Spatiotemporal Variation and Predictors of the Purpleback Flying Squid (Sthenoteuthis oualaniensis) Distribution Surrounding the Xisha and Zhongsha Islands during a Fishing Moratorium
Abstract
1. Introduction
2. Material and Methods
2.1. Data Collection
2.1.1. Fisheries Data
2.1.2. Environmental Data
2.2. Data Analyses
2.2.1. Calculations of the Catch per Unit Effort (CPUE) and Barycenter of the Fishing Ground
2.2.2. Catch and CPUE Fitted in Relation to Environmental Factors
3. Results
3.1. Variations in Catch and CPUE
3.2. Variations in Barycenter of Fishing Ground
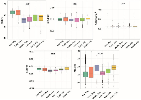
3.3. Variations in Environmental Factors
3.4. Relationship between the Distribution of Purpleback Flying Squid and Environmental Factors
4. Discussion
4.1. Spatiotemporal Distribution of Purpleback Flying Squid Fishing Ground
4.2. Response of Purpleback Flying Squid Fishing Ground Distribution to Environmental Change
4.3. Future Work
5. Conclusions
Supplementary Materials
Author Contributions
Funding
Institutional Review Board Statement
Informed Consent Statement
Data Availability Statement
Acknowledgments
Conflicts of Interest
References
- Qiu, Y.S.; Zeng, X.G.; Chen, T.; Yuan, W.W. Fishery Resources and Fisheries Management in the South China Sea; China Ocean Press: Beijing, China, 2008. [Google Scholar]
- Zhao, F. Numerical Study and Case Forecast of Mesoscale Eddies in the Northern South China Sea; National Marine Environmental Forecasting Center: Beijing, China, 2017. [Google Scholar]
- Fan, J.T.; Chen, Z.Z.; Zhang, J.; Feng, X. Sthenoteuthis oualaniensis fishing grounds analysis based on marine environmental factors and different weight coefficients in the Zhongxisha and Xisha Islands, South China Sea. South China Fish. Sci. 2016, 12, 57–63. [Google Scholar]
- Yu, J.; Hu, Q.W.; Li, C.H.; Zhang, P.; Mao, J.M. Relationship between the Sthenoteuthis oualaniensis resource and environmental factors in the Xisha-Zhongsha waters in spring. Acta Oceanol. Sin. 2017, 39, 62–73. [Google Scholar]
- Chen, X.J.; Liu, B.L.; Wang, Y.G. Cephalopods of the World; China Ocean Press: Beijing, China, 2009. [Google Scholar]
- Fan, J.T.; Qiu, Y.S.; Chen, Z.Z.; Feng, X.; Zhang, J. Morphological difference of the beak between two stock of Sthenoteuthis oualaniensis inhabiting South China Sea. Period. Ocean Univ. China 2015, 10, 42–49. [Google Scholar]
- Zhang, P.; Yang, L.; Zhang, X.F.; Tan, Y.G. The present status and prospect on exploitation of tuna and squid fishery resources in South China Sea. South China Fish. Sci. 2010, 6, 68–74. [Google Scholar]
- Yan, L.; Zhang, P.; Yang, B.Z.; Chen, S.; Li, Y.N.; Li, Y.; Song, P.Q.; Lin, L.S. Relationship between the catch of Symplectoteuthis oualaniensis and surface temperature and the vertical temperature structure in the South China Sea. J. Fish. China 2016, 23, 469–477. [Google Scholar]
- Fan, J.T.; Fang, Z.; Ma, S.W.; Zhang, P.; Chen, Z.Z. Age, growth, and population characteristics of Sthenoteuthis oualaniensis in the South China Sea. Reg. Stud. Mar. Sci. 2022, 55, 102517. [Google Scholar] [CrossRef]
- Zhao, C.X.; Shen, C.Y.; Andrew, B.; Yan, Y.R.; Kang, B. Purpleback flying squid Sthenoteuthis oualaniensis in the South China sea: Growth, resources and association with the environment. Water 2021, 13, 65. [Google Scholar] [CrossRef]
- Zhang, P.; Yan, L.; Yang, B.Z.; Tan, Y.G.; Zhang, X.F.; Chen, S.; Li, J. Population structure of purpleback flying squid (Sthenoteuthis oualaniensis) in Nansha area in spring. South China Fish. Sci. 2015, 11, 11–19. [Google Scholar]
- Zhao, C.X. Biology and Habitat Characteristics of the Purpleback Flying Squid Sthenoteuthis oualaniensis in the South China Sea. Ph.D. Thesis, Jimei University, Xiamen, China, 2021. [Google Scholar]
