Dietary Arachidonic Acid (20:4n-6) Levels and Its Effect on Growth Performance, Fatty Acid Profile, Gene Expression for Lipid Metabolism, and Health Status of Juvenile California Yellowtail (Seriola dorsalis)
Abstract
1. Introduction
2. Materials and Methods
2.1. Experimental Design and Fish Handling
2.2. Experimental Diets
2.3. Sampling
2.4. Proximate Composition and Fatty Acid Profile
2.5. RNA Extraction and Quantitative PCR
2.6. Cortisol, Glucose, and Total Protein Serum Levels Quantification
2.7. Statistical Analysis
3. Results
3.1. Performance and Biological Index
3.2. Fatty Acid Composition of Tissues
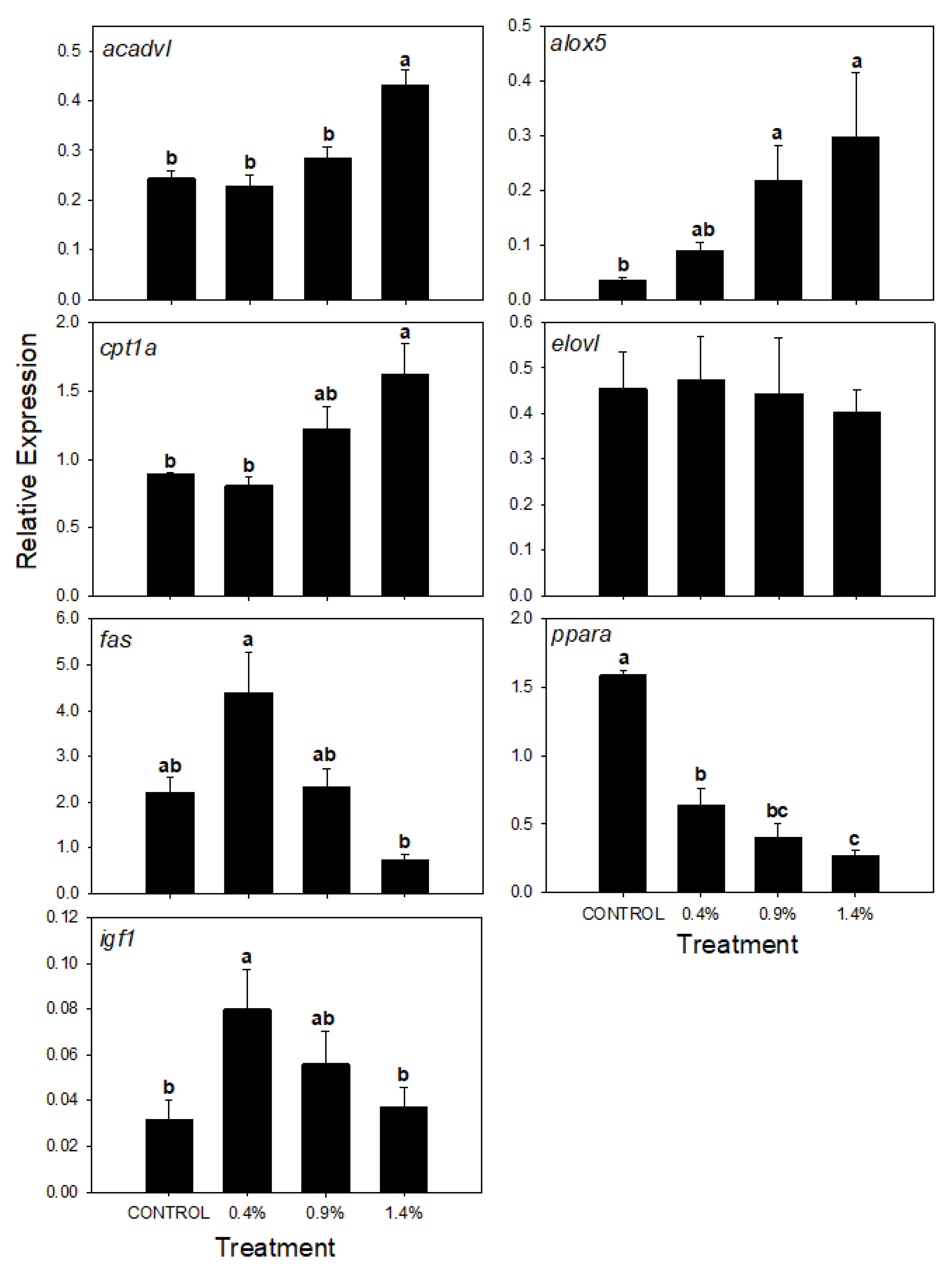
3.3. Gene Expression
3.4. Cortisol and Serum Parameters
4. Discussion
5. Conclusions
Author Contributions
Funding
Institutional Review Board Statement
Data Availability Statement
Acknowledgments
Conflicts of Interest
References
- Tocher, D.R. Metabolism and functions of lipids and fatty acids in teleost fish. Rev. Fish. Sci. 2003, 11, 107–184. [Google Scholar] [CrossRef]
- Sargent, J.; Tocher, D.; Bell, G. The Lipids. In Fish Nutrition, 3rd ed.; Halver, J., Hardy, R., Eds.; Academic Press: San Francisco, CA, USA, 2002; pp. 181–247. [Google Scholar]
- Nakamura, M.T.; Nara, T.Y. Structure, function, and dietary regulation of delta-6, delta-5, and delta-9 desaturases. Annu. Rev. Nutr. 2004, 24, 345–376. [Google Scholar] [CrossRef] [PubMed]
- Rombenso, A.N.; Trushenski, J.T.; Jirsa, D.; Drawbridge, M. Docosahexaenoic acid (DHA) and arachidonic acid (ARA) are essential to meet LC-PUFA requirements of juvenile California Yellowtail (Seriola dorsalis). Aquaculture 2016, 463, 123–134. [Google Scholar] [CrossRef]
- Bell, J.G.; Sargent, J.R. Arachidonic acid in aquaculture feeds: Current status and future opportunities. Aquaculture 2003, 218, 491–499. [Google Scholar] [CrossRef]
- Tocher, D.R.; Ghioni, C. Fatty acid metabolism in marine fish: Low activity of Δ5 desaturation in gilthead sea bream (Sparus aurata) cells. Lipids 1999, 34, 433–440. [Google Scholar] [CrossRef] [PubMed]
- Glencross, B.D. Exploring the nutritional demand for essential fatty acids by aquaculture species. Rev. Aquac. 2009, 1, 71–124. [Google Scholar] [CrossRef]
- Castro, L.F.C.; Tocher, D.R.; Monroig, O. Long-chain polyunsaturated fatty acid biosynthesis in chordates: Insights into the evolution of fads and Elovl gene repertoire. Prog. Lipid Res. 2016, 62, 25–40. [Google Scholar] [CrossRef]
- Tocher, D.R. Omega-3 long-chain polyunsaturated fatty acids and aquaculture in perspective. Aquaculture 2015, 449, 94–107. [Google Scholar] [CrossRef]
- Chee, W.L.; Turchini, G.M.; Teoh, C.Y.; Ng, W.K. Dietary arachidonic acid and the impact on growth performance, health and tissues fatty acids in Malabar red snapper (Lutjanus malabaricus) fingerlings. Aquaculture 2020, 519, 734757. [Google Scholar] [CrossRef]
- Chen, K.; Li, E.; Xu, C.; Wang, X.; Lin, H.; Qin, J.G.; Chen, L. Evaluation of different lipid sources in the diet of pacific white shrimp Litopenaeus vannamei at low salinity. Aquac. Rep. 2015, 2, 163–168. [Google Scholar] [CrossRef]
- Xu, H.; Dong, X.; Zuo, R.; Mai, K.; Ai, Q. Response of juvenile Japanese seabass (Lateolabrax japonicus) to different dietary fatty acid profiles: Growth performance, tissue lipid accumulation, liver histology and flesh texture. Aquaculture 2016, 461, 40–47. [Google Scholar] [CrossRef]
- Jin, M.; Lu, Y.; Yuan, Y.; Li, Y.; Qiu, H.; Sun, P.; Ma, H.N.; Ding, L.Y.; Zhou, Q.C. Regulation of growth, antioxidant capacity, fatty acid profiles, hematological characteristics and expression of lipid related genes by different dietary n-3 highly unsaturated fatty acids in juvenile black seabream (Acanthopagrus schlegelii). Aquaculture 2017, 471, 55–65. [Google Scholar] [CrossRef]
