Next Article in Journal
Tracking Biomarkers for the Health and Welfare of Aquaculture Fish
Next Article in Special Issue
Socially Acceptable Feed Formulations May Impact the Voluntary Feed Intake and Growth, but Not Robustness of Nile Tilapia (Oreochromis niloticus)
Previous Article in Journal
Sex Differences in the Brain Transcriptomes of Adult Blue Gourami Fish (Trichogaster trichopterus)
Previous Article in Special Issue
Fish Welfare in Aquaculture: Physiological and Immunological Activities for Diets, Social and Spatial Stress on Mediterranean Aqua Cultured Species
 
 
Font Type:
Arial Georgia Verdana
Font Size:
Aa Aa Aa
Line Spacing:
Column Width:
Background:
Article

Understanding the Causes of Lumpfish (Cyclopterus lumpus) Mortality in Norwegian Hatcheries: Challenges and Opportunities

by
Lauris Boissonnot
1,*,
Camilla Karlsen
1,
Thor Magne Jonassen
2,
Silje Stensby-Skjærvik
1,
Torolf Storsul
1 and
Albert Kjartan Dagbjartarson Imsland
3,4
1
Aqua Kompetanse AS, 7770 Flatanger, Norway
2
Oslo Office, Akvaplan-niva AS, 0579 Oslo, Norway
3
Iceland Office, Akvaplan-niva AS, 201 Kópavogur, Iceland
4
High Technology Centre, Department of Biological Sciences, University of Bergen, 5020 Bergen, Norway
*
Author to whom correspondence should be addressed.
Fishes 2024, 9(7), 288; https://doi.org/10.3390/fishes9070288
Submission received: 30 April 2024 / Revised: 5 July 2024 / Accepted: 9 July 2024 / Published: 19 July 2024
(This article belongs to the Special Issue Welfare and Sustainability in Aquaculture)

Abstract

Lumpfish are broadly used as biological sea lice removers in Norwegian salmon farming and are mostly produced in hatcheries. To date, there is little systematic documentation on the mortality causes of lumpfish in hatcheries. In the current study, data from 12 selected fish groups from four hatcheries in Norway were collected to understand the challenges and opportunities related to the categorization of mortality causes of lumpfish in hatcheries. This study indicated that a high proportion of lumpfish mortality was categorized by the hatcheries as unspecified. When specified, mortality was primarily assessed as due to fin damage. Our analyses showed that mortality categorized as fin damage correlated with the detection of infectious agents in dead fish, suggesting that mortality was due to infections rather than fin damage. It was not possible to conclude whether infection with pathogens present in the environment caused fin damage or if injuries from aggression were a gateway for pathogens. Furthermore, due to the lack of information regarding production conditions, it was not possible to assess risk factors causing eventual aggression or the presence of pathogens. This study revealed that mortality causality—the chain of events leading to death—is mainly unclear in lumpfish hatcheries because (1) mortality categorization does not focus on underlying causes and (2) there is little documentation of production conditions, making it very difficult to relate mortality rates to external factors. The present findings highlight that there are gaps in the registrations made by hatcheries and that there is an urgent need to implement standardized monitoring protocols for lumpfish hatcheries. This will help identify the causes of mortality and, therefore, allow for the implementation of proper measures that will ensure better survival.
Key Contribution: Lumpfish mortality in the hatcheries that were followed up in this study was mainly categorised as unspecified or directly due to fin damages, and it was not possible to identify the train of events causing death based on this categorization and on rather fragmented production data. This study therefore highlights that the primary challenges that prevent understanding the causes of lumpfish mortality in hatcheries are that mortality categorisation performed by the hatchery staff is imperfect and that there is generally a lack of systematic registration, both regarding production conditions and fish welfare and health.

1. Introduction

The salmon louse (Lepeophtheirus salmonis) causes major problems in the aquaculture of Atlantic salmon (Salmo salar) [1,2]. This ectoparasite feeds on the skin, mucus, and blood of salmon [3,4], exposing them to the risk of reduced growth as well as secondary infections and osmotic stress that can result in death if untreated [5,6,7]. Several methods have been developed to limit salmon louse infestation levels on farmed Atlantic salmon, including chemical and mechanical treatments [8]. These methods can be problematic; chemical treatments can lead to louse resistance [5] while mechanical treatments can inflict injuries on salmon, negatively impacting welfare and potentially increasing mortality [9,10].
The control of sea lice through the use of “cleaner fish” such as lumpfish (Cyclopterus lumpus) and wrasses (Labridae family) has been implemented as a biological alternative to chemical and mechanical treatments [11,12]. Biological delousing is particularly attractive as it exposes salmon to very little stress and reduces sea lice infection levels [13,14]. The use of farmed lumpfish as cleaner fish in salmon farms along the Norwegian coast has increased from 10 million individuals in 2015 to almost 43 million in 2019 but was gradually reduced thereafter, down to 17 million in 2022 [15]. One of the reasons for the recent decline in the use of lumpfish in Norwegian sea cages is growing concern and criticism about the welfare and survival of lumpfish [16,17,18]. Nowadays, almost all lumpfish that are stocked in Norwegian salmon cages are farmed lumpfish, i.e., produced in hatcheries, mostly from wild-caught broodstock, although some come from the hatcheries’ own broodstock, which itself originates from wild parental brood fish [19]. Milt and roe are collected, fertilized, hatched, and reared in a flow-through system. These flow-through systems use full-strength seawater and the buildings are equipped with artificial lighting. The production cycle in the hatchery phase lasts, on average, for seven months, from hatching to transfer to sea, when lumpfish weigh around 20–40 g [20].
Although it has been claimed that lumpfish is a relatively easy species to breed [21], there is very little documentation on the welfare and survival of lumpfish in the hatchery phase. Most of the available information comes from a survey conducted by Amundsen and Størkersen [22], which gathered farmers’ experiences with lumpfish farming. Challenges related to hygiene and water quality, as well as eggs and larvae of “low quality” and high mortality of larvae and fry, were reported. A typical increase in mortality occurs in connection with starter feeding and after vaccination. Mortality was also reported to be due to various bacterial and viral infections. Welfare problems such as tail biting, fin erosion, and fin damage were also reported. In addition, varying incidences of cataracts in hatcheries have been reported ([11,23]; P. Reynolds, GIFAS, pers. comm.). Production strategies are not standardized between the different hatcheries [19], which can lead to drastic differences in the way lumpfish are reared, and affect fish welfare and robustness.
Recently, Reynolds et al. [24] investigated causes of mortality and loss of lumpfish from both small- and large-scale research facilities in Northern Norway. Results showed that causes of mortality varied within and between research sites. For lumpfish in hatcheries, as well as for those deployed at small-scale sea pens, the primary cause of mortality was identified as pathogenic. In contrast, for lumpfish deployed at large-scale sea pens, transporting, grading, and mechanical delousing were the primary causes of mortality. The results indicated that more research is required to clarify best practices both in commercial hatcheries and salmon cages. Additionally, further understanding of lumpfish biological requirements and stress physiology is necessary to develop better methods that safeguard lumpfish welfare and meet their needs.
According to Norwegian legislation, risk-based health inspections must be performed monthly by veterinarians or fish health biologists [25]. Based on a risk assessment, a representative selection of the production units is inspected. A representative sample of recently deceased individuals is then autopsied, and relevant investigations are conducted. The primary aim is to identify causes of mortality and to detect the presence of diseases, as well as to identify factors that predispose the spread of infectious agents. Although the regulations mandate a risk-based health inspection, they do not provide specific guidelines on how these inspections should be conducted or reported. This lack of standardization makes comparisons between hatcheries challenging. Even though these health controls gather a significant amount of information that could be useful for better understanding mortality challenges in hatcheries, no efforts have been made so far to compile this information systematically. In addition to the health inspections, farm staff routinely record causes of mortality every day (i.e., daily registered mortality causes); however, the practice of categorizing mortality is not standardized.
This study investigates the challenges related to the documentation of daily registered mortality causes of lumpfish in four commercial hatcheries in Norway in 2020–2021. Production data with categorized mortality, as well as reports from fish health controls, including welfare assessments and detected infectious agents, were gathered and analyzed. Two specific questions were formulated in this study: (1) What are the main causes of lumpfish mortality that are registered in hatcheries? (2) What are the challenges related to the categorization of mortality?

