Growth Performance, Feed Utilization, Gut Integrity, and Economic Revenue of Grey Mullet, Mugil cephalus, Fed an Increasing Level of Dried Zooplankton Biomass Meal as Fishmeal Substitutions
Abstract
1. Introduction
2. Materials and Methods
2.1. Fish and Feeding Management
2.2. Preparation of Diets and Zooplankton Biomass Meal (ZBM)
2.3. Growth Performance and Survival Determinations
2.4. Proximate Chemical Analysis
2.5. Histological Examination of the Liver and Midgut
2.6. Economic Evaluation
2.7. Statistical Analysis
3. Results
3.1. Effects of ZBM on Growth Performance and Survival of Grey Mullet
3.2. Effects of ZBM on Feed Utilization of Grey Mullet
3.3. Effects of ZBM on Whole-Body Composition of Grey Mullet
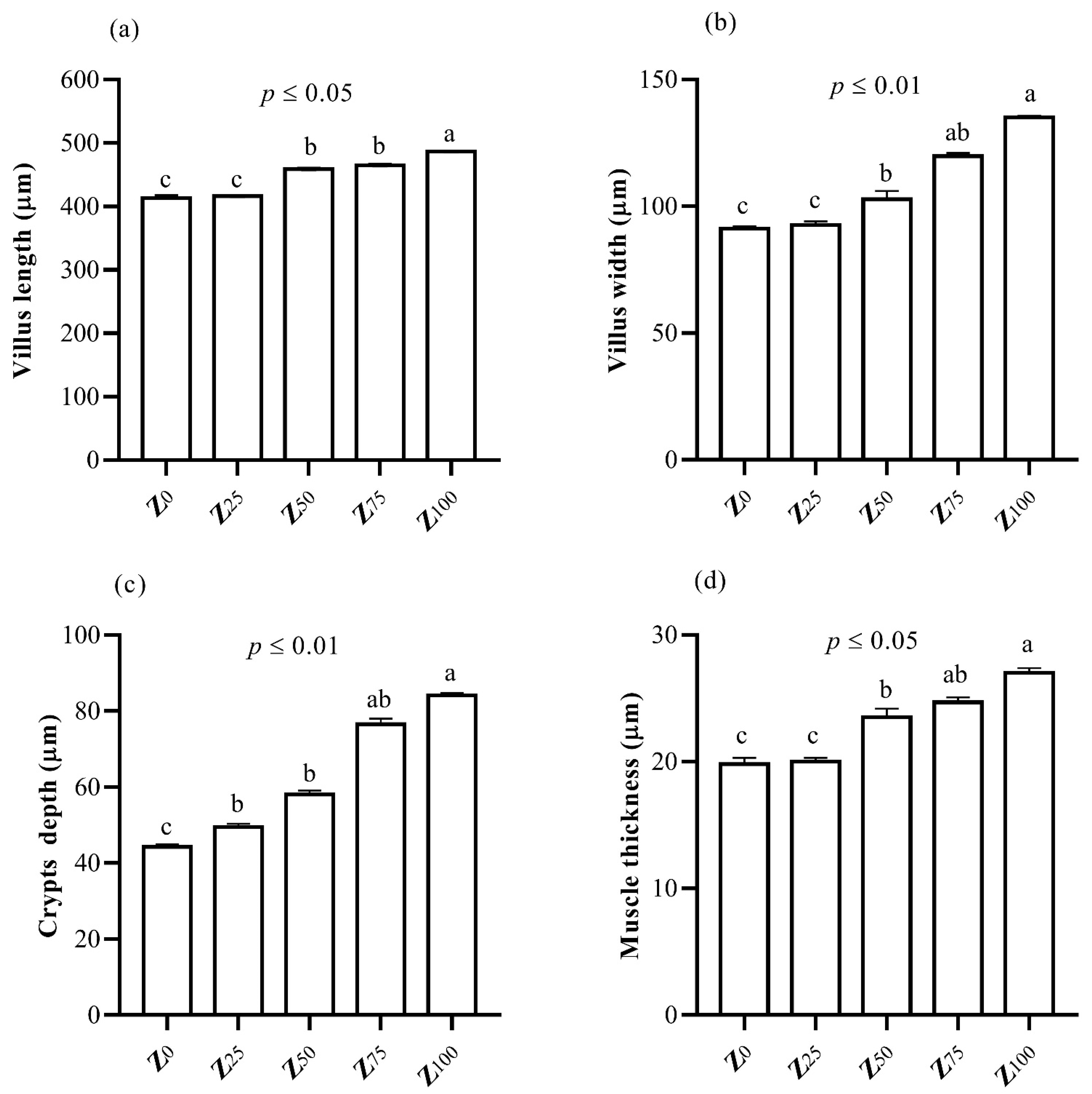
3.4. Effects of ZBM on Intestinal Histology and Histomorphometric Indices of Grey Mullet
3.5. Effects of ZBM on Hepatic Histology of Grey Mullet
3.6. Effects of ZBM on Economic Evaluation of Grey Mullet
4. Discussion
5. Conclusions
Author Contributions
Funding
Institutional Review Board Statement
Informed Consent Statement
Data Availability Statement
Acknowledgments
Conflicts of Interest
References
- Saleh, M. Cultured Aquatic Species Information Programme: Mugil Cephalus; FAO Fisheries Aquaculture Department: Rome, Italy, 2006. [Google Scholar]
- Whitfield, A.; Panfili, J.; Durand, J.-D. A global review of the cosmopolitan flathead mullet Mugil cephalus Linnaeus 1758 (Teleostei: Mugilidae), with emphasis on the biology, genetics, ecology and fisheries aspects of this apparent species complex. Rev. Fish Biol. Fish. 2012, 22, 641–681. [Google Scholar] [CrossRef]
- El-Hawarry, W.N. Effect of Nursery Age (Stunting) and Density on Polyculture Performance of Mullet Species; Mugil Capito and Mugil Cephalus. Alex. J. Vet. Sci. 2018, 57, 87–94. [Google Scholar]
- Crosetti, D. Culture of Grey Mullets: Current State of Grey Mullet Fisheries and Culture; CRC Press: Boca Raton, FL, USA, 2016; Volume 23, pp. 398–450. [Google Scholar]
- Abou-Gabal, A.A.; Abbas, E.M.; Ali, H.M.M.; El-Baramawi, N.; Khaled, A.A.; El Deeb, S.I. Molecular Identification of Grey Mullet species in the Mediterranean Sea of Egypt. Egypt. J. Aquat. Biol. Fish. 2018, 22, 125–139. [Google Scholar] [CrossRef]
- Biswas, G.; De, D.; Thirunavukkarasu, A.; Natarajan, M.; Sundaray, J.; Kailasam, M.; Kumar, P.; Ghoshal, T.; Ponniah, A.; Sarkar, A. Effects of stocking density, feeding, fertilization and combined fertilization-feeding on the performances of striped grey mullet (Mugil cephalus L.) fingerlings in brackishwater pond rearing systems. Aquaculture 2012, 338, 284–292. [Google Scholar] [CrossRef]
- El-Dahhar, A.; Salama, M.; Moustafa, Y.; Elmorshedy, E. Effect of using equal mixture of seaweeds and marine algae in striped mullet (Mugil cephalus) larval diets on growth performance and feed utilization. Arab. Aquacult. Soc. J. 2014, 9, 145–158. [Google Scholar]
- Parrino, V.; Cappello, T.; Costa, G.; Cannavà, C.; Sanfilippo, M.; Fazio, F.; Fasulo, S. Comparative study of haematology of two teleost fish (Mugil cephalus and Carassius auratus) from different environments and feeding habits. Eur. Zool. J. 2018, 85, 193–199. [Google Scholar] [CrossRef]
- Wassef, E.; El Masry, M.; Mikhail, F. Growth enhancement and muscle structure of striped mullet, Mugil cephalus L., fingerlings by feeding algal meal-based diets. Aquacult. Res. 2001, 32, 315–322. [Google Scholar] [CrossRef]
