The Use of Daily Growth to Analyze Individual Spawning Dynamics in an Asynchronous Population: The Case of the European Hake from the Southern Stock †
Abstract
1. Introduction
2. Materials and Methods
3. Results
4. Discussion
5. Conclusions
Supplementary Materials
Author Contributions
Funding
Institutional Review Board Statement
Informed Consent Statement
Data Availability Statement
Acknowledgments
Conflicts of Interest
References
- Heino, M.; Kaitala, V. Evolution of resource allocation between growth and reproduction in animals with indeterminate growth. J. Evol. Biol. 1999, 12, 423–429. [Google Scholar] [CrossRef]
- Roff, D.A. An allocation model of growth and reproduction in fish. Can. J. Fish. Aquat. Sci. 1983, 40, 1395–1404. [Google Scholar] [CrossRef]
- Ware, D.M. Bioenergetics of stock and recruitment. Can. J. Fish. Aquat. Sci. 1980, 37, 1012–1024. [Google Scholar] [CrossRef]
- Campana, S.E. Otolith science entering the 21st century. Mar. Freshw. Res. 2005, 56, 485–495. [Google Scholar] [CrossRef]
- Morales-Nin, B.; Moranta, J. Recruitment and post-settlement growth of juvenile Merluccius merluccius on the western Mediterranean shelf. Sci. Mar. 2004, 68, 399–409. [Google Scholar] [CrossRef][Green Version]
- Lucio, P.; Murua, H.; Santurtún, M. Growth and reproduction of hake (Merluccius merluccius) in the Bay of Biscay during the period 1996–1997. Ozeanografika 2000, 3, 325–354. [Google Scholar]
- Piñeiro, C.; Morgado, C.; Saínza, M.; McCurdy, W.J. Hake Age Estimation: State of the Art and Progress towards a Solution; ICES Cooperative Research Report No. 294; ICES/CIEM: Copenhagen, Denmark, 2009. [Google Scholar]
- Otxotorena, U.; Díez, G.; de Abechuco, E.L.; Santurtún, M.; Lucio, P. Estimation of age and growth of juvenile hakes (Merluccius merluccius Linneaus, 1758) of the Bay of Biscay and Great Sole by means of the analysis of macro and microstructure of the otoliths. Fish. Res. 2010, 106, 337–343. [Google Scholar] [CrossRef]
- Casey, J.; Pereiro, F.J. European hake (M. merluccius) in the North-East Atlantic. In Hake: Fisheries, Ecology and Markets; Alheit, J., Pitcher, T.J., Eds.; Chapman and Hall: London, UK, 1995; pp. 125–147. [Google Scholar]
- Domínguez-Petit, R. Study of Reproductive Potencial of Merluccius merluccius in the Galician Shelf; University of Vigo: Vigo, Spain, 2007. [Google Scholar]
- Mellon-Duval, C.; de Pontual, H.; Métral, L.; Quemener, L. Growth of European hake (Merluccius merluccius) in the Gulf of Lions based on conventional tagging. ICES J. Mar. Sci. 2010, 67, 62–70. [Google Scholar] [CrossRef]
- Werner, K.M.; Staby, A.; Geffen, A.J. Temporal and spatial patterns of reproductive indices of European hake (Merluccius merluccius) in the northern North Sea and Norwegian coastal areas. Fish. Res. 2016, 183, 200–209. [Google Scholar] [CrossRef]
- Velasco, F.; Olaso, I. European hake Merluccius merluccius (L., 1758) feeding in the Cantabrian Sea: Seasonal, bathymetric and length variations. Fish. Res. 1998, 38, 33–44. [Google Scholar] [CrossRef]
- Cartes, J.E.; Hidalgo, M.; Papiol, V.; Massutí, E.; Moranta, J. Changes in the diet and feeding of the hake Merluccius merluccius at the shelf-break of the Balearic Islands: Influence of the mesopelagic-boundary community. Deep. Res. Part I Oceanogr. Res. Pap. 2009, 56, 344–365. [Google Scholar] [CrossRef]
- Pérez, N.; Pereiro, F.J. Reproductive aspects of hake (Merluccius merluccius L.) on the Galician and Cantabrian shelves. Bol. Inst. Esp. Oceanogr. 1985, 2, 39–47. [Google Scholar]
- Sánchez, F.; Gil, J. Hydrographic mesoscale structures and Poleward Current as a determinant of hake (Merluccius merluccius) recruitment in southern Bay of Biscay. ICES J. Mar. Sci. 2000, 57, 152–170. [Google Scholar] [CrossRef]
