Geographical Traceability of Anguilla japonica from Different Habitats Successfully Achieved Using Muscle Elemental Fingerprint Analysis
Abstract
1. Introduction
2. Materials and Methods
2.1. Sampling Sites, Sample Collection, and Processing
2.2. Digestion Scheme
2.3. Elemental Analysis
2.4. Data Analysis
3. Results
3.1. Elemental Fingerprints Composition
3.2. Principal Component Analysis (PCA)
3.3. Discriminant Element Screening
3.4. Traceability and Verification Analysis
4. Discussion
5. Conclusions
Supplementary Materials
Author Contributions
Funding
Institutional Review Board Statement
Data Availability Statement
Conflicts of Interest
References
- Zhuang, P.; Zhang, T.; Li, S.F.; Ni, Y.; Wang, Y.H.; Deng, S.M.; Zhang, L.Z.; Ling, J.Z.; Hu, F.; Yang, G.; et al. Fishes of the Yangtze Estuary; China Agriculture Press: Beijing, China, 2018; pp. 91–99. [Google Scholar]
- Wang, M.; Hu, W.; Feng, G.; Zhuang, P.; Zhao, F.; Zhang, T.; Wang, S.; Yang, G. Study on the Conservation and Sustainable Utilization Management of Anguilla japonica Fry Resources in the Yangtze River Estuary. Mod. Fish. Inf. 2024, 39, 165–173. [Google Scholar]
- Choi, H.; Park, J.S.; Hwang, J.-A.; Kim, S.-K.; Cha, Y.; Oh, S.-Y. Influence of Biofloc Technology and Continuous Flow Systems on Aquatic Microbiota and Water Quality in Japanese Eel Aquaculture. Diversity 2024, 16, 601. [Google Scholar] [CrossRef]
- Huang, T.; Zang, X.; Kondyukov, G.; Hou, Z.; Peng, G.; Pander, J.; Knott, J.; Geist, J.; Melesse, M.B.; Jacobson, P.; et al. Towards Automated and Real-Time Multi-Object Detection of Anguilliform Fishes from Sonar Data Using YOLOv8 Deep Learning Algorithm. Ecol. Inform. 2025, 91, 103381. [Google Scholar] [CrossRef]
- Yin, X.; Hua, C.; Zhu, Q. Analysis of morphological differences and discrimination between female and male Cololabis saira based on geometric morphometrics. South China Fish. Sci. 2024, 20, 104–111. [Google Scholar]
- Zhou, J.; Peng, Y.; Zhu, G. Identification of Geographical Populations of Nototheniops larseni Based on Geometric Shape of Otoliths. Mar. Fish. 2025, 47, 263–272. [Google Scholar]
- Chen, W.; Shao, B.; Miao, T.; Peng, J.; Chen, B.; Zhang, Z.; Jiang, S. Identification of Six Eel Species Using Polygenic DNA Barcoding. Food Sci. 2018, 39, 163–169. [Google Scholar]
- Zhou, L.; Li, X. Salmon Origin Traceability Based on Fatty Acid Fingerprints. Food Res. Dev. 2025, 46, 177–183. [Google Scholar]
- Fan, Z.; Wang, H.; Feng, J.; Feng, Z.; Li, W.; Tang, Z. Origin Traceability of “Jinwan Huangliyu” Based on Stable Isotope Ratio Signature. Mod. Agric. Sci. Technol. 2025, 136–140+144. [Google Scholar] [CrossRef]
- Li, M.; Zhang, Q.; Han, G.; Liang, T.; Liu, J.; Wang, D.; Zhong, Q. Multivariate Discrimination of Chinese Vinegars Using Multi-Element: Implications for Origin Traceability and Dietary Safety. J. Food Compos. Anal. 2025, 145, 107807. [Google Scholar] [CrossRef]
