Secondary Beams at High-Intensity Electron Accelerator Facilities
Abstract
1. Introduction
2. The Thomas Jefferson National Accelerator Facility
3. The Simulation Framework
3.1. FLUKA
3.2. GEANT4
4. Secondary Muon Beams
- Photo-production of ’s and K’s, which subsequently decay into muons;
- Direct pair production.
4.1. 11 GeV Electron Beam
4.2. 22 GeV Electron Beam
5. Secondary Neutrino Beams
- , Eν ∼ 29.8 MeV, almost monochromatic;
- , Eν in the range 0–52.8 MeV;
- , Eν ∼ 236 MeV, almost monochromatic.
5.1. 11 GeV Electron Beam
5.2. 22 GeV Electron Beam
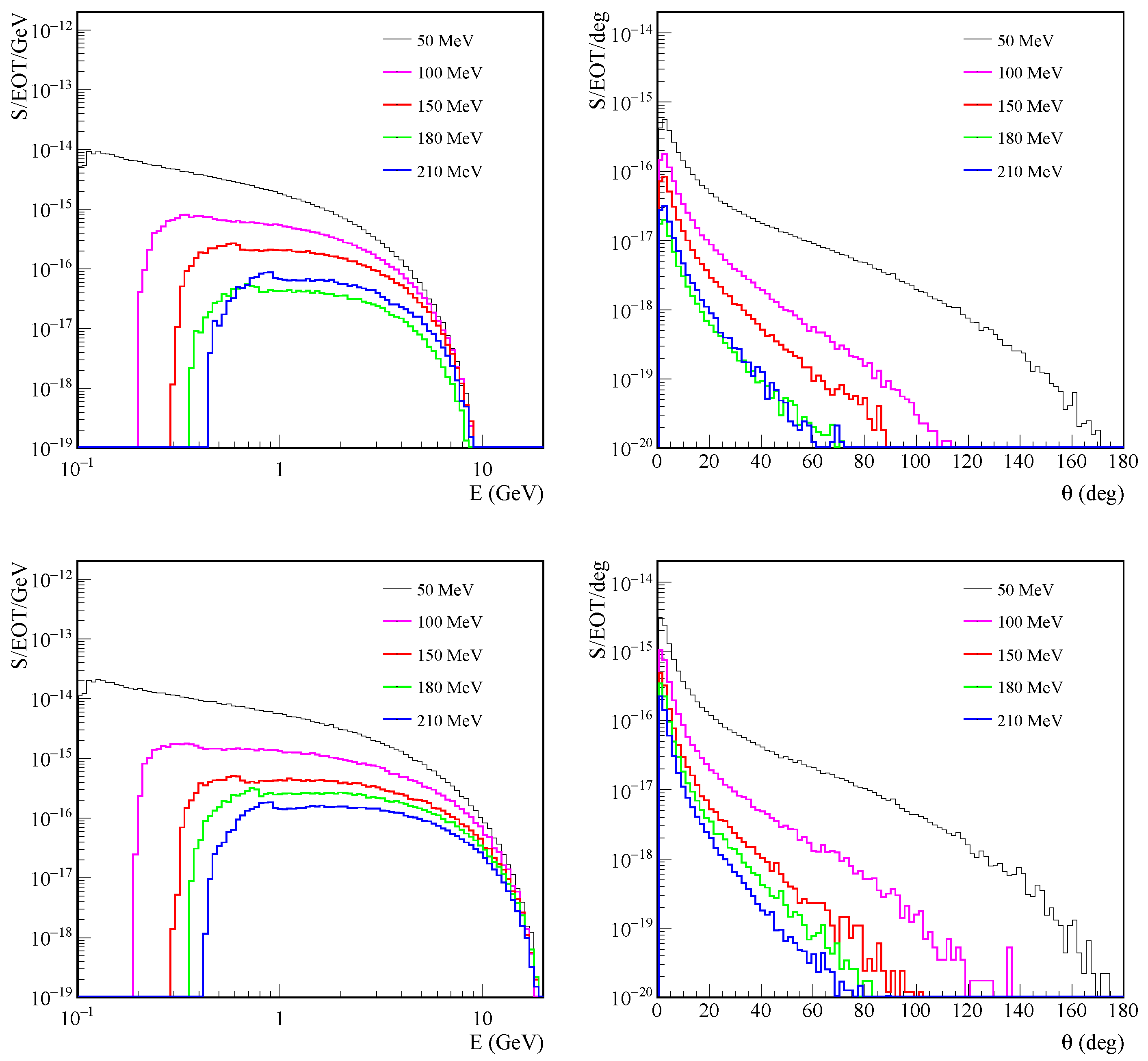
6. Dark Matter Beams
6.1. 11 GeV Electron Beam
6.2. 22 GeV Electron Beam
6.3. Discovery Potential of sBDX-MINI Experiment
7. Conclusions and Outlooks
Author Contributions
Funding
Data Availability Statement
Acknowledgments
Conflicts of Interest
References
- Battaglieri, M.; Belloni, A.; Chou, A.; Cushman, P.; Echenard, B.; Essig, R.; Estrada, J.; Feng, J.L.; Flaugher, B.; Fox, P.J.; et al. US Cosmic Visions: New Ideas in Dark Matter 2017: Community Report. In Proceedings of the U.S. Cosmic Visions: New Ideas in Dark Matter, College Park, MD, USA, 23–25 March 2017; p. 7. [Google Scholar] [CrossRef]
- Sakaki, Y.; Michizono, S.; Terunuma, N.; Sanami, T. The potential of the ILC beam dump for high-intensity and large-area irradiation field with atmospheric-like neutrons and muons. Nucl. Instrum. Methods Phys. Res. Sect. Accel. Spectrom. Detect. Assoc. Equip. 2023, 1050, 168144. [Google Scholar] [CrossRef]
