A Conserved Bactericidal Permeability-Increasing Protein (BPI) Mediates Immune Sensing and Host Defense in the Hong Kong Oyster (Crassostrea hongkongensis)
Abstract
1. Introduction
2. Materials and Methods
2.1. Animal Husbandry, Bacterial Challenge, and Sample Collection
2.2. RNA Extraction, cDNA Synthesis, and Gene Cloning
2.3. Bioinformatic and Phylogenetic Analysis
2.4. Quantitative Real-Time PCR Analysis
2.5. Expression, Purification, and Verification of Recombinant ChBPI/LBP
2.6. Antibacterial Activity Assays
2.7. Histopathological Analysis
2.8. Statistical Analysis
3. Results
3.1. Molecular Cloning and Structural Characterization of ChBPI/LBP
3.2. ChBPI/LBP Is Highly Expressed at Mucosal Surfaces
3.3. Bacterial Challenge Induces a Rapid Transcriptional Response in Hemocytes
3.4. A. hydrophila Infection Elicits Distinct Tissue Pathologies
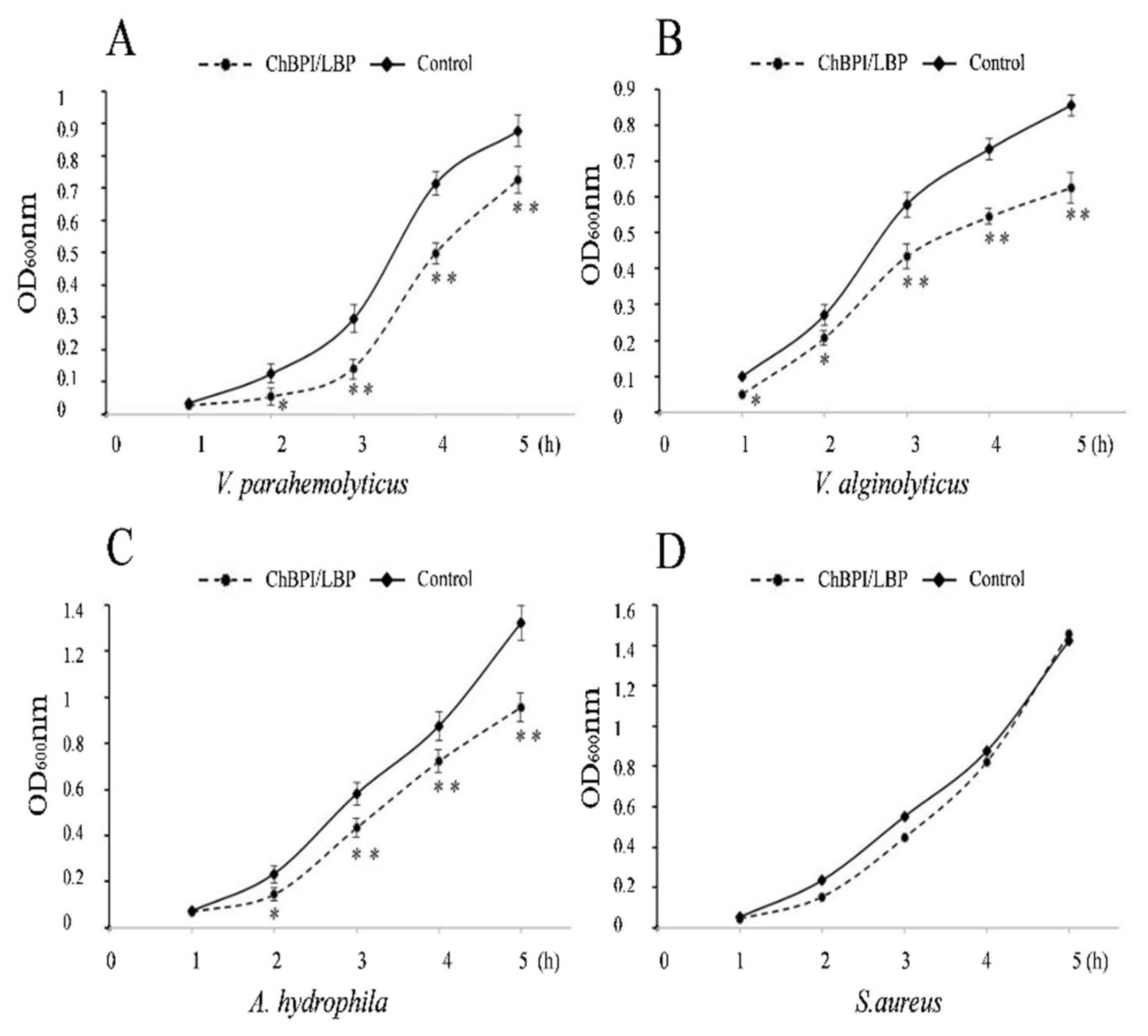
3.5. Recombinant ChBPI/LBP Possesses Potent and Specific Antibacterial Activity
4. Discussion
5. Conclusions
Author Contributions
Funding
Institutional Review Board Statement
Data Availability Statement
Conflicts of Interest
References
- Nguyen, N.H. Genetics and genomics of infectious diseases in key aquaculture species. Biology 2024, 13, 29. [Google Scholar] [CrossRef]
- Rodrigues, T.; Guardiola, F.A.; Almeida, D.; Antunes, A. Aquatic invertebrate antimicrobial peptides in the fight against aquaculture pathogens. Microorganisms 2025, 13, 156. [Google Scholar] [CrossRef]
- Zannella, C.; Mosca, F.; Mariani, F.; Franci, G.; Folliero, V.; Galdiero, M.; Tiscar, P.G.; Galdiero, M. Microbial diseases of bivalve mollusks: Infections, immunology and antimicrobial defense. Mar. Drugs 2017, 15, 182. [Google Scholar] [CrossRef]
- Makwarela, T.G.; Seoraj-Pillai, N.; Nangammbi, T.C. Exploring the Molluscan Microbiome: Diversity, Function, and Ecological Implications. Biology 2025, 14, 1086. [Google Scholar] [CrossRef]
- Chen, R.; Zou, J.; Chen, J.; Zhong, X.; Kang, R.; Tang, D. Pattern recognition receptors: Function, regulation and therapeutic potential. Signal Transduct. Target. Ther. 2025, 10, 216. [Google Scholar] [CrossRef]
- Sharma, M.; Wagh, P.; Shinde, T.; Trimbake, D.; Tripathy, A.S. Exploring the Role of Pattern Recognition Receptors as Immunostimulatory Molecules. Immunity Inflamm. Dis. 2025, 13, e70150. [Google Scholar] [CrossRef] [PubMed]