- Chilaka, C.A.; Aparicio-Muriana, M.d.M.; Petchkongkaew, A.; Quinn, B.; Birse, N.; Elliott, C.T. A Combined Elementomics, Metabolomics, and Chemometrics Approach as Tools to Identify the Geographic Origins of Black Pepper. Food Chem. 2025, 492, 145420. [Google Scholar] [CrossRef]
- Ji, X. Multielemental Analysis Using Inductively Coupled Plasma Mass Spectrometry and Optical Emission Spectroscopy for Tracing the Geographical Origin of Food. J. Anal. Chem. 2025, 80, 1140–1151. [Google Scholar] [CrossRef]
- Santos, A.; Ricardo, F.; Mamede, R.; Díaz, S.; Patinha, C.; Calado, R. Spatio-Temporal Variation of Elemental Fingerprints of Ruditapes philippinarum Shells and Its Influence on the Confirmation of Harvesting Location and Time. Estuar. Coast. Shelf Sci. 2025, 324, 109444. [Google Scholar] [CrossRef]
- Mamede, R.; Duarte, I.A.; Tanner, S.E.; Fonseca, V.F.; Duarte, B. Multi-Elemental Fingerprints of Edible Tissues of Common Cockles (Cerastoderma edule) to Promote Geographic Origin Authentication, Valorization, and Food Safety. J. Food Compos. Anal. 2025, 140, 107291. [Google Scholar] [CrossRef]
- Bai, Y.; Wang, X.; Ha, L.; Ao, Q.; Dong, X.; Guo, J.; Zhao, Y. Application of Stable Isotopes and Mineral Elements Fingerprinting for Beef Traceability and Authenticity in Inner Mongolia of China. Food Chem. 2025, 465, 141911. [Google Scholar] [CrossRef]
- Chen, L.; Xuan, Z.; Ma, F.; Yang, Y.; Liu, K. Otolith microchemistry provides evidence for the existence of migratory Coilia nasus in Chaohu Lake and traces their natal origins. J. Fish. Sci. China 2025, 32, 742–752. [Google Scholar]
- Lai, J.; Zhao, L.; Fan, Y.; Qu, X.; Liu, D.; Guo, Z.; Wang, Y.; Liu, Q.; Chen, Y. Using Whole Body Elemental Fingerprint Analysis to Distinguish Different Populations of Coilia nasus in a Large River Basin. Biochem. Syst. Ecol. 2015, 60, 249–257. [Google Scholar] [CrossRef]
- Kunito, T.; Watanabe, I.; Yasunaga, G.; Fujise, Y.; Tanabe, S. Using Trace Elements in Skin to Discriminate the Populations of Minke Whales in Southern Hemisphere. Mar. Environ. Res. 2002, 53, 175–197. [Google Scholar] [CrossRef]
- El Deghel, N.; Vieira, H.C.; Bordalo, M.D.; Peuble, S.; Gallice, F.; Bedell, J.-P. Metallic Trace Elements in Wild and Farmed Fish from the Aveiro Region (Portugal). Mar. Pollut. Bull. 2025, 222, 118774. [Google Scholar] [CrossRef]
- Carretero, J.; García-Cegarra, A.M.; Martínez-López, E. Heavy Metals and Trace Elements in a Threatened Population of Guanay Cormorants (Leucocarbo bougainvilliorum) from an Industrialized Bay in the Humboldt Current System, Chile. J. Trace Elem. Med. Biol. 2025, 92, 127749. [Google Scholar] [CrossRef]
- Boussinet, E.; Daverat, F.; Bareille, G.; Scharbert, A.; Stoll, S. Determining the Natal Origin of the Reintroduced Allis Shad (Alosa alosa) in the Rhine River Using Otolith Microchemistry. Environ. Biol. Fishes 2025, 108, 1307–1323. [Google Scholar] [CrossRef]