- Ghoshal, T.; Biswas, G.; Mukherjee, S.; Kumar, S.; Anand, P.; Raja, R.; Vijayan, K. Evaluation of Growth Performance in Mugil cephalus Juveniles Fed Diets Incorporated with Fermented Plant Feedstuffs Replacing Fishmeal or Diets Supplemented with Fish Gut Bacteria. Int. J. Food Process. Technol. 2018, 9, 728. [Google Scholar]
- Gisbert, E.; Mozanzadeh, M.T.; Kotzamanis, Y.; Estévez, A. Weaning wild flathead grey mullet (Mugil cephalus) fry with diets with different levels of fish meal substitution. Aquaculture 2016, 462, 92–100. [Google Scholar] [CrossRef]
- Jana, S.N.; Sudesh; Garg, S.K.; Sabhlok, V.P.; Bhatnagar, A. Nutritive evaluation of lysine-and methionine-supplemented raw vs heat-processed soybean to replace fishmeal as a dietary protein source for Grey Mullet, Mugil cephalus, and Milkfish, Chanos chanos. J. Appl. Aquac. 2012, 24, 69–80. [Google Scholar] [CrossRef]
- Kokou, F.; Sarropoulou, E.; Cotou, E.; Kentouri, M.; Alexis, M.; Rigos, G. Effects of graded dietary levels of soy protein concentrate supplemented with methionine and phosphate on the immune and antioxidant responses of gilthead sea bream (Sparus aurata L.). Fish Shellfish Immunol. 2017, 64, 111–121. [Google Scholar] [CrossRef]
- Kumar, V.; Lee, S.; Cleveland, B.M.; Romano, N.; Lalgudi, R.S.; Benito, M.R.; McGraw, B.; Hardy, R.W. Comparative evaluation of processed soybean meal (Enzo Meal TM) vs. regular soybean meal as a fishmeal replacement in diets of rainbow trout (Oncorhynchus mykiss): Effects on growth performance and growth-related genes. Aquaculture 2020, 516, 734652. [Google Scholar] [CrossRef]
- Li, S.; Dai, M.; Qiu, H.; Chen, N. Effects of fishmeal replacement with composite mixture of shrimp hydrolysate and plant proteins on growth performance, feed utilization, and target of rapamycin pathway in largemouth bass, Micropterus salmoides. Aquaculture 2021, 533, 736185. [Google Scholar] [CrossRef]
- Bell, J.G.; Waagbø, R. Safe and Nutritious Aquaculture Produce: Benefits and Risks of Alternative Sustainable Aquafeeds. In Aquaculture in The Ecosystem; Holmer, M., Black, K., Duarte, C.M., Marbà, N., Karakassis, I., Eds.; Springer: Dordrecht, The Netherlands, 2008; pp. 185–225. [Google Scholar] [CrossRef]
- Huntington, T.; Hasan, M.R. Fish as Feed Inputs for Aquaculture–Practices, Sustainability and Implications: A Global Synthesis; FAO Fisheries & Aquaculture Technical Paper; FAO: Rome, Italy, 2009; pp. 1–61. [Google Scholar]
- Li, X.; Zheng, S.; Cheng, K.; Ma, X.; Wu, G. Use of alternative protein sources for fishmeal replacement in the diet of largemouth bass (Micropterus salmoides). Part II: Effects of supplementation with methionine or taurine on growth, feed utilization, and health. Amino Acids 2021, 53, 49–62. [Google Scholar] [CrossRef] [PubMed]
- Kader, M.A.; Koshio, S.; Ishikawa, M.; Yokoyama, S.; Bulbul, M. Supplemental effects of some crude ingredients in improving nutritive values of low fishmeal diets for red sea bream, Pagrus major. Aquaculture 2010, 308, 136–144. [Google Scholar] [CrossRef]
- Kadhar, A.; Kumar, A.; Ali, J.; John, A. Studies on the survival and growth of fry of Catla catla (Hamilton, 1922) using live feed. J. Mar. Biol. 2014, 2014, 1–7. [Google Scholar] [CrossRef]
- Rajkumar, M.; Santhanam, P.; Perumal, P. Laboratory culture of calanoid copepod, Acartia clausi Giesbrecht. Appl. Fish. Aquacult. 2004, 4, 5–8. [Google Scholar]
