Electron Density and Compressibility in the Kitaev Model with a Spatially Modulated Phase in the Superconducting Pairing
Abstract
1. Introduction
2. Materials and Methods
2.1. Model and Ground State
2.2. Gapped and Gapless Phases in the Kitaev Model
2.2.1. Gapped Phases
2.2.2. Gapless Phases
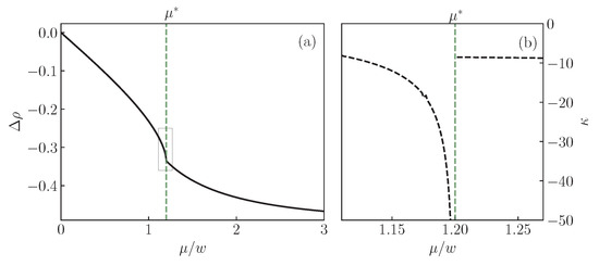
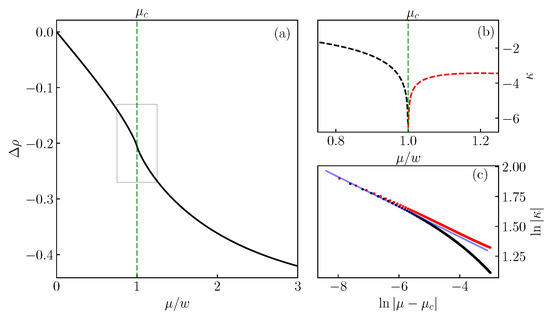
3. Results
Case
4. Discussion and Conclusions
Author Contributions
Funding
Institutional Review Board Statement
Informed Consent Statement
Data Availability Statement
Acknowledgments
Conflicts of Interest
References
- Kitaev, A.Y. Fault-tolerant quantum computation by anyons. Ann. Phys. 2003, 303, 2–30. [Google Scholar] [CrossRef]
- Alicea, J. New directions in the pursuit of Majorana fermions in solid state systems. Rep. Prog. Phys. 2012, 75, 076501. [Google Scholar] [CrossRef] [PubMed]
- Aguado, R. Majorana quasiparticles in condensed matter. Riv. Nuovo Cimento 2017, 40, 523–593. [Google Scholar] [CrossRef]
- Lian, B.; Sun, X.Q.; Vaezi, A.; Qi, X.L.; Zhang, S.C. Topological quantum computation based on chiral Majorana fermions. Proc. Natl. Acad. Sci. USA 2018, 115, 10938–10942. [Google Scholar] [CrossRef] [PubMed]
- Das Sarma, S. In search of Majorana. Nat. Phys. 2023, 19, 165–170. [Google Scholar] [CrossRef]
- Aghaee, M.; Akkala, A.; Alam, Z.; Ali, R.; Ramirez, A.A.; Andrzejczuk, M.; Antipov, A.E.; Aseev, P.; Astafev, M.; Bauer, B.; et al. InAs-Al hybrid devices passing the topological gap protocol. Phys. Rev. B 2023, 107, 245423. [Google Scholar] [CrossRef]
- Lutchyn, R.M.; Sau, J.D.; Das Sarma, S. Majorana fermions and a topological phase transition in semiconductor-superconductor heterostructures. Phys. Rev. Lett. 2010, 105, 077001. [Google Scholar] [CrossRef] [PubMed]
- Oreg, Y.; Refael, G.; von Oppen, F. Helical Liquids and Majorana Bound States in Quantum Wires. Phys. Rev. Lett. 2010, 105, 177002. [Google Scholar] [CrossRef] [PubMed]
- Fu, L.; Kane, C.L. Superconducting proximity effect and Majorana fermions at the surface of a topological insulator. Phys. Rev. Lett. 2008, 100, 096407. [Google Scholar] [CrossRef] [PubMed]
- Fu, L.; Kane, C.L. Josephson current and noise at a superconductor/quantum-spin-Hall-insulator/superconductor junction. Phys. Rev. B 2009, 79, 161408. [Google Scholar] [CrossRef]
- Choy, T.P.; Edge, J.M.; Akhmerov, A.R.; Beenakker, C.W.J. Majorana fermions emerging from magnetic nanoparticles on a superconductor without spin-orbit coupling. Phys. Rev. B 2011, 84, 195442. [Google Scholar] [CrossRef]
- Nadj-Perge, S.; Drozdov, I.K.; Bernevig, B.A.; Yazdani, A. Proposal for realizing Majorana fermions in chains of magnetic atoms on a superconductor. Phys. Rev. B 2013, 88, 020407. [Google Scholar] [CrossRef]
- Pientka, F.; Glazman, L.I.; von Oppen, F. Topological superconducting phase in helical Shiba chains. Phys. Rev. B 2013, 88, 155420. [Google Scholar] [CrossRef]
- Vazifeh, M.M.; Franz, M. Self-Organized Topological State with Majorana Fermions. Phys. Rev. Lett. 2013, 111, 206802. [Google Scholar] [CrossRef]
- Heimes, A.; Kotetes, P.; Schön, G. Majorana fermions from Shiba states in an antiferromagnetic chain on top of a superconductor. Phys. Rev. B 2014, 90, 060507. [Google Scholar] [CrossRef]