- Soller, F.; Roy, L.A.; Davis, D.A. Replacement of fish oil in plant-based diet for Pacific white shrimp, Litopenaeus vannamei, by stearine fish oil and palm oil. J. World Aquac. Soc. 2018, 50, 186–203. [Google Scholar] [CrossRef]
- Nayak, S.; Koven, W.; Meiri, I.; Khozin-Goldberg, I.; Isakov, N.; Zibbeh Mohammad, Z.; Zilberg, D. Dietary arachidonic acid affects immune function and fatty acid composition in culture rabbitfish Siganus rivulatus. Fish Shellfish Immunol. 2017, 68, 46–53. [Google Scholar] [CrossRef] [PubMed]
- Ding, Z.; Zhou, J.; Kong, Y.; Zhang, I.; Cao, F.; Luo, N.; Ye, J. Dietary arachidonic acid promotes growth, improves immunity, and regulates the expression of immune related signaling molecules in Macrobrachium nipponense (De Haan). Aquaculture 2018, 484, 112–119. [Google Scholar] [CrossRef]
- Torrecillas, S.; Betancor, M.B.; Caballero, M.J. Supplementation of arachidonic acid rich oil in European sea bass juveniles (Dicentrarchus labrax) diets: Effects on growth performance, tissue fatty acid profile and lipid metabolism. Fish Physiol. Biochem. 2018, 44, 283–300. [Google Scholar] [CrossRef] [PubMed]
- Araújo, B.; Honji, R.M.; Rombenso, A.N.; Souza, G.B.; Mello, P.H.; Hilsdorf, A.W.S.; Moreira, R.G. Influence of different arachidonic acid levels and temperature on the growth performance, fatty acid profile, liver morphology and expression of lipid genes in cobia (Rachycentron canadum) juveniles. Aquaculture 2019, 511, 734245. [Google Scholar] [CrossRef]
- Boglino, A.; Wishkerman, A.; Darias, M.J.; de la Iglesia, P.; Andree, K.B.; Gisbert, E.; Estévez, A. Senegalese sole (Solea senegalensis) metamorphic larvae are more sensitive to pseudo-albinism induced by high dietary arachidonic acid levels than post-metamorphic larvae. Aquaculture 2014, 433, 276–287. [Google Scholar] [CrossRef]
- Yuan, Y.H.; Li, S.L.; Mai, K.S.; Xu, W.; Zhang, Y.J.; Ai, Q.H. The effect of dietary arachidonic acid (ARA) on growth performance, fatty acid composition and expression of ARA metabolism-related genes in larval half-smooth tongue sole (Cynoglossus semilaevis). Br. J. Nutr. 2015, 113, 1518–1530. [Google Scholar] [CrossRef] [PubMed]
- Araújo, B.C.; Rodriguez, M.; Honji, R.M.; Rombenso, A.N.; del Rio-Zaragoza, O.B.; Cano, A.; Tinajero, A.; Mata-Sotres, J.A.; Viana, M.T. Arachidonic acid modulated lipid metabolism and improved productive performance of striped bass (Morone saxatilis) juvenile under sub- to optimal temperatures. Aquaculture 2021, 530, 735939. [Google Scholar] [CrossRef]
- Furuita, H.; Yamamoto, T.; Shima, T.; Suzuki, N.; Takeuchi, T. Effect of arachidonic acid levels in broodstock diet on larval and egg quality of Japanese flounder Paralichthys olivaceus. Aquaculture 2003, 220, 725–735. [Google Scholar] [CrossRef]
- Xu, H.G.; Ai, Q.H.; Mai, K.S.; Xu, W.; Wang, J.; Ma, H.M.; Zhang, W.B.; Wang, X.J.; Liufu, Z.G. Effects of dietary arachidonic acid on growth performance, survival, immune response and tissue fatty acid composition of juvenile Japanese seabas, Lateolabrax japonicas. Aquaculture 2010, 307, 75–82. [Google Scholar] [CrossRef]
- Xu, H.; Cao, L.; Zhang, Y.; Johnson, R.B.; Wei, Y.; Zheng, K.; Liang, M. Dietary arachidonic acid differentially regulates the gonadal steroidogenesis in the marine teleost, tongue sole (Cynoglossus semilaevis), depending on fish gender and maturation stage. Aquaculture 2017, 468, 378–385. [Google Scholar] [CrossRef]
