Polaron-Depleton Transition in the Yrast Excitations of a One-Dimensional Bose Gas with a Mobile Impurity
Abstract
1. Introduction
2. The Model
2.1. The Hamiltonian in One-Dimensional Real Space
2.2. Lattice Discretized Continuum Model
2.3. Connection to Mean-Field Theory and Choice of Parameters
3. Computational Method and Simulation Details
3.1. Bosonic Full Configuration Quantum Monte Carlo
3.2. Implementation Details
3.3. Data Structures and Distributed Computation
3.4. The Initiator Approximation
3.5. Simulation Details
4. Results
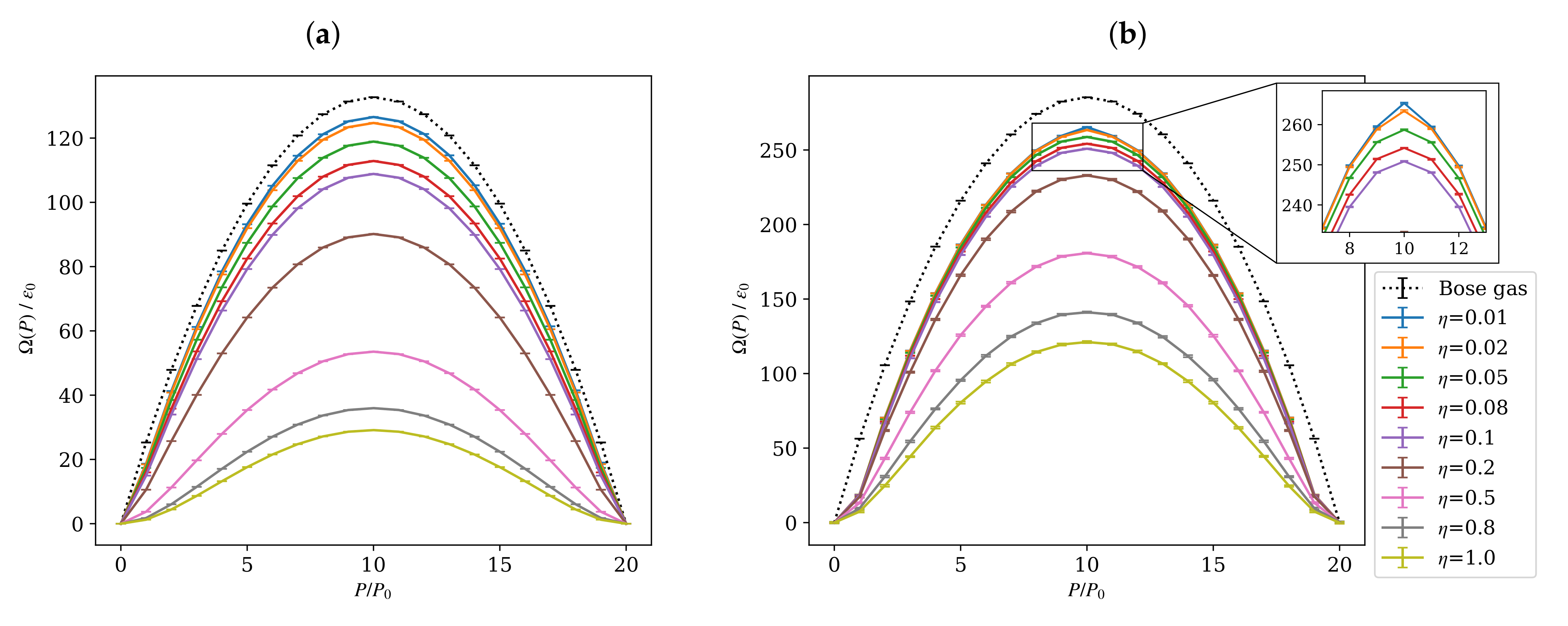
4.1. Yrast Dispersion with Weak and Strong Boson–Impurity Coupling Strength
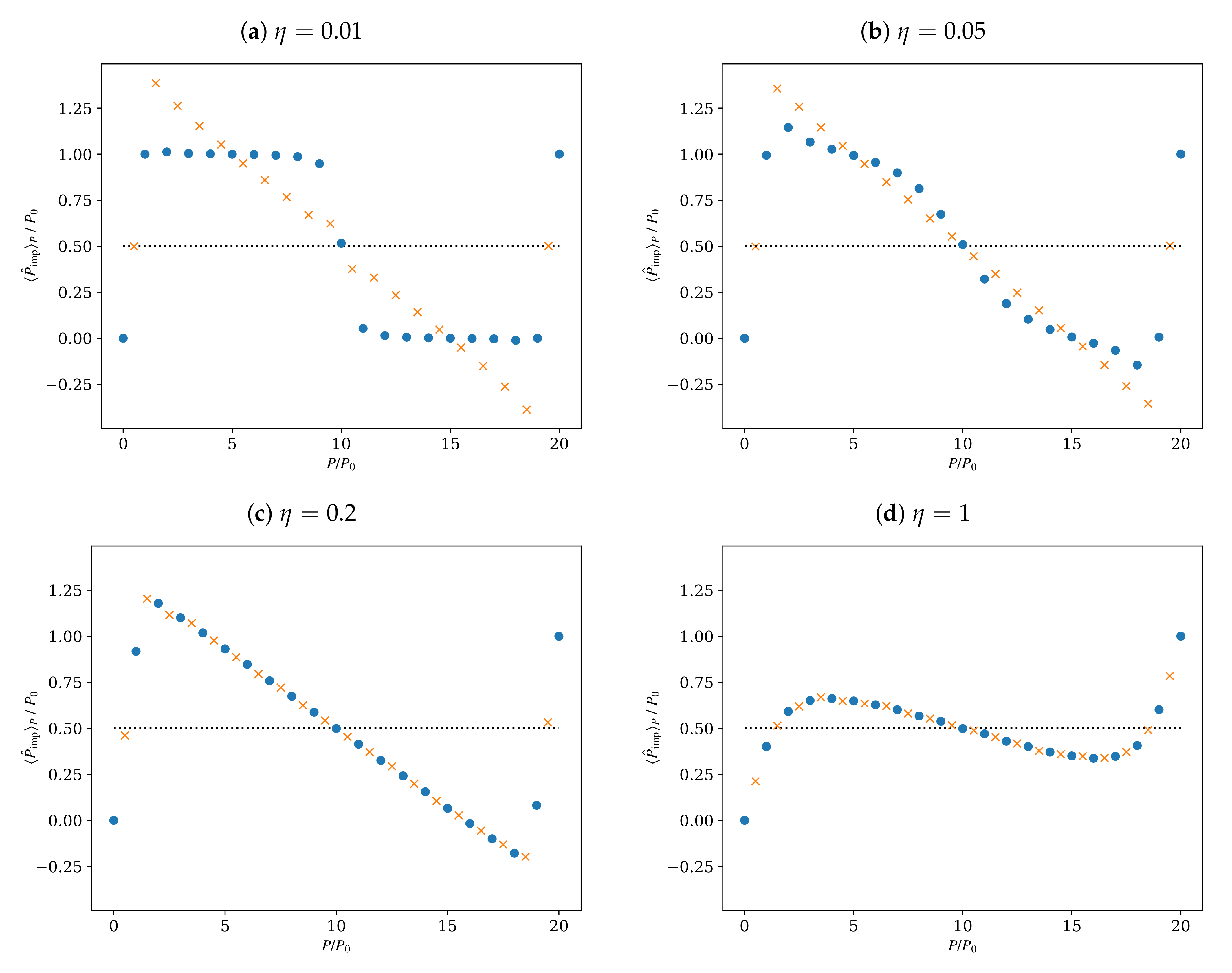
4.2. Impurity Momentum
4.3. Two-Body Correlation Function
4.4. Effective Mass at Half Umklapp
4.5. Spin-Flip Energy
5. Conclusions
Author Contributions
Funding
Institutional Review Board Statement
Informed Consent Statement
Data Availability Statement
Acknowledgments
Conflicts of Interest
Appendix A. Eliminating Biases

References
- Emin, D. Polarons; Cambridge University Press: Cambridge, UK, 2012. [Google Scholar] [CrossRef]
- Alexandrov, A.S.; Devreese, J.T. Advances in Polaron Physics; Springer Series in Solid-State Sciences; Springer: Berlin/Heidelberg, Germany, 2010; Volume 159. [Google Scholar] [CrossRef]
- Landau, L.D.; Pekar, S.I. Effective mass of a polaron. Zhurnal Éksperimental’noĭ i Teoreticheskoĭ Fiziki 1948, 18, 419–423. [Google Scholar]
- Bardeen, J.; Baym, G.; Pines, D. Interactions Between He3 Atoms in Dilute Solutions of He3 in Superfluid He4. Phys. Rev. Lett. 1966, 17, 372–375. [Google Scholar] [CrossRef]
- Chin, C.; Grimm, R.; Julienne, P.; Tiesinga, E. Feshbach resonances in ultracold gases. Rev. Mod. Phys. 2010, 82, 1225–1286. [Google Scholar] [CrossRef]
- Vale, C.J.; Zwierlein, M. Spectroscopic probes of quantum gases. Nat. Phys. 2021, 17, 1305–1315. [Google Scholar] [CrossRef]
- Jørgensen, N.B.; Wacker, L.; Skalmstang, K.T.; Parish, M.M.; Levinsen, J.; Christensen, R.S.; Bruun, G.M.; Arlt, J.J. Observation of Attractive and Repulsive Polarons in a Bose-Einstein Condensate. Phys. Rev. Lett. 2016, 117, 055302. [Google Scholar] [CrossRef] [PubMed]
- Hu, M.G.; Van De Graaff, M.J.; Kedar, D.; Corson, J.P.; Cornell, E.A.; Jin, D.S. Bose Polarons in the Strongly Interacting Regime. Phys. Rev. Lett. 2016, 117, 055301. [Google Scholar] [CrossRef] [PubMed]
- Yan, Z.Z.; Ni, Y.; Robens, C.; Zwierlein, M.W. Bose polarons near quantum criticality. Science 2020, 368, 190–194. [Google Scholar] [CrossRef]