2. Material and Methods

Data for this study were collected from four hatcheries located in three counties in Norway (Vestlandet, Møre og Romsdal, and Trøndelag). The hatchery staff was asked to provide the authors’ daily registrations on mortality, as well as the tank size, water quality, flow, feeding strategies, light, handling, detected infectious agents, production events (sorting and vaccination), and reports from health inspections. The study population consisted of 8,112,848 lumpfish from 12 fish groups (Table 1). The hatcheries were asked to send data from a selection of fish groups with varying mortality to ensure variation in the data. The presented data are, thus, not necessarily representative of the general situations in hatcheries. The number of lumpfish in each fish group varied from 197,207 to 1,218,151.

2.1. Animal Source and Husbandry

Three hatcheries only measured water temperature, while the fourth hatchery measured oxygen, salinity, nitrogen, and CO2, in addition to water temperature. There was no clear relationship between these additional water quality parameters and the mortality, and only water temperature was included as a factor in further analysis. In order to investigate whether the density of the tanks affected mortality, information on the tank size was requested. This information was provided from hatchery D, where the density in each tank was calculated and the average density at the fish group level was assessed. There is considerable uncertainty associated with such calculations, as in the fry phase before vaccination, there is only an estimate of the number of fish in each tank. Data on the feed producer, pellet size, feed type, and feed quantity were collected for each tank. All data from individual tanks with fish of the same cohort were combined and treated as one group. The feeding strategy at the group level was defined based on the most common strategy among the fish tanks in the group. In cases where more than half of the tanks had not been fed on the current day, a feed withdrawal day was registered at the fish group level. Information about the feeding strategy in the various groups is presented in Table 2. All fish groups were vaccinated, but the date of vaccination was only provided for 10 of the 12 fish groups. Vaccination of lumpfish was performed using a needle positioned midway between the caudal edge of the suction cup and the anal pore. The needle length was adapted to the size of the fish to ensure that the vaccine was deposited freely in the abdominal cavity. It was stated by the hatchery staff that sorting took place very frequently throughout production, but actual dates for sorting were not registered in any reports. Sorting mainly proceeded to separate the fish into size classes, where the biggest fish were grouped together and kept in tanks until vaccination, and the smallest fish were sorted at least four times according to size until they were big enough to go through vaccination. At each sorting, fish with similar sizes from different tanks were mixed together in new tanks.

2.2. Mortality and Daily Registered Causes

Due to the high number of transfers and sorting of individual tanks, all data from individual tanks were combined to represent the entire fish group. This approach reduced the number of replicates, but as it was nearly impossible to track the fish at the tank level, this was considered the best solution. Data on the incoming stock of lumpfish and the number of dead and culled lumpfish for each tank were summarized daily for each group. The average lumpfish weight and water temperature in the tanks were also calculated. Since the hatched juveniles are too small to be counted, early population numbers are estimated based on biomass. Hence, later in the production, when fish were counted (from approximately 1.5–2.5 g), the fish inventory registered in the reports could—in some cases—be adjusted upwards.
Data wrangling was conducted to cleanse and convert the raw dataset into a usable format. Double registrations of tanks due to transfers as well as large differences in the starting weights of fish groups were discovered (0.004–4 g). The time from hatching to the first registration of stock was estimated using the growth curves for the fish groups with the highest average weights, in order to establish age (weeks post-hatching) as a variable. Based on this, it was assumed that the starting point for group C-1 was 4 weeks post-hatching, while the other groups were assumed to be followed from hatching. Cumulative mortality for each group was calculated as the number of dead fish divided by the total number of hatched fish. The final number of lumpfish delivered for deployment to salmon cages was calculated as the remaining number of fish after subtracting the number of dead and culled fish.
Mortality causes were evaluated and registered daily in all the hatcheries, based on a combination of visual assessments of dead individuals and knowledge of production events and water quality. Due to differences in data setup, an exhaustive list that included both recorded and non-recorded mortality causes was available for the monitored fish groups at hatcheries A, B, and D, while only the mortality causes recorded for the relevant groups were included for hatchery C. The dataset contained a total of 20 different categories of mortality causes, including 1 for unknown causes. Several of the categories pointed toward the same cause but with different names. Similar mortality causes with different designations were, thus, combined in the analysis, and causes that were rarely recorded were grouped as ‘other’ (Table 3).

2.3. Fish Health Reports

A total of 85 documents from fish health controls were reviewed, of which 8 were analysis results (PCR, bacteriology, and/or histology), while the remaining 77 were reports from health controls that included analysis results. The extent to which fish groups were monitored varied, with each group receiving between 3 to 11 reports. Various fish health staff members conducted these health controls, but each hatchery consistently used a single fish health service provider for all assessments. During each health inspection, the fish health staff member performed a combination of visual inspections of the tanks, gathered production data, and conducted autopsies on dead fish retrieved on the day of the inspection, as well as sampled fish tissue for bacteriology, PCR, and histology analyses. Based on the different fish health reports, factors such as appetite, welfare, water quality, mortality, and the degree of fin damage (mainly on the caudal fin) for each individual fish group on the day of the visit were registered in a joint document by Aqua Kompetanse’s fish health personnel. Water quality was assessed by fish health personnel on the day of the inspection and was based on temperature, oxygen saturation, and a visual evaluation of tank hygiene—e.g., particles in suspension or microbial developments in the tanks. The number of autopsied fish was not always mentioned in the reports, but when it was, the number varied from 5 to 52 fish.
All reports included an assessment of welfare and water quality, while appetite and fin damage were not always commented on. As it is a customary practice among fish health personnel to interpret missing observations as normal or within accepted ranges, it was assumed that these factors were not problematic when not commented on. In cases where fin damage was reported in some tanks, fin damage was recorded as variable, while in the cases where fin damage was a widespread problem in the groups, fin damage was recorded as widespread. In cases where reduced appetite was reported, the appetite was recorded as reduced. In cases where weekly mortality was >0.5% or there were comments on increased mortality in the groups, the mortality was recorded as high. Otherwise, mortality was assessed as acceptable.
No scores of operational welfare indicators (OWIs) at the individual level were recorded in the health reports. The welfare and water quality assessments in the reports were often categorized as good, slightly reduced, clearly reduced, or severely reduced. For both welfare and water quality, good was used to denote no irregularity, slightly reduced denotes some small irregularities, clearly reduced denotes clearly reduced welfare or significant irregularities in the water quality for short periods, and severely reduced denotes severely reduced fish welfare or major irregularities in the water quality for a longer period. In the case of positive test results for a given pathogen, it was recorded that an infectious agent had been detected.