- Accardi, A.; Achenbach, P.; Adhikari, D.; Afanasev, A.; Akondi, C.S.; Akopov, N.; Albaladejo, M.; Albataineh, H.; Albrecht, M.; Almeida-Zamora, B.; et al. Strong Interaction Physics at the Luminosity Frontier with 22 GeV Electrons at Jefferson Lab. arXiv 2023, arXiv:2306.09360. [Google Scholar] [CrossRef]
- Böhlen, T.T.; Cerutti, F.; Chin, M.P.W.; Fassò, A.; Ferrari, A.; Ortega, P.G.; Mairani, A.; Sala, P.R.; Smirnov, G.; Vlachoudis, V. The FLUKA Code: Developments and Challenges for High Energy and Medical Applications. Nucl. Data Sheets 2014, 120, 211–214. [Google Scholar] [CrossRef]
- Ferrari, A.; Sala, P.R.; Fasso, A.; Ranft, J. FLUKA: A Multi-Particle Transport Code (Program Version 2005); CERN: Geneva, Switzerland, 2005. [Google Scholar] [CrossRef]
- Agostinelli, S.; Allison, J.; Amako, K.A.; Apostolakis, J.; Araujo, H.; Arce, P.; Asai, M.; Axen, D.; Banerjee, S.; Barrand, G.J.N.I.; et al. GEANT4: A Simulation toolkit. Nucl. Instrum. Methods Phys. Res. Sect. Accel. Spectrom. Detect. Assoc. Equip. 2003, 506, 250–303. [Google Scholar] [CrossRef]
- Battaglieri, M.; Bondí, M.; Celentano, A.; De Napoli, M.; De Vita, R.; Fegan, S.; Marsicano, L.; Ottonello, G.; Parodi, F.; Randazzo, N.; et al. Measurements of the muon flux produced by 10.6 GeV electrons in a beam dump. Nucl. Instrum. Methods Phys. Res. Sect. Accel. Spectrom. Detect. Assoc. Equip. 2019, 925, 116–122. [Google Scholar] [CrossRef]
- Battaglieri, M.; Bondí, M.; Celentano, A.; Cole, P.L.; De Napoli, M.; De Vita, R.; Marsicano, L.; Randazzo, N.; Smith, E.S.; Spreafico, M.; et al. Dark matter search with the BDX-MINI experiment. Phys. Rev. D 2022, 106, 072011. [Google Scholar] [CrossRef]
- The Official CERN FLUKA Website. 2023. Available online: https://fluka.cern/ (accessed on 1 January 2024).
