Feeding Physiology of Crassostrea gasar (Dillwyn, 1817) on Isochrysis galbana and Biofloc Diets
Abstract
1. Introduction
2. Materials and Methods
2.1. Origin of Crassostrea gasar Oysters
2.2. Experimental Diets
2.2.1. Isochrysis galbana (ISO)
2.2.2. Biofloc (BFT)
2.3. Physicochemical Parameters
2.4. Biodeposit Collection
2.5. Quantification of Particulate Matter
2.6. Physiological Rates
2.7. Statistical Analysis
3. Results
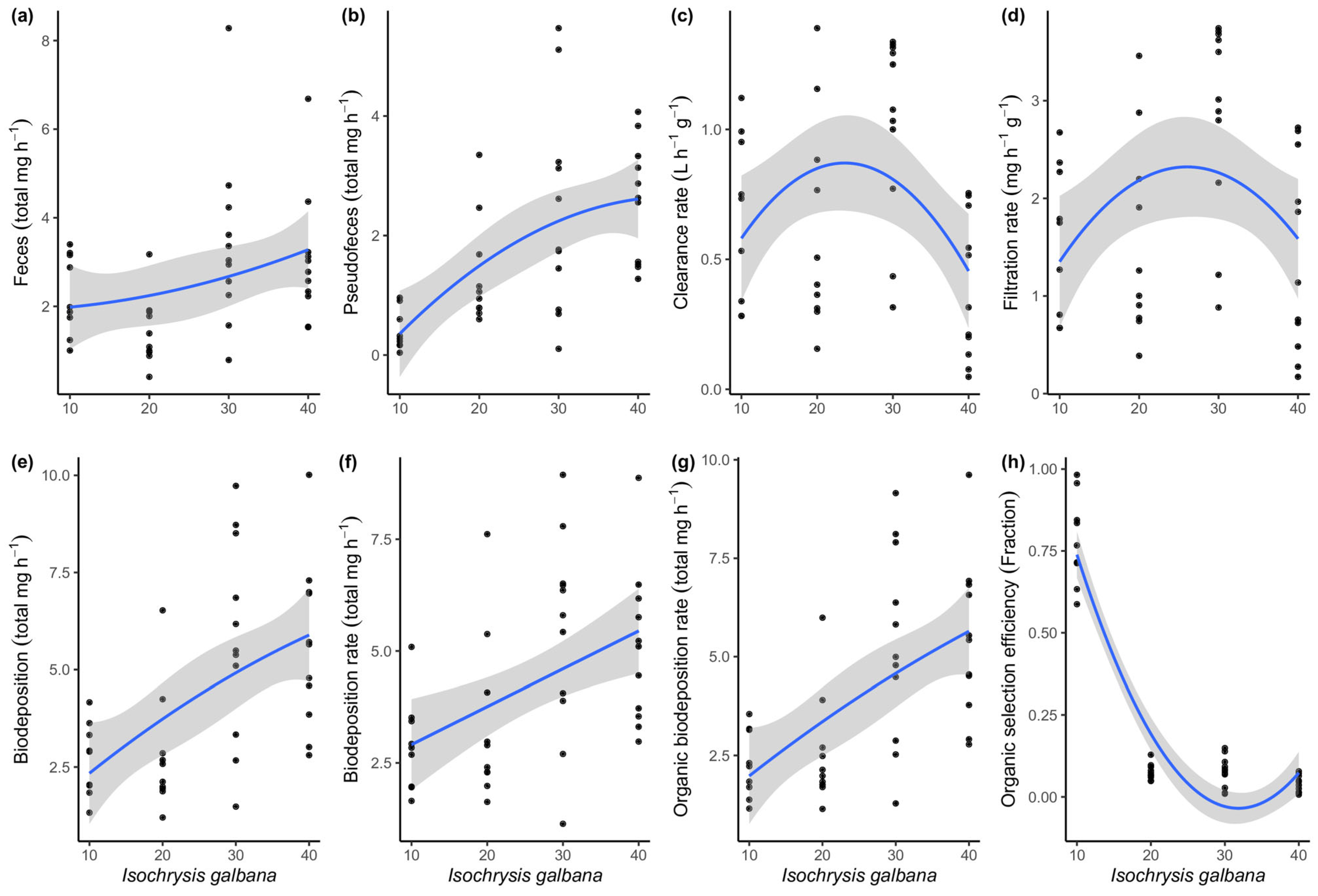
3.1. Isochrysis galbana Diet
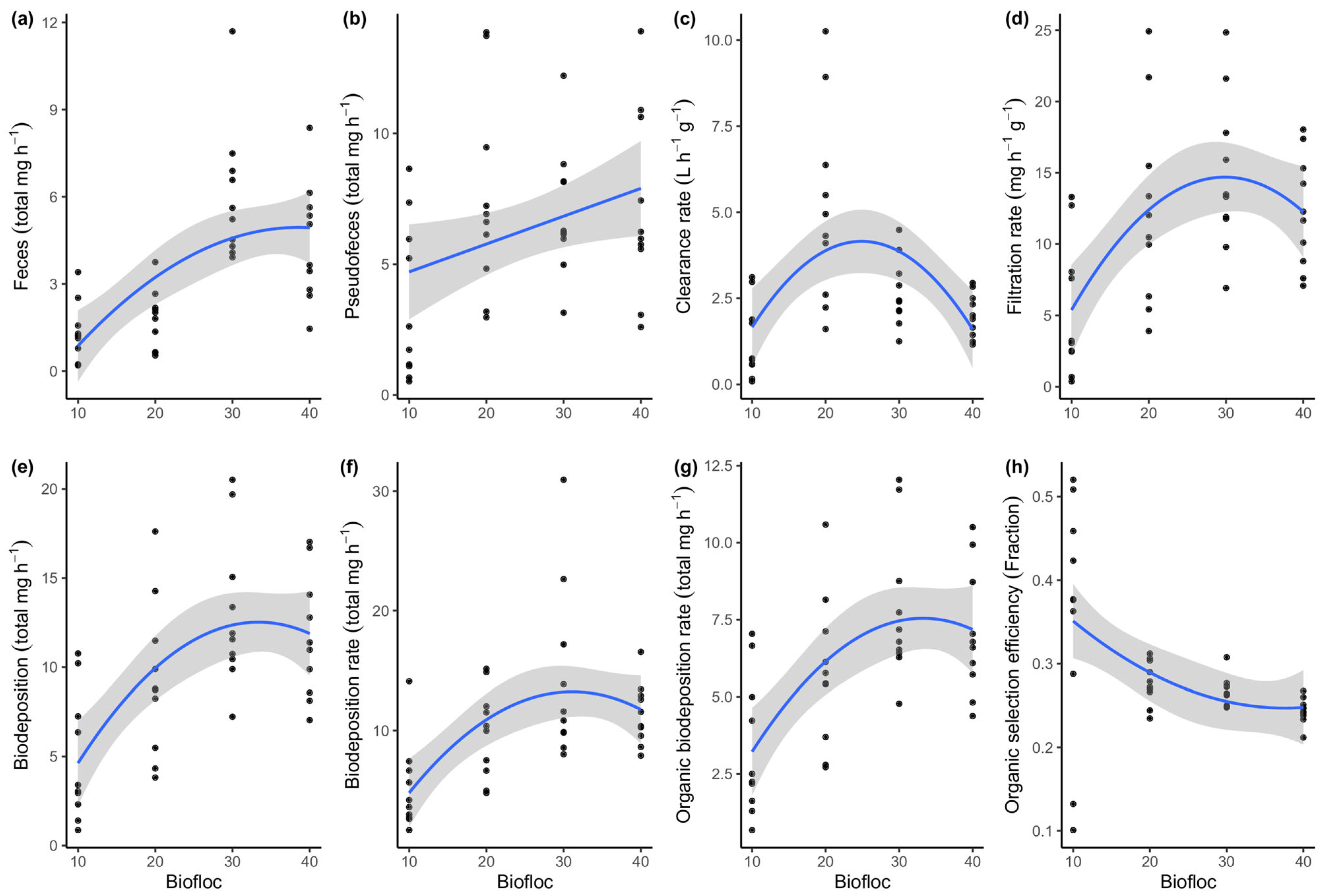
3.2. Biofloc Diet
4. Discussion
4.1. Microalgae Feeding Behavior
4.2. Biofloc Feeding Behavior
5. Conclusions
Author Contributions
Funding
Institutional Review Board Statement
Informed Consent Statement
Data Availability Statement
Acknowledgments
Conflicts of Interest
References
- Bayne, B.L. Aspects of Reproduction in Bivalve Molluscs. In Estuarine Processes; Wiley, M., Ed.; Academic Press: New York, NY, USA, 1976; pp. 432–448. [Google Scholar]
- Bacon, G.S.; MacDonald, B.A.; Ward, J.E. Physiological Responses of Infaunal (Mya arenaria) and Epifaunal (Placopecten magellanicus) Bivalves to Variations in the Concentration and Quality of Suspended Particles I. Feeding Activity and Selection. J. Exp. Mar. Biol. Ecol. 1998, 219, 105–125. [Google Scholar] [CrossRef]
- Iglesias, J.I.P.; Navarro, E.; Alvarez Jorna, P.; Armentina, I. Feeding, Particle Selection and Absorption in Cockles Cerastoderma edule (L.) Exposed to Variable Conditions of Food Concentration and Quality. J. Exp. Mar. Bio. Ecol. 1992, 162, 177–198. [Google Scholar] [CrossRef]
- Bayne, B.L. Biology of Oysters; Academic Press: London, UK, 2017. [Google Scholar]
- Foster-Smith, R.L. The Effect of Concentration of Suspension on the Filtration Rates and Pseudofaecal Production for Mytilus edulis L., Cerastoderma edule (L.) and Venerupis pullastra (Montagu). J. Exp. Mar. Biol. Ecol. 1975, 17, 1–22. [Google Scholar] [CrossRef]
- Loosanoff, V.L. Method for Supplying a Laboratory with Warm Sea Water in Winter. Science 1949, 110, 192–193. [Google Scholar] [CrossRef]
- Shumway, S.E.; Cucci, T.L.; Newell, R.C.; Yentsch, C.M. Particle Selection, Ingestion, and Absorption in Filter-Feeding Bivalves. J. Exp. Mar. Biol. Ecol. 1985, 91, 77–92. [Google Scholar] [CrossRef]
- Gosling, E. Ecology of Bivalves. In Marine Bivalve Molluscs; Wiley-Blackwell, Ed.; John Wiley & Sons, Ltd.: Chichester, UK, 2015; pp. 44–98. [Google Scholar]