- Ashour, M.; Abo-Taleb, H.; Abou-Mahmoud, M.; El-Feky, M.M. Effect of the integration between plankton natural productivity and environmental assessment of irrigation water, El-Mahmoudia Canal, on aquaculture potential of Oreochromis niloticus. Turk. J. Fish. Aquat. Sci. 2018, 18, 1163–1175. [Google Scholar] [CrossRef]
- Abo-Taleb, H.; Ashour, M.; El-Shafei, A.; Alataway, A.; Maaty, M.M. Biodiversity of Calanoida Copepoda in Different Habitats of the North-Western Red Sea (Hurghada Shelf). Water 2020, 12, 656. [Google Scholar] [CrossRef]
- Evjemo, J.O.; Reitan, K.I.; Olsen, Y. Copepods as live food organisms in the larval rearing of halibut larvae (Hippoglossus hippoglossus L.) with special emphasis on the nutritional value. Aquacult. Int. 2003, 227, 191–210. [Google Scholar] [CrossRef]
- Fuentes, L.; Sánchez, F.J.; Lago, M.J.; Iglesias, J.; Pazos, G.; Linares, F. Growth and survival of Octopus vulgaris (Cuvier 1797) paralarvae fed on three Artemia-based diets complemented with frozen fish flakes, crushed zooplankton and marine microalgae. Sci. Mar. 2011, 75, 771–777. [Google Scholar] [CrossRef][Green Version]
- El-Gamal, M.M.; Othman, S.I.; Abdel-Rahim, M.M.; Mansour, A.T.; Alsaqufi, A.S.; El Atafy, M.M.; Mona, M.H.; Allam, A.A. Palaemon and artemia supplemented diet enhances sea bass, Dicentrarchus labrax, broodstock reproductive performance and egg quality. Aquacult. Rep. 2020, 16, 100290. [Google Scholar] [CrossRef]
- Magouz, F.I.; Essa, M.A.; El-Shafei, A.; Mansour, A.T.; Mahmoud, S.m.; Ashour, M. Effect of extended feeding with live copepods, Oithona nana, and Artemia franciscana on the growth performance, intestine histology, and economic viability of european seabass (Dicentrarchus labrax) postlarvae. Fresenius Environ. Bull. 2021, 30, 7106–7116. [Google Scholar]
- Conceição, L.E.C.; Yúfera, M.; Makridis, P.; Morais, S.; Dinis, M.T. Live feeds for early stages of fish rearing. Aquacult. Res. 2010, 41, 613–640. [Google Scholar] [CrossRef]
- Guerra-García, J.M.; Hachero-Cruzado, I.; González-Romero, P.; Jiménez-Prada, P.; Cassell, C.; Ros, M. Towards integrated multi-trophic aquaculture: Lessons from caprellids (Crustacea: Amphipoda). PLoS ONE 2016, 11, e0154776. [Google Scholar] [CrossRef]
- Abo-Taleb, H.; Zeina, A.; Ashour, M.; Mabrouk, M.M.; Sallam, E.A.; El-feky, M.M. Isolation and cultivation of the freshwater amphipod Gammarus pulex (Linnaeus, 1758), with an evaluation of its chemical and nutritional content. Egypt. J. Aquat. Biol. Fish. 2020, 24, 69–82. [Google Scholar] [CrossRef]
- Hassan, E.S.; Azab, M.A.; Abo-Taleb, A.H.; El-Feky, M.M. Effect of replacing fish meal in the fish diet by zooplankton meal on growth performance of Dicentrarchus labrax (Linnaeus, 1758). Egypt. J. Aquat. Biol. Fish. 2020, 24, 267–280. [Google Scholar] [CrossRef]
- Sharahi, A.R.; Falahatkar, B.; Efatpanah, I. Effect of fish meal replacement with Gammarus meal on growth and body composition of juvenile Siberian sturgeon, Acipenser baerii (Brandt, 1869). J. Aquat. Ecol. 2016, 6, 102–113. [Google Scholar]
- Abo-Taleb, H.A.; Ashour, M.; Elokaby, M.A.; Mabrouk, M.M.; El-feky, M.M.; Abdelzaher, O.F.; Gaber, A.; Alsanie, W.F.; Mansour, A.T. Effect of a New Feed Daphnia magna (Straus, 1820), as a Fish Meal Substitute on Growth, Feed Utilization, Histological Status, and Economic Revenue of Grey Mullet, Mugil cephalus (Linnaeus 1758). Sustainability 2021, 13, 7093. [Google Scholar] [CrossRef]