- Koven, W.; Barr, Y.; Lutzky, S.; Ben-Atia, I.; Weiss, R.; Harel, M.; Behrens, P.; Tandler, A. The effect of dietary arachidonic acid (20,4n−6) on growth, survival and resistance to handling stress in gilthead seabream (Sparus aurata) larvae. Aquaculture 2001, 193, 107–122. [Google Scholar] [CrossRef]
- Rezek, T.C.; Watanabe, W.O.; Harel, M.; Seaton, P.J. Effects of dietary docosahexaenoic acid (22:6n−3) and arachidonic acid (20:4n−6) on the growth, survival, stress resistance and fatty acid composition in black sea bass Centropristis striata (Linnaeus 1758) larvae. Aquac. Res. 2010, 41, 1302–1314. [Google Scholar] [CrossRef]
- Martins, D.A.; Rocha, F.; Castanheira, F.; Mendes, A.; Pousao-Ferreira, P.; Bandarra, N.; Coutinho, J.; Morais, S.; Yufera, M.; Conceicao, L.E.C.; et al. Effects of dietary arachidonic acid on cortisol production and gene expression in stress response in Senegalese sole (Solea senegalensis) post-larvae. Fish Physiol. Biochem. 2013, 39, 1223–1238. [Google Scholar] [CrossRef] [PubMed]
- Lund, I.; Steenfeldt, S.J.; Hansen, B.W. Effect of dietary arachidonic acid, eicosapentaenoic acid and docosahexaenoic acid on survival, growth and pigmentation in larvae of common sole (Solea solea L.). Aquaculture 2007, 273, 532–544. [Google Scholar] [CrossRef]
- Copeman, L.A.; Parrish, C.C.; Brown, J.A.; Harel, M. Effects of docosahexaenoic, eicosapentaenoic, and arachidonic acids on the early growth, survival, lipid com-position and pigmentation of yellowtail flounder (Limanda ferruginea): A live food enrichment experiment. Aquaculture 2002, 210, 285–304. [Google Scholar] [CrossRef]
- Araújo, B.C.; Flores-Galvez, K.; Honji, R.M.; Barbosa, V.M.; Viana, M.T.; Tinajero, A.; Mata-Sotres, J.A. Arachidonic acid effects on the overall performance, fatty acid profile, hepatopancreas morphology and lipid-relevant genes in Litopenaeus vannamei juveniles. Aquaculture 2020, 523, 735207. [Google Scholar] [CrossRef]
- Arts, M.T.; Kohler, C.C. Health and condition in fish: The influence of lipids on membrane competency and immune response. In Lipids in Aquatic Ecosystems; Arts, M.T., Brett, M.T., Kainz, M.J., Eds.; Springer: New York, NY, USA, 2009; pp. 237–256. [Google Scholar]
- Samuelsson, B. Leukotrienes: Mediators of immediate hypersensitivity reactions and inflammation. Science 1983, 220, 568–575. [Google Scholar] [CrossRef]
- Tharuka, M.D.N.; Priyathilaka, T.T.; Kim, J.; Lim, C.; Lee, J. Molecular characterization of big-belly seahorse (Hippocamus abdominalis) arachidonate 5-lipoxygenase (HaALOX5): First evidence of an immune defensive role by induced immunological stress in teleost. Fish Shellfish Immunol. 2019, 86, 230–238. [Google Scholar] [CrossRef]
- Mata-Sotres, J.A.; Marques, V.H.; Barba, D.; Braga, A.; Araújo, B.; Viana, M.T.; Rombenso, A.N. Increasing dietary SFA:MUFA ratio with low levels of LC-PUFA affected lipid metabolism, tissue fatty acid profile and growth of juvenile California Yellowtail (Seriola dorsalis). Aquaculture 2021, 543, 737011. [Google Scholar] [CrossRef]
- AOAC. Official Methods of Analysis; Association of Analytical Chemists: Arlington, VA, USA, 2015. [Google Scholar]
- Folch, J.; Lees, M.; Sloane-Stanley, G.H. A simple method for the isolation and purification of total lipids from animal tissues. J. Biol. Chem. 1957, 276, 497–507. [Google Scholar] [CrossRef]
- Parrish, C.C.; Nichols, P.D.; Pethybridge, H.; Young, J.W. Direct determination of fatty acids in fish tissues: Quantifying top predator trophic connections. Methods 2015, 177, 85–95. [Google Scholar] [CrossRef]
- Alhazzaa, R.; Nichols, P.D.; Carter, C.G. Sustainable alternatives to dietary fish oil in tropical fish aquaculture. Rev. Aquac. 2019, 11, 1195–1218. [Google Scholar] [CrossRef]