- Izquierdo, F.; Paradinas, I.; Cerviño, S.; Conesa, D.; Alonso-Fernández, A.; Velasco, F.; Preciado, I.; Punzón, A.; Saborido-Rey, F.; Pennino, M.G. Spatio-Temporal Assessment of the European Hake (Merluccius merluccius) Recruits in the Northern Iberian Peninsula. Front. Mar. Sci. 2021, 8, 614675. [Google Scholar] [CrossRef]
- Domínguez-Petit, R.; Korta, M.; Saborido-Rey, F.; Murua, H.; Sainza, M.; Piñeiro, C. Changes in size at maturity of European hake Atlantic populations in relation with stock structure and environmental regimes. J. Mar. Syst. 2008, 71, 260–278. [Google Scholar] [CrossRef]
- Domínguez-Petit, R.; Saborido-Rey, F. New bioenergetic perspective of European hake (Merluccius merluccius L.) reproductive ecology. Fish. Res. 2010, 104, 83–88. [Google Scholar] [CrossRef]
- Fraga, F. Upwelling off the Galacian Coast, northwest Spain. In Coastal Upwelling; Richards, F.A., Ed.; American Geophysical Union: Washington, DC, USA, 1981; Volume 1, pp. 176–182. [Google Scholar]
- Mehault, S.; Domínguez-Petit, R.; Cerviño, S.; Saborido-Rey, F. Variability in total egg production and implications for management of the southern stock of European hake. Fish. Res. 2010, 104, 111–122. [Google Scholar] [CrossRef]
- García-Fernández, C.; Domínguez-Petit, R.; Aldanondo, N.; Saborido-Rey, F. Seasonal variability of maternal effects in European hake Merluccius merluccius. Mar. Ecol. Prog. Ser. 2020, 650, 125–140. [Google Scholar] [CrossRef]
- NBrown-Peterson, J.; Wyanski, D.M.; Saborido-Rey, F.; Macewicz, B.J.; Lowerre-Barbieri, S.K. A standardized terminology for describing reproductive development in fishes. Mar. Coast. Fish. 2011, 3, 52–70. [Google Scholar] [CrossRef]
- Campana, S.E.; Neilson, J.D. Microstructure of fish otoliths. Can. J. Fish. Aquat. Sci. 1985, 42, 1014–1032. [Google Scholar] [CrossRef]
- Wood, S.N. Fast stable restricted maximum likelihood and marginal likelihood estimation of semiparametric generalized linear models. J. R. Stat. Soc. Ser. B (Stat. Methodol.) 2011, 73, 3–36. [Google Scholar] [CrossRef]
- Akaike, H. Information theory as an extension of the maximum likelihood principle. In Second International Symposium on Information Theory; Petrov, B.N., Csaki, F., Eds.; Akademiai Kiado: Budapest, Hungary, 1973; pp. 267–281. [Google Scholar]
- R Core Team. R: A Language and Environment for Statistical Computing; R Core Team: Vienna, Austria, 2019. [Google Scholar]
- Myers, R.A.; Barrowman, N.J. Is fish recruitment related to spawner abundance? Fish. Bull. 1996, 94, 707–724. [Google Scholar]
- Gilbert, D.J. Towards a new recruitment paradigm for fish stocks. Can. J. Fish. Aquat. Sci. 1997, 54, 969–977. [Google Scholar] [CrossRef]
- Saborido-Rey, F. Fish Reproduction. In Encyclopedia of Ocean Sciences, 3rd ed.; Cochran, J., Bokuniewicz, H., Yager, P., Eds.; Elsevier: Cambridge, UK, 2016; pp. 232–245. [Google Scholar]
- Wright, P.J.; Trippel, E.A. Fishery-induced demographic changes in the timing of spawning: Consequences for reproductive success. Fish Fish 2009, 10, 283–304. [Google Scholar] [CrossRef]
- Helser, T.E.; Alade, L. A retrospective of the hake stocks off the Atlantic and Pacific coasts of the United States: Uncertainties and challenges facing assessment and management in a complex environment. Fish. Res. 2012, 114, 2–18. [Google Scholar] [CrossRef]
- Jansen, T.; Gislason, H. Population Structure of Atlantic Mackerel (Scomber scombrus). PLoS ONE 2013, 8, e64744. [Google Scholar] [CrossRef]
- Jansen, T.; Kainge, P.; Singh, L.; Wilhelm, M.; Durholtz, D.; Strømme, T.; Kathena, J.; Erasmus, V. Spawning patterns of shallow-water hake (Merluccius capensis) and deep-water hake (M. paradoxus) in the Benguela Current Large Marine Ecosystem inferred from gonadosomatic indices. Fish. Res. 2015, 172, 168–180. [Google Scholar] [CrossRef]
- Saborido-Rey, F.; Kjesbu, O.S. Growth and Maturation Dynamics; 2005; p. 26. Available online: https://digital.csic.es/bitstream/10261/47150/3/Growth%20and%20maturation%20dynamics%20%281%29.pdf (accessed on 19 July 2022).