2.4. Statistical Analyses

All data processing and statistical analyses were carried out in R [26]. In order to study differences between the hatcheries and identify causes of mortality at the hatchery stage, a multivariate analysis in the form of principal component analysis (PCA) was used [27,28].
In the analysis, water temperature, biomass, feeding (% of the biomass), water quality, welfare assessments, diagnosed infections, and vaccinations were included as variables. The water quality and welfare assessments were based on the assessments made at the health inspections. In order to continuously assess this, it was assumed that the water quality and welfare of the lumpfish were good at hatching and that the water quality and welfare assessments were unchanged until the next assessment. Both water quality and welfare assessments were converted into a numerical scale ranging from 0 to 3, where 0 indicated good conditions and 3 indicated severe conditions. Infection and vaccination statuses were handled as indicator variables: a value of 1 was assigned if infectious agents were detected or vaccination was carried out, and a value of 0 was assigned otherwise. The period encompassing ten days before and ten days after the detection of infectious agents was included as ’infection’ in the indicator variable, while the vaccination day and the following three days after vaccination were included in the variable for vaccination. Each of the detected infectious agents was treated separately in the analysis. In addition, a common variable for all detected infectious agents was included as a supplementary variable. The daily mortality was also included as a supplementary variable. Since daily mortality was skewed, the square root of the daily mortality was used in the analysis to compress the highest mortality [29]. The supplementary variables did not affect the analysis itself but were used to assess correlation with the explanatory variables. A separate analysis with the grouped daily registered mortality causes (Table 3) included as supplementary variables was also carried out to compare the daily registered mortality causes to production conditions and health variables.

3. Results

3.1. Health Status

Data from the 77 health inspection reports indicated that the health condition in the tanks was generally slightly reduced (Figure 1). Appetite was assessed as good in all instances, while high mortality was reported in 34% of the reported cases. The welfare of the lumpfish was assessed as good or slightly reduced in 81% of cases, and the water quality was reduced in only one case. In 30% of cases, the water quality was assessed as being slightly reduced, while in the remaining cases, it was reported as good. Fin damage was considered widespread in 9% of the cases and variable in 22% of cases. Infectious agents were detected in 21% of fish health assessments, where Tenacibaculum sp. was detected most frequently (12 out of 18 detections). Cyclopterus lumpus coronavirus (CLuCV) was detected in seven cases, of which, six occurred at the same time as when Tenacibaculum sp. was detected. In addition, Paramoeba perurans and Vibrio splendidus were detected on two and three occasions, respectively.

3.2. Daily Registered Mortality Causes

The proportion of mortality that was unspecified varied between the hatcheries from 14.8% to 100%, with an average of 60.7% (Figure 2). Facilities C and D were hatcheries that had categorized the largest proportion of mortality. These hatcheries also had the groups with the highest mortality (Table 1). Among the daily registered mortality causes, fin damage was the most frequently indicated (35.5% of total mortality). In addition, 9.4% of the mortality in C-2 was registered with handling as the mortality cause, while 8.4% of the mortality in C-1 was registered with bacterial ulcers as the mortality cause. For group B-2, 6.4% of mortality was linked to poor water quality.
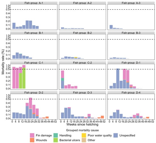
There was a clear trend in the daily registered causes of mortality over time for the four fish groups at hatchery D (Figure 3). At the start of production, most of the mortality was categorized as unspecified, while after 16–28 weeks, an increasing proportion of mortality was attributed to fin damage and wound problems. This trend was also observed in fish group C-2, which experienced early problems with fin damage. Since hatcheries A and B categorized most mortality as unspecified, it was not possible to identify temporal trends in the daily registered mortality causes.

3.3. Analyzed Causes of Mortality

The total mortality at most of the hatcheries in this study was <20% (Table 1, Figure 4). Three fish groups (C-1, D-1, and D-2) had a total mortality of 20 % , where the total mortality in group 9 reached 31.5%. For four of the groups (B-3, C-1, D-2, and D-4) ≥ 20 % of the lumpfish was culled during production. Fish groups C-1, C-2, D-1, and D-2 had several subsequent weeks of high mortality during production (weekly mortality rate 0.5 % ). Fish group C-1 had a weekly mortality rate of ≥0.5% for eight weeks during production and had the highest overall mortality among the groups. Fish group D-1 had a weekly mortality rate of ≥ 0.5% for three weeks during production, while groups C-2 and D-2 had one week with a mortality rate of ≥ 0.5%. Throughout production, the remaining groups had a mortality rate of < 0.5 % per week, but there were isolated events of increased mortality for these groups as well.
For several of the fish groups (A-1, A-3, B-1, C-1, C-2, D-2, and D-3), there was increased mortality immediately after hatching. The welfare and water quality of fish groups from hatcheries A and B were generally assessed as good at the time of the fish health controls, while the welfare and water quality of fish groups from hatcheries C and D were most often assessed as slightly reduced. There were also cases where welfare and water quality in the tanks were assessed as clearly and severely reduced in the fish groups from hatcheries C and D.
Infectious agents were detected in fish groups B-2, C-1, D-1, D-2, D-3 and D-4. Tenacibaculum sp. and CLuCV were detected in the fish groups with the highest total mortality (C-1, D-1, D-2, and D-3; Table 1). For fish groups C-1, D-1, and D-2, these infectious agents were detected multiple times during production, while for group D-3, they were only detected at the beginning of production. In the weeks prior to and after the detection of Tenacibaculum sp. and Cyclopterus lumpus coronavirus CLuCV, there was high mortality among the respective fish groups. V. splendidus was detected in fish group D-4 three times during production but there was low mortality in the fish group at the time of detection. P. perurans and CLuCV were detected in group B-2, but the mortality was low in this group.
For fish groups C-1, D-1, and D-2, a larger proportion of lumpfish was culled by the hatchery after detection of Tenacibaculum sp. and CLuCV. Over 50% of group D-4 was culled after the last detection of V. splendidus. In addition to culling during production, a considerable proportion of fish groups B-3 and C-2 were culled at the end of production, without apparent detection of infectious agents. Culled fish could not be included in further analyses as the cause of culling was not registered. Vaccination was often carried out over a longer period, hence, it was not possible to assess whether vaccination had a direct effect on mortality.
In the multivariate analysis, which included production data, i.e., temperature, average weight, feeding (% of the biomass), and vaccination, as well as assessments carried out at the health controls, i.e., water quality, welfare, and detection of infectious agents for all fish groups, the detection of infectious agents showed the highest correlation with increased mortality (Figure 5a). However, only the detection of Tenacibaculum sp. and CLuCV correlated with high mortality, while detection of P. perurans and V. splendidus did not. Average weight correlated somewhat negatively with mortality, indicating a higher mortality at the beginning of production. In the multivariate analysis, which incorporated all the data mentioned above as well as daily registered mortality causes, fin damage, and bacterial ulcers, there was a clear correlation with the detection of Tenacibaculum sp. and CLuCV (Figure 5b). Registered mortality causes such as handling, wounds, water quality, and others contributed insignificantly to the analysis, most likely due to the small number of registrations.

