Transcriptional Responses to Chronic Thermal Stress in Chum Salmon (Oncorhynchus keta) Smolt
Abstract
1. Introduction
2. Materials and Methods
2.1. Fish Rearing and Seawater Acclimation
2.2. Experimental Design and Sampling Procedure
2.3. mRNA Quantification Procedure
2.4. Data Analysis
3. Results
3.1. Temperature-Dependent Induction of Cellular Stress Responses (HSP70, HSP90 & Ubiquitin)
3.2. Suppression of Glucocorticoid Signaling Under Chronic Thermal Stress (GR1, GR2 & HSD11β)
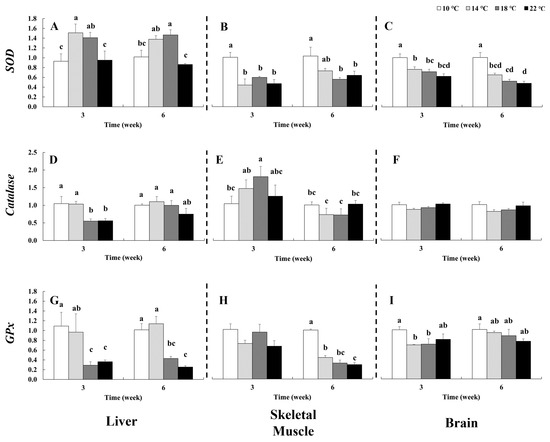
3.3. Altered Antioxidant Defense Capacity Under Elevated Temperatures (SOD, Catalase & GPx)
3.4. Temperature-Mediated Disruption of Anabolic–Catabolic Signaling Balance (AMPKα & mTOR)
4. Discussion
4.1. Heat Shock Protein Induction as a Marker of Chronic Thermal Stress Severity
4.2. Downregulation of Glucocorticoid Receptors Under Prolonged Thermal Exposure
4.3. Impairment of Antioxidant Defense Under Chronic Warming
4.4. Suppression of AMPKα and mTOR Signaling Pathway
4.5. Enhanced Ubiquitin-Mediated Protein Degradation Above the Upper Thermal Acclimation Limit
5. Conclusions
Author Contributions
Funding
Institutional Review Board Statement
Data Availability Statement
Acknowledgments
Conflicts of Interest
Abbreviations
| UILT | Upper incipient lethal temperature |
| AMPKα | AMP-activated protein kinase α |
| mTOR | mechanistic target of rapamycin |
| HSD11β | 11-β hydroxysteroid dehydrogenase |
| HPI | hypothalamic–pituitary–interrenal |
| SOD | Cu/Zn Superoxide dismutase |
| GPx | Glutathione peroxidase |
| ANOVA | Analysis of variance |
| DMR | Duncan’s multiple range |
| ROS | Reactive oxygen species |
| RBC | Red blood cell |
| HSF1 | Heat shock factor 1 |
Appendix A
| Parameter | Temperature (°C) | |||
|---|---|---|---|---|
| 10 | 14 | 18 | 22 | |
| Water temperature (°C) | 10.70 ± 0.09 | 14.23 ± 0.06 | 18.29 ± 0.03 | 21.77 ± 0.08 |
| Dissolved oxygen (mg/L) | 11.03 ± 0.10 | 9.81 ± 0.09 | 8.70 ± 0.06 | 8.24 ± 0.05 |
| pH | 8.03 ± 0.01 | 7.99 ± 0.01 | 8.08 ± 0.01 | 8.08 ± 0.01 |
| Conductivity (mS/cm) | 311.98 ± 30.04 | 389.05 ± 31.65 | 317.68 ± 33.60 | 318.03 ± 31.73 |
| Photoperiod (L:D) | 12:12 | 12:12 | 12:12 | 12:12 |
| Total-NH3/NH4+ (mg/L) * | Not detected | Not detected | Not detected | Not detected |
| NO2− (mg/L) ** | Not detected | Not detected | Not detected | Not detected |
| NO3− (mg/L) | 13.54 ± 1.04 | 19.79 ± 3.25 | 18.75 ± 3.26 | 19.79 ± 3.25 |
| Parameter | Weeks | Temperature (°C) | |||
|---|---|---|---|---|---|
| 10 | 14 | 18 | 22 | ||
| Body weight (g) | 0 | 6.75 ± 0.18 | 6.91 ± 0.30 | 6.99 ± 0.17 | 7.40 ± 0.11 |
| 3 | 12.74 ± 0.51 | 12.01 ± 0.32 | 12.24 ± 0.66 | 12.83 ± 0.17 | |
| 6 | 15.71 ± 0.26 b | 16.82 ± 0.91 ab | 17.79 ± 0.36 a | 16.94 ± 0.41 ab | |
| Fork length (cm) | 0 | 9.45 ± 0.11 | 9.41 ± 0.16 | 9.57 ± 0.08 | 9.64 ± 0.08 |
| 3 | 11.58 ± 0.16 c | 11.18 ± 0.06 d | 11.14 ± 0.21 d | 11.10 ± 0.10 d | |
| 6 | 12.27 ± 0.02 ab | 12.38 ± 0.19 a | 12.21 ± 0.10 ab | 11.83 ± 0.02 bc | |