- Ahdida, C.; Bozzato, D.; Calzolari, D.; Cerutti, F.; Charitonidis, N.; Cimmino, A.; Coronetti, A.; D’Alessandro, G.L.; Donadon Servelle, A.; Esposito, L.S.; et al. New Capabilities of the FLUKA Multi-Purpose Code. Front. Phys. 2022, 9, 788253. [Google Scholar] [CrossRef]
- Battistoni, G.; Boehlen, T.; Cerutti, F.; Chin, P.W.; Esposito, L.S.; Fassò, A.; Ferrari, A.; Lechner, A.; Empl, A.; Mairani, A.; et al. Overview of the FLUKA code. Ann. Nucl. Energy 2015, 82, 10–18. [Google Scholar] [CrossRef]
- Battistoni, G.; Ferrari, A.; Lantz, M.; Sala, P.R.; Smirnov, G.I. Generator of neutrino-nucleon interactions for the FLUKA based simulation code. AIP Conf. Proc. 2009, 1189, 343–346. [Google Scholar] [CrossRef]
- Kharashvili, M. JLAB-TN-16-048; Technical Report; 2016. Available online: https://userweb.jlab.org/~battagli/bdx/16-048.pdf (accessed on 1 January 2024).
- Brun, R.; Rademakers, F. ROOT—An object oriented data analysis framework. Nucl. Instrum. Methods Phys. Res. Sect. Accel. Spectrom. Detect. Assoc. Equip. 1997, 389, 81–86. [Google Scholar] [CrossRef]
- Python Interface: PyROOT. 2023. Available online: https://root.cern/manual/python/ (accessed on 1 January 2024).
- Battaglieri, M.; Bersani, A.; Caiffi, B.; Celentano, A.; De Vita, R.; Fanchini, E.; Marsicano, L.; Musico, P.; Osipenko, M.; Panza, F.; et al. Dark Matter Search in a Beam-Dump eXperiment (BDX) at Jefferson Lab. arXiv 2016, arXiv:1607.01390. [Google Scholar] [CrossRef]
- Ungaro, M.; Angelini, G.; Battaglieri, M.; Burkert, V.D.; Carman, D.S.; Chatagnon, P.; Contalbrigo, M.; Defurne, M.; De Vita, R.; Duran, B.; et al. The CLAS12 Geant4 simulation. Nucl. Instrum. Methods Phys. Res. Sect. Accel. Spectrom. Detect. Assoc. Equip. 2020, 959, 163422. [Google Scholar] [CrossRef]
- Battaglieri, M.; Bersani, A.; Bracco, G.; Caiffi, B.; Celentano, A.; De Vita, R.; Marsicano, L.; Musico, P.; Panza, F.; Ripani, M.; et al. Dark matter search in a Beam-Dump eXperiment (BDX) at Jefferson Lab—2018 update to PR12-16-001. arXiv 2019, arXiv:1712.01518. [Google Scholar] [CrossRef]
- Marsicano, L.; Battaglieri, M.; Celentano, A.; De Vita, R.; Zhong, Y.M. Probing Leptophilic Dark Sectors at Electron Beam-Dump Facilities. Phys. Rev. D 2018, 98, 115022. [Google Scholar] [CrossRef]
- Chen, C.Y.; Pospelov, M.; Zhong, Y.M. Muon Beam Experiments to Probe the Dark Sector. Phys. Rev. D 2017, 95, 115005. [Google Scholar] [CrossRef]
- Aguillard, D.P.; Albahri, T.; Allspach, D.; Anisenkov, A.; Badgley, K.; Baeßler, S.; Bailey, I.; Bailey, L.; Baranov, V.A.; Barlas-Yucel, E.; et al. Measurement of the Positive Muon Anomalous Magnetic Moment to 0.20 ppm. arXiv 2023, arXiv:2308.06230. [Google Scholar] [CrossRef] [PubMed]