- Skou, M.G.; Skov, T.G.; Jørgensen, N.B.; Nielsen, K.K.; Camacho-Guardian, A.; Pohl, T.; Bruun, G.M.; Arlt, J.J. Non-equilibrium quantum dynamics and formation of the Bose polaron. Nat. Phys. 2021, 17, 731–735. [Google Scholar] [CrossRef]
- Imambekov, A.; Schmidt, T.L.; Glazman, L.I. One-dimensional quantum liquids: Beyond the Luttinger liquid paradigm. Rev. Mod. Phys. 2012, 84, 1253–1306. [Google Scholar] [CrossRef]
- Cherny, A.Y.; Caux, J.S.; Brand, J. Theory of superfluidity and drag force in the one-dimensional Bose gas. Front. Phys. 2012, 7, 54–71. [Google Scholar] [CrossRef]
- Gangardt, D.M.; Kamenev, A. Bloch oscillations in a one-dimensional spinor gas. Phys. Rev. Lett. 2009, 102, 070402. [Google Scholar] [CrossRef] [PubMed]
- Schecter, M.; Gangardt, D.M.; Kamenev, A. Dynamics and Bloch oscillations of mobile impurities in one-dimensional quantum liquids. Ann. Phys. 2012, 327, 639–670. [Google Scholar] [CrossRef]
- Bloch, F. Über die Quantenmechanik der Elektronen in Kristallgittern. Zeitschrift für Physik 1929, 52, 555–600. [Google Scholar] [CrossRef]
- Feldmann, J.; Leo, K.; Shah, J.; Miller, D.A.B.; Cunningham, J.E.; Meier, T.; von Plessen, G.; Schulze, A.; Thomas, P.; Schmitt-Rink, S. Optical investigation of Bloch oscillations in a semiconductor superlattice. Phys. Rev. B 1992, 46, 7252–7255. [Google Scholar] [CrossRef] [PubMed]
- Ben Dahan, M.; Peik, E.; Reichel, J.; Castin, Y.; Salomon, C. Bloch Oscillations of Atoms in an Optical Potential. Phys. Rev. Lett. 1996, 76, 4508–4511. [Google Scholar] [CrossRef]
- Gamayun, O.; Lychkovskiy, O.; Cheianov, V. Kinetic theory for a mobile impurity in a degenerate Tonks-Girardeau gas. Phys. Rev. E 2014, 90, 32132. [Google Scholar] [CrossRef]
- Schecter, M.; Gangardt, D.M.; Kamenev, A. Quantum impurities: From mobile Josephson junctions to depletons. New J. Phys. 2016, 18, 65002. [Google Scholar] [CrossRef]
- Meinert, F.; Knap, M.; Kirilov, E.; Jag-Lauber, K.; Zvonarev, M.B.; Demler, E.; Nägerl, H.C. Bloch oscillations in the absence of a lattice. Science 2017, 356, 945–948. [Google Scholar] [CrossRef]
- Palzer, S.; Zipkes, C.; Sias, C.; Köhl, M. Quantum Transport through a Tonks-Girardeau Gas. Phys. Rev. Lett. 2009, 103, 150601. [Google Scholar] [CrossRef]
- Fukuhara, T.; Kantian, A.; Endres, M.; Cheneau, M.; Schauß, P.; Hild, S.; Bellem, D.; Schollwöck, U.; Giamarchi, T.; Gross, C.; et al. Quantum dynamics of a mobile spin impurity. Nat. Phys. 2013, 9, 235–241. [Google Scholar] [CrossRef]
- Catani, J.; Lamporesi, G.; Naik, D.; Gring, M.; Inguscio, M.; Minardi, F.; Kantian, A.; Giamarchi, T. Quantum dynamics of impurities in a one-dimensional Bose gas. Phys. Rev. A 2012, 85, 023623. [Google Scholar] [CrossRef]