4. Discussion

To our knowledge, this study is the first to compile data on stocks, health status, and mortality of lumpfish, as well as water quality and production events across production in several commercial hatcheries. Few scientific studies are based on production data provided by fish farmers [30,31], mainly because production management systems that fish farmers use to register data are not built as fish health management tools and are, therefore, little suitable for research [31]. However, as stated in [31], in a similar study on Atlantic salmon, such use of data is widespread in veterinary epidemiological research as it is considered a cost-effective method to carry out population studies [32,33]. In this study, data were collected from 12 fish groups originating from four hatcheries, which were able to retrieve historical data in their production logs. The survey was not designed to ensure a representative analysis for the entire industry, but to identify some of the main challenges related to understanding the causes of mortality in hatcheries.
Evaluating data on mortality and relevant external factors influencing mortality is challenging due to the lack of systematic registrations of biological, water quality, and production-related parameters. This is apparently a recurring problem in aquaculture, which is starting to be recognized by the scientific community [31,34]. While the daily registered mortality data are digitally saved in the hatchery systems, many of the water quality data and production events are logged as observations for immediate use and are time-consuming to obtain afterward. This makes it extremely complicated to conduct large-scale, multivariate analyses to investigate the main causes of mortality. It is also very difficult to follow a fish group at tank level as the fish are moved, split, and regrouped many times during production. In practice, this implies that it is not possible to follow up over time on the effects of different incidents that can occur in specific tanks. As pointed out by Tørud et al. [34] for salmon production, it is essential to be able to monitor fish over time in order to use mortality rates to identify the proper procedures of various operations, as well as optimize the water quality.
Even though daily registered mortality causes are important parameters for the hatchery staff to identify problem areas [31,35], they are affected by several issues that make them questionable. Firstly, these registrations are based on short-term evaluations, which may oversee long-term effects on various parameters or the effect of different combinations of parameters. Secondly, all hatcheries have their own system for recording daily registered mortality causes, which leads to extensive variations in the categories of causes between hatcheries. And, while some hatcheries attempt to specify the causes of mortality on all dead individuals, others register a large proportion of “unspecified/unknown” mortality. The uncritical use of the unspecified category is problematic because it gives no information regarding possible trains of events leading to death. Finally, daily registered mortality causes are currently a mixture of risk factors, contributing causes, immediate causes, underlying causes, and mechanisms of mortality. This may result in large difficulties when it comes to the proper identification of the causality of mortality. As stated by the World Health Organization (WHO) [36], one has to focus on the underlying cause of mortality, which is "the disease or injury which initiated the train of morbid events leading directly to death". Standardizing the categorization of daily mortality with a focus on the underlying causes will, therefore, be crucial for understanding the reasons for mortality, achieving control over mortality in lumpfish during the hatchery phase, and being able to direct measures toward the correct problem areas, as previously proposed for salmon [35,37].
When specified, mortality was mainly assessed as due to fin damage, which aligns with findings from previous surveys [21,22,38]. However, fin damage is a contributing cause of mortality and not an underlying cause. Aggression between fish in the form of tail fin biting can cause fin damage and has been reported to be challenging by the industry [39]. The behavior itself is not natural and is provoked by risk factors such as underfeeding, which increases competition for food, or lack of suitable space for resting [19]. Measures against mortality linked to fin damage are obviously dependent on finding underlying causes and risk factors. For example, if fin damage is due to aggression provoked by low feeding intensity, increasing the resting area is not an appropriate measure, and vice versa. It was not possible to conclude whether suboptimal feeding caused deadly aggression, as it would have been necessary to follow up with fish groups at the tank level to relate to feeding strategies. For the same reason, it was not possible to relate fin damage to a lack of resting place. In the present study, fin damage was mainly correlated with infections from Tenacibaculum sp. and CLuCV. Based on the analyses, it was not possible to conclude whether infections with pathogens present in the environment caused fin damage or if injuries caused by aggression were a gateway for pathogens.
Diseases in lumpfish in the hatchery phase are often cited as a major cause of mortality, and there is, therefore, an urgent need to map potential health problems [11,22,24]. Crater disease (most likely due to Tenacibaculum sp.), Vibriosis (infection with Vibrio spp.), and atypical Furunculosis (infection with atypical Aeromonas salmonicida) are diseases that have most often been mentioned by the farming industry as related to increased mortality in lumpfish in the hatchery phase [21,38]. In our study, there was a clear connection between high mortality and infections by Tenacibaculum sp. and CLuCV, while there was no clear connection with infections of P. perurans and V. splendidus. Infectious agents Tenacibaculum sp. and CLuCV were detected in the fish groups that had the highest mortality of all the assessed fish groups.
Health inspections often focus on making a diagnosis. However, causality or causal relationships can often be complex. Whether a fish dies off, or due to a detected infectious agent, is not always differentiated and investigated. In addition, it is challenging to determine whether these pathogens are the primary cause of mortality [21,37]. Such infections can, for example, be triggered by risk factors such as suboptimal production conditions or water quality in hatcheries [17]. In the present study, infectious agents were not clearly correlated with poor water quality assessed during health inspections. However, the water quality assessment was somewhat weak, as it was only scored during the monthly health inspections and was assumed to be unchanged between these inspections. In addition, the methodology for assessing water quality is unclear, as no samples for water chemistry analyses were reportedly taken. Based on the notes from the fish health reports, water quality may have been assessed as less satisfactory when there was a low oxygen concentration, particles in suspension, and/or microbial developments in the tanks. In addition, handling, nutritional imbalance, and stress have previously been identified as risk factors that make lumpfish more susceptible to infection [17,24], but these parameters were not registered by the hatcheries. Hence, this study clearly illustrates the difficulty in assessing underlying causes of mortality, including the causality of lethal infections, due to the lack of systematic assessment of production conditions. Implementing standardized protocols for monitoring production conditions will represent a great opportunity to understand the mortality causes of lumpfish in hatcheries and target corrective measures against the appropriate problem areas.
Although high mortality was recorded among the youngest individuals in several fish groups, daily registered mortality causes were mostly unspecified during the first months after hatching. This may be due to the practical difficulties in assessing mortality causes at the smallest stages, where individuals weigh less than 0.2 g. A possible explanation for this variation in early mortality between groups may be differences in larval quality. In some species, the survival and robustness of larvae and fry can be affected by stress experienced by the broodstock [40,41]. Although previous studies indicate that fish welfare in broodstock can vary, such effects on larvae and fry have not been investigated in lumpfish. However, previous studies show that fish welfare in broodstock can be variable [23]. Further studies should, therefore, investigate various conditions that can affect welfare and survival at early stages.
Lumpfish welfare was assessed as good or slightly reduced in most routine health inspections, which was surprising given that these assessments included times of high mortality and a significant proportion of lumpfish with fin damage. The criteria used to assess welfare in lumpfish remain unclear, as they were based on group-level assessments that included a visual overview of swimming and feeding behavior, operational welfare indicators, diseases (assessed by autopsy and histology, PCR, and bacteriological analyses), and overall mortality. It was surprising that there was so little focus on certain parameters such as cataracts in the fish health reports, even though it is reported that cataracts are very widespread in lumpfish in hatcheries [11,23], and subsequently in lumpfish deployed by the industry [24]. It is unknown whether the lack of registrations of cataracts was due to them not being observed or if assessments were not carried out. Severe cataracts impair vision, which can have dramatic consequences on survival after transfer to sea [23,42]. They are also relevant welfare parameters that can reflect both water quality and nutritional problems, indicating known explanatory variables [13,23]. It is, therefore, very important to have an overview of the prevalence and severity of cataracts before the lumpfish are transferred to sea cages. It was also surprising that suction cup deformities were not mentioned in fish health reports, as it was reported that they can affect lumpfish at rather high incidences [18]. Individuals with suction cup deformities can have a reduced ability to adhere to offered substrates after deployment to sea cages and, thus, will have a reduced amount of rest. This can cause the lumpfish to become more vulnerable to exhaustion and subsequent death [43]. In salmon fry, an increased incidence of deformities has been observed when eggs are incubated at high temperatures [44], but such causality has not yet been investigated in lumpfish. Improved monitoring of suction cup deformities, as well as production-related and water quality parameters, will make it possible to elucidate the causes of suction cup deformities in lumpfish.
There are also large differences in which parameters are examined during fish health controls, as well as variations in how these assessments are carried out between different hatcheries and fish health personnel. It is, therefore, very challenging to compile and interpret welfare assessments and there is a need for a systematic scoring system for the assessment of internal and external parameters at the individual level, as well as a standardized welfare assessment at the population level, as proposed in Boissonnot et al. [45]. The results from the study in Ref. [24] identified 10 primary causes of mortality in all the lumpfish groups deployed. Of these, handling/grading and mechanical delousing accounted for 21% and 20%, respectively, while bacterial infections accounted for 17% of all primary causes. Other primary causes of mortality included viral (3%), parasitic (5%), severe cataract prevalence (3%), mortality during transfer to sea cages (6%), temperature gradients (3%), and dietary causes (2%). A closer monitoring of welfare according to standardized assessment criteria will help researchers obtain a better overview of the welfare of lumpfish in the hatchery phase and simplify the work of finding measures to improve it.
In lumpfish hatcheries, a significant proportion of the produced lumpfish can be culled, as highlighted in our results (up to 63%). Unfortunately, the causes of culling are often not recorded, which makes the mortality rates challenging. Culling can be decided based on clear and severely reduced welfare (for example, related to disease) or due to logistical challenges, such as unpredictable changes in the number of lumpfish ordered by sea farms (L. Boissonnot, pers. obs.). In addition, lumpfish that are assessed with severe cataracts and severe suction cup deformities are, in some cases, routinely sorted out and culled (L. Boissonnot, pers. obs.), as they are not expected to survive in sea cages [23,42,43]. Registering the causes of culling in addition to those of mortality is crucial in order to contribute to a better understanding of which factors can be improved in hatcheries for the enhanced survival of lumpfish.