- Manickam, N.; Santhanam, P.; Bhavan, P.S.; Santhanam, P.; Begum, A.; Perumal, P. Techniques in the collection, preservation and morphological identification of freshwater zooplankton. In Basic and Applied Zooplankton Biology; Springer: Berlin/Heidelberg, Germany, 2019; pp. 139–195. [Google Scholar] [CrossRef]
- AOAC (Association of Official Analytical Chemists). Official Methods of Analysis; Association of Official Analytical Chemists International: Washington, DC, USA, 2005. [Google Scholar]
- Bancroft, J.D. Histochemical Techniques, 2nd ed.; Butterworth-Heinemann: London, UK, 2013. [Google Scholar]
- Hamidian, G.; Zirak, K.; Sheikhzadeh, N.; Khani Oushani, A.; Shabanzadeh, S.; Divband, B. Intestinal histology and stereology in rainbow trout (Oncorhynchus mykiss) administrated with nanochitosan/zeolite and chitosan/zeolite composites. Aquacult. Res. 2018, 49, 1803–1815. [Google Scholar] [CrossRef]
- Wei, Y.; Shen, H.; Xu, W.; Pan, Y.; Chen, J.; Zhang, W.; Mai, K. Replacement of dietary fishmeal by Antarctic krill meal on growth performance, intestinal morphology, body composition and organoleptic quality of large yellow croaker Larimichthys crocea. Aquaculture 2019, 512, 734281. [Google Scholar] [CrossRef]
- Hewitt, R.P.; Watkins, J.L.; Naganobu, M.; Tshernyshkov, P.; Brierley, A.S.; Demer, D.A.; Kasatkina, S.; Takao, Y.; Goss, C.; Malyshko, A. Setting a precautionary catch limit for Antarctic krill. Oceanography 2002, 15, 26–33. [Google Scholar] [CrossRef]
- Naylor, R.L.; Hardy, R.W.; Bureau, D.P.; Chiu, A.; Elliott, M.; Farrell, A.P.; Forster, I.; Gatlin, D.M.; Goldburg, R.J.; Hua, K. Feeding aquaculture in an era of finite resources. Proc. Natl. Acad. Sci. USA 2009, 106, 15103–15110. [Google Scholar] [CrossRef]
- Holm, J.C.; Torrissen, K.R. Growth depression and acclimatization of protease activity in Atlantic salmon first-feeding fry responding to a diet supplemented with zooplankton. Aquacult. Int. 1987, 65, 171–174. [Google Scholar] [CrossRef]
- Massimo Perrone, F.; Della Croce, N.; Dell’anno, A.J.C.; Ecology. Biochemical composition and trophic strategies of the amphipod Eurythenes gryllus at hadal depths (Atacama Trench, South Pacific). Chem. Ecol. 2003, 19, 441–449. [Google Scholar] [CrossRef]
- Opstad, I.; Suontama, J.; Langmyhr, E.; Olsen, R.E. Growth, survival, and development of Atlantic cod (Gadus morhua L.) weaned onto diets containing various sources of marine protein. Int. J. Mar. Sci. 2006, 63, 320–325. [Google Scholar] [CrossRef]
- Baeza-Rojano, E.; Hachero-Cruzado, I.; Guerra-García, J.M. Nutritional analysis of freshwater and marine amphipods from the Strait of Gibraltar and potential aquaculture applications. J. Sea Res. 2014, 85, 29–36. [Google Scholar] [CrossRef]
- Hongxia, Z.; Yang, W.; Xuan, W.; Xiangqian, Z.; Guang, Y.; Jianchao, Z.; Guoxia, Z.; Dongqing, B. Effects of daphnia magna meal replacing fish meal on growth, biochemical indexes of Pelteobagrus fulvidraco and water quality indexes. Feed Ind. 2019, 2, 212–221. [Google Scholar]
- Chiu, S.-T.; Shiu, Y.-L.; Wu, T.-M.; Lin, Y.-S.; Liu, C.-H. Improvement in non-specific immunity and disease resistance of barramundi, Lates calcarifer (Bloch), by diets containing Daphnia similis meal. Fish Shellfish Immunol. 2015, 44, 172–179. [Google Scholar] [CrossRef]
