: (a) current form through the inductance with parameters iaver and Δi; (b) voltage across the capacitor with parameters uaver and Δu.
Inventions 08 00041 g011
Disclaimer/Publisher’s Note: The statements, opinions and data contained in all publications are solely those of the individual author(s) and contributor(s) and not of MDPI and/or the editor(s). MDPI and/or the editor(s) disclaim responsibility for any injury to people or property resulting from any ideas, methods, instructions or products referred to in the content.

Share and Cite

MDPI and ACS Style

Hinov, N.; Gilev, B. Intelligent Design of ZVS Single-Ended DC/AC Converter Based on Neural Network. Inventions 2023, 8, 41. https://doi.org/10.3390/inventions8010041

AMA Style

Hinov N, Gilev B. Intelligent Design of ZVS Single-Ended DC/AC Converter Based on Neural Network. Inventions. 2023; 8(1):41. https://doi.org/10.3390/inventions8010041

Chicago/Turabian Style

Hinov, Nikolay, and Bogdan Gilev. 2023. "Intelligent Design of ZVS Single-Ended DC/AC Converter Based on Neural Network" Inventions 8, no. 1: 41. https://doi.org/10.3390/inventions8010041

APA Style

Hinov, N., & Gilev, B. (2023). Intelligent Design of ZVS Single-Ended DC/AC Converter Based on Neural Network. Inventions, 8(1), 41. https://doi.org/10.3390/inventions8010041

Article Metrics

Back to TopTop