5. Conclusions

Although lumpfish are often cited as a relatively easy species to raise, and some hatcheries manage to maintain low mortality, there is great potential for improvement. Lumpfish mortality in the hatcheries included in this study was mainly categorized as unspecified or directly due to fin damage. It was not possible to identify the chain of events causing death based on this categorization and the rather fragmented production data. This study, therefore, highlights that the primary challenges hindering the understanding of the causes of lumpfish mortality in hatcheries are improper mortality categorization by hatchery staff and a general lack of systematic registration regarding production conditions as well as fish welfare and health. Properly categorizing lumpfish mortality is feasible by (1) developing protocols for categorizing mortality where underlying causes are used as the main variables and (2) implementing systematic monitoring of production conditions and fish welfare and health. Making standardized information available to fish health management and research will provide a great opportunity to conduct large-scale population studies. Such studies will help identify problem areas that cause reduced welfare and survival, which will, in turn, be crucial for implementing corrective measures that ensure the production of robust lumpfish that can perform well when deployed as lice eaters in salmon cages.

Supplementary Materials

The following supporting information can be downloaded at https://www.mdpi.com/article/10.3390/fishes9070288/s1, Table S1: Eigenvalues for Figure 5a. PCA graph of mortality and diseases. Table S2: Eigenvalues for Figure 5b. Daily registered mortality causes.

Author Contributions

Conceptualization, L.B.; methodology, L.B. and T.M.J.; formal analysis, L.B., C.K. and S.S.-S.; investigation, L.B., C.K. and T.M.J.; writing—original draft preparation, L.B., C.K., S.S.-S., T.S., T.M.J. and A.K.D.I.; writing—review and editing, L.B., S.S.-S., T.S., T.M.J. and A.K.D.I.; visualization, L.B. and C.K.; supervision, A.K.D.I.; project administration, A.K.D.I. and L.B.; funding acquisition, A.K.D.I. All authors have read and agreed to the published version of the manuscript.

Funding

This research was funded by the Norwegian Seafood Research Fund (FHF) as a part of the project DOKUMENTAR (FHF-901692).

Institutional Review Board Statement

Our manuscript does not require approval from the Ethics Committee or Institutional Review Board since our study is solely based on data provided by lumpfish hatcheries. The fish were handled according to production requirements, without additional handling, treatment, or any other stress factors. The hatcheries produce lumpfish according to Norwegian legislation, i.e., according to the Animal Welfare Act (LOV-2009-06-19-97).

Informed Consent Statement

Not applicable.

Data Availability Statement

Data are available upon request.

Acknowledgments

The authors would like to thank all the hatcheries who participated in the project.

Conflicts of Interest

The authors declare no conflicts of interest. The funders had no role in the design of the study; in the collection, analyses, or interpretation of data; in the writing of the manuscript; or in the decision to publish the results.