- Rijnsdorp, A.D.; Storbeck, F. Determining the onset ofsexual maturity from otoliths of individual female North Sea plaice, Pleuronectes platessa L. In Recent Developments in Fish Otolith Research; Secor, D.H., Dean, J.M., Campana, S., Eds.; University of South Carolina Press: Columbia, SC, USA, 1995; pp. 581–598. [Google Scholar]
- Francis, R.I.C.C.; Horn, P.L. Transition zone in otoliths of orange roughy (Hoplostethus atlanticas) and its relationship to the onset of maturity. Mar. Biol. 1997, 129, 681–687. [Google Scholar] [CrossRef]
- Reglero, P.; Mosegaard, H. Onset of maturity and cohort composition at spawning of Baltic sprat Sprattus sprattus on the basis of otolith macrostructure analysis. J. Fish. Biol. 2006, 68, 1091–1106. [Google Scholar] [CrossRef]
- Irgens, C. Size Distributions, Growth and Settling of Northeast Arctic cod Juveniles (Gadus morhua) and the Use of Otolith Shape for Age Group Discrimination. Master’s Thesis, University of Bergen, Bergen, Norway, 2010. [Google Scholar]
- Piñeiro, C.; Rey, J.; de Pontual, H.; García, A. Growth of Northwest Iberian juvenile hake estimated by combining sagittal and transversal otolith microstructure analyses. Fish. Res. 2008, 93, 173–178. [Google Scholar] [CrossRef][Green Version]
- Pingree, R.D.; le Cann, B. Three anticyclonic slope water oceanic eDDIES (SWODDIES) in the Southern Bay of Biscay in 1990. Deep Sea Res. Part A Oceanogr. Res. Pap. 1992, 39, 1147–1175. [Google Scholar] [CrossRef]
- Torres, R.; Barton, E.D. Onset of the Iberian upwelling along the Galician coast. Cont. Shelf Res. 2007, 27, 1759–1778. [Google Scholar] [CrossRef]
- Houde, E.D. Fish Reproductive Biology; Wiley-Blackwell: Oxford, UK, 2009. [Google Scholar]
- Serrat, A.; Saborido-Rey, F.; Garcia-Fernandez, C.; Muñoz, M.; Lloret, J.; Thorsen, A.; Kjesbu, O.S. New insights in oocyte dynamics shed light on the complexities associated with fish reproductive strategies. Sci. Rep. 2019, 9, 18411. [Google Scholar] [CrossRef] [PubMed]
- Korta, M.; Domínguez-Petit, R.; Murua, H.; Saborido-Rey, F. Regional variability in reproductive traits of European hake Merluccius merluccius L. populations. Fish. Res. 2010, 104, 64–72. [Google Scholar] [CrossRef]
