Absence of Spin Frustration in the Kagomé Layers of Cu2+ Ions in Volborthite Cu3V2O7(OH)2·2H2O and Observation of the Suppression and Re-Entrance of Specific Heat Anomalies in Volborthite under an External Magnetic Field
Abstract
:1. Introduction
2. Experimental and Calculations
3. Results
3.1. Spin Exchanges and Spin Lattice of Volborthite
3.2. Experimental Evidence for the Spin-Half AFM Uniform Heisenberg Chain Character
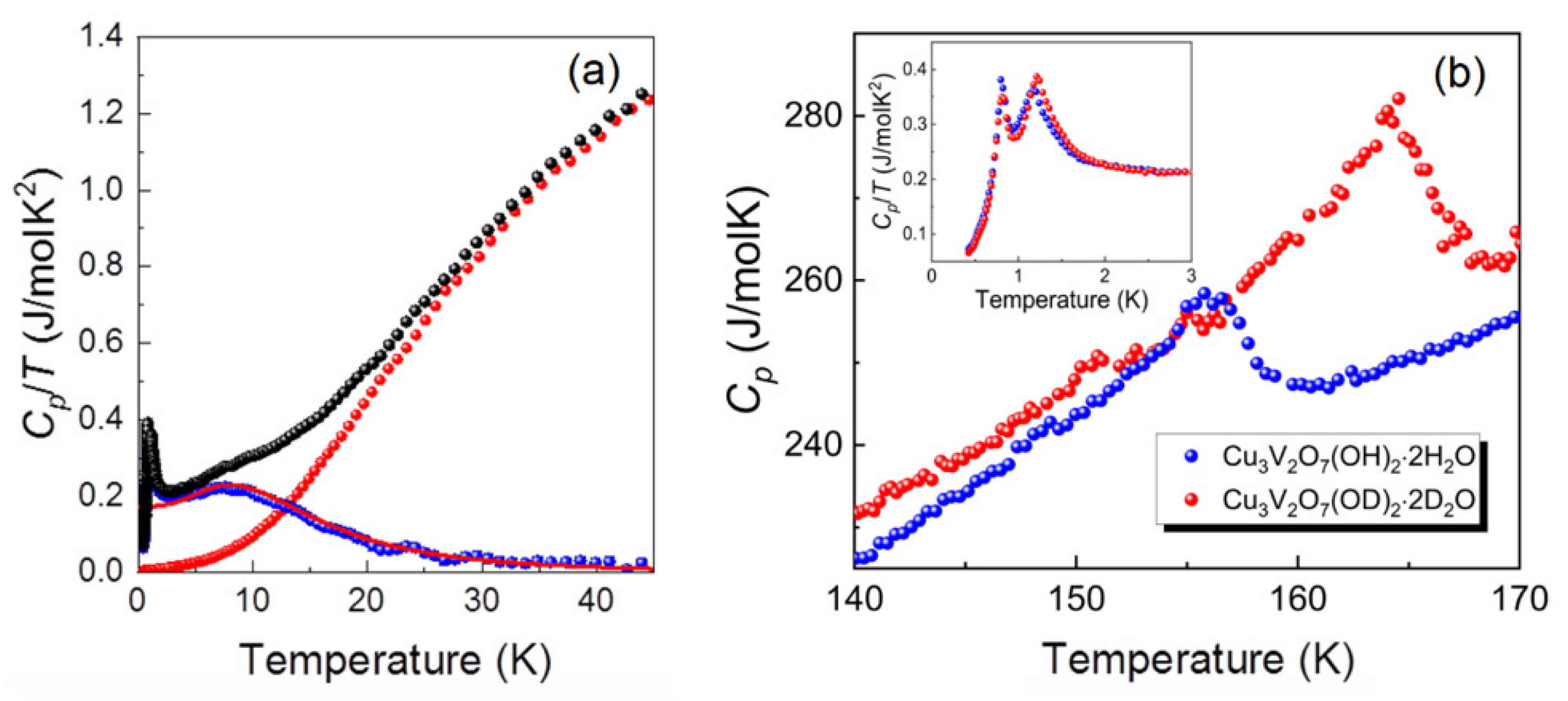
3.3. Specific Heat Anomalies of Volborthite
3.3.1. Specific Heat Anomalies of Volborthite
3.3.2. Effect of Isotope Substitution
3.3.3. Effect of a Magnetic Field on Magnetic Ordering
4. Entropy Spectra and Specific Heat Anomalies
4.1. Spin Ladder Arrangements
- Group I:
- (AF)m(AA)(FA)n(FF)(AF)o(AA)(FA)p(FF)(AF)q.