- Luo, R.; Yao, Y.; Chen, Z.; Sun, X. An examination of the LPS-TLR4 immune response through the analysis of molecular structures and protein–protein interactions. Cell Commun. Signal. 2025, 23, 142. [Google Scholar] [CrossRef]
- Sun, J.; Deng, H.; Ning, B.; Zhan, Y.; Chang, Y. Aquatic BPI/LBPs: A Promising Antimicrobial Peptide Resource for Disease Control in Aquaculture. Curr. Protein Pept. Sci. 2026, 27, e13892037364423. [Google Scholar] [CrossRef] [PubMed]
- Jorquera, A.; Montecinos, C.; Borregales, Y.; Muñoz-Cerro, K.; González, R.; Santelices, M.; Rojas, R.; Mercado, L.; Ramírez, F.; Guzmán, F.; et al. A novel LPS binding/bactericidal permeability-increasing protein (LBP/BPI) from the scallop Argopecten purpuratus plays an essential role in host resistance to Vibrio infection. Fish Shellfish. Immunol. 2024, 154, 109989. [Google Scholar] [CrossRef] [PubMed]
- Wu, Y.; Du, H.; Zhu, L.; Zhao, N.; Zhang, S.; Cao, Z.; Zhou, Y.; Sun, Y. Bactericidal permeability-increasing protein/LPS-binding protein (BPI/LBP) enhances resistance of golden pompano Trachinotus ovatus against bacterial infection. Fish Shellfish. Immunol. 2022, 131, 872–880. [Google Scholar] [CrossRef]
- González, R.; Brokordt, K.; Rojas, R.; Schmitt, P. Molecular characterization and expression patterns of two LPS binding/bactericidal permeability-increasing proteins (LBP/BPIs) from the scallop Argopecten purpuratus. Fish Shellfish. Immunol. 2020, 97, 12–17. [Google Scholar] [CrossRef] [PubMed]
- Liu, Y.; Zha, H.; Han, X.; Yu, S.; Chai, Y.; Zhong, J.; Zhu, Q. Molecular characterization and functional analysis of the bactericidal permeability-increasing protein/LPS-binding protein (BPI/LBP) from roughskin sculpin (Trachidermus fasciatus). Dev. Comp. Immunol. 2021, 123, 104133. [Google Scholar] [CrossRef] [PubMed]
- Solov’eva, T.F.; Bakholdina, S.I.; Naberezhnykh, G.A. Host Defense Proteins and Peptides with Lipopolysaccharide-Binding Activity from Marine Invertebrates and their Therapeutic Potential in Gram-Negative Sepsis. Mar. Drugs 2023, 21, 581. [Google Scholar] [CrossRef] [PubMed]
- Liu, R.; Gao, L.; Zhang, X.; Yang, W.; Zhao, J.; Zhao, B.; Yu, H.; Xu, J.; Liu, L.; Peng, J.; et al. Analysis on the environment of Dafeng River in Beihai, Guangxi and the health status of cultivated Hong Kong oysters (Crassostrea hongkongensis). J. Dalian Ocean. Univ. 2024, 39, 551–558. [Google Scholar]