- Spethmann, N.; Kindermann, F.; John, S.; Weber, C.; Meschede, D.; Widera, A. Dynamics of Single Neutral Impurity Atoms Immersed in an Ultracold Gas. Phys. Rev. Lett. 2012, 109, 235301. [Google Scholar] [CrossRef] [PubMed]
- Kain, B.; Ling, H.Y. Analytical study of static beyond-Fröhlich Bose polarons in one dimension. Phys. Rev. A 2018, 98, 033610. [Google Scholar] [CrossRef]
- Panochko, G.; Pastukhov, V. Mean-field construction for spectrum of one-dimensional Bose polaron. Ann. Phys. 2019, 409, 167933. [Google Scholar] [CrossRef]
- Dutta, S.; Mueller, E.J. Variational study of polarons and bipolarons in a one-dimensional Bose lattice gas in both the superfluid and the Mott-insulator regimes. Phys. Rev. A 2013, 88, 53601. [Google Scholar] [CrossRef]
- Koutentakis, G.M.; Mistakidis, S.I.; Schmelcher, P. Pattern formation in one-dimensional polaron systems and temporal orthogonality catastrophe. arXiv 2021, arXiv:2110.11165. [Google Scholar] [CrossRef]
- Seetharam, K.; Shchadilova, Y.; Grusdt, F.; Zvonarev, M.; Demler, E. Quantum Cherenkov transition of finite momentum Bose polarons. arXiv 2021, arXiv:2109.12260. [Google Scholar]
- Ichmoukhamedov, T.; Tempere, J. Feynman path-integral treatment of the Bose polaron beyond the Fröhlich model. Phys. Rev. A 2019, 100, 43605. [Google Scholar] [CrossRef]
- Jager, J.; Barnett, R. Stochastic-field approach to the quench dynamics of the one-dimensional Bose polaron. Phys. Rev. Res. 2021, 3, 033212. [Google Scholar] [CrossRef]
- Volosniev, A.G.; Hammer, H.W. Analytical approach to the Bose-polaron problem in one dimension. Phys. Rev. A 2017, 96, 31601. [Google Scholar] [CrossRef]
- Grusdt, F.; Shchadilova, Y.E.; Rubtsov, A.N.; Demler, E. Renormalization group approach to the Fröhlich polaron model: Application to impurity-BEC problem. Sci. Rep. 2015, 5, 12124. [Google Scholar] [CrossRef] [PubMed]
- Isaule, F.; Morera, I.; Massignan, P.; Juliá-Díaz, B. Renormalization-group study of Bose polarons. Phys. Rev. A 2021, 104, 023317. [Google Scholar] [CrossRef]
- Brauneis, F.; Hammer, H.W.; Lemeshko, M.; Volosniev, A.G. Impurities in a one-dimensional Bose gas: The flow equation approach. SciPost Phys. 2021, 11, 8. [Google Scholar] [CrossRef]
- Mistakidis, S.I.; Volosniev, A.G.; Zinner, N.T.; Schmelcher, P. Effective approach to impurity dynamics in one-dimensional trapped Bose gases. Phys. Rev. A 2019, 100, 013619. [Google Scholar] [CrossRef]