- Yaouanc, A.; de Réotier, P. Muon Spin Rotation, Relaxation, and Resonance: Applications to Condensed Matter; International Series of Monographs on Physics; OUP Oxford: Oxford, UK, 2011. [Google Scholar]
- Das, S.; Tripathy, S.; Jagga, P.; Bhattacharya, P.; Majumdar, N.; Mukhopadhyay, S. Muography for Inspection of Civil Structures. Instruments 2022, 6, 77. [Google Scholar] [CrossRef]
- µSR Beamlines at TRIUMF. 2023. Available online: https://cmms.triumf.ca/equip/muSRbeamlines.html (accessed on 1 January 2024).
- Kiselev, D. PSI Muon Facilities. 2023. Available online: https://indico.cern.ch/event/1016248/contributions/4282379/attachments/2215080/3749805/Muoncollider_CERN24.3.2021.pdf (accessed on 1 January 2024).
- Miyake, Y.; Nishiyama, K.; Kawamura, N.; Strasser, P.; Makimura, S.; Koda, A.; Shimomura, K.; Fujimori, H.; Nakahara, K.; Kadono, R.; et al. J-PARC muon source, MUSE. Nucl. Instrum. Methods Phys. Res. Sect. Accel. Spectrom. Detect. Assoc. Equip. 2009, 600, 22–24. [Google Scholar] [CrossRef]
- ISIS Muon Source. 2023. Available online: https://www.isis.stfc.ac.uk/Pages/Muons.aspx (accessed on 1 January 2024).
- Ganguly, S. Muon Campus at Fermilab. arXiv 2022, arXiv:2208.02889. [Google Scholar] [CrossRef]
- M2 Beam Line. 2023. Available online: https://sba.web.cern.ch/sba/BeamsAndAreas/M2/M2_presentation.html (accessed on 1 January 2024).
- Williams, T.J.; MacDougall, G.J.; Riemer, B.W.; Gallmeier, F.X.; Louca, D. SEEMS: A Single Event Effects and Muon Spectroscopy facility at the Spallation Neutron Source. Rev. Sci. Instrum. 2023, 94, 033908. [Google Scholar] [CrossRef]
- Kim, Y.J. Current status of experimental facilities at RAON. Nucl. Instrum. Methods Phys. Res. Sect. Beam Interact. Mater. Atoms 2020, 463, 408–414. [Google Scholar] [CrossRef]
- Chen, C.; Bao, Y.; Vassilopoulos, N. Design of the surface muon beamline of MELODY. J. Phys. Conf. Ser. 2023, 2462, 012027. [Google Scholar] [CrossRef]
- Cox, J.; Martin, F.; Perl, M.L.; Tan, T.H.; Toner, W.T.; Zipf, T.F.; Lakin, W.L. A high energy, small phase-space volume muon beam. Nucl. Instrum. Methods 1969, 69, 77–88. [Google Scholar] [CrossRef]
- Chapelain, A. The Muon g-2 experiment at Fermilab. EPJ Web Conf. 2017, 137, 08001. [Google Scholar] [CrossRef]
- Akimov, D.; An, P.; Awe, C.; Barbeau, P.S.; Becker, B.; Belov, V.; Bernardi, I.; Blackston, M.A.; Bock, C.; Bolozdynya, A.; et al. Simulating the neutrino flux from the Spallation Neutron Source for the COHERENT experiment. Phys. Rev. D 2022, 106, 032003. [Google Scholar] [CrossRef]