- Grizzle, R.E.; Bricelj, V.M.; Shumway, S.E. Physiological Ecology of Mercenaria mercenaria. In Biology of the Hard Clam; Kraeuter, J.N., Castagna, M., Eds.; Elsevier Science: Newton, NJ, USA, 2001; pp. 305–382. [Google Scholar]
- Ward, J.E.; Shumway, S.E. Separating the Grain from the Chaff: Particle Selection in Suspension- and Deposit-Feeding Bivalves. J. Exp. Mar. Biol. Ecol. 2004, 300, 83–130. [Google Scholar] [CrossRef]
- Pales Espinosa, E.; Cerrato, R.M.; Wikfors, G.H.; Allam, B. Modeling Food Choice in the Two Suspension-Feeding Bivalves, Crassostrea virginica and Mytilus edulis. Mar. Biol. 2016, 163, 40. [Google Scholar] [CrossRef]
- Mazón-Suástegui, J.M.; Leyva-Miranda, G.A.; Arrieche-Galíndez, D.; Lodeiros-Seijo, C.; López-Carvallo, J.A. Influence of Hatchery Rich-Carbohydrate Diet on the Oyster Crassostrea corteziensis (Hertlein, 1951) Farming. Aquac. Res. 2019, 50, 3078–3081. [Google Scholar] [CrossRef]
- Rosa, M. Mechanisms of Particle Retention and Selection in Suspension-Feeding Bivalves. Ph.D. Thesis, University of Connecticut, Storrs, CT, USA, 2016. [Google Scholar]
- Rosa, M.; Ward, J.E.; Shumway, S.E. Selective Capture and Ingestion of Particles by Suspension-Feeding Bivalve Molluscs: A Review. J. Shellfish Res. 2018, 37, 727–746. [Google Scholar] [CrossRef]
- Cragg, S.M. Biology and Ecology of Scallop Larvae. In Scallops: Biology, Ecology, Aquaculture and Fisheries; Shumway, S.E., Parsons, G.J., Eds.; Elsevier Science: Amsterdam, The Netherlands, 2016; pp. 31–83. [Google Scholar]
- Velasco, L.A.; Navarro, J.M. Feeding Physiology of Two Bivalves under Laboratory and Field Conditions in Response to Variable Food Concentrations. Mar. Ecol. Prog. Ser. 2005, 291, 115–124. [Google Scholar] [CrossRef]
- Kang, H.Y.; Lee, Y.J.; Choi, K.S.; Park, H.J.; Yun, S.G.; Kang, C.K. Combined Effects of Temperature and Seston Concentration on the Physiological Energetics of the Manila Clam Ruditapes philippinarum. PLoS ONE 2016, 11, e0152427. [Google Scholar] [CrossRef]
- Pernet, F.; Tremblay, R.; Demers, E.; Roussy, M. Variation of Lipid Class and Fatty Acid Composition of Chaetoceros muelleri and Isochrysis sp. Grown in a Semicontinuous System. Aquaculture 2003, 221, 393–406. [Google Scholar] [CrossRef]