- Saravanan, R.; Vijayanand, P.; Rajagopal, S. Copepod nauplii-a suitable feed for the hatchlings of yellow tail damsel (Neopomocentrus nemurus). J. Adv. Appl. Sci. Res. 2010, 1, 197–204. [Google Scholar]
- Wilcox, J.A.; Tracy, P.L.; Marcus, N.H. Improving live feeds: Effect of a mixed diet of copepod nauplii (Acartia tonsa) and rotifers on the survival and growth of first-feeding larvae of the southern flounder, Paralichthys lethostigma. J. World Aquacult. Soc. 2006, 37, 113–120. [Google Scholar] [CrossRef]
- Karlsen, Ø.; van der Meeren, T.; Rønnestad, I.; Mangor-Jensen, A.; Galloway, T.F.; Kjørsvik, E.; Hamre, K. Copepods enhance nutritional status, growth and development in Atlantic cod (Gadus morhua L.) larvae—can we identify the underlying factors? PeerJ 2015, 3, e902. [Google Scholar] [CrossRef] [PubMed]
- Azimi, A.; Hosseini, S.; Sudagar, M.; Aslanparviz, H. Effect of replacement of Caspian Sea gammarus meal by partial kilka fish meal on growth performance, feed conversion ratio and survival of juveniles of rainbow trout (Oncorhynchus mykiss). Iran. Fish. Sci. J. 2011, 20, 63–74. [Google Scholar]
- Manickam, N.; Bhavan, P.S.; Santhanam, P. Evaluation of nutritional profiles of wild mixed zooplankton in Sulur and Ukkadam Lakes of Coimbatore, South India. Turk. J. Fish. Aquat. Sci. 2017, 17, 509–517. [Google Scholar] [CrossRef]
- Aman, S.; Altaff, K. Biochemical profile of Heliodiaptomus viduus, Sinodiaptomus (Rhinediaptomus) indicus, and Mesocyclops aspericornis and their dietary evaluation for postlarvae of Macrobrachium rosenbergii. Zool. Stud. 2004, 43, 267–275. [Google Scholar]
- Manickam, N.; Bhavan, P.S.; Santhanam, P.; Muralisankar, T. Influence of wild mixed zooplankton on growth and muscle biochemical composition of the freshwater prawn Macrobrachium rosenbergii post larvae. Aquaculture 2020, 522, 735110. [Google Scholar] [CrossRef]
- Das, S.K.; Tiwari, V.; Venkateshwarlu, G.; Reddy, A.; Parhi, J.; Sharma, P.; Chettri, J. Growth, survival and fatty acid composition of Macrobrachium rosenbergii (de Man, 1879) post larvae fed HUFA-enriched Moina micrura. Aquaculture 2007, 269, 464–475. [Google Scholar] [CrossRef]
- Jones, P.L.; De Silva, S.S.; Mitchell, B.D. The effect of dietary protein source on growth and carcass composition in juvenile Australian freshwater crayfish. Aquacult. Int. 1996, 4, 361–376. [Google Scholar] [CrossRef]
- Zhu, H.; Liu, H.; Yan, J.; Wang, R.; Liu, L. Effect of yeast polysaccharide on some hematologic parameter and gut morphology in channel catfish (Ictalurus punctatus). Fish Physiol. Biochem. 2012, 38, 1441–1447. [Google Scholar] [CrossRef]
- Sallam, A.E.; Almisherfi, H.M.; El-Feky, M.M.; Abdel-Ghany, H.M.; Salem, M.E.S. Feeding marbled spinefoot rabbitfish (Siganus rivulatus) juveniles with β-mannanase enzyme: An effective tool to enhance growth and immunity and induce low salinity tolerance. Aquacult. Nutr. 2020, 26, 1884–1894. [Google Scholar] [CrossRef]
- Abbas, E.M.; Ali, F.S.; Desouky, M.G.; Ashour, M.; El-Shafei, A.; Maaty, M.M.; Sharawy, Z.Z. Novel comprehensive molecular and ecological study introducing coastal mud shrimp (Solenocera crassicornis) recorded at the Gulf of suez, Egypt. J. Mar. Sci. Eng. 2021, 9, 9–22. [Google Scholar]
- Gao, Y.; Han, F.; Huang, X.; Rong, Y.; Yi, H.; Wang, Y. Changes in gut microbial populations, intestinal morphology, expression of tight junction proteins, and cytokine production between two pig breeds after challenge with Escherichia coli K88: A comparative study. J. Anim. Sci. 2013, 91, 5614–5625. [Google Scholar] [CrossRef] [PubMed]