- Bode, A.; Casas, B.; Fernández, E.; Marañón, E.; Serret, P.; Varela, M. Phytoplankton biomass and production in shelf waters off NW Spain: Spatial and seasonal variability in relation to upwelling. Hydrobiologia 1996, 341, 225–234. [Google Scholar] [CrossRef]
- Reboreda, R.; Cordeiro, N.G.F.; Nolasco, R.; Carmen, G. Modelling the seasonal and interannual variability (2001–2010) of chlorophyll-a in the Iberian margin. J. Sea Res. 2014, 93, 133–149. [Google Scholar] [CrossRef]
- Rollefsen, G. The Otoliths of the Cod. Preliminary Report; Report on Norwegian Fishery und Marine Investigations No. 3; Fiskeridirektoratets Skrifter Serie Havundersøkelser: Bergen, Norway, 1933; Volume 4, pp. 3–14. [Google Scholar]
- Irgens, C. Otolith Structure as Indicator of Key Life History Events in Atlantic Cod (Gadus morhua); University of Bergen: Bergen, Norway, 2018. [Google Scholar]
- Irgens, C.; Folkvord, A.; Otterå, H.; Kjesbu, O.S. Otolith growth and zone formation during first maturity and spawning of Atlantic cod (Gadus morhua). Can. J. Fish. Aquat. Sci. 2020, 77, 113–123. [Google Scholar] [CrossRef]
- Pannella, G. Fish Otoliths: Daily Growth Layers and Periodical Patterns. Science 1971, 173, 1124–1127. [Google Scholar] [CrossRef]
- Morales-Nin, B.; Torres, G.J.; Lombarte, A.; Recasens, L. Otolith growth and age estimation in the European hake. J. Fish Biol. 1998, 53, 1155–1168. [Google Scholar] [CrossRef]
- Dougherty, A.B. Daily and sub-daily otolith increments of larval and juvenile walleye pollock, Theragra chalcogramma (Pallas), as validated by alizarin complexone experiments. Fish. Res. 2008, 90, 271–278. [Google Scholar] [CrossRef]





| Ovary Phase | SP1 | SP2 | Total n | ||
|---|---|---|---|---|---|
| n | TL Range (cm) | n | TL Range (cm) | ||
| D | 4 | 34–73 | 19 | 49–79 | 23 |
| RG | 9 | 45–72 | 9 | 46–56 | 18 |
| RN | 6 | 47–60 | 7 | 49–58 | 13 |
| Total general | 19 | 34–73 | 35 | 46–79 | 54 |
| Jan. | Feb. | Mar. | Apr. | May | Jun. | Jul. | |
|---|---|---|---|---|---|---|---|
| Jan. | 1.00 | ||||||
| Feb. | 1.00 | 1.00 | |||||
| Mar. | 0.94 | 1.00 | 1.00 | ||||
| Apr. | 0.86 | 0.35 | <0.05 | 1.00 | |||
| May | 0.92 | 0.45 | 0.05 | 1.00 | 1.00 | ||
| Jun. | 0.99 | 1.00 | 1.00 | 0.07 | 0.11 | 1.00 | |
| Jul. | 0.81 | 0.99 | 1.00 | <0.05 | 0.07 | 0.96 | 1.00 |
| SP1-D | SP1-RG | SP1-RN | SP2-D | SP2-RG | SP2-RN | |