- Robert, R.; Chretiennot-Dinet, M.-J.; Kaas, R.; Martin-Jezequel, V.; Moal, J.; Le Coz, J.-R.; Nicolas, J.-L.; Bernard, E.; Connan, J.-P.; Le Dean, L.; et al. Amélioration des Productions Phytoplanctoniques en Écloserie de Mollusques: Caractérisation des Microalgues Fourrage; Ifremer: Britanny, France, 2004. [Google Scholar]
- Rivero-Rodríguez, S.; Beaumont, A.R.; Lora-Vilchis, M.C. The Effect of Microalgal Diets on Growth, Biochemical Composition, and Fatty Acid Profile of Crassostrea corteziensis (Hertlein) Juveniles. Aquaculture 2007, 263, 199–210. [Google Scholar] [CrossRef]
- Arana, L.V. Fundamentos de Aquicultura, 1st ed.; Universidade Federal de Santa Catarina: Florianópolis, Brazil, 2004. [Google Scholar]
- Gallager, S.M.; Mann, R. Growth and Survival of Larvae of Mercenaria mercenaria (L.) and Crassostrea virginica (Gmelin) Relative to Broodstock Conditioning and Lipid Content of Eggs. Aquaculture 1986, 56, 105–121. [Google Scholar] [CrossRef]
- Oostlander, P.C.; van Houcke, J.; Wijffels, R.H.; Barbosa, M.J. Microalgae Production Cost in Aquaculture Hatcheries. Aquaculture 2020, 525, 735310. [Google Scholar] [CrossRef]
- Pinak, B.; Iqbal, G.; Bambhaniya, I. Integrated Multi-Trophic Aquaculture System (IMTA). In Traditional & Recent Aquaculture Practices; Ranjan, D., Verma, P., Singh, M.B., Kanaujiya, S., Pathak, A., Eds.; AkiNik Publications: Delhi, India, 2023; pp. 109–125. [Google Scholar]
- Troell, M.; Halling, C.; Neori, A.; Chopin, T.; Buschmann, A.H.; Kautsky, N.; Yarish, C. Integrated Mariculture: Asking the Right Questions. Aquaculture 2003, 226, 69–90. [Google Scholar] [CrossRef]
- de Costa, L.C.O.; da Poersch, L.H.S.; Abreu, P.C. Biofloc Removal by the Oyster Crassostrea gasar as a Candidate Species to an Integrated Multi-Trophic Aquaculture (IMTA) System with the Marine Shrimp Litopenaeus vannamei. Aquaculture 2021, 540, 736731. [Google Scholar] [CrossRef]
- Lima, P.C.M.; Silva, A.E.M.; Silva, D.A.; Silva, S.M.B.C.; Brito, L.O.; Gálvez, A.O. Effect of Stocking Density of Crassostrea sp. in a Multitrophic Biofloc System with Litopenaeus vannamei in Nursery. Aquaculture 2021, 530, 735913. [Google Scholar] [CrossRef]
- Mazón-Suástegui, J.M.; Arcos-Ortega, G.F.; Contreras-Mendoza, C.N.; Medina-Sánchez, J.R.; Chávez-Villalba, J.; Lodeiros, C.; Cruz-Flores, R.; López-Carvallo, J.A. Enhanced Growth of the Pleasure Oyster Crassostrea corteziensis Cultured under Integrated Multi-Trophic Aquaculture (IMTA) Concept, Using Farm Effluents of Shrimp Penaeus vannamei. Aquac. Res. 2022, 53, 5214–5226. [Google Scholar] [CrossRef]