- Grusdt, F.; Astrakharchik, G.E.; Demler, E. Bose polarons in ultracold atoms in one dimension: Beyond the Fröhlich paradigm. New J. Phys. 2017, 19, 103035. [Google Scholar] [CrossRef]
- Ardila, L.A.; Giorgini, S. Impurity in a Bose-Einstein condensate: Study of the attractive and repulsive branch using quantum Monte Carlo methods. Phys. Rev. A 2015, 92, 033612. [Google Scholar] [CrossRef]
- Peña Ardila, L.A.; Jørgensen, N.B.; Pohl, T.; Giorgini, S.; Bruun, G.M.; Arlt, J.J. Analyzing a Bose polaron across resonant interactions. Phys. Rev. A 2019, 99, 063607. [Google Scholar] [CrossRef]
- Parisi, L.; Giorgini, S. Quantum Monte Carlo study of the Bose-polaron problem in a one-dimensional gas with contact interactions. Phys. Rev. A 2017, 95, 23619. [Google Scholar] [CrossRef]
- Schmidt, R.; Enss, T. Self-stabilized Bose polarons. arXiv 2021, arXiv:2102.13616. [Google Scholar]
- Ristivojevic, Z. Dispersion relation of a polaron in the Yang-Gaudin Bose gas. arXiv 2021, arXiv:2111.10421. [Google Scholar]
- Lamacraft, A. Dispersion relation and spectral function of an impurity in a one-dimensional quantum liquid. Phys. Rev. B 2009, 79, 241105. [Google Scholar] [CrossRef]
- Kulish, P.P.; Manakov, S.V.; Faddeev, L.D. Comparison of the exact quantum and quasiclassical results for a nonlinear Schrödinger equation. Theor. Math. Phys. 1976, 28, 615–620. [Google Scholar] [CrossRef]
- Kanamoto, R.; Carr, L.D.; Ueda, M. Topological winding and unwinding in metastable Bose-Einstein condensates. Phys. Rev. Lett. 2008, 100, 060401. [Google Scholar] [CrossRef] [PubMed]
- Kanamoto, R.; Carr, L.D.; Ueda, M. Metastable quantum phase transitions in a periodic one-dimensional Bose gas. II. Many-body theory. Phys. Rev. A 2010, 81, 023625. [Google Scholar] [CrossRef]
- Jackson, A.D.; Smyrnakis, J.; Magiropoulos, M.; Kavoulakis, G.M. Solitary waves and yrast states in Bose-Einstein condensed gases of atoms. EPL 2011, 95, 30002. [Google Scholar] [CrossRef][Green Version]
- Fialko, O.; Delattre, M.C.; Brand, J.; Kolovsky, A.R. Nucleation in finite topological systems during continuous metastable quantum phase transitions. Phys. Rev. Lett. 2012, 108, 250402. [Google Scholar] [CrossRef]
- Sato, J.; Kanamoto, R.; Kaminishi, E.; Deguchi, T. Exact relaxation dynamics of a localized many-body state in the 1D bose gas. Phys. Rev. Lett. 2012, 108, 110401. [Google Scholar] [CrossRef]
- Syrwid, A.; Sacha, K. Lieb-Liniger model: Emergence of dark solitons in the course of measurements of particle positions. Phys. Rev. A 2015, 92, 032110. [Google Scholar] [CrossRef]