- Moriyama, S.; Ayson, F.G.; Kawauchi, H. Growth Regulation by Insulin-like Growth Factor-I in Fish. Biosci. Biotechnol. Biochem. 2000, 64, 1553–1562. [Google Scholar] [CrossRef]
- Liu, H.; Dong, X.; Tan, B.; Du, T.; Zhang, S.; Yang, Y.; Chi, S.; Yang, Q.; Liu, H. Effects of dietary protein and lipid levels on growth, body composition, enzymes activity, expression of IGF-1 and TOR of juvenile northern whiting, Sillago sihama. Aquaculture 2021, 533, 736166. [Google Scholar] [CrossRef]
- Beckman, B.R.; Larsen, D.A.; Moriyama, S.; Lee-Pawlak, B.; Dickhoffm, W.W. Insulin-like Growth Factor-I and Environmental Modulation of Growth during Smoltification of Spring Chinook Salmon (Oncorhynchus tshawytscha). Gen. Comp. Endocrinol. 1998, 109, 325–335. [Google Scholar] [CrossRef]
- Weil, C.; Lefevre, F.; Bugeon, J. Characteristics and metabolism of different adipose tissues in fish. Rev. Fish Biol. Fish. 2013, 23, 157–173. [Google Scholar] [CrossRef]
- Dessen, J.; Weihe, R.; Hatlen, B.; Thomassen, M.S.; Rørvik, K. Different growth performance, lipid deposition, and nutrient utilization in in-season (S1) Atlantic salmon post-smolt fed isoenergetic diets differing in protein-to-lipid ratio. Aquaculture 2017, 473, 345–354. [Google Scholar] [CrossRef]
- Turchini, G.M.; Francis, D.S.; Senadheera, S.P.S.D.; Thanuthong, T.; De Silva, S.S. Fish oil replacement with different vegetable oils in Murray cod: Evidence of an “omega-3 sparing effect” by other dietary fatty acids. Aquaculture 2011, 315, 250–259. [Google Scholar] [CrossRef]
- Mata-Sotres, J.A.; Tinajero-Chavez, A.; Barreto-Curiel, F.; Pares-Sierra, G.; Del Rio-Zaragoza, O.B.; Viana, M.T.; Rombenso, A.N. DHA (22:6n-3) supplementation is valuable in Totoaba macdonaldi fish oil-free feeds containing poultry by-product meal and beef tallow. Aquaculture 2018, 497, 440–451. [Google Scholar] [CrossRef]
- Araújo, B.; Mata-Sotres, J.A.; Viana, M.T.; Tinajero, A.; Braga, A. Fish oil-free diets for Pacific white shrimp Litopenaeus vannamei: The effects of DHA-EPA supple-mentation on juvenile growth performance and muscle fatty acid profile. Aquaculture 2019, 511, 734276. [Google Scholar] [CrossRef]
- Marques, V.H.; Moreira, R.G.; Branco, G.S.; Honji, R.M.; Rombenso, A.N.; Viana, M.T.; de Mello, P.H.; Mata-Sotres, J.A.; Araújo, B. Different saturated and monounsaturated fatty acids levels in fish oil-free diets to cobia (Rachycentron canadum) juveniles: Effects in growth performance and lipid metabolism. Aquaculture 2021, 541, 736843. [Google Scholar] [CrossRef]
- Rombenso, A.N.; Turchini, G.M.; Trushenski, J.T. The omega-3 sparing effect of saturated fatty acids: A reason to reconsider common knowledge of fish oil replacement. Rev. Aquac. 2022, 14, 213–217. [Google Scholar] [CrossRef]
- Nelson, D.L.; Cox, M.M. Lehninger: Principles of Biochemistry; Macmillan: New York, NY, USA, 2018; pp. 341–362. [Google Scholar]
- Morash, A.J.; Bureau, D.P.; McClelland, G.B. Effects of dietary fatty acid composition on the regulation of carnitine palmitoyl transferase (CPT) I in rainbow trout (Oncorhynchus mykiss). Comp. Biochem. Physiol. B 2009, 152, 85–93. [Google Scholar] [CrossRef]
- Norambuena, F.; Morais, S.; Estévez, A.; Bell, J.G.; Tocher, D.R.; Navarro, J.C.; Cerdà, J.; Duncan, N. Dietary modulation of arachidonic acid metabolism in Senegalese sole (Solea senegalensis) broodstock reared in captivity. Aquaculture 2013, 372–375, 80–88. [Google Scholar] [CrossRef]
- Norambuena, F.; Morais, S.; Emery, J.A.; Turchini, G.M. Arachidonic acid and eicosapentaenoic acid metabolism in juvenile Atlantic salmon as affect by water temperature. PLoS ONE 2015, 10, e0143622. [Google Scholar] [CrossRef]