- Schveitzer, R.; Arantes, R.; Costódio, P.F.S.; do Espírito Santo, C.M.; Arana, L.V.; Seiffert, W.Q.; Andreatta, E.R. Effect of Different Biofloc Levels on Microbial Activity, Water Quality and Performance of Litopenaeus vannamei in a Tank System Operated with No Water Exchange. Aquac. Eng. 2013, 56, 59–70. [Google Scholar] [CrossRef]
- Sukardi, P.; Hana, H.; Prayogo, N.A.; Sulistyo, I.; Soedibya, P.H.T.; Harisam, T.; Winanto, T. A Lipid-Walled Microcapsule Diet as Co-Feed for Early Feeding the Osphronemus gourami (Lacepede) Larvae. Acta Sci. Anim. Sci. 2018, 40, e38335. [Google Scholar] [CrossRef][Green Version]
- Ray, A.J.; Lewis, B.L.; Browdy, C.L.; Leffler, J.W. Suspended Solids Removal to Improve Shrimp (Litopenaeus vannamei) Production and an Evaluation of a Plant-Based Feed in Minimal-Exchange, Superintensive Culture Systems. Aquaculture 2010, 299, 89–98. [Google Scholar] [CrossRef]
- Palmer, R.E.; Williams, L.G. Effect of Particle Concentration on Filtration Efficiency of the Bay Scallop Argopecten irradians and the Oyster Crassostrea virginica. Ophelia 1980, 19, 163–174. [Google Scholar] [CrossRef]
- Pan, K.; Lan, W.; Li, T.; Hong, M.; Peng, X.; Xu, Z.; Liu, W.; Jiang, H. Control of Phytoplankton by Oysters and the Consequent Impact on Nitrogen Cycling in a Subtropical Bay. Sci. Total Environ. 2021, 796, 149007. [Google Scholar] [CrossRef]
- Barillé, L.; Prou, J.; Héral, M.; Razet, D. Effects of High Natural Seston Concentrations on the Feeding, Selection, and Absorption of the Oyster Crassostrea gigas (Thunberg). J. Exp. Mar. Biol. Ecol. 1997, 212, 149–172. [Google Scholar] [CrossRef]
- Ferreira, J.P.R.; Legat, A.P.; Lazoski, C.; Freire, T.B.; de Gomes, C.H.A.M.; de Melo, C.R.M. A Historical and Integrative Taxonomic Account of Mangrove Oyster Species Native to the Atlantic American Coast: A Re-Evaluation of Brazilian Crassostrea Species. Zool. Anz. 2023, 305, 52–81. [Google Scholar] [CrossRef]
- Legat, J.F.A.; Pereira, A.M.L.; Legat, A.P.; dos Fogaça, F.H.S. Programa de Cultivo de Moluscos Bivalves da Embrapa Meio-Norte; Embrapa Meio-Norte: Teresina, Brazil, 2008. [Google Scholar]
- IBGE—Instituto Brasileiro de Geografia e Estatística Produção Da Aquicultura: Ostras, Vieiras e Mexilhões. Available online: https://sidra.ibge.gov.br/tabela/3940 (accessed on 12 March 2026).