- Xiao, Z.; Liu, M.; Shan, X.; Jiang, R.; Yin, R. Habitat use history of Coilia nusus in Oujiang River Estuary based on otolith microchemistry. J. Fish. China 2025, 49, 079308. [Google Scholar]
- Roy, P.K.; Lall, S.P. Mineral Nutrition of Haddock Melanogrammus aeglefinus (L.): A Comparison of Wild and Cultured Stock. J. Fish Biol. 2006, 68, 1460–1472. [Google Scholar] [CrossRef]
- Varol, M.; Kaçar, E. Bioaccumulation of Metals in Various Tissues of Fish Species in Relation to Fish Size and Gender and Health Risk Assessment. Curr. Pollut. Rep. 2023, 9, 327–337. [Google Scholar] [CrossRef]
- Horimoto, T.; Tanii, T.; Kuwae, T.; Watanabe, K.; Ito, M. Diet–Tissue Discrimination Factors and Turnover Rates of Carbon and Nitrogen Stable Isotopes in the Mottled Skate Beringraja pulchra Based on Diet-Switching Experiments. Fish. Res. 2024, 274, 107006. [Google Scholar] [CrossRef]
- Bai, S.; Du, N.; Wu, S.; Tang, S.; Li, C.; Chen, Z.; Wang, P.; Gao, L.; Qin, D. Multi-Element Fingerprints of Muscle Tissues of Eriocheir Sinensis from 8 Major Production Areas in China to Promote Geographical Origin and Food Safety Authentication. Food Chem. X 2025, 31, 103088. [Google Scholar] [CrossRef] [PubMed]
- Rahman, M.M.; Sultana, S.; Kabiraj, M.; Das, M. Role of Micro and Macronutrients Enrich Fertilizers on the Growth Performance of Prawn (Macrobrachium rosenbergii), Rohu (Labeo rohita) and Mola (Amblypharyngodon mola) in a Polyculture System. Int. J. Agric. Res. Innov. Technol. 2018, 8, 47–53. [Google Scholar] [CrossRef]
- Zhang, Q.; Li, M.; Dou, C.; Yan, X.; Wang, B.; Zhang, H.; Lin, Y.; Zhao, D. Exploring the Feasibility of Multi-Element Fingerprinting with Chemometrics for Discriminating the Geographical Origins of Asparagus and Its Risk Assessment. Food Chem. 2025, 495, 146395. [Google Scholar] [CrossRef]
- Cabral, A.E.; Ricardo, F.; Patinha, C.; Silva, E.F.D.; Correia, M.; Palma, J.; Planas, M.; Calado, R. Successful Use of Geochemical Tools to Trace the Geographic Origin of Long-Snouted Seahorse Hippocampus guttulatus Raised in Captivity. Animals 2021, 11, 1534. [Google Scholar] [CrossRef]
- de Jesus, R.C.; de Souza, T.L.; Latif, A.L.O.; Souza e Souza, L.B.; de Freitas Santos Júnior, A.; dos Santos Lobo, L.; Junior, J.B.P.; Araujo, R.G.O.; Souza, L.A.; Santos, D.C.M.B. Quantification of Essential and Potentially Toxic Elements in Paprika (Capsicum annuum L.) Varieties by ICP OES and Application of PCA and HCA. Food Chem. 2025, 482, 144152. [Google Scholar] [CrossRef]
- Costa, G.C.; dos Santos, A.S.; Araujo, R.G.O.; Korn, M.G.A.; Santana, R.M.M. Multivariate Optimization of the Infrared Radiation-Assisted Digestion of Bivalve Mollusk Samples from Brazil for Arsenic and Trace Metals Determination Using ICP OES. Food Chem. 2025, 477, 143460. [Google Scholar] [CrossRef]
- Alharbi, H.; Kahfi, J.; Dutta, A.; Jaremko, M.; Emwas, A.-H. The Detection of Adulteration of Olive Oil with Various Vegetable Oils—A Case Study Using High-Resolution 700 MHz NMR Spectroscopy Coupled with Multivariate Data Analysis. Food Control 2024, 166, 110679. [Google Scholar] [CrossRef]