- Shamailov, S.S.; Brand, J. Quantum dark solitons in the one-dimensional Bose gas. Phys. Rev. A 2019, 99, 43632. [Google Scholar] [CrossRef]
- Tsuzuki, T. Nonlinear waves in the Pitaevskii-Gross equation. J. Low Temp. Phys. 1971, 4, 441–457. [Google Scholar] [CrossRef]
- Shamailov, S.S.; Brand, J. Dark-soliton-like excitations in the Yang-Gaudin gas of attractively interacting fermions. New J. Phys. 2016, 18, 075004. [Google Scholar] [CrossRef]
- Syrwid, A. Quantum dark solitons in ultracold one-dimensional Bose and Fermi gases. arXiv 2021, arXiv:2009.12554. [Google Scholar] [CrossRef]
- Astrakharchik, G.E.; Brouzos, I. Trapped one-dimensional ideal Fermi gas with a single impurity. Phys. Rev. A 2013, 88, 21602. [Google Scholar] [CrossRef]
- Booth, G.H.; Thom, A.J.; Alavi, A. Fermion monte carlo without fixed nodes: A game of life, death, and annihilation in Slater determinant space. J. Chem. Phys. 2009, 131, 054106. [Google Scholar] [CrossRef] [PubMed]
- Cleland, D.; Booth, G.H.; Alavi, A. Communications: Survival of the fittest: Accelerating convergence in full configuration-interaction quantum Monte Carlo. J. Chem. Phys. 2010, 132, 41103. [Google Scholar] [CrossRef] [PubMed]
- Kalos, M.H.; Whitlock, P.A. Monte Carlo Methods: Second Edition; Wiley-VCH Verlag GmbH & Co. KGaA: Weinheim, Germany, 2009; pp. 1–203. [Google Scholar] [CrossRef]
- Spencer, J.S.; Blunt, N.S.; Foulkes, W.M. The sign problem and population dynamics in the full configuration interaction quantum Monte Carlo method. J. Chem. Phys. 2012, 136, 054110. [Google Scholar] [CrossRef] [PubMed]
- Booth, G.H.; Cleland, D.; Thom, A.J.; Alavi, A. Breaking the carbon dimer: The challenges of multiple bond dissociation with full configuration interaction quantum Monte Carlo methods. J. Chem. Phys. 2011, 135, 84104. [Google Scholar] [CrossRef]
- Cleland, D.; Booth, G.H.; Overy, C.; Alavi, A. Taming the first-row diatomics: A full configuration interaction quantum Monte Carlo study. J. Chem. Theory Comput. 2012, 8, 4138–4152. [Google Scholar] [CrossRef]
- Booth, G.H.; Grüneis, A.; Kresse, G.; Alavi, A. Towards an exact description of electronic wavefunctions in real solids. Nature 2013, 493, 365–370. [Google Scholar] [CrossRef]
- Schwarz, L.R.; Booth, G.H.; Alavi, A. Insights into the structure of many-electron wave functions of Mott-insulating antiferromagnets: The three-band Hubbard model in full configuration interaction quantum Monte Carlo. Phys. Rev. B 2015, 91, 45139. [Google Scholar] [CrossRef]
- Yun, S.J.; Dong, T.K.; Zhu, S.N. Validation of the Ability of Full Configuration Interaction Quantum Monte Carlo for Studying the 2D Hubbard Model. Chin. Phys. Lett. 2017, 34, 80201. [Google Scholar] [CrossRef]