- Reyes-Becerril, M.; Angulo, C.; Estrada, N.; Murillo, Y.; Ascencio-Valle, F. Dietary administration of microalgae alone or supplemented with Lactobacillus sakei affects immune response and intestinal morphology of Pacific red snapper (Lutjanus peru). Fish Shellfish Immunol. 2014, 40, 208–216. [Google Scholar] [CrossRef] [PubMed]
- Zhu, C.-Z.; Li, D.; Chen, W.-J.; Ban, S.-N.; Liu, T.; Wen, H.; Jiang, M. Effects of dietary host-associated Lactococcus lactis on growth performance, disease resistance, intestinal morphology and intestinal microbiota of mandarin fish (Siniperca chuatsi). Aquaculture 2021, 540, 736702. [Google Scholar] [CrossRef]
- Mona, M.H.; Rizk, E.-S.T.; El-feky, M.; Elawany, M.E. Effect of nutritional quality of rotifers and copepods on sea bream (Sparus aurata) fry fish productivity. Egypt. J. Exp. Biol. 2019, 15, 135–142. [Google Scholar] [CrossRef]
- Dimitroglou, A.; Merrifield, D.; Moate, R.; Davies, S.; Spring, P.; Sweetman, J.; Bradley, G. Dietary mannan oligosaccharide supplementation modulates intestinal microbial ecology and improves gut morphology of rainbow trout, Oncorhynchus mykiss (Walbaum). J. Anim. Sci. 2009, 87, 3226–3234. [Google Scholar] [CrossRef]
- El-Bakary, N.; El-Gammal, H.L. Comparative histological, histochemical and ultrastructural studies on the liver of flathead grey mullet (Mugil cephalus) and sea bream (Sparus aurata). Glob. Vet. 2010, 4, 548–553. [Google Scholar]
- Parker, H.M.; Cohn, J.S.; O’Connor, H.T.; Garg, M.L.; Caterson, I.D.; George, J.; Johnson, N.A. Effect of fish oil supplementation on hepatic and visceral fat in overweight men: A randomized controlled trial. Nutrients 2019, 11, 475. [Google Scholar] [CrossRef]
- Allam, B.W.; Khalil, H.S.; Mansour, A.T.; Srour, T.M.; Omar, E.A.; Nour, A.A.M. Impact of substitution of fish meal by high protein distillers dried grains on growth performance, plasma protein and economic benefit of striped catfish (Pangasianodon hypophthalmus). Aquaculture 2020, 517, 734–792. [Google Scholar] [CrossRef]
- Goda, A.A.S.; Srour, T.M.; Omar, E.; Mansour, A.T.; Baromh, M.Z.; Mohamed, S.A.; El-Haroun, E.; Davies, S.J. Appraisal of a high protein distiller’s dried grain (DDG) in diets for European sea bass, Dicentrarchus labrax, fingerlings on growth performance, haematological status and related gut histology. Aquacult. Nutr. 2019, 25, 808–816. [Google Scholar] [CrossRef]
- Moutinho, S.; Martínez-Llorens, S.; Tomás-Vidal, A.; Jover-Cerdá, M.; Oliva-Teles, A.; Peres, H. Meat and bone meal as partial replacement for fish meal in diets for gilthead seabream (Sparus aurata) juveniles: Growth, feed efficiency, amino acid utilization, and economic efficiency. Aquaculture 2017, 468, 271–277. [Google Scholar] [CrossRef]
- Ijaiya, A.; Eko, E. Effect of replacing dietary fish meal with silkworm (Anaphe infracta) caterpillar meal on growth, digestibility and economics of production of starter broiler chickens. Pak. J. Nutr. 2009, 8, 845–849. [Google Scholar] [CrossRef]
- Chia, S.Y.; Tanga, C.M.; Osuga, I.M.; Alaru, A.O.; Mwangi, D.M.; Githinji, M.; Subramanian, S.; Fiaboe, K.K.; Ekesi, S.; van Loon, J.J. Effect of dietary replacement of fishmeal by insect meal on growth performance, blood profiles and economics of growing pigs in Kenya. Animals 2019, 9, 705. [Google Scholar] [CrossRef] [PubMed]