- Group II:
- (AF)m(AA)(FA)n(FF)(AF)o(AA)(FA)p(FF)(AF)q(AA)(FA)r.
- Group III:
- (FA)m(FF)(AF)n(AA)(FA)o(FF)(AF)p(AA)(FA)q(FF)(AF)r.
4.2. Entropy Spectra
4.3. Specific Heat Anomalies and Entropy Spectra
5. Concluding Remarks
Supplementary Materials
Author Contributions
Funding
Data Availability Statement
Conflicts of Interest
References
- Mendels, P.; Wills, A.S. Kagomé antiferromagnets: Materials vs. spin liquid behaviors. In Introduction to Frustrated Magnetism; Lacroix, C., Mendels, P., Mila, F., Eds.; Springer: Berlin/Heidelberg, Germany, 2011; pp. 207–238. [Google Scholar]
- Syzranov, S.V.; Ramirez, A.P. Hidden energy scale in geometrically frustrated systems: Are quantum spin liquids achievable? arXiv 2021, arXiv:2105.08070. [Google Scholar]
- Xiang, H.J.; Lee, C.; Koo, H.-J.; Gong, X.; Whangbo, M.-H. Magnetic properties and energy-mapping analysis. Dalton Trans. 2013, 42, 823–853. [Google Scholar] [CrossRef] [PubMed]
- Whangbo, M.-H.; Xiang, H.J. Magnetic properties from the perspectives of electronic hamiltonian: Spin exchange parameters, spin orientation and spin-half misconception. In Handbook in Solid State Chemistry, Volume 5: Theoretical Descriptions; Dronskowskii, R., Kikkawa, S., Klein, A., Eds.; Wiley: Hoboken, NJ, USA, 2017; pp. 285–343. [Google Scholar]
- Hiroi, Z.; Ishikawa, H.; Yoshuda, H.; Yamamura, J.; Okamoto, Y. Orbital transitions and frustrated magnetism in the kagome-type copper mineral volborthite. Inorg. Chem. 2019, 58, 11949–11960. [Google Scholar] [CrossRef]
- Ishikawa, H.; Yamaura, J.I.; Okamoto, Y.; Yoshida, H.; Nilsen, G.J.; Hiroi, Z. A novel crystal polymorph of volborthite, Cu3V2O7(OH)2⋅2H2O. Acta Cryst. C 2012, 68, i41–i44. [Google Scholar] [CrossRef] [PubMed] [Green Version]
- Yoshida, H.; Yamamura, J.; Isobe, M.; Okamoto, Y.; Nielson, G.J.; Hiroi, Z. Orbital switching in a frustrated magnet. Nat. Commun. 2012, 29, 860. [Google Scholar] [CrossRef] [PubMed]
- Ishikawa, H.; Yoshida, M.; Nawa, K.; Jeong, M.; Krämer, S.; Horvatić, M.; Berthier, C.; Takigawa, M.; Akaki, M.; Miyake, A.; et al. One-third magnetization plateau with a preceding novel phase in volborthite. Phys. Rev. Lett. 2015, 114, 227202. [Google Scholar] [CrossRef]
- Nakamura, D.; Yamashita, T.; Ishikawa, H.; Hiroi, Z.; Takeyama, S. Extremely wide 1/3 magnetic plateau of volborthite Cu3V2O7(OH)2⋅2H2O in ultrahigh magnetic fields up to 182 T. Phys. Rev. B 2018, 98, 020404. [Google Scholar] [CrossRef]
- Yamashita, S.; Moriura, T.; Nakazawa, Y.; Yoshida, H.; Okamoto, Y.; Hiroi, Z. Thermodynamic properties of the kagomé lattice in volborthite. J. Phys. Soc. Jpn. 2010, 79, 083710. [Google Scholar] [CrossRef]
- Janson, O.; Furukawa, S.; Momoi, T.; Sindzingre, P.; Richter, J.; Held, K. Magnetic behavior of volborthite Cu3V2O7(OH)2⋅2H2O determined by coupled trimers rather than frustrated chains. Phys. Rev. Lett. 2016, 117, 037206. [Google Scholar] [CrossRef] [Green Version]
- Kresse, G.; Furthmüller, J. Efficiency of ab-initio total energy calculations for metals and semiconductors using a plane-wave basis set. Comput. Mater. Sci. 1996, 6, 15–50. [Google Scholar] [CrossRef]