- Akimov, D.; Albert, J.B.; An, P.; Awe, C.; Barbeau, P.S.; Becker, B.; Belov, V.; Bernardi, I.; Blackston, M.A.; Blokland, L.; et al. First Measurement of Coherent Elastic Neutrino-Nucleus Scattering on Argon. Phys. Rev. Lett. 2021, 126, 012002. [Google Scholar] [CrossRef] [PubMed]
- Chatterjee, S.S.; Lavignac, S.; Miranda, O.G.; Sanchez Garcia, G. Constraining nonstandard interactions with coherent elastic neutrino-nucleus scattering at the European Spallation Source. Phys. Rev. D 2023, 107, 055019. [Google Scholar] [CrossRef]
- Athanassopoulos, C.; Auerbach, L.B.; Bauer, D.; Bolton, R.D.; Burman, R.L.; Cohen, I.; Caldwell, D.O.; Dieterle, B.D.; Donahue, J.B.; Eisner, A.M.; et al. The liquid scintillator neutrino detector and LAMPF neutrino source. Nucl. Instrum. Methods Phys. Res. Sect. A Accel. Spectrometers Detect. Assoc. Equip. 1997, 388, 149–172. [Google Scholar] [CrossRef]
- Aguilar-Arevalo, A.A.; Anderson, C.E.; Bazarko, A.O.; Brice, S.J.; Brown, B.C.; Bugel, L.; Cao, J.; Coney, L.; Conrad, J.M.; Cox, D.C.; et al. Neutrino flux prediction at MiniBooNE. Phys. Rev. D 2009, 79, 072002. [Google Scholar] [CrossRef]
- Bertone, G.; Hooper, D. History of dark matter. Rev. Mod. Phys. 2018, 90, 045002. [Google Scholar] [CrossRef]
- Krnjaic, G. Probing Light Thermal Dark-Matter With a Higgs Portal Mediator. Phys. Rev. D 2016, 94, 073009. [Google Scholar] [CrossRef]
- Fabbrichesi, M.; Gabrielli, E.; Lanfranchi, G. The Physics of the Dark Photon—A Primer; Springer International Publishing: Cham, Switzerland, 2020. [Google Scholar]
- Filippi, A.; De Napoli, M. Searching in the dark: The hunt for the dark photon. Rev. Phys. 2020, 5, 100042. [Google Scholar] [CrossRef]
- Liddle, A.R. An Introduction to Modern Cosmology; Wiley: Hoboken, NJ, USA, 2003. [Google Scholar]
- Coy, R.; Hambye, T.; Tytgat, M.H.G.; Vanderheyden, L. Domain of thermal dark matter candidates. Phys. Rev. D 2021, 104, 055021. [Google Scholar] [CrossRef]
- Bennett, G.W.; Bousquet, B.; Brown, H.N.; Bunce, G.; Carey, R.M.; Cushman, P.; Danby, G.T.; Debevec, P.T.; Deile, M.; Deng, H.; et al. Measurement of the negative muon anomalous magnetic moment to 0.7 ppm. Phys. Rev. Lett. 2004, 92, 161802. [Google Scholar] [CrossRef]
- Abi, B.; Albahri, T.; Al-Kilani, S.; Allspach, D.; Alonzi, L.P.; Anastasi, A.; Anisenkov, A.; Azfar, F.; Badgley, K.; Baeßler, S.; et al. Measurement of the Positive Muon Anomalous Magnetic Moment to 0.46 ppm. Phys. Rev. Lett. 2021, 126, 141801. [Google Scholar] [CrossRef]
- Antel, C.; Battaglieri, M.; Beacham, J.; Boehm, C.; Buchmüller, O.; Calore, F.; Carenza, P.; Chauhan, B.; Cladè, P.; Coloma, P.; et al. Feebly Interacting Particles: FIPs 2022 workshop report. Eur. Phys. J. C 2023, 83, 1122. [Google Scholar] [CrossRef]