- Hixson, S.M.; Parrish, C.C.; Xue, X.; Wells, J.S.; Collins, S.A.; Anderson, D.M.; Rise, M.L. Growth performance, tissue composition, and gene expression responses in Atlantic salmon (Salmo salar) fed varying levels of different lipid sources. Aquaculture 2017, 467, 76–88. [Google Scholar] [CrossRef]
- Jump, D.B. Fatty acid regulation of gene transcription. Crit. Rev. Clin. Lab. Sci. 2004, 41, 41–68. [Google Scholar] [CrossRef]
- Araújo, B.C.; Salini, M.; Glencross, B.; Wade, N. The influence of dietary fatty acid and fasting on the hepatic lipid metabolism of barramundi (Lates calcarifer). Aqua Restaur. 2017, 48, 3879–3893. [Google Scholar] [CrossRef][Green Version]
- Pawar, A.; Jump, D.B. Unsaturated fatty acid regulation of peroxisome proliferator-activated receptor alpha activity in rat primary hepatocytes. J. Biol. Chem. 2003, 278, 35931–35939. [Google Scholar] [CrossRef] [PubMed]
- Tian, J.; Ji, H.; Oku, H.; Zhou, J. Effects of dietary arachidonic acid (ARA) on lipid metabolism and health status of juvenile grass carp, Ctenopharyngodon idellus. Aquaculture 2014, 430, 57–65. [Google Scholar] [CrossRef]
- Peng, M.; Xu, W.; Mai, K.S.; Zhou, H.H.; Zhang, Y.J.; Liufu, Z.G.; Zhang, K.K.; Ai, Q.H. Growth performance, lipid deposition and hepatic lipid metabolism related gene expression in juvenile turbot (Scophthalmus maximus L.) fed diets with various fish oil substitution level by soybean oil. Aquaculture 2014, 433, 442–449. [Google Scholar] [CrossRef]
- Cho, S.H.; Lee, S.M. Onion powder in the diet of the olive flounder, Paralichthys olivaceus: Effects on the growth, body composition, and lysozyme activity. J. World Aquac. Soc. 2012, 43, 30–38. [Google Scholar] [CrossRef]
- Jordal, A.E.O.; Torstensen, B.E.; Tsoi, S.; Tocher, D.R.; Lall, S.P.; Douglas, S.E. Dietary rapeseed oil affects the expression of genes involved in hepatic lipid metabolism in Atlantic salmon (Salmo salar L.). J. Nutr. 2005, 135, 2355–2361. [Google Scholar] [CrossRef]
- Trushenski, J.; Schwarz, M.; Bergman, A.; Rombenso, A.; Delbos, B. DHA is essential, EPA appears largely expendable, in meeting the n-3 long-chain polyunsaturated fatty acid requirements of juvenile cobia Rachycentron canadum. Aquaculture 2012, 326–329, 81–89. [Google Scholar] [CrossRef]
- Wang, T.; Zuo, R.; Mai, K.; Xu, W.; Ai, Q. Molecular cloning and functional characterization of arachidonate 5-lipoxygenase (alox5), and its expression in response to the ratio of linolenic acid to linoleic acid in diets of large yellow croaker (Larmichthys crocea). Comp. Biochem. Physiol. B Biochem. Mol. Biol. 2016, 201, 21–28. [Google Scholar] [CrossRef]
- Salini, M.J.; Turchini, G.M.; Glencross, B.D. Effect of dietary saturated and monounsaturated fatty acids in juvenile barramundi Lates calcarifer. Aquac. Nutr. 2016, 23, 264–275. [Google Scholar] [CrossRef]
- Jensen-Urstad, A.P.L.; Semenkovich, C.F. Fatty acid synthase and liver triglyceride metabolism: Housekeeper or messenger? Biochim. Biophys. Acta 2012, 1821, 747–753. [Google Scholar] [CrossRef]
- Tocher, D.R.; Bendiksen, E.A.; Campbell, P.J.; Bell, J.G. The role of phospholipids in nutrition and metabolism of teleost fish. Aquaculture 2008, 280, 21–34. [Google Scholar] [CrossRef]
- Bowzer, J.; Jackson, C.; Trushenski, J. Hybrid striped bass feeds based on fish oil, beef tallow, and EPA/DHA supplements: Insight regarding fish oil sparing and demand for n-3 long-chain polyunsaturated fatty acids. J. Anim. Sci. 2016, 94, 978–988. [Google Scholar] [CrossRef]
- Qiu, H.; Jin, M.; Li, Y.; You, L.; Hou, Y.M.; Zhou, Q.C. Dietary lipid sources influence fatty acid composition in tissue of large yellow croaker (Larmichthys crocea) by regulating triacylglycerol synthesis and catabolism at the transcriptional level. PLoS ONE 2017, 12, e0169985. [Google Scholar] [CrossRef] [PubMed]