- Kresse, G.; Furthmüller, J. Efficient iterative schemes for ab initio total-energy calculations using a plane-wave basis set. Phys. Rev. B 1996, 54, 11169–11186. [Google Scholar] [CrossRef] [PubMed]
- Kresse, G.; Joubert, D. From ultrasoft pseudopotentials to the projector augmented-wave method. Phys. Rev. B 1999, 59, 1758–1775. [Google Scholar] [CrossRef]
- Blöchl, P.E. Projector augmented-wave method. Phys. Rev. B 1994, 50, 17953–17979. [Google Scholar] [CrossRef] [PubMed] [Green Version]
- Perdew, J.P.; Burke, K.; Ernzerhof, M. Generalized gradient approximation made simple. Phys. Rev. Lett. 1996, 77, 3865–3868. [Google Scholar] [CrossRef] [Green Version]
- Dudarev, S.L.; Botton, G.A.; Savrasov, S.Y.; Humphreys, C.J.; Sutton, A.P. Electron-energy-loss spectra and the structural stability of nickel oxide: An LSDA+U study. Phys. Rev. B 1998, 57, 1505–1509. [Google Scholar] [CrossRef]
- Yan, H.W.; Luo, Y.Z.; Xu, X.; He, L.; Tan, J.; Li, Z.H.; Hong, X.F.; He, P.; Mai, L.Q. Facile and Scalable Synthesis of Zn3V2O7(OH)2⋅2H2O Microflowers as a High-Performance Anode for Lithium-Ion Batteries. ACS Appl. Mater. Interfaces 2017, 9, 27707–27714. [Google Scholar] [CrossRef] [PubMed]
- Whangbo, M.-H.; Koo, H.-J.; Kremer, R.K. Spin exchanges between transition metal ions governed by the ligand p-orbitals in their magnetic orbitals. Molecules 2021, 26, 531. [Google Scholar] [CrossRef] [PubMed]
- Johnston, D.C.; Kremer, R.K.; Troyer, M.; Wang, X.; Klümper, A.; Bud’ko, L.; Panchula, A.F.; Canfield, P.C. Thermodynamics of spin S=1/2 antiferromagnetic uniform and alternating-exchange Heisenberg chains. Phys. Rev. B 2000, 61, 9558–9606. [Google Scholar] [CrossRef] [Green Version]
- Selwood, P.W. Magnetochemistry; Interscience Publishers Inc.: New York, NY, USA, 1956. [Google Scholar]
- Bain, G.A.; Berry, J.F. Diamagnetic corrections and Pascal’s constants. J. Chem. Educ. 2008, 85, 532–536. [Google Scholar] [CrossRef]
- Banks, M.G.; Kremer, R.K.; Hoch, C.; Simon, A.; Ouladdiaf, B.; Broto, J.-M.; Rakoto, H.; Lee, C.; Whangbo, M.-H. Magnetic ordering in the frustrated Heisenberg chain system cupric chloride CuCl2. Phys. Rev. B 2009, 80, 024404. [Google Scholar] [CrossRef]
- Abragam, A.; Bleaney, B. Electron Paramagnetic Resonance of Transition Ions; Oxford University Press: New York, NY, USA, 1970. [Google Scholar]
- Boukhari, A.; Moquine, A.; Flandrois, S. A new linear trimeric magnetic ion in (Ca,Sr)3Cu3(PO4)4 phosphates. Mat. Res. Bull. 1986, 21, 395–400. [Google Scholar] [CrossRef]
- Todo, S.; Kato, K. Cluster algorithms for general-S quantum spin systems. Phys. Rev. Lett. 2001, 87, 047203. [Google Scholar] [CrossRef] [PubMed] [Green Version]
- Albuquerque, A.F.; Alet, F.; Corboz, P.; Dayal, P.; Feiguin, A.; Fuchs, S.; Gamper, L.; Gull, E.; Gürtler, S.; Honecker, A.; et al. The ALPS project release 1.3: Open-source software for strongly correlated systems. J. Magn. Magn. Mater. 2007, 310, 1187–1193. [Google Scholar] [CrossRef] [Green Version]
- Zavalij, P.Y.; Zhano, F.; Whittingham, M.S. A new pyrovanadate, Zn3(OH)2V2O7⋅2H2O, from X-ray powder data. Acta Cryst. C 1997, 53, 1738–1739. [Google Scholar] [CrossRef]