| Specific growth rate (%bw/d) | 3 | 1.38 ± 0.14 bc | 1.21 ± 0.13 c | 1.21 ± 0.06 c | 1.19 ± 0.01 c |
| 6 | 1.10 ± 0.18 c | 1.86 ± 0.26 ab | 2.09 ± 0.20 a | 1.54 ± 0.20 bc | |
| Condition Factor | 3 | 0.81 ± 0.01 e | 0.85 ± 0.01 cde | 0.87 ± 0.00 bcd | 0.92 ± 0.01 b |
| 6 | 0.82 ± 0.01 de | 0.88 ± 0.02 bcd | 0.91 ± 0.04 bc | 1.01 ± 0.02 a | |
| Hepatosomatic index | 3 | 1.40 ± 0.04 cd | 1.50 ± 0.07 bcd | 1.57 ± 0.07 abc | 1.32 ± 0.08 d |
| 6 | 1.56 ± 0.06 abc | 1.76 ± 0.03 a | 1.79 ± 0.02 a | 1.64 ± 0.13 ab | |
References
- Augerot, X. Atlas of Pacific Salmon: The First Map-Based Status Assessment of Salmon in the North Pacific; University of California Press: Berkeley, CA, USA, 2005. [Google Scholar]
- Kim, B.-S.; Jung, H.K.; Park, J.W.; Kim, J.K.; Lee, C.I. Temporal distribution shifts of chum salmon (Oncorhynchus keta) with sea surface temperature changes at their southern limit in the North Pacific. PLoS ONE 2025, 20, e0317917. [Google Scholar] [CrossRef]
- IPCC. Summary for Policymakers. In IPCC Special Report on the Ocean and Cryosphere in a Changing Climate; Pörtner, H.-O., Roberts, D.C., Masson-Delmotte, V., Zhai, P., Tignor, M., Poloczanska, E., Mintenbeck, K., Alegría, A., Nicolai, M., Okem, A., et al., Eds.; Cambridge University Press: Cambridge, UK; New York, NY, USA, 2019; pp. 3–35. [Google Scholar] [CrossRef]
- Pak, G.; Lee, K.-J.; Lee, S.-W.; Jin, H.; Park, J.-H. Quantification of the extremely intensified East Korea Warm Current in the summer of 2021: Offshore and coastal variabilities. Front. Mar. Sci. 2023, 10, 1252302. [Google Scholar] [CrossRef]
- Brett, J.R. Temperature tolerance in young Pacific salmon, genus Oncorhynchus. J. Fish. Res. Board Can. 1952, 9, 265–323. [Google Scholar] [CrossRef]
- Sullivan, K.; Martin, D.J.; Cardwell, R.D.; Toll, J.E.; Duke, S. An Analysis of the Effects of Temperature on Salmonids of the Pacific Northwest with Implications for Selecting Temperature Criteria; Sustainable Ecosystems Institute: Portland, OR, USA, 2000. [Google Scholar]
- Mayer, N.; Hinch, S.G.; Eliason, E.J. Thermal tolerance in Pacific salmon: A systematic review of species, populations, life stages and methodologies. Fish Fish. 2024, 25, 283–302. [Google Scholar] [CrossRef]
- Brett, J.R. Some principles of the thermal requirements of fishes. Q. Rev. Biol. 1956, 31, 75–87. [Google Scholar] [CrossRef]
- Marine, K.R.; Cech, J.J., Jr. Effects of high water temperature on growth, smoltification, and predator avoidance in juvenile Sacramento River Chinook salmon. N. Am. J. Fish. Manag. 2004, 24, 198–210. [Google Scholar] [CrossRef]
- Lee, J.-W.; Balasubramanian, B. Impacts of temperature on the growth, feed utilization, stress, and hemato-immune responses of cherry salmon (Oncorhynchus masou). Animals 2023, 13, 3870. [Google Scholar] [CrossRef]
- Hampuwo, B.; Duenser, A.; Lahnsteiner, F. Effects of elevated temperature on gene expression, energy metabolism, and physiology in brown trout, Salmo trutta. Conserv. Physiol. 2025, 13, coaf025. [Google Scholar] [CrossRef]