- Xie, W.; Zhou, Q.-J.; Xu, Y.-X.; Zhang, M.; Zhong, S.-P.; Lu, L.-L.; Qiu, H.-T. Transcriptome analysis reveals potential key immune genes of Hong Kong oyster (Crassostrea hongkongensis) against Vibrio parahaemolyticus infection. Fish Shellfish. Immunol. 2022, 122, 316–324. [Google Scholar] [CrossRef]
- Manan, H.; Jalilah, M.; Fauzan, F.; Ikhwanuddin, M.; Amin-Safwan, A.; Abdullah, N.S.; Nur-Syahirah, M.; Kasan, N.A. Recent developments in aquaculture—A review. Ann. Anim. Sci. 2023, 23, 663–680. [Google Scholar] [CrossRef]
- Wei, Z.; Qin, Y.; Liu, H.; Xing, Q.; Yu, Z.; Zhang, Y.; Pan, Y. Aquaculture Performance and Genetic Diversity of a New [(Crassostrea hongkongensis♀× C. gigas♂)♂× C. hongkongensis♀] Variety of the Oyster ‘South China No. 1′ in Beibu Gulf, China. Biology 2024, 13, 297. [Google Scholar] [CrossRef]
- Peng, M.; Tong, W.; Zhao, Z.; Xiao, L.; Wang, Z.; Liu, X.; He, X.; Song, Z. Attenuation of Aeromonas hydrophila infection in Carassius auratus by YtnP, a N-acyl homoserine lactonase from Bacillus licheniformis T-1. Antibiotics 2021, 10, 631. [Google Scholar] [CrossRef]
- Wang, P.; Zhu, J.; Chen, H.; Hu, Q.; Chen, Z.; Li, W.; Yang, T.; Zhu, J.; Yan, B.; Gao, H.; et al. Study on the Regulatory Mechanisms of Carapace Marking Formation in Marsupenaeus japonicus. Animals 2025, 15, 727. [Google Scholar] [CrossRef]
- Huarachi-Olivera, R.; Mata, M.T.; Ardiles-Candia, A.; Escobar-Méndez, V.; Gatica-Cortes, C.; Ahumada, M.; Orrego, J.; Vidal-Veuthey, B.; Cárdenas, J.P.; González, L.; et al. Modification of the Trizol Method for the Extraction of RNA from Prorocentrum triestinum ACIZ_LEM2. Int. J. Mol. Sci. 2024, 25, 9642. [Google Scholar] [CrossRef]
- Plante, D.; Barrera, J.A.B.; Lord, M.; Iugovaz, I.; Nasheri, N. Development of an RNA extraction protocol for norovirus from raw oysters and detection by qRT-PCR and droplet-digital RT-PCR. Foods 2021, 10, 1804. [Google Scholar] [CrossRef] [PubMed]
- Wu, Y.; Liang, B.; Liang, H. Regulation of immune responses by a tumor necrosis factor in pearl oysters: Insights from PmTNF gene expression and function: Characterization of novel TNF in pearl oyster. Acta Biochim. Biophys. Sin. 2025, 57, 1081. [Google Scholar] [CrossRef]
- Fan, J.; Luo, P.; Shen, L.; Zuo, J.; Wang, W.; Zhou, X.; Wang, L.; Song, L. CgCREM Regulates Haemocyte Proliferation and Inflammatory Factor Expression in the Pacific Oyster Crassostrea gigas. Fish Shellfish. Immunol. 2025, 167, 110871. [Google Scholar] [CrossRef]
