Electrical Transport Measurements on Layered La(O,F)BiS2 under Extremely High Pressure
Abstract
1. Introduction
2. Experimental Procedures
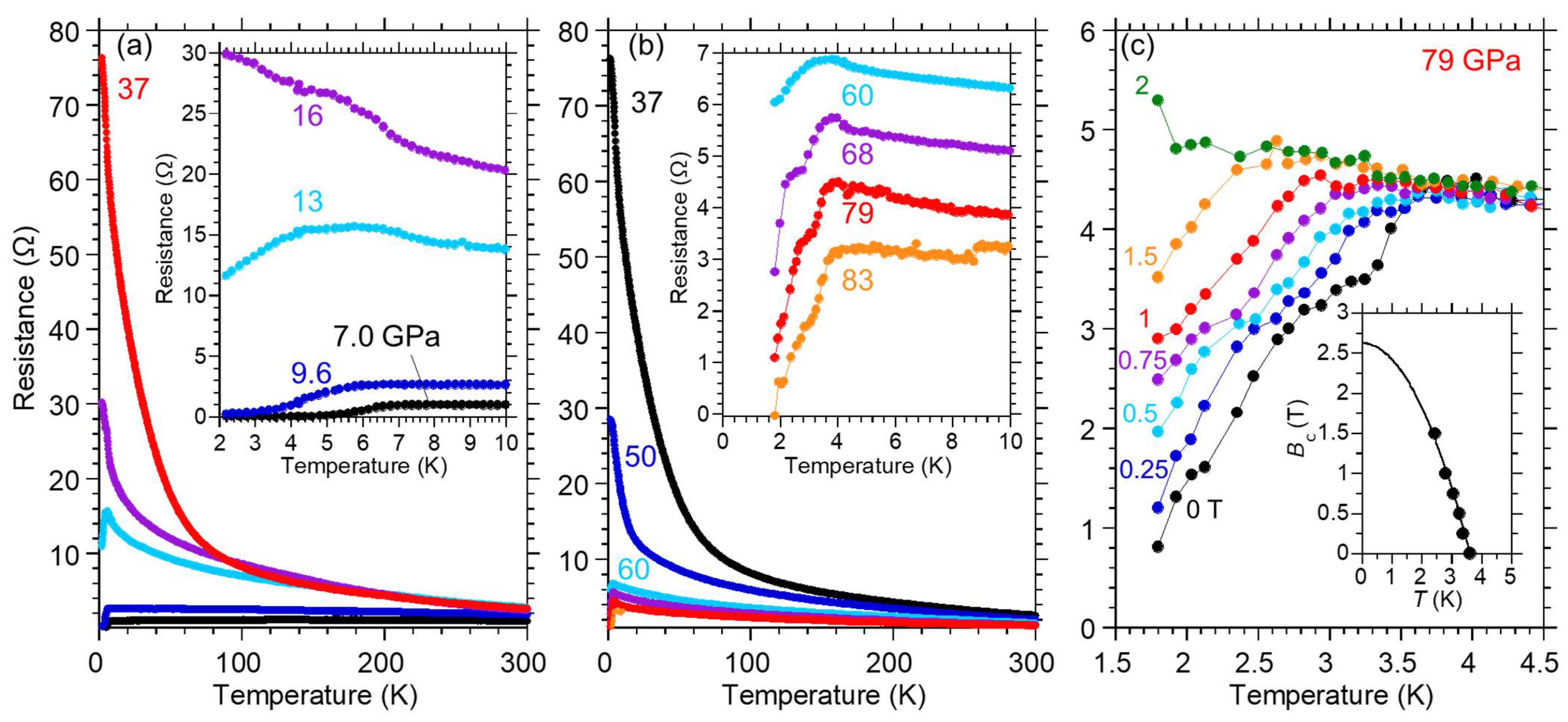
3. Results and Discussion
4. Conclusions
Supplementary Materials
Author Contributions
Funding
Data Availability Statement
Acknowledgments
Conflicts of Interest
References
- Mizuguchi, Y.; Demura, S.; Deguchi, K.; Takano, Y.; Fujihisa, H.; Gotoh, Y.; Izawa, H.; Miura, O. Superconductivity in Novel BiS2-Based Layered Superconductor LaO1-xFxBiS2. J. Phys. Soc. Jpn. 2012, 81, 114725. [Google Scholar] [CrossRef]
- Mizuguchi, Y.; Miyake, A.; Akiba, K.; Tokunaga, M.; Kajitani, J.; Miura, O. Anisotropic upper critical field of the BiS2-based superconductor LaO0.5F0.5BiS2. Phys. Rev. B 2014, 89, 174515. [Google Scholar] [CrossRef]
- Matsumoto, R.; Yamamoto, S.; Adachi, S.; Sakai, T.; Irifune, T.; Takano, Y. Diamond anvil cell with boron-doped diamond heater for high-pressure synthesis and in situ transport measurements. Appl. Phys. Lett. 2021, 119, 053502. [Google Scholar] [CrossRef]
- Nishida, A.; Miura, O.; Lee, C.-H.; Mizuguchi, Y. High thermoelectric performance and low thermal conductivity of densified LaOBiSSe. Appl. Phys. Express 2015, 8, 111801. [Google Scholar] [CrossRef]
- Goto, Y.; Miura, A.; Sakagami, R.; Kamihara, Y.; Moriyoshi, C.; Kuroiwa, Y.; Mizuguchi, Y. Synthesis, Crystal Structure, and Thermoelectric Properties of Layered Antimony Selenides REOSbSe2 (RE = La, Ce). J. Phys. Soc. Jpn. 2018, 87, 074703. [Google Scholar] [CrossRef]
- Matsumoto, R.; Nagao, M.; Ochi, M.; Tanaka, H.; Hara, H.; Adachi, S.; Nakamura, K.; Murakami, R.; Yamamoto, S.; Irifune, T.; et al. Pressure-induced insulator to metal transition of mixed valence compound Ce(O,F)SbS2. J. Appl. Phys. 2019, 125, 075102. [Google Scholar] [CrossRef]
- Yang, Y.; Wang, W.-S.; Xiang, Y.-Y.; Li, Z.-Z.; Wang, Q.-H. Triplet pairing and possible weak topological superconductivity in BiS2-based superconductors. Phys. Rev. B 2013, 88, 094519. [Google Scholar] [CrossRef]
- Sogabe, R.; Goto, Y.; Mizuguchi, Y. Superconductivity in REO0.5F0.5BiS2 with high-entropy-alloy-type blocking layers. Appl. Phys. Express 2018, 11, 053102. [Google Scholar] [CrossRef]
- Tomita, T.; Ebata, M.; Soeda, H.; Takahashi, H.; Fujihisa, H.; Gotoh, Y.; Mizuguchi, Y.; Izawa, H.; Miura, O.; Demura, S.; et al. Pressure-Induced Enhancement of Superconductivity and Structural Transition in BiS2-Layered LaO1−xFxBiS2. J. Phys. Soc. Jpn. 2014, 83, 063704. [Google Scholar] [CrossRef]