- Miao, J.J.; Jin, H.K.; Zhang, F.C.; Zhou, Y. Exact Solution for the Interacting Kitaev Chain at the Symmetric Point. Phys. Rev. Lett. 2017, 118, 267701. [Google Scholar] [CrossRef] [PubMed]
- Wang, Y.; Miao, J.J.; Jin, H.K.; Chen, S. Characterization of topological phases of dimerized Kitaev chain via edge correlation functions. Phys. Rev. B 2017, 96, 205428. [Google Scholar] [CrossRef]
- Miao, J.J.; Jin, H.K.; Zhang, F.C.; Zhou, Y. Majorana zero modes and long range edge correlation in interacting Kitaev chains: Analytic solutions and density-matrix-renormalization-group study. Sci. Rep. 2018, 8, 488. [Google Scholar] [CrossRef]
- Koga, A.; Murakami, Y.; Nasu, J. Majorana correlations in the Kitaev model with ordered-flux structures. Phys. Rev. B 2021, 103, 214421. [Google Scholar] [CrossRef]
- Vodola, D.; Lepori, L.; Ercolessi, E.; Gorshkov, A.V.; Pupillo, G. Kitaev Chains with Long-Range Pairing. Phys. Rev. Lett. 2014, 113, 156402. [Google Scholar] [CrossRef]
- Vodola, D.; Lepori, L.; Ercolessi, E.; Pupillo, G. Long-range Ising and Kitaev models: Phases, correlations and edge modes. New J. Phys. 2016, 18, 015001. [Google Scholar] [CrossRef]
- Jäger, S.B.; Dell’Anna, L.; Morigi, G. Edge states of the long-range Kitaev chain: An analytical study. Phys. Rev. B 2020, 102, 035152. [Google Scholar] [CrossRef]
- Francica, G.; Dell’Anna, L. Correlations, long-range entanglement, and dynamics in long-range Kitaev chains. Phys. Rev. B 2022, 106, 155126. [Google Scholar] [CrossRef]
- Takasan, K.; Sumita, S.; Yanase, Y. Supercurrent-induced topological phase transitions. Phys. Rev. B 2022, 106, 014508. [Google Scholar] [CrossRef]
- Kotetes, P. Diagnosing topological phase transitions in 1D superconductors using Berry singularity markers. J. Phys. Cond. Mater. 2022, 34, 174003. [Google Scholar] [CrossRef]
- Ma, E.S.; Song, Z. Off-diagonal long-range order in the ground state of the Kitaev chain. Phys. Rev. B 2023, 107, 205117. [Google Scholar] [CrossRef]
- Maiellaro, A.; Romeo, F.; Illuminati, F.; Citro, R. Resilience of topological superconductivity under particle current. Phys. Rev. B 2023, 107, 064505. [Google Scholar] [CrossRef]
- Volovik, G. Topological lifshitz transitions. Low Temp. Phys. 2017, 43, 47–55. [Google Scholar] [CrossRef]
- Volovik, G.E. Exotic Lifshitz transitions in topological materials. Phys. Usp. 2018, 61, 89. [Google Scholar] [CrossRef]
- Yerin, Y.; Petrillo, C.; Varlamov, A. The Lifshitz nature of the transition between the gap and gapless states of a superconductor. SciPost 2022, 5, 009. [Google Scholar] [CrossRef]
- Yerin, Y.; Varlamov, A.; Petrillo, C. Topological nature of the transition between the gap and the gapless superconducting states. Europhys. Lett. 2022, 138, 16005. [Google Scholar] [CrossRef]
- Medina Cuy, F.G.; Buccheri, F.; Dolcini, F. Lifshitz transitions and Weyl semimetals from a topological superconductor with supercurrent flow. Phys. Rev. Res. 2024, 6, 033060. [Google Scholar] [CrossRef]