- Khan, M.F.; Parveen, S.; Sultana, M.; Zhu, P.; Xu, Y.; Safdar, A.; Shafique, L. Evolution and comparative genomics of the transforming growth factor-β-related proteins in Nile tilapia. Mol. Biotechnol. 2024, 67, 3517–3531. [Google Scholar] [CrossRef]
- Khan, M.F.; Sultana, M.; Parveen, S.; Hassan, W.; Tayyab, M.; Alenazi, M.F.; Zabena, A.K.; Xu, Y.; Hong, Z.; Zhu, P.; et al. Genome-wide identification: Molecular characterization and evolutionary aspects of Sox genes in Nile tilapia. Cell. Mol. Biol. 2025, 71, 52–60. [Google Scholar] [CrossRef]
- Parveen, S.; Khan, M.F.; Sultana, M.; Rehman, S.U.; Shafique, L. Molecular characterization of doublesex and Mab-3 (DMRT) gene family in Ctenopharyngodon idella (grass carp). J. Appl. Genet. 2024, 66, 409–420. [Google Scholar] [CrossRef] [PubMed]
- Parveen, S.; Tayyab, M.; Khan, M.F.; Hussain, M.; Fatima, N.; Khail, J.; Xu, Y.; Zhu, P.; Shafique, L. Impact of zinc supplementation on growth, antioxidant status, and physiological health of Cyprinus carpio (Common Carp): Evaluating the optimal dietary zinc requirements. Aquac. Rep. 2025, 44, 103058. [Google Scholar] [CrossRef]
- Hu, B.; Yu, H.; Kong, L.; Liu, S.; Li, Q. Orange-shell phenotype regulated by CgABCG2-mediated protoporphyrin IX transport in Pacific oyster (Crassostrea gigas). Aquaculture 2025, 612, 743212. [Google Scholar] [CrossRef]
- Deng, H.; Yu, L.; Sun, J.; Liu, S.; Wang, X.; Yin, D.; Chang, Y.; Zhan, Y. Identification and characterization of a novel BPI/LBP gene and its sex-specific tissue heterogeneous expression in response to LPS stimulation in the scallop Patinopecten yessoensis. Gene Rep. 2025, 38, 102148. [Google Scholar] [CrossRef]
- Melloul, O.; Zabit, S.; Lichtenstein, M.; Duran, D.; Grunewald, M.; Lorberboum-Galski, H. Inducing Targeted, Caspase-Independent Apoptosis with New Chimeric Proteins for Treatment of Solid Cancers. Cancers 2025, 17, 1179. [Google Scholar] [CrossRef]
- Shafique, L.; Khan, M.F.; Parveen, S.; Xu, Y.; Zhu, P. Overcoming Multidrug Resistance in E. coli and Salmonella Isolates from Nile Tilapia: Synergistic Effects of Novel Antibiotic Combinations. Mol. Biotechnol. 2025. [Google Scholar] [CrossRef]
- Zhang, Y.-C.; Zhan, X.; Chen, J.-Y.; Yu, D.-T.; Zhang, T.; Zhang, H.; Duan, C.-G. Reduced fungal protein acetylation mediates the antimicrobial activity of a rhizosphere bacterium against a phytopathogenic fungus. Nat. Commun. 2025, 16, 5644. [Google Scholar] [CrossRef]