References

  1. Pike, A.; Wadsworth, S. Sealice on Salmonids: Their Biology and Control. Adv. Parasitol. 1999, 44, 233–337. [Google Scholar] [CrossRef] [PubMed]
  2. Johnson, S.C.; Treasurer, J.W.; Bravo, S.; Nagasawa, K.; Kabata, Z. A Review of the Impact of Parasitic Copepods on Marine Aquaculture. Zool. Stud. 2004, 43, 229–243. [Google Scholar]
  3. Boxaspen, K. A review of the biology and genetics of sea lice. ICES J. Mar. Sci. 2006, 63, 1304–1316. [Google Scholar] [CrossRef]
  4. Costello, M.J. Ecology of sea lice parasitic on farmed and wild fish. Trends Parasitol. 2006, 22, 475–483. [Google Scholar] [CrossRef] [PubMed]
  5. Denholm, I.; Devine, G.; Horsberg, T.; Sevatdal, S.; Fallang, A.; Nolan, D.; Powell, R. Analysis and management of resistance to chemotherapeutants in salmon lice, Lepeophtheirus salmonis (Copepoda: Caligidae). Pest Manag. Sci. 2002, 58, 528–536. [Google Scholar] [CrossRef] [PubMed]
  6. Johansen, L.; Jensen, I.; Mikkelsen, H.; Bjorn, P.; Jansen, P.; Bergh, Ø. Disease interaction and pathogens exchange between wild and farmed fish populations with special reference to Norway. Aquaculture 2011, 315, 229–243. [Google Scholar] [CrossRef]
  7. Hvas, M.; Bui, S. Energetic costs of ectoparasite infection in Atlantic salmon. J. Exp. Biol. 2022, 225, jeb243300. [Google Scholar] [CrossRef] [PubMed]
  8. Overton, K.; Dempster, T.; Oppedal, F.; Kristiansen, T.S.; Gismervik, K.; Stien, L.H. Salmon lice treatments and salmon mortality in Norwegian aquaculture: A review. Rev. Aquac. 2018, 11, 1398–1417. [Google Scholar] [CrossRef]
  9. Hjeltnes, B.; Jensen, B.; Bornø, G.; Haukaas, A.; Walde, C. Fiskehelse Rapporten 2018, Veterinærinstituttets Rapportserie nr 6a/2019. Technical Report. 2019. Available online: https://www.vetinst.no/rapporter-og-publikasjoner/rapporter/2020/fiskehelserapporten-2019 (accessed on 4 July 2024).
  10. Roth, B. Avlusing av Laksefisk med Optilice: Effekt på Avlusing og Fiskevelferd. Nofima AS, Rapport 59/2016. Technical Report. 2016. Available online: https://nofima.no/publikasjon/1408716/ (accessed on 4 July 2024).
  11. Mortensen, S.; Halvorsen, K.T.; Skiftesvik, A.B.; Durif, C.; Stien, L.H.; Jansson, E.; Quintela, M.; Sandlund, N.; Nedreaas, K.; Jørgensen, T.; et al. Towards a Sustainable Fishery and Use of Cleaner Fish in Salmonid Aquaculture—Challenges and Opportunities; Nordic Council of Ministers: Copenhagen, Denmark, 2021. [Google Scholar]
  12. Bui, S.; Stien, L.H.; Nilsson, J.; Trengereid, H.; Oppedal, F. Efficiency and welfare impact of long-term simultaneous in situ management strategies for salmon louse reduction in commercial sea cages. Aquaculture 2020, 520, 734934. [Google Scholar] [CrossRef]
  13. Imsland, A.K.D.; Jonassen, T.M.; Hangstad, T.A.; Stefansson, S.O.; Elvegård, T.A.; Lemmens, S.C.; Urskog, T.C.; Nytrø, A.V.; Reynholds, P. The effect of continuous light and compressed photoperiods on growth and maturation in lumpfish Cyclopterus lumpus. Aquaculture 2018, 485, 166–172. [Google Scholar] [CrossRef]
  14. Boissonnot, L.; Kharlova, I.; Iversen, N.S.; Staven, F.R.; Austad, M. Characteristics of lumpfish (Cyclopterus lumpus) with high cleaning efficacy in commercial Atlantic salmon (Salmo salar) production. Aquaculture 2022, 560, 738544. [Google Scholar] [CrossRef]
  15. Directorate of Fisheries. Aquaculture Statistics: Cleaner Fish; Directorate of Fisheries: Bergen, Norway, 2022. [Google Scholar]
  16. Nilsen, A.; Viljugrein, H.; Røsæg, M.V.; Colquhoun, D. Rensefiskhelse–kartlegging av dødelighet og dødelighetsårsaker. Veterinærinstituttets Rapp. 2014, 12, 74. [Google Scholar]
  17. Brooker, A.J.; Papadopoulou, A.; Gutierrez, C.; Rey, S.; Davie, A.; Migaud, H. Sustainable production and use of cleaner fish for the biological control of sea lice: Recent advances and current challenges. Vet. Rec. 2018, 183, 383. [Google Scholar] [CrossRef] [PubMed]
  18. Gutierrez Rabadan, C.; Spreadbury, C.; Consuegra, S.; Garcia de Leaniz, C. Development, validation and testing of an Operational Welfare Score Index for farmed lumpfish Cyclopterus lumpus L. Aquaculture 2021, 531, 735777. [Google Scholar] [CrossRef]
  19. Jonassen, T.M.; Lein, I.; Nytrø, A.V. Hatchery management of lumpfish. In Cleaner Fish Biology and Aquaculture Applications, 1st ed.; Treasurer, J.W., Ed.; 5M Publications: Sheffield, UK, 2018; pp. 122–146. [Google Scholar]
  20. Nytrø, A.V.; Vikingstad, E.; Foss, A.; Hangstad, T.A.; Reynolds, P.; Eliassen, G.; Elvegård, T.A.; Falk-Petersen, I.B.; Imsland, A.K. The effect of temperature and fish size on growth of juvenile lumpfish (Cyclopterus lumpus L.). Aquaculture 2014, 434, 296–302. [Google Scholar] [CrossRef]
  21. Sommerset, I.; Jensen, B.B.; Bornø, B.; Haukaas, A.; Brun, E. Fiskehelserapporten 2020. Technical Report 41a/2021, Veterinærinstituttet. 2021. Available online: https://www.vetinst.no/rapporter-og-publikasjoner/rapporter/2021/fiskehelserapporten-2020 (accessed on 4 July 2024).
  22. Amundsen, V.S.; Størkersen, K.V. Rensefiskoppdrett 2019. In Resultat av Spørreundersøkelse til Rensefiskoppdrettere [Cleaner-Fish Farming 2019. Results from a Survey to Cleaner-Fish Farmers]; NTNU Samfunnsforskning: Trondheim, Norway, 2019; pp. 978–982. [Google Scholar]
  23. Jonassen, T.M.; Hamadi, M.; Remø, S.C.; Waagbø, R. An epidemiological study of cataracts in wild and farmed lumpfish (Cyclopterus lumpus L.) and the relation to nutrition. J. Fish Dis. 2017, 40, 1903–1914. [Google Scholar] [CrossRef] [PubMed]
  24. Reynolds, P.; Imsland, A.K.D.; Boissonnot, L. Causes of Mortality and Loss of Lumpfish Cyclopterus lumpus. Fishes 2022, 7, 328. [Google Scholar] [CrossRef]
  25. Lovdata. Forskrift om Drift av Akvakulturanlegg (Akvakulturdriftsforskriften). §13. Risikobasert Helsekontroll. 2022. Available online: https://lovdata.no/dokument/SF/forskrift/2008-06-17-822 (accessed on 4 July 2024).
  26. R Core Team. R: A Language and Environment for Statistical Computing; R Core Team: Vienna, Austria, 2021. [Google Scholar]
  27. Ringnér, M. What is principal component analysis? Nat. Biotechnol. 2008, 26, 303–304. [Google Scholar] [CrossRef] [PubMed]
  28. Lê, S.; Josse, J.; Husson, F. FactoMineR: A Package for Multivariate Analysis. J. Stat. Softw. 2008, 25, 1–18. [Google Scholar] [CrossRef]
  29. Ahrens, W.H.; Cox, D.J.; Budhwar, G. Use of the arcsine and square root transformations for subjectively determined percentage data. Weed Sci. 1990, 38, 452–458. [Google Scholar] [CrossRef]
  30. Bang Jensen, B.; Qviller, L.; Toft, N. Spatio-temporal variations in mortality during the seawater production phase of Atlantic salmon (Salmo salar) in Norway. J. Fish Dis. 2020, 43, 445–457. [Google Scholar] [CrossRef]
  31. Persson, D.; Nødtvedt, A.; Aunsmo, A.; Stormoen, M. Analysing mortality patterns in salmon farming using daily cage registrations. J. Fish Dis. 2022, 45, 335–347. [Google Scholar] [CrossRef]
  32. Sørensen, H.T.; Sabroe, S.; Olsen, J. A framework for evaluation of secondary data sources for epidemiological research. Int. J. Epidemiol. 1996, 25, 435–442. [Google Scholar] [CrossRef] [PubMed]
  33. Houe, H.; Gardner, I.A.; Nielsen, L.R. Use of information on disease diagnoses from databases for animal health economic, welfare and food safety purposes: Strengths and limitations of recordings. Acta Vet. Scand. 2011, 53, S7. [Google Scholar] [CrossRef] [PubMed]
  34. Tørud, B.; Jensen, B.; Gåsnes, S.; Grønbech, S.; Gismervik, K. Dyrevelferd i settefiskproduksjonen—Småfiskvel. Veterinærinstituttet 2019, Rapport 14 - 2019, 83. [Google Scholar]
  35. Aunsmo, A.; Bruheim, T.; Sandberg, M.; Skjerve, E.; Romstad, S.; Larssen, R. Methods for investigating patterns of mortality and quantifying cause-specific mortality in sea-farmed Atlantic salmon Salmo salar. Dis. Aquat. Org. 2008, 81, 99–107. [Google Scholar] [CrossRef] [PubMed]
  36. WHO. Cause of Death. 2024. Available online: https://www.who.int/standards/classifications/classification-of-diseases/cause-of-death (accessed on 4 July 2024).
  37. Aunsmo, A.; Persson, D.; Romstad, S.; Stormoen, M.; Midtlyng, P. Registrering av Taps- og Dødsårsaker i Akvakultur. Forslag til Enhetlig Kodestruktu; NMBU Veterinærhøgskolen: Ås, Norway, 2021; ISBN 978-82-575-1840-0. [Google Scholar]
  38. Mattilsynet. Nasjonal Tilsynskampanje 2018/2019 VELFERD HOS RENSEFISK. 2020. Available online: https://www.mattilsynet.no/fisk-og-akvakultur/rensefisk/nasjonal-tilsynskampanje-om-velferd-hos-rensefisk-2018-2019 (accessed on 4 July 2024).
  39. Stien, L.; Størkersen, K.; Gåsnes, S. Analyse av Dødelighetsdata fra Spørreundersøkelse om Velferd hos Rensefisk. 2020. Rapport 2020 - 6. Available online: https://www.hi.no/hi/nettrapporter/rapport-fra-havforskningen-2020-6 (accessed on 4 July 2024).
  40. Campbell, P.; Pottinger, T.; Sumpter, J. Preliminary evidence that chronic confinement stress reduces the quality of gametes produced by brown and rainbow trout. Aquaculture 1994, 120, 151–169. [Google Scholar] [CrossRef]
  41. McCormick, M.I. Behaviorally induced maternal stress in a fish influences progeny quality by a hormonal mechanism. Ecology 1998, 79, 1873–1883. [Google Scholar] [CrossRef]
  42. Powell, A.; Pooley, C.; Scolamacchia, M.; Garcia de Leaniz, C. Review of lumpfish biology. In Cleaner Fish Biology and Use in Aquaculture; 5M Publishing: Great Easton, UK, 2018. [Google Scholar]
  43. Garcia de Leaniz, C.; Gutierrez Rabadan, C.; Barrento, S.I.; Stringwell, R.; Howes, P.N.; Whittaker, B.A.; Minett, J.F.; Smith, R.G.; Pooley, C.L.; Overland, B.J.; et al. Addressing the welfare needs of farmed lumpfish: Knowledge gaps, challenges and solutions. Rev. Aquac. 2022, 14, 139–155. [Google Scholar] [CrossRef]
  44. Fraser, T.; Hansen, T.; Fleming, M.; Fjelldal, P. The prevalence of vertebral deformities is increased with higher egg incubation temperatures and triploidy in Atlantic salmon Salmo salar L. J. Fish Dis. 2015, 38, 75–89. [Google Scholar] [CrossRef]
  45. Boissonnot, L.; Austad, M.; Karlsen, C.; Reynolds, P.; Stensby-Skjærvik, S.; Imsland, A. Welfare Assessment of Lumpfish in Hatcheries—Manual. 2022. Available online: https://aqua-kompetanse.no/lumpfish/ (accessed on 4 July 2024).