- Medina Cuy, F.G.; Dolcini, F. Correlation functions of the Kitaev model with a spatially modulated phase in the superconducting order parameter. Phys. Rev. B 2024, 110, 214512. [Google Scholar] [CrossRef]
- Fulde, P.; Ferrell, R.A. Superconductivity in a Strong Spin-Exchange Field. Phys. Rev. 1964, 135, A550–A563. [Google Scholar] [CrossRef]
- Larkin, A.I.; Ovchinnikov, Y.N. Nonuniform state of Superconductors. Zh. Eksp. Teor. Fiz. 1964, 47, 1136–1146, English version in Sov. Phys. J. Exp. Theor. Phys. 1965, 20, 762.. [Google Scholar]
- Machida, K.; Nakanishi, H. Superconductivity under a ferromagnetic molecular field. Phys. Rev. B 1984, 30, 122–133. [Google Scholar] [CrossRef]
- Buzdin, A.I.; Polonskiǐ, S.V. Nonuniform state in quasi-1D superconductors. Sov. Phys. J. Exp. Theor. Phys. 1987, 66, 422–429. [Google Scholar]
- Matsuda, Y.; Shimahara, H. Fulde-Ferrell-Larkin-Ovchinnikov state in heavy fermion superconductors. J. Phys. Soc. Jpn. 2007, 76, 051005. [Google Scholar] [CrossRef]
- Chen, W.; Legner, M.; Rüegg, A.; Sigrist, M. Correlation length, universality classes, and scaling laws associated with topological phase transitions. Phys. Rev. B 2017, 95, 075116. [Google Scholar] [CrossRef]
- Mourik, V.; Zuo, K.; Frolov, S.; Plissard, S.; Bakkers, E.P.A.M.; Kouwenhoven, L. Signatures of Majorana fermions in hybrid superconductor-semiconductor nanowire devices. Science 2012, 336, 1003–1007. [Google Scholar] [CrossRef]
- Rokhinson, L.P.; Liu, X.; Furdyna, J.K. The fractional ac Josephson effect in a semiconductor–superconductor nanowire as a signature of Majorana particles. Nat. Phys. 2012, 8, 795–799. [Google Scholar] [CrossRef]
- Das, A.; Ronen, Y.; Most, Y.; Oreg, Y.; Heiblum, M.; Shtrikman, H. Zero-bias peaks and splitting in an Al–InAs nanowire topological superconductor as a signature of Majorana fermions. Nat. Phys. 2012, 8, 887–895. [Google Scholar] [CrossRef]
- Gül, Ö.; Zhang, H.; Bommer, J.D.; de Moor, M.W.; Car, D.; Plissard, S.R.; Bakkers, E.P.; Geresdi, A.; Watanabe, K.; Taniguchi, T.; et al. Ballistic Majorana nanowire devices. Nat. Nanotechnol. 2018, 13, 192–197. [Google Scholar] [CrossRef] [PubMed]
- Hart, S.; Ren, H.; Wagner, T.; Leubner, P.; Mühlbauer, M.; Brüne, C.; Buhmann, H.; Molenkamp, L.W.; Yacoby, A. Induced superconductivity in the quantum spin Hall edge. Nat. Phys. 2014, 10, 638–643. [Google Scholar] [CrossRef]
- Yu, P.; Chen, J.; Gomanko, M.; Badawy, G.; Bakkers, E.; Zuo, K.; Mourik, V.; Frolov, S. Non-Majorana states yield nearly quantized conductance in proximatized nanowires. Nat. Phys. 2021, 17, 482–488. [Google Scholar] [CrossRef]
- Nadj-Perge, S.; Drozdov, I.K.; Li, J.; Chen, H.; Jeon, S.; Seo, J.; MacDonald, A.H.; Bernevig, B.A.; Yazdani, A. Observation of Majorana fermions in ferromagnetic atomic chains on a superconductor. Science 2014, 346, 602–607. [Google Scholar] [CrossRef]
- Chen, H.J.; Fang, X.W.; Chen, C.Z.; Li, Y.; Tang, X.D. Robust signatures detection of Majorana fermions in superconducting iron chains. Sci. Rep. 2016, 6, 36600. [Google Scholar] [CrossRef]
- Pawlak, R.; Kisiel, M.; Klinovaja, J.; Meier, T.; Kawai, S.; Glatzel, T.; Loss, D.; Meyer, E. Probing atomic structure and Majorana wavefunctions in mono-atomic Fe chains on superconducting Pb surface. Npj Quant. Inf. 2016, 2, 16035. [Google Scholar] [CrossRef]