- Boo, W.O.J.; Stout, J.W. Heat capacity and entropy of CuF2 and CrF2 from 10 to 300 K. Anomalies associated with magnetic ordering and evaluation of magnetic contributions to the heat capacity. J. Chem. Phys. 1979, 71, 9–16. [Google Scholar] [CrossRef]
- Frenkel, D. Entropy driven phase transitions. Physica A 1999, 263, 26–38. [Google Scholar] [CrossRef] [Green Version]
- Karayiannis, N.C.; Foteinopoulou, K.; Laso, M. Entropy-driven crystallization in dense systems of a thermal chain molecules. Phys. Rev. Lett. 2009, 103, 045703. [Google Scholar] [CrossRef]
- Onsager, L. The effects of shape on the interaction of colloidal particles. Ann. N. Y. Acad. Sci. 1949, 51, 627–659. [Google Scholar] [CrossRef]
- Li, X.; Yu, H.; Lou, F.; Feng, J.; Whangbo, M.-H.; Xiang, H.J. Spin Hamiltonians in magnets: Theories and computations. Molecules 2021, 26, 803. [Google Scholar] [CrossRef]




| I2/a Phase a | P21/a Phase a | P21/a Phase b | |||
|---|---|---|---|---|---|
| Layer 1 | Layer 2 | Layer 1 | Layer 2 | ||
| J1/J2 | 0.010 | −0.001 | −0.025 | −0.15 | −0.11 |
| J3/J2 | 0.025 | 0.031 | 0.031 | −0.34 | −0.32 |
| J4/J2 | 0.145 | 0.141 | 0.135 | 0.17 | 0.15 |
| J5/J2 | 0.014 | 0.014 | 0.013 | - | - |
| J2 | 542 K | 550 K | 582 K | 193 K | 205 K |
Publisher’s Note: MDPI stays neutral with regard to jurisdictional claims in published maps and institutional affiliations. |
© 2022 by the authors. Licensee MDPI, Basel, Switzerland. This article is an open access article distributed under the terms and conditions of the Creative Commons Attribution (CC BY) license (https://creativecommons.org/licenses/by/4.0/).
Share and Cite
Whangbo, M.-H.; Koo, H.-J.; Brücher, E.; Puphal, P.; Kremer, R.K. Absence of Spin Frustration in the Kagomé Layers of Cu2+ Ions in Volborthite Cu3V2O7(OH)2·2H2O and Observation of the Suppression and Re-Entrance of Specific Heat Anomalies in Volborthite under an External Magnetic Field. Condens. Matter 2022, 7, 24. https://doi.org/10.3390/condmat7010024
Whangbo M-H, Koo H-J, Brücher E, Puphal P, Kremer RK. Absence of Spin Frustration in the Kagomé Layers of Cu2+ Ions in Volborthite Cu3V2O7(OH)2·2H2O and Observation of the Suppression and Re-Entrance of Specific Heat Anomalies in Volborthite under an External Magnetic Field. Condensed Matter. 2022; 7(1):24. https://doi.org/10.3390/condmat7010024
Chicago/Turabian StyleWhangbo, Myung-Hwan, Hyun-Joo Koo, Eva Brücher, Pascal Puphal, and Reinhard K. Kremer. 2022. "Absence of Spin Frustration in the Kagomé Layers of Cu2+ Ions in Volborthite Cu3V2O7(OH)2·2H2O and Observation of the Suppression and Re-Entrance of Specific Heat Anomalies in Volborthite under an External Magnetic Field" Condensed Matter 7, no. 1: 24. https://doi.org/10.3390/condmat7010024
APA StyleWhangbo, M.-H., Koo, H.-J., Brücher, E., Puphal, P., & Kremer, R. K. (2022). Absence of Spin Frustration in the Kagomé Layers of Cu2+ Ions in Volborthite Cu3V2O7(OH)2·2H2O and Observation of the Suppression and Re-Entrance of Specific Heat Anomalies in Volborthite under an External Magnetic Field. Condensed Matter, 7(1), 24. https://doi.org/10.3390/condmat7010024