- Torstensen, B.E.; Lie, O.; Froyland, L. Lipid metabolism and tissue composition in Atlantic salmon (Salmo salar L.) effects of capelin oil, palm oil, and oleic acid-enriched sunflower oil as dietary lipid sources. Lipids 2000, 35, 653–664. [Google Scholar] [CrossRef] [PubMed]
- Kanawasa, A. Effects of docosahexaenoic acid and phospholipids on stress tolerance of fish. Aquaculture 1997, 155, 129–134. [Google Scholar] [CrossRef]
- Logue, J.A.; Howell, B.R.; Bell, J.G.; Cossins, A.R. Dietary n-3 long-chain poly- unsaturated fatty acid deprivation, tissue lipid composition, ex vivo prostaglandin production, and stress tolerance in juvenile dover sole (Solea solea L.). Lipids 2000, 35, 745–755. [Google Scholar] [CrossRef] [PubMed]
- Norambuena, F.; Rombenso, A.; Turchini, G.M. Towards the optimization of Atlantic salmon reared at different water temperatures via the manipulation of dietary ARA/EPA ratio. Aquaculture 2016, 450, 48–57. [Google Scholar] [CrossRef]
- Schreck, C.B.; Moyle, P.B. Methods for Fish Biology; American Fisheries Society: Bethesda, MD, USA, 1990; p. 684. [Google Scholar]
- Okimoto, D.K.; DiStefano, J.J.; Kuwaye, T.T.; Ron, B.; Weber, G.M.; Nguyen, T.T.; Grau, E.G. On plasma volume measurement and the effect of experimental stress in the male tilapia Oreochromis mossambicus maintained in fresh water. Fish Physiol. Biochem. 1994, 12, 431–438. [Google Scholar] [CrossRef]
- del Rio-Zaragoza, O.B.; Hernández, M.; Buckle, L. Thermal stress effect on tilapia Oreochromis mossambicus (Pisces: Cichlidae) blood parameters. Mar. Freshw. Behav. Physiol. 2008, 41, 79–89. [Google Scholar] [CrossRef]


| Experimental Diets | ||||
|---|---|---|---|---|
| Ingredients (g kg−1 DM) | Control | 0.4% | 0.9% | 1.4% |
| Fish meal a | 140 | 140 | 140 | 140 |
| Poultry meal b | 360 | 360 | 360 | 360 |
| Wheat meal c | 8 | 0 | 0 | 0 |
| Gelatin d | 60 | 60 | 60 | 60 |
| Beef tallow e | 25 | 94 | 94 | 89 |
| Cholesterol f | 0 | 3 | 3 | 3 |
| Starch (MaizenaTM) | 273 | 265 | 260 | 260 |
| Taurine g | 10 | 10 | 10 | 10 |
| Rovimix h | 30 | 30 | 30 | 30 |
| Stay C | 1 | 1 | 1 | 1 |
| DHANatur i | 0 | 30 | 30 | 30 |
| Fish oil j | 90 | 0 | 0 | 0 |
| ARA-enriched oil k | 0 | 4 | 9 | 14 |
| Sodium Benzonate | 2 | 2 | 2 | 2 |
| Choline chloride | 0.9 | 0.9 | 0.9 | 0.9 |
| Tocopherol | 0.1 | 0.1 | 0.1 | 0.1 |
| Proximate Composition (g kg−1) | ||||
| Protein | 449.3 | 449.4 | 468.7 | 461.9 |
| Lipid | 109.2 | 122.5 | 113.5 | 112.5 |
| Dry Matter | 95.07 | 91.79 | 92.93 | 97.10 |
| Ash | 80.7 | 81.8 | 85.0 | 83.1 |
| NFE | 360.8 | 346.3 | 332.8 | 342.5 |
| Experimental Diets | |||||
|---|---|---|---|---|---|
| Fatty Acid | ARA Oil | Control | 0.4% | 0.9% | 1.4% |
| 14:0 | 2.29 | 6.87 | 6.83 | 5.73 | 6.15 |
| 16:0 | 8.96 | 23.51 | 19.58 | 20.10 | 19.75 |
| 18:0 | 9.70 | 9.50 | 12.71 | 13.00 | 12.63 |
| ∑SFA | 20.95 | 39.88 | 39.13 | 38.84 | 38.53 |
| 16:1n-7 | 0.11 | 7.35 | 3.05 | 3.03 | 2.83 |
| 18:1n-7 | 1.46 | 3.25 | 1.87 | 1.81 | 1.71 |
| 18:1n-9 | 28.02 | 22.70 | 28.17 | 29.18 | 28.20 |
| ∑MUFA | 29.59 | 33.30 | 33.09 | 34.01 | 32.74 |
| 18:2n-6 | n.d. | 4.74 | 6.28 | 6.96 | 7.38 |
| 20:4n-6 (ARA) | 44.95 | 2.39 | 2.21 | 3.49 | 4.55 |
| ∑n-6 PUFA | 44.95 | 7.13 | 8.49 | 10.45 | 11.93 |
| 18:3n-3 | n.d. | 0.80 | 1.72 | 1.14 | 0.84 |
| 18:4n-3 | n.d. | 1.07 | 1.42 | 1.00 | 1.18 |
| 20:5n-3 | n.d. | 3.35 | 1.64 | 1.84 | 1.76 |
| 22:5n-3 | n.d. | 4.25 | 3.19 | 2.58 | 3.96 |
| 22:6n-3 | n.d. | 4.75 | 5.64 | 5.26 | 4.56 |
| ∑n-3 PUFA | n.d. | 14.21 | 13.61 | 11.80 | 12.29 |