- Liu, S.G.; Liu, Y.; Fu, C.H.; Yan, L.X.; Xu, Y.; Wan, R.; Li, J.C.; Tian, Y.J. Using novel spawning ground indices to analyze the effects of climate change on pacific saury abundance. J. Marine Syst. 2019, 191, 13–23. [Google Scholar] [CrossRef]
- Wang, L.M.; Ma, S.Y.; Liu, Y.; Li, J.C.; Sun, D.R. Climate-induced variation in a temperature suitability index of chub mackerel in the spawning season and its effect on the abundance. Front. Mar. Sci. 2022, 9, 996626. [Google Scholar] [CrossRef]
- Zhou, Y.B.; Xie, E.G.; Wu, Q.E.; Feng, F. The relationship between the resources of Sthenoteuthis oualaniensis in the open South China Sea and the marine environment. Acta Oceanol. Sin. 2021, 43, 38–48. [Google Scholar]
- Fan, J.T.; Chen, Z.Z.; Feng, X.; Yu, W. Climate-related changes in seasonal habitat pattern of Sthenoteuthis oualaniensis in the South China Sea. Ecosyst. Health Sust. 2021, 7, 1926338. [Google Scholar] [CrossRef]
- Xu, H.Y.; Cui, X.S.; Zhou, W.F.; Chen, G.B.; Li, A.Z. Analysis on optimal habitats of purpleback flying squid in the open South China Sea based on remote sensing data. Chin. J. Ecol. 2016, 35, 3080–3085. [Google Scholar]
- Su, L.; Chen, Z.Z.; Zhang, P. Reproductive biology of purplrback flying squid (Sthenoteuthis oualaniensis) in the south-central South China Sea in Spring and autumn. South China Fish. Sci. 2016, 12, 96–102. [Google Scholar]
- Jiang, M. The Current Situation and Countermoves on Development and Utilization of Sthenoteuthis oualaniensis in South China Sea. Master’s Thesis, Tianjin Agricultural University, Tianjin, China, 2018. [Google Scholar]
- Ellis, N.; Smith, S.J.; Pitcher, C.R. Gradient forests: Calculating importance gradients on physical predictors. Ecology 2012, 93, 156–168. [Google Scholar] [CrossRef] [PubMed]
- Breiman, L. Random Forests. Mach. Learn. 2001, 45, 5–32. [Google Scholar] [CrossRef]
- Sagarese, S.R.; Frisk, M.G.; Cerrat, R.M.; Sosebee, K.A.; Musick, J.A.; Rago, P.J. Application of generalized additive models to examine ontogenetic and seasonal distributions of spiny dogfish (Squalus acanthias) in the northeast (US) shelf large marine ecosystem. Can. J. Fish. Aquat. Sci. 2014, 71, 847–877. [Google Scholar] [CrossRef]
- Hastie, T.J.; Tibshirani, R.J. Generalized Additive Models; Chapman and Hall: London, UK; New York, NY, USA, 1990. [Google Scholar]
- Wood, S.N. Fast stable restricted maximum likelihood and marginal likelihood estimation of semiparametric generalized linear models. J. R. Stat. Soc. B 2011, 73, 3–36. [Google Scholar] [CrossRef]
- Wood, S.N. Thin-plate regression splines. J. R. Stat. Soc. B 2003, 65, 95–114. [Google Scholar] [CrossRef]
- Zhu, G.P.; Wang, R. Catch per unit effort of Antarctic krill (Euphausia superba) fishery and its suitability to abundance estimation. J. Fish. China 2016, 40, 1072–1079. [Google Scholar]
- Hu, Q.W. Remote Sensing of Environmental Effects on the Spatiotemporal Distribution of Symplectoteuthis oualaniensis in the Xisha-Zhongsha Waters. Master’s Thesis, Shanghai Ocean University, Shanghai, China, 2018. [Google Scholar]
- Chen, X.J.; Liu, B.L.; Tian, S.Q.; Qian, W.G.; Zhao, X.H. Fishery biology of purpleback squid, Sthenoteuthis oualaniensis, in the northwest Indian Ocean. Fish. Res. 2007, 83, 98–104. [Google Scholar]
- Yan, Y.R.; Feng, B.; Lu, H.S.; Lai, J.Y.; Du, S.Q. Fishery biology of purpleback flying squid Sthenoteuthis oualaniensis in northern sea areas around Nansha Islands in summer. Oceanol. Limnol. Sin. 2012, 43, 1177–1186. [Google Scholar]
- Takagi, K.; Kitahara, T.; Suzuki, N.; Mori, J.; Yatsu, A. The age and growth of Sthenoteuthis oualaniensis (Cephalopoda: Ommastrephidae) in the Pacific Ocean. Bull. Mar. Sci. 2002, 71, 1105–1108. [Google Scholar]
- Mohamed, K.S.; Sajikumar, K.; Ragesh, N.; Amvrose, T.V.; Jayasabkar, J.; Said Koya, K.P.; Sasikumar, G. Relating abundance of purpleback flying squid Sthenoteuthis oualaniensis (Cephalopoda: Ommastrephidae) to environmental parameters using GIS and GAM in south-eastern Arabian Sea. J. Nat. Hist. 2018, 52, 1869–1882. [Google Scholar] [CrossRef]