- Gray, M.W.; Langdon, C. Particle Processing by Olympia Oysters Ostrea lurida and Pacific Oysters Crassostrea gigas. Estuaries Coasts 2019, 42, 779–791. [Google Scholar] [CrossRef]
- Velasco, L.A. Energetic Physiology of the Caribbean Scallops Argopecten nucleus and Nodipecten nodosus Fed with Different Microalgal Diets. Aquaculture 2007, 270, 299–311. [Google Scholar] [CrossRef]
- Khaw, Y.S.; Tan, H.T.; Sopawong, A.; Shaharuddin, N.A.; Omar, A.R.; Yusoff, F. A Recommendation for a Pre-Standardized Marine Microalgal Dry Weight Determination Protocol for Laboratory Scale Culture Using Ammonium Formate as a Washing Agent. Biology 2021, 10, 799. [Google Scholar] [CrossRef]
- Freire, T.B.; Gomes, C.H.A.M.; Graff, G.F.F.; Ferreira, J.P.R.; Serrano, M.S.; de Melo, C.M.R. The Effects of Bioflocs in the Diet of Pacific Oysters Crassostrea gigas. N. Am. J. Aquac. 2025, 87, 259–271. [Google Scholar] [CrossRef]
- Poli, M.A.; Legarda, E.C.; De Lorenzo, M.A.; Martins, M.A.; Vieira, F.N. Pacific White Shrimp and Nile Tilapia Integrated in a Biofloc System under Different Fish-Stocking Densities. Aquaculture 2019, 498, 83–89. [Google Scholar] [CrossRef]
- do Nascimento, V.S.; Lapa, K.R.; de Miranda Gomes, C.H.A.; Gray, M.; da Silva, G.; Garbossa, L.H.P.; Suplicy, F.M.; de Melo, C.M.R. Filtration and Biodeposition Rates of Crassostrea Oysters for Southern Brazilian Waters. Reg. Stud. Mar. Sci. 2022, 56, 102677. [Google Scholar] [CrossRef]
- ICES. Chemical Measurements in the Baltic Sea: Guidelines on Quality Assurance; ICES Techniques in Marine Environmental Sciences No. 35; International Council for the Exploration of the Sea: Copenhagen, Denmark, 2004. [Google Scholar]
- Hawkins, A.; Smith, R.; Bayne, B.; Héral, M. Novel Observations Underlying the Fast Growth of Suspension-Feeding Shellfish in Turbid Environments: Mytilus Edulis. Mar. Ecol. Prog. Ser. 1996, 131, 179–190. [Google Scholar] [CrossRef]
- Guisan, A.; Zimmermann, N.E. Predictive Habitat Distribution Models in Ecology. Ecol. Model. 2000, 135, 147–186. [Google Scholar] [CrossRef]
- Filippova, T.A.; Vasechkina, E.F. A Simulation Growth Model for the Cultured Oyster Ostrea edulis L. Ecol. Saf. Coast. Shelf Zones Sea 2023, 4, 87–100. [Google Scholar]
- Cerco, C.F. Calculation of Oyster Benefits with a Bioenergetics Model of the Virginia Oyster; Technical Report 14–13; US Army Corps of Engineers, Engineer Research and Development Center, Environmental Laboratory: Vicksburg, MS, USA, 2014; pp. i–vii, 1–73. [Google Scholar]
- Jørgensen, C.B. Biology of Suspension Feeding; Pergamon: New York, NY, USA, 1966. [Google Scholar]
- Alexander, J.A.; Stoecker, D.K.; Meritt, D.W.; Alexander, S.T.; Padeletti, A.; Johns, D.; Van Heukelem, L.; Glibert, P.M. Differential Production of Feces and Pseudofeces by the Oyster Crassostrea ariakensis When Exposed to Diets Containing Harmful Dinoflagellate and Raphidophyte Species. J. Shellfish Res. 2008, 27, 567–579. [Google Scholar] [CrossRef]
- Samain, J.F.; Dégremont, L.; Soletchnik, P.; Haure, J.; Bédier, E.; Ropert, M.; Moal, J.; Huvet, A.; Bacca, H.; Van Wormhoudt, A.; et al. Genetically Based Resistance to Summer Mortality in the Pacific Oyster (Crassostrea gigas) and Its Relationship with Physiological, Immunological Characteristics and Infection Processes. Aquaculture 2007, 268, 227–243. [Google Scholar] [CrossRef]
- Sytnik, N. Influence of Some Ecological Factors on the Filtration Intensity of the Oyster (Ostrea edulis L.). E3S Web Conf. 2020, 215, 04002. [Google Scholar] [CrossRef]