Figure 1. Overview of the assessments carried out at the fish health controls. For both welfare and water quality, good denotes no irregularities, slightly reduced denotes some small irregularities, clearly reduced denotes affected welfare or significant irregularities in the water quality for short periods, and severely reduced denotes significantly affected welfare or major irregularities in the water quality for a longer period. Fin damage was considered variable if some individuals had problems with fin damage, and it was considered widespread if there was a greater problem within the fish group. In cases with weekly mortality >0.5% or when there were comments on increased mortality among the fish groups, mortality was considered high.
Figure 1. Overview of the assessments carried out at the fish health controls. For both welfare and water quality, good denotes no irregularities, slightly reduced denotes some small irregularities, clearly reduced denotes affected welfare or significant irregularities in the water quality for short periods, and severely reduced denotes significantly affected welfare or major irregularities in the water quality for a longer period. Fin damage was considered variable if some individuals had problems with fin damage, and it was considered widespread if there was a greater problem within the fish group. In cases with weekly mortality >0.5% or when there were comments on increased mortality among the fish groups, mortality was considered high.
Fishes 09 00288 g001
Figure 2. The distribution of daily registered mortality causes in the various fish groups after grouping presented in Table 3. The proportions are calculated based on the total number of dead lumpfish in each fish group.
Figure 2. The distribution of daily registered mortality causes in the various fish groups after grouping presented in Table 3. The proportions are calculated based on the total number of dead lumpfish in each fish group.
Fishes 09 00288 g002
Figure 3. The mortality rate (%) for each of the fish groups, grouped by weeks since hatching and colored by the grouped daily registered mortality causes, is shown in Table 3. Due to a few cases with a mortality rate above 0.5%, the y-axis above this is drawn together (marked with a dashed line).
Figure 3. The mortality rate (%) for each of the fish groups, grouped by weeks since hatching and colored by the grouped daily registered mortality causes, is shown in Table 3. Due to a few cases with a mortality rate above 0.5%, the y-axis above this is drawn together (marked with a dashed line).
Fishes 09 00288 g003
Figure 4. Weekly mortality rate (%) at the fish group level from hatching to delivery. Under the x-axis, the time of vaccination is indicated by red stars (first line; Vac.), in addition to the assessments of the water quality in the tanks (second line; W.q.) and the welfare of the lumpfish (third line; Welf.) at the health inspection. Detected agents are visualized with colored circles on the mortality graph, and are colored according to the detected agent. The solid blue line denotes cumulative mortality (%), while the blue dashed line denotes cumulative total loss (% dead and culled). The vaccination times of groups 7 and 8 were not received and are, therefore, not included in the figure.
Figure 4. Weekly mortality rate (%) at the fish group level from hatching to delivery. Under the x-axis, the time of vaccination is indicated by red stars (first line; Vac.), in addition to the assessments of the water quality in the tanks (second line; W.q.) and the welfare of the lumpfish (third line; Welf.) at the health inspection. Detected agents are visualized with colored circles on the mortality graph, and are colored according to the detected agent. The solid blue line denotes cumulative mortality (%), while the blue dashed line denotes cumulative total loss (% dead and culled). The vaccination times of groups 7 and 8 were not received and are, therefore, not included in the figure.
Fishes 09 00288 g004
Figure 5. PCA analysis with production data (pink), i.e., temperature, average weight, feeding (% of the biomass), and vaccination, as well as assessments carried out at the health controls (gray), i.e., water quality (based on assessments made by fish health personnel on temperature, oxygen saturation and tank hygiene, e.g., particles in suspension or microbial developments in the tanks), welfare and infectious agents (Tenacibaculum sp., CLuCV, P. perurans, and V. splendidus) as explanatory variables. Infection agents and vaccinations are indicator variables, denoted as 1 if the infectious agent has been detected within +/− 10 days or if the vaccination has been carried out in the last 3 days, respectively. (a) Daily mortality rate (%, green) and a common variable for all infectious agents (blue) are included as supplementary variables. (b) Grouped daily categorized mortality rate is included as supplementary variables (blue). To obtain a better distribution of mortality, both the daily mortality rate and categorized mortality are transformed with the square root. See Tables S1 and S2 for an overview of the number of dimensions and eigenvalues of the two PCAs.
Figure 5. PCA analysis with production data (pink), i.e., temperature, average weight, feeding (% of the biomass), and vaccination, as well as assessments carried out at the health controls (gray), i.e., water quality (based on assessments made by fish health personnel on temperature, oxygen saturation and tank hygiene, e.g., particles in suspension or microbial developments in the tanks), welfare and infectious agents (Tenacibaculum sp., CLuCV, P. perurans, and V. splendidus) as explanatory variables. Infection agents and vaccinations are indicator variables, denoted as 1 if the infectious agent has been detected within +/− 10 days or if the vaccination has been carried out in the last 3 days, respectively. (a) Daily mortality rate (%, green) and a common variable for all infectious agents (blue) are included as supplementary variables. (b) Grouped daily categorized mortality rate is included as supplementary variables (blue). To obtain a better distribution of mortality, both the daily mortality rate and categorized mortality are transformed with the square root. See Tables S1 and S2 for an overview of the number of dimensions and eigenvalues of the two PCAs.
Fishes 09 00288 g005
Table 1. Overview of the number of lumpfish produced at each hatchery, and the proportion of the registered dead, culled, and remaining proportions that were expected to be delivered for deployment in salmon cages. The duration from hatching to delivery is also presented.
Table 1. Overview of the number of lumpfish produced at each hatchery, and the proportion of the registered dead, culled, and remaining proportions that were expected to be delivered for deployment in salmon cages. The duration from hatching to delivery is also presented.
HatcheryFish
Group
Number
Hatched
Dead (%)Culled (%)Delivered (%)Duration
Hatchery AA-1407,58312.3%2.6%85.1%29 weeks
Hatchery AA-2394,7142.2%0.9%96.9%27 weeks
Hatchery AA-3509,0583.0%0.5%96.5%15 weeks
Hatchery BB-1868,33210.4%0.1%89.5%34 weeks
Hatchery BB-2675,5154.6%5.0%90.4%29 weeks
Hatchery BB-3743,0402.2%36.7%61.1%23 weeks
Hatchery CC-1567,15523.3%63.0%13.8%14 weeks
Hatchery CC-21,021,00813.0%7.7%79.2%20 weeks
Hatchery DD-11,218,15131.5%16.3%52.2%39 weeks
Hatchery DD-2666,72325.9%28.5%45.7%39 weeks
Hatchery DD-3197,20719.1%2.1%78.8%49 weeks
Hatchery DD-4844,36214.9%55.1%30.0%47 weeks
Table 2. Overview of the feed supplier and the variations in pellet size and daily amount of feed. The water temperature in the tanks is stated with the minimum and maximum amount measured °C.
Table 2. Overview of the feed supplier and the variations in pellet size and daily amount of feed. The water temperature in the tanks is stated with the minimum and maximum amount measured °C.
HatcheryFish
Group
Feed ProducerPellet-Size
(Min–Max mm)
Feed Amount
(Min–Max kg)
Feed Amount
(Min–Max % Biomass)
Water Temp
(Min–Max °C)
Hatchery AA-1Skretting1.22.6–49.70.09–0.677–12.3
Hatchery AA-2Skretting1.20.8–46.10.06–0.756–11.5
Hatchery AA-3Skretting1.27.7–1430.06–0.888–12
Hatchery BB-1Skretting/BioMar0.5–1.54.3–247.80.05–1.438.4–14.4
Hatchery BB-2Skretting/BioMar0.5–1.53.2–134.80.07–0.935.1–11.6
Hatchery BB-3Skretting/BioMar0.5–1.53.3–1580.16–0.735.2–11.2
Hatchery CC-1Skretting/Pacific trading0.5–1.25.5–78.20.28–5.2810.8–15.1
Hatchery CC-2Skretting/PTAqua0.36–1.813.3–711.02.03–16.797.8–13.2
Hatchery DD-1BioMar0.5–20.1–85.60.26–3.895—10.3
Hatchery DD-2BioMar0.3–20.1–259.60.19–8.194–10.3
Hatchery DD-3BioMar0.5–20.1–125.10.25–10.34–9.8
Hatchery DD-4BioMar0.5–20.1–245.60.33–5.704–9.8
Table 3. Overview of all daily registered mortality causes included in the analyzed groups for the different hatcheries (denoted with a capital letter). In cases with few registrations, several categories are combined as the grouping other. The category net shift is assumed to be incorrectly registered, and, therefore, is grouped as unspecified.
Table 3. Overview of all daily registered mortality causes included in the analyzed groups for the different hatcheries (denoted with a capital letter). In cases with few registrations, several categories are combined as the grouping other. The category net shift is assumed to be incorrectly registered, and, therefore, is grouped as unspecified.
Grouped Mortality CauseMortality CauseHatcheryNumber of
Registrations
Bacterial ulcersTenacibaculumC9040
Tenacibaculum/white spot diseaseC1991
Bacterial ulcersA, B4
Fin damageFin rotD223,201
Fin biting/swooningC120,215
Fin bitingC81,329
HandlingTransportC12,467
Mechanical damageA, B1223
SamplingA, B382
VaccinationA, B, C244
Other handlingA, B14
Poor water qualityPoor water qualityA, B2000
WoundsWoundsD14,982
OtherPanicD1416
DeformityD1172
Unfertilized lumpfishD228
UnspecifiedUnspecified/unknownA, B, C, D725,569
Net changeD182
Disclaimer/Publisher’s Note: The statements, opinions and data contained in all publications are solely those of the individual author(s) and contributor(s) and not of MDPI and/or the editor(s). MDPI and/or the editor(s) disclaim responsibility for any injury to people or property resulting from any ideas, methods, instructions or products referred to in the content.