- Yun, S.; Dobrautz, W.; Luo, H.; Alavi, A. Benchmark study of Nagaoka ferromagnetism by spin-adapted full configuration interaction quantum Monte Carlo. Phys. Rev. B 2021, 104, 235102. [Google Scholar] [CrossRef]
- Ebling, U.; Alavi, A.; Brand, J. Signatures of the BCS-BEC crossover in the yrast spectra of Fermi quantum rings. Phys. Rev. Res. 2021, 3, 23142. [Google Scholar] [CrossRef]
- Yang, M.; Pahl, E.; Brand, J. Improved walker population control for full configuration interaction quantum Monte Carlo. J. Chem. Phys. 2020, 153, 174103. [Google Scholar] [CrossRef] [PubMed]
- Brand, J.; Yang, M.; Pahl, E. Stochastic differential equation approach to understanding the population control bias in full configuration interaction quantum Monte Carlo. arXiv 2021, arXiv:2103.07800. [Google Scholar]
- Castin, Y. Simple theoretical tools for low dimension Bose gases. J. Phys. IV 2004, 116, 89–132. [Google Scholar] [CrossRef]
- Ernst, T.; Hallwood, D.W.; Gulliksen, J.; Meyer, H.D.; Brand, J. Simulating strongly correlated multiparticle systems in a truncated Hilbert space. Phys. Rev. A 2011, 84, 23623. [Google Scholar] [CrossRef]
- Vigor, W.A.; Spencer, J.S.; Bearpark, M.J.; Thom, A.J. Minimising biases in full configuration interaction quantum Monte Carlo. J. Chem. Phys. 2015, 142, 104101. [Google Scholar] [CrossRef] [PubMed]
- Lim, L.H.; Weare, J. Fast randomized iteration: Diffusion Monte Carlo through the lens of numerical linear algebra. SIAM Rev. 2017, 59, 547–587. [Google Scholar] [CrossRef]
- Greene, S.M.; Webber, R.J.; Weare, J.; Berkelbach, T.C. Beyond Walkers in Stochastic Quantum Chemistry: Reducing Error Using Fast Randomized Iteration. J. Chem. Theory Comput. 2019, 15, 4834–4850. [Google Scholar] [CrossRef]
- Greene, S.M.; Webber, R.J.; Weare, J.; Berkelbach, T.C. Improved Fast Randomized Iteration Approach to Full Configuration Interaction. J. Chem. Theory Comput. 2020, 16, 5572–5585. [Google Scholar] [CrossRef]
- Čufar, M.; Pahl, E.; Brand, J. Efficient Sampling Algorithms for FCIQMC. Manuscript in preparation.
- Bezanson, J.; Edelman, A.; Karpinski, S.; Shah, V.B. Julia: A fresh approach to numerical computing. SIAM Rev. 2017, 59, 65–98. [Google Scholar] [CrossRef]
- Rimu.jl. Version v0.6.0. Available online: https://github.com/joachimbrand/Rimu.jl (accessed on 22 December 2021).
- Booth, G.H.; Smart, S.D.; Alavi, A. Linear-scaling and parallelisable algorithms for stochastic quantum chemistry. Mol. Phys. 2014, 112, 1855–1869. [Google Scholar] [CrossRef]