- Suresh, N.; Phase, D.; Gupta, A.; Chaudhari, S. Electron density fluctuations at interfaces in Nb/Si bilayer, trilayer, and multilayer films: An x-ray reflectivity study. J. Appl. Phys. 2000, 87, 7946–7958. [Google Scholar] [CrossRef]
- Garnett, E.C.; Tseng, Y.C.; Khanal, D.R.; Wu, J.; Bokor, J.; Yang, P. Dopant profiling and surface analysis of silicon nanowires using capacitance-voltage measurements. Nat. Nanotechnol. 2009, 4, 311–314. [Google Scholar] [CrossRef] [PubMed]
- Rojo, M.M.; Calero, O.C.; Lopeandia, A.; Rodriguez-Viejo, J.; Martín-Gonzalez, M. Review on measurement techniques of transport properties of nanowires. Nanoscale 2013, 5, 11526–11544. [Google Scholar] [CrossRef] [PubMed]
- Wielgoszewski, G.; Pałetko, P.; Tomaszewski, D.; Zaborowski, M.; Jóźwiak, G.; Kopiec, D.; Gotszalk, T.; Grabiec, P. Carrier density distribution in silicon nanowires investigated by scanning thermal microscopy and Kelvin probe force microscopy. Micron 2015, 79, 93–100. [Google Scholar] [CrossRef]
- Kim, S.; Lee, H.; Eom, S.; Ji, G.; Choi, S.H.; Joo, H.; Bae, J.; Kim, K.K.; Park, H.R.; Park, K.D. Dynamical control of nanoscale electron density in atomically thin n-type semiconductors via nano-electric pulse generator. Sci. Adv. 2024, 10, eadr0492. [Google Scholar] [CrossRef]
- Eisenstein, J.; Pfeiffer, L.; West, K. Compressibility of the two-dimensional electron gas: Measurements of the zero-field exchange energy and fractional quantum Hall gap. Phys. Rev. B 1994, 50, 1760–1778. [Google Scholar] [CrossRef]




Disclaimer/Publisher’s Note: The statements, opinions and data contained in all publications are solely those of the individual author(s) and contributor(s) and not of MDPI and/or the editor(s). MDPI and/or the editor(s) disclaim responsibility for any injury to people or property resulting from any ideas, methods, instructions or products referred to in the content. |
© 2025 by the authors. Licensee MDPI, Basel, Switzerland. This article is an open access article distributed under the terms and conditions of the Creative Commons Attribution (CC BY) license (https://creativecommons.org/licenses/by/4.0/).
Share and Cite
Medina Cuy, F.G.; Dolcini, F. Electron Density and Compressibility in the Kitaev Model with a Spatially Modulated Phase in the Superconducting Pairing. Condens. Matter 2025, 10, 14. https://doi.org/10.3390/condmat10010014
Medina Cuy FG, Dolcini F. Electron Density and Compressibility in the Kitaev Model with a Spatially Modulated Phase in the Superconducting Pairing. Condensed Matter. 2025; 10(1):14. https://doi.org/10.3390/condmat10010014
Chicago/Turabian StyleMedina Cuy, Fabián G., and Fabrizio Dolcini. 2025. "Electron Density and Compressibility in the Kitaev Model with a Spatially Modulated Phase in the Superconducting Pairing" Condensed Matter 10, no. 1: 14. https://doi.org/10.3390/condmat10010014
APA StyleMedina Cuy, F. G., & Dolcini, F. (2025). Electron Density and Compressibility in the Kitaev Model with a Spatially Modulated Phase in the Superconducting Pairing. Condensed Matter, 10(1), 14. https://doi.org/10.3390/condmat10010014