- Viant, M.R.; Werner, I.; Rosenblum, E.S.; Gantner, A.S.; Tjeerdema, R.S.; Johnson, M.L. Correlation between head-shock protein induction and reduced metabolic condition in juvenile steelhead trout (Oncorhynchus mykiss) chronically exposed to elevated temperature. Fish Physiol. Biochem. 2003, 29, 159–171. [Google Scholar] [CrossRef]
- Palmisano, A.N.; Winton, J.R.; Dickhoff, W.W. Tissue-specific induction of HSP90 mRNA and plasma cortisol response in Chinook salmon following heat shock, seawater challenge, and handling challenge. Mar. Biotechnol. 2000, 2, 329–338. [Google Scholar] [CrossRef]
- Vargas-Chacoff, L.; Regish, A.M.; Weinstock, A.; McCormick, S.D. Effects of elevated temperature on osmoregulation and stress responses in Atlantic salmon Salmo salar smolts in fresh water and seawater. J. Fish Biol. 2018, 93, 550–559. [Google Scholar] [CrossRef]
- Korus, J.; Filgueira, R.; Grand, J. Influence of temperature on the behaviour and physiology of Atlantic salmon (Salmo salar) on a commercial farm. Aquaculture 2024, 589, 740978. [Google Scholar] [CrossRef]
- Lushchak, V.I. Environmentally induced oxidative stress in aquatic animals. Aquat. Toxicol. 2011, 101, 13–30. [Google Scholar] [CrossRef]
- Clotfelter, E.D.; Lapidus, S.J.H.; Brown, A.C. The effects of temperature and dissolved oxygenon antioxidant defences and oxidative damage in the fathead minnow Pimephales promelas. J. Fish Biol. 2013, 82, 1086–1092. [Google Scholar] [CrossRef]
- Olsvik, P.A.; Vikesa, V.; Lie, K.K.; Hevrøy, E.M. Transcriptional responses to temperature and low oxygen stress in Atlantic salmon studied with next-generation sequencing technology. BMC Genom. 2013, 14, 817. [Google Scholar] [CrossRef]
- Roychowdhury, P.; Aftabuddin, M.; Pati, M.K. Thermal stress–induced oxidative damages in the liver and associated death in fish, Labeo rohita. Fish Physiol. Biochem. 2021, 47, 21–32. [Google Scholar] [CrossRef] [PubMed]
- Chang, C.-H.; Mayer, M.; Rivera-Ingraham, G.; Blondeau-Bidet, E.; Wu, W.-Y.; Lorin-Nebel, C.; Lee, T.-H. Effects of temperature and salinity on antioxidant responses in livers of temperate (Dicentrarchus labrax) and tropical (Chanos Chanos) marine euryhaline fish. J. Therm. Biol. 2021, 99, 103016. [Google Scholar] [CrossRef]
- Marcoli, R.; Symonds, J.E.; Walker, S.P.; Battershill, C.N.; Bird, S. Characterising the Physiological Responses of Chinook Salmon (Oncorhynchus tshawytscha) Subjected to Heat and Oxygen Stress. Biology 2023, 12, 1342. [Google Scholar] [CrossRef] [PubMed]
- Zanuzzo, F.S.; Beemelmanns, A.; Hall, J.R.; Rise, M.L.; Gamperl, A.K. The innate immune response of Atlantic salmon (Salmo salar) at high temperature and moderate Hypoxia. Front. Immunol. 2020, 11, 1009. [Google Scholar] [CrossRef] [PubMed]
- Richter, A.; Kolmes, S.A. Maximum temperature limits for Chinook, Coho, and Chum Salmon, and steelhead trout in the Pacific Northwest. Rev. Fish. Sci. 2005, 13, 23–49. [Google Scholar] [CrossRef]