|---|---|---|---|---|---|---|
| SP1-D | 1.00 | |||||
| SP1-RG | 0.66 | 1.00 | ||||
| SP1-RN | 1.00 | 0.27 | 1.00 | |||
| SP2-D | 0.32 | <0.001 | 0.39 | 1.00 | ||
| SP2-RG | 0.31 | <0.001 | 0.38 | 1.00 | 1.00 | |
| SP2-RN | 0.92 | <0.05 | 0.98 | 0.87 | 0.83 | 1.00 |
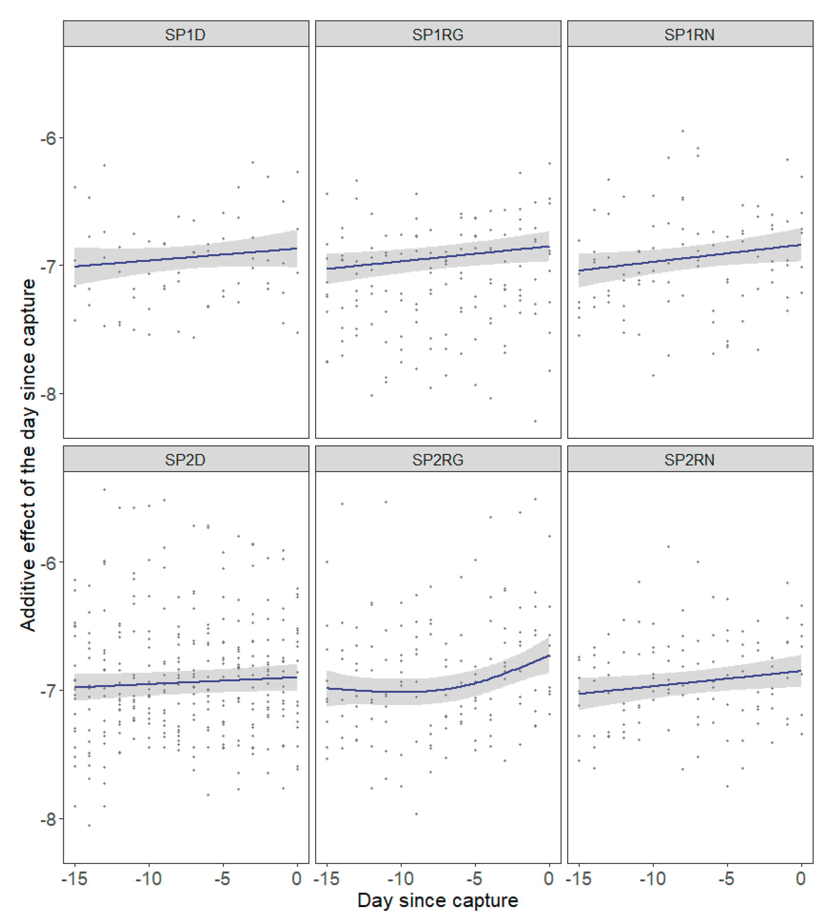
| Parametric Coefficients | Estimate | Std. Error | t Value | p-Value |
|---|---|---|---|---|
| Intercept | −6.94 | 0.05 | −152.50 | <0.001 |
| Smooth Terms | edf | Ref.df | Chi.sq | p-Value |
| SP1–D | 1.00 | 1.00 | 1.37 | 0.24 |
| SP1–RG | 1.00 | 1.00 | 4.95 | <0.05 |
| SP1–RN | 1.00 | 1.00 | 4.30 | <0.05 |
| SP2–D | 1.00 | 1.00 | 2.12 | 0.15 |
| SP2–RG | 1.99 | 1.99 | 7.44 | <0.001 |
| SP2–RN | 1.00 | 1.00 | 3.93 | <0.05 |
| AIC = 531.40 | ||||
Publisher’s Note: MDPI stays neutral with regard to jurisdictional claims in published maps and institutional affiliations. |
© 2022 by the authors. Licensee MDPI, Basel, Switzerland. This article is an open access article distributed under the terms and conditions of the Creative Commons Attribution (CC BY) license (https://creativecommons.org/licenses/by/4.0/).
Share and Cite
García-Fernández, C.; Domínguez-Petit, R.; Saborido-Rey, F. The Use of Daily Growth to Analyze Individual Spawning Dynamics in an Asynchronous Population: The Case of the European Hake from the Southern Stock. Fishes 2022, 7, 208. https://doi.org/10.3390/fishes7040208
García-Fernández C, Domínguez-Petit R, Saborido-Rey F. The Use of Daily Growth to Analyze Individual Spawning Dynamics in an Asynchronous Population: The Case of the European Hake from the Southern Stock. Fishes. 2022; 7(4):208. https://doi.org/10.3390/fishes7040208
Chicago/Turabian StyleGarcía-Fernández, Cristina, Rosario Domínguez-Petit, and Fran Saborido-Rey. 2022. "The Use of Daily Growth to Analyze Individual Spawning Dynamics in an Asynchronous Population: The Case of the European Hake from the Southern Stock" Fishes 7, no. 4: 208. https://doi.org/10.3390/fishes7040208
APA StyleGarcía-Fernández, C., Domínguez-Petit, R., & Saborido-Rey, F. (2022). The Use of Daily Growth to Analyze Individual Spawning Dynamics in an Asynchronous Population: The Case of the European Hake from the Southern Stock. Fishes, 7(4), 208. https://doi.org/10.3390/fishes7040208