- Shafique, L.; Zhu, P.; Xu, Y.; Hassan, W.; Latif, F.; Manan, M.A.; Parveen, S.; Khan, M.F. Drug repurposing with non-antibiotic strategies against S. aureus and molecular profiling of resistance genes in Nile tilapia. Microb. Pathog. 2025, 208, 108033. [Google Scholar] [CrossRef]
- Wu, S.; Zhao, J.; Azmi, A.A.; Gupte, A.; Thibodeau, J.; Liu, S.; Yang, J.; Wang, G.; Edwards, H.; Polin, L.A.; et al. Inhibition of CDK 9 enhances AML cell death induced by combined venetoclax and azacitidine. Mol. Oncol. 2025. [Google Scholar] [CrossRef]
- Afsharnia, A.; Cai, Y.; Nauta, A.; Groeneveld, A.; Folkerts, G.; Wösten, M.M.S.M.; Braber, S. In Vivo Evidence on the Emerging Potential of Non-Digestible Oligosaccharides as Therapeutic Agents in Bacterial and Viral Infections. Nutrients 2025, 17, 1068. [Google Scholar] [CrossRef]
- Lee, K.K. Dissecting the Mechanisms Underlying Heterogeneous Antimicrobial Accumulation in Isogenic Bacterial Populations. Ph.D. Thesis, University of Exeter, Exeter, UK, November 2024. [Google Scholar]
- Hematoma, S.; Swine, H.I.N. SEPSIS-INDUCED T LYMPHOCYTE ALTERATIONS: FROM PATHOPHYSIOLOGY TO THERAPEUTIC TRANSLATION. Shock 2025, 64, S1–S44. [Google Scholar] [CrossRef]
- Li, J.; Cheng, G.; Qin, X.; Liu, J. Streptococcus pneumoniae β-lactam resistance: Epidemiological trends, molecular drivers, and innovative control strategies in the post-pandemic era. Clin. Microbiol. Rev. 2025, 38, e0008225. [Google Scholar] [CrossRef] [PubMed]
- Kawsar, M.A.; Zhao, C.; Mao, F.; Yu, Z.; Zhang, Y. Unlocking Antimicrobial Peptides from Marine Invertebrates: A Comprehensive Review of Antimicrobial Discovery. Antibiotics 2025, 14, 924. [Google Scholar] [CrossRef] [PubMed]
- Rathour, R.; Ma, Y.; Xiong, J.; Wang, X.-W.; Petersen, J.; Zhang, X. Hemolymph microbiota and host immunity of crustaceans and mollusks. ISME J. 2025, 19, wraf133. [Google Scholar] [CrossRef]
- Tian, Y.; Yue, X.; Jiao, R.; Hanson, M.A.; Lemaitre, B. Functional characterization of Paillotin: An immune peptide regulated by the Immune deficiency (Imd) pathway with pathogen-specific roles in Drosophila immunity. Proc. R. Soc. B: Biol. Sci. 2025, 292, 20251835. [Google Scholar] [CrossRef]







| Primer Name | Sequence (5′→3′) | Tm (°C) | Purpose (Target Amplicon) |
|---|---|---|---|
| ChBPI/LBP-F1 | TGTTGTGTGAAAAGCCACA | 58.2 °C | Gene Cloning (Partial CDS) |
| ChBPI/LBP-R1 | TATATCCGTCTTCTGTGAAAAA | 54.1 °C | Gene Cloning (Partial CDS) |
| ChBPI/LBP -qF1 | ACCAAAACTGAATGAACTCGG | 59.5 °C | qRT-PCR (108 bp fragment) |