- Amer, S.A.; Osman, A.; Al-Gabri, N.A.; Elsayed, S.A.; El-Rahman, A.; Ghada, I.; Elabbasy, M.T.; Ahmed, S.A.; Ibrahim, R.E. The effect of dietary replacement of fish meal with whey protein concentrate on the growth performance, fish health, and immune status of Nile Tilapia fingerlings, Oreochromis niloticus. Animals 2019, 9, 1003. [Google Scholar] [CrossRef] [PubMed]




| Items | Fishmeal | Zooplankton Meal | Soybean Meal | Corn Meal | Rice Polishing |
|---|---|---|---|---|---|
| Moisture | 8.12 | 7.00 | 9.79 | 11.56 | 11.0 |
| Crude protein | 60.11 | 49.23 | 45.14 | 9.67 | 14.21 |
| Ether extract | 12.5 | 12.1 | 1.1 | 3.6 | 6.4 |
| Crude fiber | 0.6 | 0.9 | 7.3 | 2.3 | 9.9 |
| Crude ash | 15.4 | 16.9 | 6.3 | 1.3 | 5.3 |
| NFE 1 | 11.5 | 21.1 | 40.3 | 82.8 | 64.4 |
| Items | Diets | ||||
|---|---|---|---|---|---|
| Z0 | Z25 | Z50 | Z75 | Z100 | |
| Ingredients (dry weight, %) | |||||
| Fishmeal | 20.0 | 15.0 | 10.0 | 5.0 | 0.0 |
| Zooplankton meal | 0.0 | 7.5 | 15.0 | 22.5 | 30.0 |
| Soybean meal | 42.0 | 41.0 | 40.0 | 39.0 | 38.0 |
| Corn meal | 17.0 | 16.0 | 15.0 | 14.5 | 14.0 |
| Rice polishing | 17.0 | 16.5 | 16.0 | 15.0 | 14.0 |
| Vitamin and mineral premix 1 | 1.0 | 1.0 | 1.0 | 1.0 | 1.0 |
| Fish Oil | 3.0 | 3.0 | 3.0 | 3.0 | 3.0 |
| Total | 100 | 100 | 100 | 100 | 100 |
| Chemical composition (% of dry matter) | |||||
| Dry matter (DM, %) | 90.54 | 90.63 | 90.72 | 90.80 | 90.92 |
| Crude protein | 36.23 | 35.91 | 35.60 | 35.26 | 34.93 |
| Crude lipid | 8.61 | 8.83 | 9.05 | 9.23 | 9.40 |
| Ash | 8.50 | 8.74 | 8.98 | 9.17 | 9.36 |
| Crude fibre | 4.89 | 4.81 | 4.72 | 4.59 | 4.45 |
| NFE | 41.77 | 41.71 | 41.65 | 41.75 | 41.86 |
| Gross energy (MJ kg−1 DM) 2 | 19.13 | 19.13 | 19.13 | 19.14 | 19.15 |
| Items | Diets | Pr > F 1 | ||||||
|---|---|---|---|---|---|---|---|---|
| Z0 | Z25 | Z50 | Z75 | Z100 | ANOVA | Linear Trend | Quadratic Trend | |
| Survival (%) | 73.3 ± 1.70 c | 78.3 ± 1.71 bc | 81.7 ± 1.70 ab | 83.3 ± 1.72 ab | 88.30 ± 1.73 a | 0.01 | 0.00 | 0.84 |
| Final body weight (g) | 1.63 ± 0.04 d | 1.74 ± 0.03 c | 1.86 ± 0.02 b | 1.93 ± 0.01 b | 2.12 ± 0.02 a | 0.00 | 0.00 | 0.36 |
| Weight gain (g) | 1.53 ± 0.04 d | 1.65 ± 0.03 c | 1.76 ± 0.02 b | 1.84 ± 0.02 b | 2.02 ± 0.03 a | 0.00 | 0.00 | 0.35 |
| Final body length (cm) | 4.06 ± 0.09 b | 4.23 ± 0.07 b | 4.23 ± 0.03 b | 4.63 ± 0.03 a | 4.66 ± 0.03 a | 0.00 | 0.00 | 0.54 |
| Length gain (cm) | 2.73 ± 0.12 b | 2.87 ± 0.09 b | 2.83 ± 0.03 b | 3.33 ± 0.03 a | 3.27 ± 0.03 a | 0.00 | 0.00 | 0.63 |
| Daily growth index (%) | 0.85 ± 0.02 d | 0.92 ± 0.01 c | 0.98 ± 0.01 b | 1.02 ± 0.01 b | 1.12 ± 0.01 a | 0.00 | 0.00 | 0.34 |
| Condition factor (g/cm3) | 2.44 ± 0.19 a | 2.31 ± 0.13 ab | 2.45 ± 0.08 a | 1.95 ± 0.05 b | 2.08 ± 0.05 ab | 0.04 | 0.01 | 0.79 |
| Items | Diets | Pr > F 1 | ||||||
|---|---|---|---|---|---|---|---|---|
| Z0 | Z25 | Z50 | Z75 | Z100 | ANOVA | Linear Trend | Quadratic Trend | |
| Feed efficiency ratio (%) | 59.71 ± 1.57 d | 62.05 ± 0.62 c | 64.84 ± 0.42 c | 71.06 ± 0.45 b | 81.27 ± 1.56 a | 0.00 | 0.00 | 0.01 |
| Feed conversion ratio | 1.68 ± 0.04 a | 1.61 ± 0.02 ab | 1.54 ± 0.01 b | 1.41 ± 0.01 c | 1.23 ± 0.02 d | 0.00 | 0.00 | 0.01 |
| Total protein intake (g) | 0.93 ± 0.00 ab | 0.96 ± 0.01 ab | 0.97 ± 0.02 a | 0.91 ± 0.01 b | 0.87 ± 0.01 c | 0.01 | 0.01 | 0.01 |
| Total lipid intake (g) | 0.22 ± 0.00 b | 0.23 ± 0.00 a | 0.25 ± 0.00 a | 0.24 ± 0.00 a | 0.23 ± 0.00 a | 0.001 | 0.07 | 0.00 |