- Clement, M.J.; Quinn, M.J. Analytical Performance Prediction on Multicomputers. In Supercomputing ’93: Proceedings of the 1993 ACM/IEEE Conference on Supercomputing; Association for Computing Machinery: New York, NY, USA, 1993; pp. 886–894. [Google Scholar] [CrossRef]
- Byrne, S.; Wilcox, L.C.; Churavy, V. MPI.jl: Julia bindings for the Message Passing Interface. JuliaCon Proc. 2021, 1, 68. [Google Scholar] [CrossRef]
- Flyvbjerg, H.; Petersen, H.G. Error estimates on averages of correlated data. J. Chem. Phys. 1989, 91, 461–466. [Google Scholar] [CrossRef]
- Jonsson, M. Standard error estimation by an automated blocking method. Phys. Rev. E 2018, 98, 043304. [Google Scholar] [CrossRef]
- Overy, C.; Booth, G.H.; Blunt, N.S.; Shepherd, J.J.; Cleland, D.; Alavi, A. Unbiased reduced density matrices and electronic properties from full configuration interaction quantum Monte Carlo. J. Chem. Phys. 2014, 141, 244117. [Google Scholar] [CrossRef]
- Lieb, E.H. Exact analysis of an interacting bose gas. II. the excitation spectrum. Phys. Rev. 1963, 130, 1616–1624. [Google Scholar] [CrossRef]
- Konotop, V.V.; Pitaevskii, L. Landau dynamics of a grey soliton in a trapped condensate. Phys. Rev. Lett. 2004, 93, 8–11. [Google Scholar] [CrossRef]
- Astrakharchik, G.E.; Pitaevskii, L.P. Lieb’s soliton-like excitations in harmonic trap. EPL 2012, 102, 30004. [Google Scholar] [CrossRef]
- Anderson, P.W. Considerations on the Flow of Superfluid Helium. Rev. Mod. Phys. 1966, 38, 298–310. [Google Scholar] [CrossRef]
- Jeszenszki, P.; Luo, H.; Alavi, A.; Brand, J. Accelerating the convergence of exact diagonalization with the transcorrelated method: Quantum gas in one dimension with contact interactions. Phys. Rev. A 2018, 98, 53627. [Google Scholar] [CrossRef]
- Jeszenszki, P.; Ebling, U.; Luo, H.; Alavi, A.; Brand, J. Eliminating the wave-function singularity for ultracold atoms by a similarity transformation. Phys. Rev. Res. 2020, 2, 43270. [Google Scholar] [CrossRef]
- Kain, B.; Ling, H.Y. Polarons in a dipolar condensate. Phys. Rev. A 2014, 89, 023612. [Google Scholar] [CrossRef]
- Ardila, L.A.; Pohl, T. Ground-state properties of dipolar Bose polarons. J. Phys. B At. Mol. Opt. Phys. 2019, 52, 015004. [Google Scholar] [CrossRef]
- Camargo, F.; Schmidt, R.; Whalen, J.D.; Ding, R.; Woehl, G.; Yoshida, S.; Burgdörfer, J.; Dunning, F.B.; Sadeghpour, H.R.; Demler, E.; et al. Creation of Rydberg Polarons in a Bose Gas. Phys. Rev. Lett. 2018, 120, 083401. [Google Scholar] [CrossRef]