- Mizuguchi, Y.; Hiroi, T.; Kajitani, J.; Takatsu, H.; Kadowaki, H.; Miura, O. Stabilization of high-Tc phase of BiS2-based superconductor LaO0.5F0.5BiS2 using high-pressure synthesis. J. Phys. Soc. Jpn. 2014, 83, 053704. [Google Scholar] [CrossRef]
- Morice, C.; Akashi, R.; Koretsune, T.; Saxena, S.S.; Arita, R. Weak phonon-mediated pairing in BiS2 superconductor from first principles. Phys. Rev. B 2017, 95, 180505. [Google Scholar] [CrossRef]
- Hoshi, K.; Goto, Y.; Mizuguchi, Y. Selenium isotope effect in the layered bismuth chalcogenide superconductor LaO0.6F0.4Bi(S,Se)2. Phys. Rev. B 2018, 97, 094509. [Google Scholar] [CrossRef]
- Yamashita, A.; Usui, H.; Hoshi, K.; Goto, Y.; Kuroki, K.; Mizuguchi, Y. Possible pairing mechanism switching driven by structural symmetry breaking in BiS2-based layered superconductors. Sci. Rep. 2021, 11, 230. [Google Scholar] [CrossRef] [PubMed]
- Demura, S.; Deguchi, K.; Mizuguchi, Y.; Sato, K.; Honjyo, R.; Yamashita, A.; Yamaki, T.; Hara, H.; Watanabe, T.; Denholme, S.J.; et al. Coexistence of Bulk Superconductivity and Magnetism in CeO1−xFxBiS2. J. Phys. Soc. Jpn. 2015, 84, 024709. [Google Scholar] [CrossRef]
- Tanaka, M.; Nagao, M.; Matsumoto, R.; Kataoka, N.; Ueta, I.; Tanaka, H.; Watauchi, S.; Tanaka, I.; Takano, Y. Superconductivity and its enhancement under high pressure in “F-free” single crystals of CeOBiS2. J. Alloy. Compd. 2017, 722, 467–473. [Google Scholar] [CrossRef]
- Fujioka, M.; Matsumoto, R.; Yamaki, T.; Denholme, S.J.; Tanaka, M.; Takeya, H.; Yamaguchi, T.; Takahashi, H.; Takano, Y. Observation of a Pressure-Induced Phase Transition for Single Crystalline LaO0.5F0.5BiSeS Using a Diamond Anvil Cell. J. Phys. Soc. Jpn. 2015, 84, 95001. [Google Scholar] [CrossRef]
- Selvan, G.K.; Kanagaraj, M.; Muthu, S.E.; Jha, R.; Awana, V.P.S.; Arumugam, S. Hydrostatic pressure effect on Tc of new BiS2-based Bi4O4S3 and NdO0.5F0.5BiS2 layered superconductors. Phys. Status Solidi 2013, RRL 7, 510. [Google Scholar]
- Miura, A.; Mizuguchi, Y.; Takei, T.; Kumada, N.; Magome, E.; Moriyoshi, C.; Kuroiwa, Y.; Tadanaga, K. Structures and optical absorption of Bi2OS2 and LaOBiS2. Solid State Commun. 2016, 227, 19–22. [Google Scholar] [CrossRef]
- Yamamoto, S.; Matsumoto, R.; Adachi, S.; Takano, Y. High-pressure effects on La(O,F)BiS2 single crystal using diamond anvil cell with dual-probe diamond electrodes. Appl. Phys. Express 2021, 14, 043001. [Google Scholar] [CrossRef]
- Sun, L.; Chen, X.-J.; Guo, J.; Gao, P.; Huang, Q.-Z.; Wang, H.; Fang, M.; Chen, X.; Chen, G.; Wu, Q.; et al. Re-emerging superconductivity at 48 kelvin in iron chalcogenides. Nature 2012, 483, 67–69. [Google Scholar] [CrossRef]