- Chen, Z.; Devlin, R.H.; Farrell, A.P. Upper thermal tolerance of wild-type, domesticated and growth hormone-transgenic coho salmon Oncorhynchus kisutch. J. Fish Biol. 2015, 87, 763–773. [Google Scholar] [CrossRef]
- Li, Y.; Li, S.; Wu, H. Ubiquitination-proteasome system (UPS) and autophagy two main protein degradation machineries in response to cell stress. Cells 2022, 11, 851. [Google Scholar] [CrossRef]
- Von Biela, V.R.; Regish, A.M.; Bowen, L.; Stanek, A.E.; Waters, S.; Carey, M.P.; Zimmerman, C.E.; Gerken, J.; Rinella, D.; McCormick, S.D. Differential heat shock protein responses in two species of Pacific salmon and their utility in identifying heat stress. Conserv. Physiol. 2023, 11, coad092. [Google Scholar] [CrossRef]
- Stitt, B.C.; Burness, G.; Burgomaster, K.A.; Currie, S.; McDermid, J.L.; Wilson, C.C. Intraspecific variation in thermal tolerance and acclimation capacity in brook trout (Salvelinus fontinalis): Physiological implications for climate change. Physiol. Biochem. Zool. 2014, 87, 15–29. [Google Scholar] [CrossRef] [PubMed]
- Moyle, P.B.; Cech, J.J., Jr. Fishes: An Introduction to Ichthyology, 5th ed.; Prentice-Hall: New Jersey, NY, USA, 2004. [Google Scholar]
- Alfonso, S.; Gesto, M.; Sadoul, B. Temperature increase and its effects on fish stress physiology in the context of global warming. J. Fish Biol. 2021, 98, 1496–1508. [Google Scholar] [CrossRef]
- Logan, C.A.; Somero, G.N. Effects of thermal acclimation on transcriptional responses to acute heat stress in the eurythermal fish Gillichthys mirabilis (Cooper). Am. J. Physiol. Regul. Integr. Comp. Physiol. 2011, 300, R1373–R1383. [Google Scholar] [CrossRef] [PubMed]
- Abe, T.K.; Kitagawa, T.; Makiguchi, Y.; Sato, K. Chum salmon migrating upriver adjust to environmental temperatures through metabolic compensation. J. Exp. Biol. 2019, 222, jeb186189. [Google Scholar] [CrossRef]
- Balasubramanian, B.; Kim, K.; Kim, J.; Hwang, D.; Yun, E.-Y.; Kim, Y.C.; Lee, J.-W. Chronic Thermal Effects on Growth, Osmoregulation, and Stress Physiology in Chum Salmon (Oncorhynchus keta) Smolt. Fishes 2025, 10, 616. [Google Scholar] [CrossRef]
- Irie, T. Ecological studies on the migration of juvenile chum salmon, Oncorhynchus keta, during early ocean life. Bull. Seikai Natl. Fish. Res. Inst. 1990, 68, 1–143. [Google Scholar]
- Kitada, S.; Kishino, H. Life-stage specific effects of ocean temperatures on the hatchery Chum salmon. bioRxiv 2023. [Google Scholar] [CrossRef]
- Kurita, Y.; Saito, T.; Aritaki, M. Growth and feeding habit of Chum salmon fry/juveniles in the Sanriku coastal waters, and their ecological interaction with herring larvae/juveniles. FRA Salmon Res. Rep. 2010, 4, 9–11. (In Japanese) [Google Scholar]
- Torao, M. Effect of water temperature on the feed intake, growth, and feeding efficiency of juvenile Oncorhynchus keta after seawater transfer. Aquacult. Sci. 2022, 70, 97–106. [Google Scholar]