Share and Cite

MDPI and ACS Style

Boissonnot, L.; Karlsen, C.; Jonassen, T.M.; Stensby-Skjærvik, S.; Storsul, T.; Imsland, A.K.D. Understanding the Causes of Lumpfish (Cyclopterus lumpus) Mortality in Norwegian Hatcheries: Challenges and Opportunities. Fishes 2024, 9, 288. https://doi.org/10.3390/fishes9070288

AMA Style

Boissonnot L, Karlsen C, Jonassen TM, Stensby-Skjærvik S, Storsul T, Imsland AKD. Understanding the Causes of Lumpfish (Cyclopterus lumpus) Mortality in Norwegian Hatcheries: Challenges and Opportunities. Fishes. 2024; 9(7):288. https://doi.org/10.3390/fishes9070288

Chicago/Turabian Style

Boissonnot, Lauris, Camilla Karlsen, Thor Magne Jonassen, Silje Stensby-Skjærvik, Torolf Storsul, and Albert Kjartan Dagbjartarson Imsland. 2024. "Understanding the Causes of Lumpfish (Cyclopterus lumpus) Mortality in Norwegian Hatcheries: Challenges and Opportunities" Fishes 9, no. 7: 288. https://doi.org/10.3390/fishes9070288

APA Style

Boissonnot, L., Karlsen, C., Jonassen, T. M., Stensby-Skjærvik, S., Storsul, T., & Imsland, A. K. D. (2024). Understanding the Causes of Lumpfish (Cyclopterus lumpus) Mortality in Norwegian Hatcheries: Challenges and Opportunities. Fishes, 9(7), 288. https://doi.org/10.3390/fishes9070288

Article Metrics

Back to TopTop