- Soletchnik, P.; Razet, D.; Geairon, P.; Faury, N.; Goulletquer, P. Ecophysiologie de La Maturation Sexuelle et de La Ponte de l’huitre Creuse Crassostrea gigas: Reponses Metaboliques (Respiration) et Alimentaires (Filtration, Absorption) En Fonction Des Differents Stades de Maturation. Aquat. Living Resour. 1997, 10, 177–185. [Google Scholar] [CrossRef]
- Dutertre, M.; Barillé, L.; Haure, J.; Cognie, B. Functional Responses Associated with Pallial Organ Variations in the Pacific Oyster Crassostrea gigas (Thunberg, 1793). J. Exp. Mar. Biol. Ecol. 2007, 352, 139–151. [Google Scholar] [CrossRef]
- Lefebvre, S.; Barille, L.; Clerc, M. Pacific Oyster Crassostrea gigas Feeding Responses to a Fish-Farm Effluent. Aquaculture 2000, 187, 185–198. [Google Scholar] [CrossRef]
- Riisgård, H. Efficiency of Particle Retention and Filtration Rate in 6 Species of Northeast American Bivalves. Mar. Ecol. Prog. Ser. 1988, 45, 217–223. [Google Scholar] [CrossRef]
- Loosanoff, V.L. Some Aspects of Behavior of Oysters at Different Temperatures. Biol. Bull. 1958, 114, 57–70. [Google Scholar] [CrossRef]
- Ren, J.; Ross, A.; Schiel, D. Functional Descriptions of Feeding and Energetics of the Pacific Oyster Crassostrea gigas in New Zealand. Mar. Ecol. Prog. Ser. 2000, 208, 119–130. [Google Scholar] [CrossRef]
- Suplicy, F.M.; Meneghetti, E.R.; Moltschaniwskyj, N.A.; Garbossa, L.H.P. Modeling the Filter-Feeding Behavior of the Pacific Oyster (Crassostrea gigas) in Response to Natural Variations in Seston Availability in Santa Catarina, Brazil. Aquac. Fish. 2025, 11, 729–739. [Google Scholar] [CrossRef]
- Wilson, J. Retention Efficiency and Pumping Rate of Ostrea edulis in Suspensions of Isochrysis galbana. Mar. Ecol. Prog. Ser. 1983, 12, 51–58. [Google Scholar] [CrossRef]
- Newell, C.R.; Shumway, S.E. Grazing of Natural Particulates b Bivalve Molluscs: A Spatial and Temporal Perspective. In Bivalve Filter Feeders; Dame, R.F., Ed.; Springer: Berlin, Germany, 1993; pp. 245–269. [Google Scholar]
- Riisgård, H.U.; Lassen, J.; Kittner, C. Valve-Gape Response Times in Mussels (Mytilus edulis)—Effects of Laboratory Preceding-Feeding Conditions and in Situ Tidally Induced Variation in Phytoplankton Biomass. J. Shellfish Res. 2006, 25, 901–911. [Google Scholar] [CrossRef]
- Nielsen, M.; Hansen, B.W.; Vismann, B. Feeding Traits of the European Flat Oyster, Ostrea edulis, and the Invasive Pacific Oyster, Crassostrea gigas. Mar. Biol. 2017, 164, 6. [Google Scholar] [CrossRef]
- Dupuy, C.; Vaquer, A.; Lam-Hoai, T.; Rougier, C.; Mazouni, N.; Lautier, J.; Collos, Y.; Le Gall, S. Feeding Rate of the Oyster Crassostrea gigas in a Natural Planktonic Community of the Mediterranean Thau Lagoon. Mar. Ecol. Prog. Ser. 2000, 205, 171–184. [Google Scholar] [CrossRef]
- Bougrier, S.; Hawkins, A.J.S.; Héral, M. Preingestive Selection of Different Microalgal Mixtures in Crassostrea gigas and Mytilus edulis, Analysed by Flow Cytometry. Aquaculture 1997, 150, 123–134. [Google Scholar] [CrossRef]
- Barr, J.M.; Munroe, D.; Rose, J.M.; Calvo, L.; Cheng, K.M.; Bayer, S.; Kreeger, D. Seasonal Feeding Behavior of Aquaculture Eastern Oysters (Crassostrea virginica) in the Mid-Atlantic. Estuaries Coasts 2024, 47, 789–804. [Google Scholar] [CrossRef]
- Pales-Espinosa, E.; Allam, B. High Spatial Resolution Mapping of the Mucosal Proteome of the Gills of Crassostrea virginica: Implication in Particle Processing. J. Exp. Biol. 2021, 224, jeb233361. [Google Scholar] [CrossRef]
- Newell, R.; Jordan, S. Preferential Ingestion of Organic Material by the American Oyster Crassostrea virginica. Mar. Ecol. Prog. Ser. 1983, 13, 47–53. [Google Scholar] [CrossRef]