- Lee, M.; Lee, B.; Kim, K.; Yoon, M.; Lee, J.-W. Differential effects of two seawater transfer regimes on the hypoosmoregulatory adaptation, hormonal response, feed efficiency, and growth performance of juvenile steelhead trout. Aquac. Rep. 2022, 22, 101004. [Google Scholar] [CrossRef]
- Kim, N.N.; Choi, Y.J.; Lim, S.; Jeong, M.; Jin, D.-H.; Choi, C.Y. Effect of salinity changes on olfactory memory-related genes and hormones in adult chum salmon Oncorhynchus keta. Comp. Biochem. Physiol. A 2015, 187, 40–47. [Google Scholar] [CrossRef]
- Blair, S.D.; Glover, C.N. Acute exposure of larval rainbow trout (Oncorhynchus mykiss) to elevated temperature limits HSP70b expression and influences future thermotolerance. Hydrobiologia 2019, 837, 177–187. [Google Scholar] [CrossRef]
- Akbarzadeh, A.; Ming, T.J.; Schulze, A.D.; Kaukinen, K.H.; Li, S.; Günther, O.P.; Houde, A.L.S.; Miller, K.M. Developing molecular classifiers to detect environmental stressors, smolt stages and morbidity in coho salmon, Oncorhynchus kisutch. Sci. Total Environ. 2024, 951, 175626. [Google Scholar] [CrossRef] [PubMed]
- Zhang, F.; Teng, Z.; Wang, L.; Wang, L.; Huang, T.; Zhang, X. Dietary Selenium Deficiency and Excess Accelerate Ubiquitin-Mediated Protein Degradation in the Muscle of Rainbow Trout (Oncorhynchus mykiss) via Akt/FoxO3a and NF-κB Signaling Pathways. Biol. Trace Elem. Res. 2021, 200, 1361–1375. [Google Scholar] [CrossRef]
- Wong, M.; Nobata, S. Enhanced osmoregulatory ability marks the smoltification period in developing chum salmon (Oncorhynchus keta). Comp. Biochem. Physiol. A 2019, 238, 110565. [Google Scholar] [CrossRef] [PubMed]
- Milla, S.; Jalabert, B.; Rime, H.; Prunet, P.; Bobe, J. Hydration of rainbow trout oocyte during meiotic maturation and in vitro regulation by 17,20β-dihydroxy-4-pregnen-3-one and cortisol. J. Exp. Biol. 2006, 209, 1147–1156. [Google Scholar] [CrossRef] [PubMed]
- Roberts, A.P.; Oris, J.T.; Stubblefield, W.A. Gene expression in caged juvenile Coho Salmon (Oncorhynchys kisutch) exposed to the waters of Prince William Sound, Alaska. Mar. Pollut. Bull. 2006, 52, 1527–1532. [Google Scholar] [CrossRef]
- Wischhusen, P.; Parailloux, M.; Geraert, P.; Briens, M.; Bueno, M.; Mounicou, S.; Bouyssière, B.; Prabhu, P.A.J.; Kaushik, S.J.; Fauconneau, B.; et al. Effect of dietary selenium in rainbow trout (Oncorhynchus mykiss) broodstock on antioxidant status, its parental transfer and oxidative status in the progeny. Aquaculture 2019, 507, 126–138. [Google Scholar] [CrossRef]
- Topal, A.; Özdemir, S.; Arslan, H.; Çomaklı, S. How does elevated water temperature affect fish brain? (A neurophysiological and experimental study: Assessment of brain derived neurotrophic factor, cFOS, apoptotic genes, heat shock genes, ER-stress genes and oxidative stress genes). Fish Shellfish. Immunol. 2021, 115, 198–204. [Google Scholar] [CrossRef] [PubMed]