| ChBPI/LBP -qR1 | GCAATCAAAAGCGTGTCCTT | 59.8 °C | qRT-PCR (108 bp fragment) |
| ef1-α-qF1 | GCCCAGGTCATCATCTTGAA | 59.5 °C | qRT-PCR Internal Control (87 bp) |
| ef1-α-qR1 | GCAGGCAATGTGAGCAGTG | 60.1 °C | qRT-PCR Internal Control (87 bp) |
| ChBPI/LBP -bF1 | ATGAATCACAAAGTGCATCATCATCATCATCATATGAAGACCCCGGGCCTGCAGACCCGC…(NdeI) | Expression Vector (Mature Peptide) | |
| ChBPI/LBP -bR1 | GATTCTGTGCTTTTAAGCAGAGATTACCTATCTAGATTAGCCACTATATTTCAGATCGGT…(XbaII) | Expression Vector (Mature Peptide) |
Disclaimer/Publisher’s Note: The statements, opinions and data contained in all publications are solely those of the individual author(s) and contributor(s) and not of MDPI and/or the editor(s). MDPI and/or the editor(s) disclaim responsibility for any injury to people or property resulting from any ideas, methods, instructions or products referred to in the content. |
© 2026 by the authors. Licensee MDPI, Basel, Switzerland. This article is an open access article distributed under the terms and conditions of the Creative Commons Attribution (CC BY) license.
Share and Cite
Shafique, L.; Zhao, Y.; Khan, M.F.; Huang, C.; Li, L.; Zhang, P.; Zhu, P.; Zeng, D.; Yan, X.; Gong, B.; et al. A Conserved Bactericidal Permeability-Increasing Protein (BPI) Mediates Immune Sensing and Host Defense in the Hong Kong Oyster (Crassostrea hongkongensis). Fishes 2026, 11, 87. https://doi.org/10.3390/fishes11020087
Shafique L, Zhao Y, Khan MF, Huang C, Li L, Zhang P, Zhu P, Zeng D, Yan X, Gong B, et al. A Conserved Bactericidal Permeability-Increasing Protein (BPI) Mediates Immune Sensing and Host Defense in the Hong Kong Oyster (Crassostrea hongkongensis). Fishes. 2026; 11(2):87. https://doi.org/10.3390/fishes11020087
Chicago/Turabian StyleShafique, Laiba, Yuwei Zhao, Muhammad Farhan Khan, Cheng Huang, Li Li, Peng Zhang, Peng Zhu, Da Zeng, Xueyu Yan, Bin Gong, and et al. 2026. "A Conserved Bactericidal Permeability-Increasing Protein (BPI) Mediates Immune Sensing and Host Defense in the Hong Kong Oyster (Crassostrea hongkongensis)" Fishes 11, no. 2: 87. https://doi.org/10.3390/fishes11020087
APA StyleShafique, L., Zhao, Y., Khan, M. F., Huang, C., Li, L., Zhang, P., Zhu, P., Zeng, D., Yan, X., Gong, B., Liao, Y., Xu, Y., & Zhang, H. (2026). A Conserved Bactericidal Permeability-Increasing Protein (BPI) Mediates Immune Sensing and Host Defense in the Hong Kong Oyster (Crassostrea hongkongensis). Fishes, 11(2), 87. https://doi.org/10.3390/fishes11020087