- Galimany, E.; Lunt, J.; Freeman, C.; Reed, S.; Segura-García, I.; Paul, V. Feeding Behavior of Eastern Oysters Crassostrea virginica and Hard Clams Mercenaria mercenaria in Shallow Estuaries. Mar. Ecol. Prog. Ser. 2017, 567, 125–137. [Google Scholar] [CrossRef]
- Riisgård, H. On Measurement of Filtration Rate in Bivalves-the Stony Road to Reliable Data: Review and Interpretation. Mar. Ecol. Prog. Ser. 2001, 211, 275–291. [Google Scholar] [CrossRef]
- Hawkins, A.J.S.; Duarte, P.; Fang, J.G.; Pascoe, P.L.; Zhang, J.H.; Zhang, X.L.; Zhu, M.Y. A Functional Model of Responsive Suspension-Feeding and Growth in Bivalve Shellfish, Configured and Validated for the Scallop Chlamys farreri during Culture in China. J. Exp. Mar. Biol. Ecol. 2002, 281, 13–40. [Google Scholar] [CrossRef]
- Hamann, L.; Blanke, A. Suspension Feeders: Diversity, Principles of Particle Separation and Biomimetic Potential. J. R. Soc. Interface 2022, 19, 20210741. [Google Scholar] [CrossRef] [PubMed]
- Jung, A.S.; van der Veer, H.W.; van der Meer, M.T.J.; Philippart, C.J.M. Seasonal Variation in the Diet of Estuarine Bivalves. PLoS ONE 2019, 14, e0217003. [Google Scholar] [CrossRef]
- Arambalza, U.; Urrutia, M.B.; Navarro, E.; Ibarrola, I. Ingestion, Enzymatic Digestion and Absorption of Particles Derived from Different Vegetal Sources by the Cockle Cerastoderma edule. J. Sea Res. 2010, 64, 408–416. [Google Scholar] [CrossRef]
- Hawkins, A.J.S.; Pascoe, P.L.; Parry, H.; Brinsley, M.; Cacciatore, F.; Black, K.D.; Fang, J.G.; Jiao, H.; McGonigle, C.; Moore, H.; et al. Comparative Feeding on Chlorophyll-Rich versus Remaining Organic Matter in Bivalve Shellfish. J. Shellfish Res. 2013, 32, 883–897. [Google Scholar] [CrossRef]
- Navarro, E.; Méndez, S.; Urrutia, M.B.; Arambalza, U.; Ibarrola, I. Digestive Selection Underlies Differential Utilization of Phytoplankton and Sedimentary Organics by Infaunal Bivalves: Experiments with Cockles (Cerastoderma edule) Using Cross-Labelled Mixed Diets. Mar. Environ. Res. 2016, 120, 111–121. [Google Scholar] [CrossRef] [PubMed]
- Winter, J.E. A Review on the Knowledge of Suspension-Feeding in Lamellibranchiate Bivalves, with Special Reference to Artificial Aquaculture Systems. Aquaculture 1978, 13, 1–33. [Google Scholar] [CrossRef]
- de Costa, L.C.O.; Carvalho, A.; Holanda, M.; Santos, J.; Borges, L.; Guterres, B.; Nam Junior, J.; Fonseca, V.; Muller, L.; Romano, L.; et al. Biological Responses of Oyster Crassostrea gasar Exposed to Different Concentrations of Biofloc. Fishes 2023, 8, 586. [Google Scholar] [CrossRef]



| Parameter | Acronym | Formula |
|---|---|---|
| Clearance rate (L h−1 g−1) | CR | (mg inorganic matter egested (feces and pseudofeces) h−1)/(mg inorganic matter concentration L−1 in seawater) |
| Filtration rate (total mg h−1 g−1) | FR | (mg inorganic matter egested (feces and pseudofeces) h−1) × [(mg total particle L−1 seawater)/(mg inorganic matter L−1 seawater)] |
| Feces (total mg h−1) | F | mg total feces egested h−1 |
| Pseudofeces (total mg h−1) | PF | mg total pseudofeces egested h−1 |
| Organic selection efficiency (fraction) | NOSE | [1 − (organic fraction in pseudofeces)/(organic fraction within total particulates available in seawater)] |
| Biodeposition (total mg h−1) | BD | (total feces egested h−1) + (mg total pseudofeces h−1) |
| Biodeposition rate (total mg h−1 g−1) | TBDR | (total feces egested h−1) + (mg total pseudofeces h−1)]/(g animal dry weight) |
| Organic biodeposition rate (total mg h−1) | OBDR | (mg total feces egested h−1 × organic fraction of feces) + (mg total pseudofeces h−1 × organic fraction of pseudofeces) |
| Diet | ISO10 § | ISO20 | ISO30 | ISO40 | BFT10 | BFT20 | BFT30 | BFT40 |
|---|---|---|---|---|---|---|---|---|