- Astrakharchik, G.E.; Ardila, L.A.; Schmidt, R.; Jachymski, K.; Negretti, A. Ionic polaron in a Bose-Einstein condensate. Commun. Phys. 2021, 4, 29–37. [Google Scholar] [CrossRef]
- Keiler, K.; Mistakidis, S.I.; Schmelcher, P. Polarons and their induced interactions in highly imbalanced triple mixtures. Phys. Rev. A 2021, 104, 031301. [Google Scholar] [CrossRef]
- Camacho-Guardian, A.; Peña Ardila, L.A.; Pohl, T.; Bruun, G.M. Bipolarons in a Bose-Einstein Condensate. Phys. Rev. Lett. 2018, 121, 13401. [Google Scholar] [CrossRef]
- Will, M.; Astrakharchik, G.E.; Fleischhauer, M. Polaron Interactions and Bipolarons in One-Dimensional Bose Gases in the Strong Coupling Regime. Phys. Rev. Lett. 2021, 127, 103401. [Google Scholar] [CrossRef] [PubMed]
- Petkovic, A.; Ristivojevic, Z. Mediated interaction between polarons in a one-dimensional Bose gas. arXiv 2021, arXiv:2103.08772. [Google Scholar]
- Umrigar, C.J.; Nightingale, M.P.; Runge, K.J. A diffusion Monte Carlo algorithm with very small time-step errors. J. Chem. Phys. 1993, 99, 2865–2890. [Google Scholar] [CrossRef]
- Ghanem, K.; Liebermann, N.; Alavi, A. Population control bias and importance sampling in full configuration interaction quantum Monte Carlo. Phys. Rev. B 2021, 103, 155135. [Google Scholar] [CrossRef]







Publisher’s Note: MDPI stays neutral with regard to jurisdictional claims in published maps and institutional affiliations. |
© 2022 by the authors. Licensee MDPI, Basel, Switzerland. This article is an open access article distributed under the terms and conditions of the Creative Commons Attribution (CC BY) license (https://creativecommons.org/licenses/by/4.0/).
Share and Cite
Yang, M.; Čufar, M.; Pahl, E.; Brand, J. Polaron-Depleton Transition in the Yrast Excitations of a One-Dimensional Bose Gas with a Mobile Impurity. Condens. Matter 2022, 7, 15. https://doi.org/10.3390/condmat7010015
Yang M, Čufar M, Pahl E, Brand J. Polaron-Depleton Transition in the Yrast Excitations of a One-Dimensional Bose Gas with a Mobile Impurity. Condensed Matter. 2022; 7(1):15. https://doi.org/10.3390/condmat7010015
Chicago/Turabian StyleYang, Mingrui, Matija Čufar, Elke Pahl, and Joachim Brand. 2022. "Polaron-Depleton Transition in the Yrast Excitations of a One-Dimensional Bose Gas with a Mobile Impurity" Condensed Matter 7, no. 1: 15. https://doi.org/10.3390/condmat7010015
APA StyleYang, M., Čufar, M., Pahl, E., & Brand, J. (2022). Polaron-Depleton Transition in the Yrast Excitations of a One-Dimensional Bose Gas with a Mobile Impurity. Condensed Matter, 7(1), 15. https://doi.org/10.3390/condmat7010015