| ∑PUFA | 44.95 | 21.35 | 22.10 | 22.25 | 24.22 |
| EPA/ARA | - | 1.40 | 0.74 | 0.74 | 0.39 |
| DHA/ARA | - | 1.98 | 2.55 | 1.55 | 1.0 |
| Others | 4.51 | 5.48 | 5.68 | 4.90 | 4.50 |
| Gene (Symbol) | Fwd Sequence (5′-3′) | Rev Sequence (5′-3′) | Size (bp) | E | R2 |
|---|---|---|---|---|---|
| actb | TGCGTGACATCAAGGAGAAG | AGGAAGGAAGGCTGGAAGAG | 175 | 1.00 | 0.99 |
| acadvl | ATTTGGGGTTCAGTGTCTCG | CTGTGACGACAAAAGCCAGA | 153 | 1.13 | 0.99 |
| alox5 | ACAAAACCTCGCTGCAGACT | CTGTGCCCACCAGTGTAATG | 187 | 1.02 | 0.96 |
| cpt1a | CCATCATGGTCAACAGCAAC | ACGTTCGTATTGGGATGAGC | 188 | 1.11 | 0.99 |
| elovl | TTACTGCTGTGTGGCATGGT | CTGGCATGGTGGTAGATGTG | 196 | 1.02 | 0.92 |
| fas | CCTGCTGGCTTTAGAAAACG | ACGGCAGTATCCATTTCCTG | 181 | 1.02 | 0.92 |
| ppara | CAGCCACAAGACTCTGGTCA | TCTCGTGCTCCAGAGAGTCA | 200 | 0.96 | 0.99 |
| igf1 | TCTTCAAGAGTGCGATGTGC | GGCCATAGCCTGTTGGTTTA | 189 | 0.99 | 0.99 |
| Control | 0.4% | 0.9% | 1.4% | PSE | ANOVA p-Value | |
|---|---|---|---|---|---|---|
| Initial weight (g) | 14.71 ± 0.13 | 14.54 ± 0.12 | 14.29 ± 0.07 | 14.62 ± 0.17 | 0.07 | 0.18 |
| Final weight (g) | 41.54 ± 1.34 | 37.79 ± 0.48 | 41.07 ± 0.48 | 41.28 ± 2.68 | 0.79 | 0.32 |
| a FI (% day−1) | 2.33 ± 0.16 | 2.47 ± 0.07 | 2.25 ± 0.15 | 2.38 ± 0.09 | 0.06 | 0.51 |
| b SGR (% day−1) | 2.15 ± 0.12 | 1.91 ± 0.02 | 2.11 ± 0.02 | 2.07 ± 0.13 | 0.05 | 0.32 |
| c FCR | 1.23 ± 0.11 | 1.39 ± 0.05 | 1.16 ± 0.07 | 1.26 ± 0.10 | 0.05 | 0.35 |
| d CF | 3.10 ± 0.16 a | 1.43 ± 0.06 b | 1.63 ± 0.02 b | 1.76 ± 0.14 b | 0.20 | 0.01 |
| e HSI% | 1.20 ± 0.23 | 1.05 ± 0.06 | 1.04 ± 0.04 | 1.21 ± 0.09 | 0.06 | 0.70 |
| f VSI% | 10.90 ± 2.01 | 8.23 ± 0.47 | 8.78 ± 0.13 | 9.23 ± 0.18 | 0.54 | 0.35 |
| Survival (%) | 95.5 ± 0.36 | 95.5 ± 1.25 | 97.7 ± 1.32 | 95.5 ± 0.89 | 1.29 | 0.93 |
| Treatments | |||||
|---|---|---|---|---|---|
| Fatty Acids | Control | 0.4% | 0.9% | 1.4% | p Value |
| 14:0 | 2.81 ± 0.18 | 3.43 ± 0.04 | 3.08 ± 0.40 | 2.94 ± 0.20 | 0.37 |
| 16:0 | 19.72 ± 0.97 a | 17.21 ± 0.18 ab | 17.06 ± 0.66 ab | 16.13 ± 0.23 b | 0.01 |
| 18:0 | 7.71 ± 0.39 | 7.39 ± 0.11 | 7.56 ± 0.21 | 7.39 ± 0.15 | 0.75 |
| 20:0 | 0.45 ± 0.03 | 0.45 ± 0.03 | 0.68 ± 0.17 | 0.41 ± 0.01 | 0.20 |
| ∑SFA | 30.69 ± 1.57 a | 28.47 ± 0.37 ab | 28.38 ± 1.45 ab | 26.88 ± 0.58 b | 0.01 |
| 16:1n-7 | 3.47 ± 0.69 | 2.75 ± 0.15 | 2.90 ± 0.74 | 2.36 ± 0.21 | 0.54 |
| 18:1n-7 | 2.36 ± 0.34 | 1.88 ± 0.09 | 2.28 ± 0.48 | 2.22 ± 0.50 | 0.82 |
| 18:1n-9 | 17.94 ± 3.65 | 29.02 ± 1.52 | 22.63 ± 2.18 | 25.12 ± 1.86 | 0.06 |
| 24:1n-9 | 1.18 ± 0.31 | 0.58 ± 0.09 | 0.71 ± 0.12 | 0.62 ± 0.11 | 0.15 |
| ∑MUFA | 24.95 ± 5.00 | 34.22 ± 1.89 | 28.52 ± 3.53 | 30.32 ± 2.67 | 0.06 |
| 18:2n-6 | 7.70 ± 0.83 | 9.68 ± 0.22 | 8.80 ± 0.60 | 9.80 ± 0.54 | 0.11 |
| 20:2n-6 | 0.43 ± 0.02 | 0.52 ± 0.04 | 0.94 ± 0.30 | 0.57 ± 0.02 | 0.16 |
| 20:4n-6 | 7.07 ± 1.70 b | 6.56 ± 0.51 b | 9.39 ± 1.18 ab | 12.37 ± 0.59 a | 0.02 |
| ∑n-6 PUFA | 15.19 ± 2.53 b | 16.76 ± 0.47 ab | 19.12 ± 1.35 ab | 22.74 ± 0.36 b | 0.03 |
| 18:3n-3 | 0.57 ± 0.04 | 0.51 ± 0.01 | 0.73 ± 0.23 | 0.51 ± 0.02 | 0.56 |
| 20:5n-3 | 8.85 ± 0.10 a | 1.09 ± 0.32 b | 0.52 ± 0.02 b | 0.46 ± 0.04 b | 0.01 |
| 22:5n-3 | 1.71 ± 0.04 | 2.77 ± 0.18 | 2.47 ± 0.42 | 2.73 ± 0.27 | 0.21 |
| 22:6n-3 | 15.61 ± 1.33 | 12.37 ± 0.87 | 14.00 ± 1.19 | 12.32 ± 1.42 | 0.25 |
| ∑n-3 PUFA | 26.75 ± 0.90 a | 16.74 ± 1.03 b | 17.72 ± 1.36 b | 16.03 ± 1.71 b | 0.01 |
| ∑PUFA | 39.16 ± 1.28 | 33.50 ± 1.41 | 38.51 ± 1.36 | 38.77 ± 1.87 | 0.84 |
| Others | 5.20 ± 0.51 | 3.81 ± 0.12 | 4.59 ± 0.35 | 4.03 ± 0.45 | 0.12 |
| Treatments | |||||
|---|---|---|---|---|---|
| Fatty Acid | Control | 0.4% | 0.9% | 1.4% | p Value |