- Sun, J.; Shahi, P.; Zhou, H.; Huang, Y.; Chen, K.; Wang, B.; Ni, S.; Li, N.; Zhang, K.; Yang, W.; et al. Reemergence of high-Tc superconductivity in the (Li1-xFex)OHFe1-ySe under high pressure. Nat. Commun. 2018, 9, 380. [Google Scholar] [CrossRef] [PubMed]
- Shahi, P.; Sun, J.; Wang, S.; Jiao, Y.; Chen, K.; Sun, S.; Lei, H.; Uwatoko, Y.; Wang, B.; Cheng, J. High-Tc superconductivity up to 55 K under high pressure in a heavily electron doped Li0.36(NH3)yFe2Se2 single crystal. Phys. Rev. B 2018, 97, 020508(R). [Google Scholar] [CrossRef]
- Chen, X.; Zhan, X.; Wang, X.; Deng, J.; Liu, X.-B.; Chen, X.; Guo, J.-G.; Chen, X. Highly Robust Reentrant Superconductivity in CsV3Sb5 under Pressure. Chin. Phys. Lett. 2021, 38, 057402. [Google Scholar] [CrossRef]
- Nagao, M.; Miura, A.; Demura, S.; Deguchi, K.; Watauchi, S.; Takei, T.; Takano, Y.; Kumada, N.; Tanaka, I. Growth and superconducting properties of F-substituted ROBiS2 (R=La, Ce, Nd) single crystals. Solid State Commun. 2013, 178, 33–36. [Google Scholar] [CrossRef][Green Version]
- Miura, A.; Nagao, M.; Takei, T.; Watauchi, S.; Tanaka, I.; Kumada, N. Crystal structures of LaO1−xFxBiS2 (x~0.23, 0.46): Effect of F doping on distortion of Bi-S plane. J. Solid State Chem. 2014, 212, 213–217. [Google Scholar] [CrossRef]
- Izumi, F.; Momma, K. Three-Dimensional Visualization in Powder Diffraction. Solid State Phenom. 2007, 130, 15–20. [Google Scholar] [CrossRef]
- Matsumoto, R.; Sasama, Y.; Fujioka, M.; Irifune, T.; Tanaka, M.; Yamaguchi, T.; Takeya, H.; Takano, Y. Note: Novel diamond anvil cell for electrical measurements using boron-doped metallic diamond electrodes. Rev. Sci. Instrum. 2016, 87, 076103. [Google Scholar] [CrossRef] [PubMed]
- Matsumoto, R.; Irifune, T.; Tanaka, M.; Takeya, H.; Takano, Y. Diamond anvil cell using metallic diamond electrodes. Jpn. J. Appl. Phys. 2017, 56, 05FC01. [Google Scholar] [CrossRef]
- Matsumoto, R.; Yamashita, A.; Hara, H.; Irifune, T.; Adachi, S.; Takeya, H.; Takano, Y. Diamond anvil cells using boron-doped diamond electrodes covered with undoped diamond insulating layer. Appl. Phys. Express 2018, 11, 053101. [Google Scholar] [CrossRef]
- Mao, H.K.; Bell, P.M.; Shaner, J.W.; Steinberg, D.J. Specific volume measurements of Cu, Mo, Pd, and Ag and calibration of the ruby R1 fluorescence pressure gauge from 0.06 to 1 Mbar. J. Appl. Phys. 1978, 49, 3276–3283. [Google Scholar] [CrossRef]
- Akahama, Y.; Kawamura, H. High-pressure Raman spectroscopy of diamond anvils to 250 GPa: Method for pressure determination in the multimegabar pressure range. J. Appl. Phys. 2004, 96, 3748–3751. [Google Scholar] [CrossRef]