- Craig, P.M.; Moon, T.W. Fasted zebrafish mimic genetic and physiological responses in mammals: A model for obesity and diabetes? Zebrafish 2011, 8, 109–117. [Google Scholar] [CrossRef] [PubMed]
- Yu, H.; Shan, L.; Li, L.; Zhang, Q.; Liu, D. Effect of dietary lipid levels on the anti-oxidant responses, initial immunity, and mTOR signaling in the liver of coho salmon (Oncorhynchus kisutch). Aquac. Rep. 2022, 23, 101090. [Google Scholar] [CrossRef]
- Lund, S.G.; Caissie, R.A.D.; Cunjak, M.M.; Vijayan, B.L. Tufts The effects of environmental heat stress on heat shock mRNA and protein expression in Miramich Atlantic salmon (Salmo salar) parr. Can. J. Fish. Aquat. Sci. 2002, 59, 1553–1562. [Google Scholar] [CrossRef]
- Maier, T.; Guell, L.M. Serrano, Correlation of mRNA and protein in complex biological samples. FEBS Lett. 2009, 583, 3966–3973. [Google Scholar] [CrossRef]
- Fink, A.L. Chaperone-mediated protein folding. Physiol. Rev. 1999, 79, 425–449. [Google Scholar] [CrossRef]
- Basu, N.; Todgham, A.; Ackerman, P.; Bibeau, M.; Nakano, K.; Schulte, P.; Iwama, G.K. Heat shock protein genes and their functional significance in fish. Gene 2002, 295, 173–183. [Google Scholar] [CrossRef]
- Pandey, A.; Rajesh, M.; Baral, P.; Sarma, D.; Tripathi, P.H.; Akhtar, M.S.; Ciji, A.; Dubey, M.K.; Pande, V.; Sharma, P.; et al. Concurrent changes in thermal tolerance thresholds and cellular heat stress response reveals novel molecular signatures and markers of high temperature acclimation in rainbow trout. J. Therm. Biol. 2021, 102, 103124. [Google Scholar] [CrossRef]
- Bowen, L.; von Biela, V.R.; McCormick, S.D.; Regish, A.M.; Waters, S.C.; Durbin-Johnson, B.; Britton, M.; Settles, M.L.; Donnelly, D.S.; Laske, S.M.; et al. Transcriptomic response to elevated water temperatures in adult migrating Yukon River Chinook salmon (Oncorhynchus tshawytscha). Conserv. Physiol. 2020, 8, coaa084. [Google Scholar] [CrossRef]
- Bury, N.R. The evolution, structure and function of the ray finned fish (Actinopterygii) glucocorticoid receptors. Gen. Comp. Endocrinol. 2017, 251, 4–11. [Google Scholar] [CrossRef][Green Version]
- Prunet, P.; Sturm, A.; Milla, S. Multiple corticosteroid receptors in fish: From old ideas to new concepts. Gen. Comp. Endocrinol. 2006, 147, 17–23. [Google Scholar] [CrossRef]
- Boone, A.N.; Vijayan, M.M. Glucocorticoid-mediated attenuation of the HSP70 response in trout hepatocytes involves the proteasome. Am. J. Physiol. Regul. Integr. Comp. Physiol. 2002, 283, R680–R687. [Google Scholar] [CrossRef] [PubMed]
- Grad, I.; Picard, D. The glucocorticoid responses are shaped by molecular chaperones. Mol. Cell. Endocrinol. 2007, 275, 2–12. [Google Scholar] [CrossRef] [PubMed]
- Madaro, A.; Olsen, R.E.; Kristiansen, T.S.; Ebbesson, L.O.E.; Nilsen, T.O.; Flik, G.; Gorissen, M. Stress in Atlantic salmon: Response to unpredictable chronic stress. J. Exp. Biol. 2015, 218, 2538–2550. [Google Scholar] [CrossRef] [PubMed]