| Protein efficiency ratio | 1.65 ± 0.04 d | 1.73 ± 0.02 c | 1.82 ± 0.01 c | 2.02 ± 0.01 b | 2.33 ± 0.04 a | 0.00 | 0.00 | 0.01 |
| Lipid efficiency ratio | 6.94 ± 0.18 c | 7.03 ± 0.07 c | 7.16 ± 0.05 bc | 7.70 ± 0.05 b | 8.65 ± 0.17 a | 0.00 | 0.00 | 0.01 |
| Items | Diets | Pr > F 1 | ||||||
|---|---|---|---|---|---|---|---|---|
| Z0 | Z25 | Z50 | Z75 | Z100 | ANOVA | Linear Trend | Quadratic Trend | |
| Moisture | 78.30 ± 0.31 | 78.17 ± 0.19 | 78.07 ± 0.33 | 77.97 ± 0.22 | 77.73 ± 0.24 | 0.63 | 0.14 | 0.84 |
| Crude protein | 64.67 ± 0.50 c | 65.50 ± 0.60 ab | 66.83 ± 0.70 b | 68.67 ± 0.30 a | 70.27 ± 0.60 a | 0.00 | 0.00 | 0.36 |
| Total lipid | 15.67 ± 0.09 a | 15.33 ± 0.50 a | 15.57 ± 0.30 a | 15.37 ± 0.70 a | 13.63 ± 0.40 b | 0.00 | 0.00 | 0.01 |
| Total ash | 19.67 ± 0.60 a | 19.17 ± 0.20 a | 17.60 ± 0.70 b | 15.97 ± 0.30 c | 16.10 ± 0.40 c | 0.00 | 0.00 | 0.51 |
| Items | Diets | ||||
|---|---|---|---|---|---|
| Z0 | Z25 | Z50 | Z75 | Z100 | |
| Feed cost (LE/kg) | 13.99 | 13.35 | 12.71 | 12.06 | 11.42 |
| FCR (kg feed/kg gain) | 1.68 | 1.61 | 1.54 | 1.41 | 1.23 |
| Feed cost per kg gain (LE) | 23.50 | 21.49 | 19.57 | 17.01 | 14.04 |
| Cost reduction per kg gain (LE) 1 | 0.00 | 2.01 | 3.93 | 6.49 | 9.46 |
| Cost reduction per kg gain (%) 2 | 0.00 | 8.55 | 16.72 | 27.62 | 40.26 |
Publisher’s Note: MDPI stays neutral with regard to jurisdictional claims in published maps and institutional affiliations. |
© 2021 by the authors. Licensee MDPI, Basel, Switzerland. This article is an open access article distributed under the terms and conditions of the Creative Commons Attribution (CC BY) license (https://creativecommons.org/licenses/by/4.0/).
Share and Cite
Abo-Taleb, H.A.; El-feky, M.M.M.; Azab, A.M.; Mabrouk, M.M.; Elokaby, M.A.; Ashour, M.; Mansour, A.T.; Abdelzaher, O.F.; Abualnaja, K.M.; Sallam, A.E. Growth Performance, Feed Utilization, Gut Integrity, and Economic Revenue of Grey Mullet, Mugil cephalus, Fed an Increasing Level of Dried Zooplankton Biomass Meal as Fishmeal Substitutions. Fishes 2021, 6, 38. https://doi.org/10.3390/fishes6030038
Abo-Taleb HA, El-feky MMM, Azab AM, Mabrouk MM, Elokaby MA, Ashour M, Mansour AT, Abdelzaher OF, Abualnaja KM, Sallam AE. Growth Performance, Feed Utilization, Gut Integrity, and Economic Revenue of Grey Mullet, Mugil cephalus, Fed an Increasing Level of Dried Zooplankton Biomass Meal as Fishmeal Substitutions. Fishes. 2021; 6(3):38. https://doi.org/10.3390/fishes6030038
Chicago/Turabian StyleAbo-Taleb, Hamdy A., Mohamed M. M. El-feky, Ahmad M. Azab, Mohamed M. Mabrouk, Mohamed A. Elokaby, Mohamed Ashour, Abdallah Tageldein Mansour, Othman F. Abdelzaher, Khamael M Abualnaja, and Ahmed E. Sallam. 2021. "Growth Performance, Feed Utilization, Gut Integrity, and Economic Revenue of Grey Mullet, Mugil cephalus, Fed an Increasing Level of Dried Zooplankton Biomass Meal as Fishmeal Substitutions" Fishes 6, no. 3: 38. https://doi.org/10.3390/fishes6030038
APA StyleAbo-Taleb, H. A., El-feky, M. M. M., Azab, A. M., Mabrouk, M. M., Elokaby, M. A., Ashour, M., Mansour, A. T., Abdelzaher, O. F., Abualnaja, K. M., & Sallam, A. E. (2021). Growth Performance, Feed Utilization, Gut Integrity, and Economic Revenue of Grey Mullet, Mugil cephalus, Fed an Increasing Level of Dried Zooplankton Biomass Meal as Fishmeal Substitutions. Fishes, 6(3), 38. https://doi.org/10.3390/fishes6030038