- Higashinaka, R.; Miyazaki, R.; Mizuguchi, Y.; Miura, O.; Aoki, Y. Low-Temperature Enhancement in the Upper Critical Field of Underdoped LaO1−xFxBiS2 (x = 0.1–0.3). J. Phys. Soc. Jpn. 2014, 83, 075004. [Google Scholar] [CrossRef]
- Matsumoto, R.; Hou, Z.; Hara, H.; Adachi, S.; Tanaka, H.; Yamamoto, S.; Saito, Y.; Takeya, H.; Irifune, T.; Terakura, K.; et al. Crystal Growth, Structural Analysis, and Pressure-Induced Superconductivity in a AgIn5Se8 Single Crystal Explored by a Data-Driven Approach. Inorg. Chem. 2019, 59, 325–331. [Google Scholar] [CrossRef] [PubMed]
- Wu, S.F.; Richard, P.; Wang, X.B.; Lian, C.S.; Nie, S.; Wang, J.T.; Wang, N.L.; Ding, H. Raman scattering investigation of the electron-phonon coupling in superconducting Nd(O,F)BiS2. Phys. Rev. B 2014, 90, 054519. [Google Scholar] [CrossRef]
- Tian, Y.; Zhang, A.; Liu, K.; Ji, J.; Liu, J.; Zhu, X.; Wen, H.-H.; Jin, F.; Ma, X.; He, R.; et al. Raman scattering in superconducting NdO1−xFxBiS2crystals. Supercond. Sci. Technol. 2015, 29, 15007. [Google Scholar] [CrossRef]
- Lorenz, B.; Meng, R.L.; Chu, C.W. High-pressure study on MgB2. Phys. Rev. B 2001, 64, 012507. [Google Scholar] [CrossRef]
- McMillan, W.L. Transition Temperature of Strong-Coupled Superconductors. Phys. Rev. 1968, 167, 331–344. [Google Scholar] [CrossRef]




Publisher’s Note: MDPI stays neutral with regard to jurisdictional claims in published maps and institutional affiliations. |
© 2022 by the authors. Licensee MDPI, Basel, Switzerland. This article is an open access article distributed under the terms and conditions of the Creative Commons Attribution (CC BY) license (https://creativecommons.org/licenses/by/4.0/).
Share and Cite
Matsumoto, R.; Yamamoto, S.; Nemoto, Y.; Nishimiya, Y.; Takano, Y. Electrical Transport Measurements on Layered La(O,F)BiS2 under Extremely High Pressure. Condens. Matter 2022, 7, 25. https://doi.org/10.3390/condmat7010025
Matsumoto R, Yamamoto S, Nemoto Y, Nishimiya Y, Takano Y. Electrical Transport Measurements on Layered La(O,F)BiS2 under Extremely High Pressure. Condensed Matter. 2022; 7(1):25. https://doi.org/10.3390/condmat7010025
Chicago/Turabian StyleMatsumoto, Ryo, Sayaka Yamamoto, Yoshihiro Nemoto, Yuki Nishimiya, and Yoshihiko Takano. 2022. "Electrical Transport Measurements on Layered La(O,F)BiS2 under Extremely High Pressure" Condensed Matter 7, no. 1: 25. https://doi.org/10.3390/condmat7010025
APA StyleMatsumoto, R., Yamamoto, S., Nemoto, Y., Nishimiya, Y., & Takano, Y. (2022). Electrical Transport Measurements on Layered La(O,F)BiS2 under Extremely High Pressure. Condensed Matter, 7(1), 25. https://doi.org/10.3390/condmat7010025