- Opinion, A.G.R.; Vanhomwegen, M.; De Boeck, G.; Aerts, J. Long-term stress induced cortisol downregulation, growth reduction and cardiac remodeling in Atlantic salmon. J. Exp. Biol. 2023, 226, jeb246504. [Google Scholar] [CrossRef] [PubMed]
- Benítez-Dorta, V.; Caballero, M.J.; Betancor, M.B.; Manchado, M.; Tort, L.; Torrecillas, S.; Zamorano, M.J.; Izquierdo, M.; Montero, D. Effects of thermal stress on the expression of glucocorticoid receptor complex linked genes in Senegalese sole (Solea senegalensis): Acute and adaptive stress responses. Gen. Comp. Endocrinol. 2017, 252, 173–185. [Google Scholar] [CrossRef]
- Terova, G.; Gornati, R.; Rimoldi, S.; Bernardini, G.; Saroglia, M. Quantification of a glucocorticoid receptor in sea bass (Dicentrarchus labrax, L.) reared at high stocking density. Gene 2005, 357, 144–151. [Google Scholar] [CrossRef]
- Shrimpton, J.M.; Randall, D.J. Downregulation of corticosteroid receptors in gills of coho salmon due to stress and cortisol treatment. Am. J. Physiol. 1994, 267, 432–438. [Google Scholar] [CrossRef]
- Guderley, H.; St-Pierre, J. Going with the flow or life in the fast lane: Contrasting mitochondrial responses to thermal change. J. Exp. Biol. 2002, 205, 2237–2249. [Google Scholar] [CrossRef]
- Sappal, R.; Fast, M.; Purcell, S.; MacDonal, N.; Stevens, D.; Kibenge, F.; Siah, A.; Kamunde, C. Copper and hypoxia modulate transcriptional and mitochondrial functional-biochemical responses in warm acclimated rainbow trout (Oncorhynchus mykiss). Environ. Pollut. 2016, 211, 291–306. [Google Scholar] [CrossRef]
- Hardewig, I.; Van Dijk, P.L.M.; Leary, S.C.; Moyes, C.D. Temporal changes in enzyme activity and mRNA levels during thermal challenge in white sucker. J. Fish Biol. 2000, 56, 196–207. [Google Scholar] [CrossRef]
- Hardie, D.G. AMP-activated protein kinase: An energy sensor that regulates all aspects of cell function. Genes Dev. 2011, 25, 1895–1908. [Google Scholar] [CrossRef]
- Gilmour, K.M.; Craig, P.M.; Dhillon, R.S.; Lau, G.Y.; Richards, J.G. Regulation of energy metabolism during social interactions in rainbow trout: A role for AMP-activated protein kinase. Am. J. Physiol. Regul. Integr. Comp. Physiol. 2017, 313, R549–R559. [Google Scholar] [CrossRef]
- Dai, S.; Tang, Z.; Cao, J.; Zhou, W.; Li, H.; Sampson, S.; Dai, C. Suppression of the HSF1-mediated proteotoxic stress response by the metabolic stress sensor AMPK. EMBO J. 2015, 34, 275–293. [Google Scholar] [CrossRef] [PubMed]
- Saxton, R.A.; Sabatinim, D.M. TOR Signaling in Growth, Metabolism, and Disease. Cell 2017, 168, 960–976. [Google Scholar] [CrossRef] [PubMed]
- Heberle, A.M.; Prentzell, M.T.; van Eunen, K.; Bakker, B.M.; Grellscheid, S.N.; Thedieck, K. Molecular mechanisms of mTOR regulation by stress. Mol. Cell. Oncol. 2015, 2, e970489. [Google Scholar] [CrossRef]
- Chen, Y.; Guan, W.; Wang, M.L.; Lin, X.Y. PI3K-AKT/mTOR Signaling in Psychiatric Disorders: A Valuable Target to Stimulate or Suppress? Int. J. Neuropsychopharmacol. 2024, 27, pyae010. [Google Scholar] [CrossRef] [PubMed]