| 14:0 | 1.26 ± 0.03 | 1.48 ± 0.10 | 2.02 ± 0.05 | 2.29 ±0.73 | 0.25 |
| 16:0 | 15.34 ± 0.46 | 14.07 ± 0.64 | 14.94 ± 0.60 | 14.05 ±0.13 | 0.19 |
| 18:0 | 8.07 ± 0.39 | 9.08 ± 0.50 | 9.11 ± 0.04 | 8.42 ±0.44 | 0.23 |
| 20:0 | 0.80 ± 0.27 | 0.54 ± 0.14 | 0.35 ± 0.13 | 0.42 ± 0.09 | 0.31 |
| ∑SFA | 16.59 ± 0.49 | 15.56 ± 0.58 | 16.96 ± 0.54 | 16.34 ±0.79 | 0.42 |
| 16:1 | 2.50 ± 0.04 | 1.65 ± 0.02 | 2.11 ± 0.21 | 2.37 ±0.35 | 0.06 |
| 18:1n-7 | 3.24 ± 0.21 a | 2.24 ± 0.06 b | 2.20 ± 0.05 b | 2.09 ± 0.04 b | 0.01 |
| 18:1n-9 | 11.79 ± 1.05 b | 17.99 ± 0.97 ab | 22.35 ± 2.96 a | 22.77 ±2.81 a | 0.01 |
| ∑MUFA | 25.61 ± 3.45 | 30.97 ± 1.41 | 35.78 ± 2.84 | 35.66 ±2.75 | 0.35 |
| 18:2n-6 | 5.76 ± 0.01 b | 8.42 ± 0.10 a | 8.87 ± 0.10 a | 8.74 ±0.61 a | 0.01 |
| 18:3n-3 | 0.78 ± 0.18 | 0.74 ± 0.20 | 0.48 ± 0.07 | 0.58 ±0.08 | 0.49 |
| 20:2n-6 | 1.35 ± 0.25 | 0.99 ± 0.33 | 0.56 ± 0.09 | 0.55 ±0.03 | 0.07 |
| 20:4n-6 | 4.12 ± 0.21 a | 2.46 ± 0.49 b | 1.23 ± 0.24 bc | 0.98 ±0.02 c | 0.01 |
| 20:5n-3 | 8.78 ± 0.72 ab | 6.12 ± 0.13 a | 8.78 ± 0.46 ab | 9.72 ±1.05 b | 0.02 |
| 22:5n-3 | 0.78 ± 0.17 | 0.56 ± 0.13 | 0.28 ± 0.06 | 0.41 ±0.03 | 0.06 |
| 22:6n-3 | 23.25 ± 0.25 a | 20.22 ± 0.93 b | 17.92 ± 0.95 bc | 14.55 ±1.58 c | 0.01 |
| 24:1n-9 | 2.97 ± 0.82 a | 1.42 ± 0.06 ab | 0.87 ± 0.16 b | 1.19 ±0.18 ab | 0.03 |
| ∑n-6 PUFA | 11.24 ± 0.45 | 11.88 ± 0.77 | 10.66 ± 0.23 | 10.28 ±0.65 | 0.27 |
| ∑n-3 PUFA | 33.59 ± 1.32 a | 27.65 ± 0.51 ab | 27.48 ± 1.57 ab | 25.27 ±2.56 b | 0.02 |
| ∑PUFA | 44.83± 1.77 a | 39.53 ± 0.29 ab | 38.15 ± 1.80 ab | 35.55 ±2.14 b | 0.01 |
| Others | 9.20 ±1.06 | 11.95 ± 1.58 | 7.85 ± 1.28 | 10.81 ±3.10 | 0.52 |
Publisher’s Note: MDPI stays neutral with regard to jurisdictional claims in published maps and institutional affiliations. |
© 2022 by the authors. Licensee MDPI, Basel, Switzerland. This article is an open access article distributed under the terms and conditions of the Creative Commons Attribution (CC BY) license (https://creativecommons.org/licenses/by/4.0/).
Share and Cite
Araújo, B.C.; Skrzynska, A.K.; Marques, V.H.; Tinajero, A.; Del Rio-Zaragoza, O.B.; Viana, M.T.; Mata-Sotres, J.A. Dietary Arachidonic Acid (20:4n-6) Levels and Its Effect on Growth Performance, Fatty Acid Profile, Gene Expression for Lipid Metabolism, and Health Status of Juvenile California Yellowtail (Seriola dorsalis). Fishes 2022, 7, 185. https://doi.org/10.3390/fishes7040185
Araújo BC, Skrzynska AK, Marques VH, Tinajero A, Del Rio-Zaragoza OB, Viana MT, Mata-Sotres JA. Dietary Arachidonic Acid (20:4n-6) Levels and Its Effect on Growth Performance, Fatty Acid Profile, Gene Expression for Lipid Metabolism, and Health Status of Juvenile California Yellowtail (Seriola dorsalis). Fishes. 2022; 7(4):185. https://doi.org/10.3390/fishes7040185
Chicago/Turabian StyleAraújo, Bruno Cavalheiro, Arleta Krystyna Skrzynska, Victor Hugo Marques, Aurora Tinajero, Oscar Basílio Del Rio-Zaragoza, Maria Teresa Viana, and José Antonio Mata-Sotres. 2022. "Dietary Arachidonic Acid (20:4n-6) Levels and Its Effect on Growth Performance, Fatty Acid Profile, Gene Expression for Lipid Metabolism, and Health Status of Juvenile California Yellowtail (Seriola dorsalis)" Fishes 7, no. 4: 185. https://doi.org/10.3390/fishes7040185
APA StyleAraújo, B. C., Skrzynska, A. K., Marques, V. H., Tinajero, A., Del Rio-Zaragoza, O. B., Viana, M. T., & Mata-Sotres, J. A. (2022). Dietary Arachidonic Acid (20:4n-6) Levels and Its Effect on Growth Performance, Fatty Acid Profile, Gene Expression for Lipid Metabolism, and Health Status of Juvenile California Yellowtail (Seriola dorsalis). Fishes, 7(4), 185. https://doi.org/10.3390/fishes7040185