- Battaglieri, M.; Bisio, P.; Bondí, M.; Celentano, A.; Cole, P.L.; De Napoli, M.; De Vita, R.; Marsicano, L.; Ottonello, G.; Parodi, F.; et al. The BDX-MINI detector for Light Dark Matter search at JLab. Eur. Phys. J. C 2021, 81, 164. [Google Scholar] [CrossRef]











| Beam Energy | Flux μ/EOT | σx (cm) | σy (cm) | |
|---|---|---|---|---|
| 100 × 100 cm2 | 25 × 25 cm2 | |||
| 11 GeV | 9.8 × 10−7 | 1.5 × 10−7 | 24.6 | 25.1 |
| 22 GeV | 7.6 × 10−6 | 1.9 × 10−6 | 20.9 | 20.9 |
| Beam Energy | Off-Axis Flux [ν/EOT/m2] | On-Axis Flux [ν/EOT/m2] |
|---|---|---|
| 11 GeV | 6.7 × 10−5 | 2.9 × 10−5 |
| 22 GeV | 1.9 × 10−4 | 6.3 × 10−5 |
| Beam Energy (GeV) | mS = 50 MeV | mS = 180 MeV | ||
|---|---|---|---|---|
| S/EOT | σ (m) | S/EOT | σ (m) | |
| 11 | 5.27 × 10−15 | 1.556 | 1.32 × 10−16 | 0.488 |
| 22 | 1.90 × 10−14 | 1.22 | 1.44 × 10−15 | 0.304 |
Disclaimer/Publisher’s Note: The statements, opinions and data contained in all publications are solely those of the individual author(s) and contributor(s) and not of MDPI and/or the editor(s). MDPI and/or the editor(s) disclaim responsibility for any injury to people or property resulting from any ideas, methods, instructions or products referred to in the content. |
© 2024 by the authors. Licensee MDPI, Basel, Switzerland. This article is an open access article distributed under the terms and conditions of the Creative Commons Attribution (CC BY) license (https://creativecommons.org/licenses/by/4.0/).
Share and Cite
Battaglieri, M.; Bianconi, A.; Bondí, M.; De Vita, R.; Fulci, A.; Gosta, G.; Grazzi, S.; Jo, H.-S.; Lee, C.; Mandaglio, G.; et al. Secondary Beams at High-Intensity Electron Accelerator Facilities. Instruments 2024, 8, 1. https://doi.org/10.3390/instruments8010001
Battaglieri M, Bianconi A, Bondí M, De Vita R, Fulci A, Gosta G, Grazzi S, Jo H-S, Lee C, Mandaglio G, et al. Secondary Beams at High-Intensity Electron Accelerator Facilities. Instruments. 2024; 8(1):1. https://doi.org/10.3390/instruments8010001
Chicago/Turabian StyleBattaglieri, Marco, Andrea Bianconi, Mariangela Bondí, Raffaella De Vita, Antonino Fulci, Giulia Gosta, Stefano Grazzi, Hyon-Suk Jo, Changhui Lee, Giuseppe Mandaglio, and et al. 2024. "Secondary Beams at High-Intensity Electron Accelerator Facilities" Instruments 8, no. 1: 1. https://doi.org/10.3390/instruments8010001
APA StyleBattaglieri, M., Bianconi, A., Bondí, M., De Vita, R., Fulci, A., Gosta, G., Grazzi, S., Jo, H.-S., Lee, C., Mandaglio, G., Mascagna, V., Nagorna, T., Pilloni, A., Spreafico, M., Tagliapietra, L. J., Venturelli, L., & Vittorini, T. (2024). Secondary Beams at High-Intensity Electron Accelerator Facilities. Instruments, 8(1), 1. https://doi.org/10.3390/instruments8010001