- Li, Q.-Q.; Zhang, L.; Wang, H.-Y.; Niu, S.-F.; Wu, R.-X.; Tang, B.-G.; Wang, Q.-H.; Liang, Z.-B.; Liang, Y.-S. Transcriptomic response of the liver tissue in Trachinotus ovatus to acute heat stress. Animals 2023, 13, 2053. [Google Scholar] [CrossRef]





| Gene Names | Accession Number | Oligo Sequences (5′ to 3′) | Reference |
|---|---|---|---|
| β-actin | AB032464 | F: ATCTGGCATCACACCTTCTA | [38] |
| R: CTTCTCCCTGTTGGCTTTG | |||
| HSP70 | XM_035755459.2 | F: GTTGTAGCGATGAGACAAGATAGTAGCC | [39] |
| R: CCTAAATAGCACTGAGCCATAAAAATGT | |||
| HSP90 | XM_035775220.2 | F: CTTTGAGAACAAGAAGAAGAAGAAC | [40] |
| R: CACACCCTTAATGAAGTTGAGGTAC | |||
| Ubiquitin | XM_035776959.2 | F: GTGAAGACGTTGACGGGGAA | [41] |
| R: GGGTGGACTCTTTCTGGATGT | |||
| GR1 | MK990540 | F: AATGAAAGGGCCTGCACCC | [42] |
| R: GCCTCTGGCTCAATGGCTTTA | |||
| GR2 | MK990542 | F: ATGGAGCTTCTGGAATGCAAGG | [42] |
| R: ACCATGCTTGGAGGTAGAACTGG | |||
| HSD11β | XM_052513703.1 | F: AAGGGACGCATCGTCACAATCT | [43] |
| R: AACAGGTTGAGAGCTGCCTTGG | |||
| SOD | XM_035767823.2 | F: GGGAGCCCTGGTACACACTA | [44] |
| R: CGAGTCAAAGCCCTCAGAAC | |||
| Catalase | XM_035746928.2 | F: TGATGTCACACAGGTGCGTA | [45] |
| R: GTGGGCTCAGTGTTGTTGAG | |||
| GPx | XM_035742816.2 | F: AATGTGGCGTCACTCTGAGG | [46] |
| R: CAATTCTCCTGATGGCCAAA | |||
| AMPKα | XM_035772525.2 | F: ATCTTCTTCACGCCCCAGTA | [47] |
| R: GGGAGCTCATCTTTGAACCA | |||
| mTOR | XM_035740983.2 | F: GCAACAGCGACAGCGAGGTAG | [48] |
| R: TGGAGAGGGAGATTGAGCGGAAG |
Disclaimer/Publisher’s Note: The statements, opinions and data contained in all publications are solely those of the individual author(s) and contributor(s) and not of MDPI and/or the editor(s). MDPI and/or the editor(s) disclaim responsibility for any injury to people or property resulting from any ideas, methods, instructions or products referred to in the content. |
© 2026 by the authors. Licensee MDPI, Basel, Switzerland. This article is an open access article distributed under the terms and conditions of the Creative Commons Attribution (CC BY) license.
Share and Cite
Kim, J.; Kim, K.; Gil, Y.; Yun, E.-Y.; Kim, Y.C.; Lee, J.-W. Transcriptional Responses to Chronic Thermal Stress in Chum Salmon (Oncorhynchus keta) Smolt. Fishes 2026, 11, 95. https://doi.org/10.3390/fishes11020095
Kim J, Kim K, Gil Y, Yun E-Y, Kim YC, Lee J-W. Transcriptional Responses to Chronic Thermal Stress in Chum Salmon (Oncorhynchus keta) Smolt. Fishes. 2026; 11(2):95. https://doi.org/10.3390/fishes11020095
Chicago/Turabian StyleKim, Junwon, Kiyoung Kim, Yaeeun Gil, Eun-Young Yun, Young Chul Kim, and Jang-Won Lee. 2026. "Transcriptional Responses to Chronic Thermal Stress in Chum Salmon (Oncorhynchus keta) Smolt" Fishes 11, no. 2: 95. https://doi.org/10.3390/fishes11020095
APA StyleKim, J., Kim, K., Gil, Y., Yun, E.-Y., Kim, Y. C., & Lee, J.-W. (2026). Transcriptional Responses to Chronic Thermal Stress in Chum Salmon (Oncorhynchus keta) Smolt. Fishes, 11(2), 95. https://doi.org/10.3390/fishes11020095