| PIM | 25% | 16% | 17.85% | 13.88% | 27.91% | 35.09% | 35.92% | 38.52% |
| POM | 75% | 84% | 82.15% | 86.11% | 72.09% | 64.91% | 64.08% | 61.48% |
| s.d. | 10.6% | 2.38% | 2.03% | 1.42% | 4.25% | 8.31% | 1.5% | 0.83% |
| no. | 3 | 2 | 3 | 3 | 3 | 2 | 3 | 3 |
| Parametric | Family | Canonical Link | AIC | D2 | |||
|---|---|---|---|---|---|---|---|
| Feces (F) | Gamma | Inverse | 0.57660 *** | −0.00677 * | - | 138.40 | 0.11 |
| Pseudofeces (PF) | Gamma | Log | −2.61100 *** | 0.20022 *** | −0.00278 ** | 107.84 | 0.44 |
| Clearance rate (CR) | Gamma | Identity | 0.01203 | 0.07749 * | −0.00169 ** | 38.874 | 0.16 |
| Filtration rate (FR) | Gaussian | Inverse | 1.91264 ** | −0.10823 ** | 0.00190 * | 123.39 | 0.18 |
| Biodeposits (BD) | Gamma | Inverse | 0.42741 *** | −0.00672 *** | - | 168.02 | 0.31 |
| Total biodeposition rate (TBDR) | Gamma | Identity | 2.06528 | 0.08454 | - | 170.07 | 0.21 |
| Organic biodeposition rate (OBDR) | Gamma | Inverse | 0.49423 *** | −0.00825 *** | - | 161.48 | 0.35 |
| Net organic selection efficiency (NOSE) | Gaussian | Identity | 1.60905 *** | −0.10327 *** | 0.00162 *** | −58.919 | 0.88 |
| Parameter | Family | Canonical Link | AIC | D2 | |||
|---|---|---|---|---|---|---|---|
| Feces (F) | Gamma | Inverse | 1.61052 *** | −0.08512 *** | 0.00125 *** | 153.26 | 0.48 |
| Pseudofeces (PF) | Gamma | Identity | 2.71371 * | 0.14608 ** | - | 214.56 | 0.11 |
| Clearance rate (CR) | Gamma | Identity | −3.55163 * | 0.60305 *** | −0.01167 *** | 146.70 | 0.31 |
| Filtration rate (FR) | Gaussian | Identity | −6.35473 | 1.41021 ** | −0.02362 ** | 251.35 | 0.32 |
| Biodeposits (BD) | Gaussian | Identity | 3.66075 * | 0.24178 *** | - | 231.1 | 0.30 |
| Total biodeposition rate (TBDR) | Gamma | Inverse | 0.33411 *** | −0.01689 *** | 0.00026 ** | 228.89 | 0.41 |
| Organic biodeposition rate (OBDR) | Gaussian | Identity | 2.70625 | 0.13183 | - | 187.07 | 0.29 |
| Net organic selection efficiency (NOSE) | Gamma | Inverse | 2.50422 *** | 0.04235 *** | - | −94.477 | 0.23 |
Disclaimer/Publisher’s Note: The statements, opinions and data contained in all publications are solely those of the individual author(s) and contributor(s) and not of MDPI and/or the editor(s). MDPI and/or the editor(s) disclaim responsibility for any injury to people or property resulting from any ideas, methods, instructions or products referred to in the content. |
© 2026 by the authors. Licensee MDPI, Basel, Switzerland. This article is an open access article distributed under the terms and conditions of the Creative Commons Attribution (CC BY) license.
Share and Cite
Freire, T.B.; Zacchi, F.L.; Ferreira, J.P.R.; Gomes, C.H.A.d.M.; de Melo, C.M.R. Feeding Physiology of Crassostrea gasar (Dillwyn, 1817) on Isochrysis galbana and Biofloc Diets. Fishes 2026, 11, 227. https://doi.org/10.3390/fishes11040227
Freire TB, Zacchi FL, Ferreira JPR, Gomes CHAdM, de Melo CMR. Feeding Physiology of Crassostrea gasar (Dillwyn, 1817) on Isochrysis galbana and Biofloc Diets. Fishes. 2026; 11(4):227. https://doi.org/10.3390/fishes11040227
Chicago/Turabian StyleFreire, Thaís Brito, Flávia Lucena Zacchi, João Paulo Ramos Ferreira, Carlos Henrique Araujo de Miranda Gomes, and Claudio Manoel Rodrigues de Melo. 2026. "Feeding Physiology of Crassostrea gasar (Dillwyn, 1817) on Isochrysis galbana and Biofloc Diets" Fishes 11, no. 4: 227. https://doi.org/10.3390/fishes11040227
APA StyleFreire, T. B., Zacchi, F. L., Ferreira, J. P. R., Gomes, C. H. A. d. M., & de Melo, C. M. R. (2026). Feeding Physiology of Crassostrea gasar (Dillwyn, 1817) on Isochrysis galbana and Biofloc Diets. Fishes, 11(4), 227. https://doi.org/10.3390/fishes11040227