- Wang, L.M.; Ma, S.Y.; Liu, Y.; Li, J.C.; Liu, S.G.; Lin, L.S.; Tian, Y.J. Fluctuations in the abundance of chub mackerel in relation to climatic/oceanic regime shifts in the northwest Pacific Ocean since the 1970s. J. Mar. Syst. 2021, 218, 103541. [Google Scholar] [CrossRef]
- Liu, K.K.; Chao, S.Y.; Shaw, P.T.; Gong, G.C.; Tang, T.Y. Monsoon-forced chlorophyll distribution and primary production in the South China Sea: Observation and a numerical study. Deep-Sea Res. Part I 2002, 49, 1387–1412. [Google Scholar] [CrossRef]
- Gong, Y.Y.; Zhan, F.P.; Yang, Y.T.; Zhang, P.; Kon, X.L.; Jiang, Y.E.; Chen, Z.Z. Feeding habits of Symplectoteuthis oualaniensis in the South China Sea. South China Fish. Sci. 2016, 12, 80–87. [Google Scholar]
- Shao, F.; Chen, X.J. Relationship between fishing ground of Symlectoteuthis oualaniensis and sea surface height in the northwest Indian ocean. Mar. Sci. 2008, 32, 88–92. [Google Scholar]
- Song, T. Relationship between Fishing Grounds of Ommastrephes bartrami and Satellite Altimeter Data in Northwestern Pacific. Master’s Thesis, Shanghai Ocean University, Shanghai, China, 2014. [Google Scholar]
- Wang, X.X.; Yu, J.; Li, Y.Z.; Chen, G.B.; Huang, M.F. The relationship between major upwelling and the upwelling fishing grounds in the South China Sea. Mar. Sci. 2015, 39, 131–137. [Google Scholar]
- Yang, H.Y.; Mao, X.Y.; Guo, X.Y. A preliminary study on nutrients concentration within the mixed layer in the Northwest Pacific based on WOD data. Period. Ocean Univ. China 2018, 48, 1–9. [Google Scholar]
- Wang, L.M.; Li, Y.; Zhang, R.; Tian, Y.J.; Zhang, J.; Lin, L.S. Relationship between the resource distribution of Scomber japnicus and seawater temperature vertical structure of Northwestern Pacific Ocean. Period. Ocean Univ. China 2019, 49, 29–38. [Google Scholar]









Disclaimer/Publisher’s Note: The statements, opinions and data contained in all publications are solely those of the individual author(s) and contributor(s) and not of MDPI and/or the editor(s). MDPI and/or the editor(s) disclaim responsibility for any injury to people or property resulting from any ideas, methods, instructions or products referred to in the content. |
© 2024 by the authors. Licensee MDPI, Basel, Switzerland. This article is an open access article distributed under the terms and conditions of the Creative Commons Attribution (CC BY) license (https://creativecommons.org/licenses/by/4.0/).
Share and Cite
Wang, L.; Yang, C.; Shan, B.; Liu, Y.; Zou, J.; Sun, D.; Guo, T. Spatiotemporal Variation and Predictors of the Purpleback Flying Squid (Sthenoteuthis oualaniensis) Distribution Surrounding the Xisha and Zhongsha Islands during a Fishing Moratorium. Fishes 2024, 9, 253. https://doi.org/10.3390/fishes9070253
Wang L, Yang C, Shan B, Liu Y, Zou J, Sun D, Guo T. Spatiotemporal Variation and Predictors of the Purpleback Flying Squid (Sthenoteuthis oualaniensis) Distribution Surrounding the Xisha and Zhongsha Islands during a Fishing Moratorium. Fishes. 2024; 9(7):253. https://doi.org/10.3390/fishes9070253
Chicago/Turabian StyleWang, Liangming, Changping Yang, Binbin Shan, Yan Liu, Jianwei Zou, Dianrong Sun, and Tao Guo. 2024. "Spatiotemporal Variation and Predictors of the Purpleback Flying Squid (Sthenoteuthis oualaniensis) Distribution Surrounding the Xisha and Zhongsha Islands during a Fishing Moratorium" Fishes 9, no. 7: 253. https://doi.org/10.3390/fishes9070253
APA StyleWang, L., Yang, C., Shan, B., Liu, Y., Zou, J., Sun, D., & Guo, T. (2024). Spatiotemporal Variation and Predictors of the Purpleback Flying Squid (Sthenoteuthis oualaniensis) Distribution Surrounding the Xisha and Zhongsha Islands during a Fishing Moratorium. Fishes, 9(7), 253. https://doi.org/10.3390/fishes9070253