- Cuthill, I.C. Vital Statistics: Experimental Design for the Life Sciences by G.D. Ruxton and N. Colegrave. Oxford University Press, 2003. £14.99 Pbk (132 Pages) ISBN 0 19 925232 7. Modern Statistics for the Life Sciences by A. Grafen and R. Hails. Oxford University Press, 2002. £22.99 Pbk (384 Pages) ISBN 0 19 925231 9. Experimental Design and Data Analysis for Biologists by G.P. Quinn and M.J. Keough. Cambridge University Press, 2002. £75.00 Hbk (556 Pages) ISBN 0 521 00976 6. Trends Ecol. Evol. 2003, 18, 559–560. [Google Scholar]
- Wang, J.; Xiao, Q.; Huang, H.; Wu, D.; Zeng, G.; Chen, W.; Tao, Y.; Ding, B. Non-Target Screening and Identification of the Significant Quality Markers in the Wild and Cultivated Cordyceps sinensis Using OPLS-DA and Feature-Based Molecular Networking. Chin. J. Anal. Chem. 2023, 51, 100302. [Google Scholar] [CrossRef]
- Rosabal, M.; Pierron, F.; Couture, P.; Baudrimont, M.; Hare, L.; Campbell, P.G.C. Subcellular Partitioning of Non-Essential Trace Metals (Ag, As, Cd, Ni, Pb, and Tl) in Livers of American (Anguilla rostrata) and European (Anguilla anguilla) Yellow Eels. Aquat. Toxicol. 2015, 160, 128–141. [Google Scholar] [CrossRef]
- Sakai, K.; Mochioka, N. Morphological and Genetic Identification of Bathyuroconger parvibranchialis (Anguilliformes: Congridae) Leptocephali from Kuroshio Extension. Ichthyol. Res. 2025, 72, 365–371. [Google Scholar] [CrossRef]
- Windom, H.L.; Savidge, W.B. Sources and Transport Pathways of Trace Metals to the Outer Continental Shelf off South Carolina and Georgia, USA Revealed from the Otoliths of Moray Eels. Cont. Shelf Res. 2024, 282, 105331. [Google Scholar] [CrossRef]
- Turkoglu, S.; Kaya, G. Biomonitoring of Toxic and Essential Trace Elements in Different Tissues of Fish Species in Turkiye. Food Addit. Contam. Part B-Surveill. 2023, 16, 332–339. [Google Scholar] [CrossRef]
- Kalantzi, I.; Pergantis, S.A.; Black, K.D.; Shimmield, T.M.; Papageorgiou, N.; Tsapakis, M.; Karakassis, I. Metals in Tissues of Seabass and Seabream Reared in Sites with Oxic and Anoxic Substrata and Risk Assessment for Consumers. Food Chem. 2016, 194, 659–670. [Google Scholar] [CrossRef]
- Wu, D.; Feng, H.; Zou, Y.; Xiao, J.; Zhang, P.; Ji, Y.; Lek, S.; Guo, Z.; Fu, Q. Feeding Habit-Specific Heavy Metal Bioaccumulation and Health Risk Assessment of Fish in a Tropical Reservoir in Southern China. Fishes 2023, 8, 211. [Google Scholar] [CrossRef]
- Lehel, J.; Plachy, M.; Palotás, P.; Bartha, A.; Budai, P. Possible Metal Burden of Potentially Toxic Elements in Rainbow Trout (Oncorhynchus mykiss) on Aquaculture Farm. Fishes 2024, 9, 252. [Google Scholar] [CrossRef]
- Ojewole, A.E. On Growth-Related Bioaccumulation of Toxic Metals and Molecular Interaction with Selenium in Asian Carps in the Lower Illinois River. Master’s Thesis, Southern Illinois University at Edwardsville, Edwardsville, IL, USA, 2022. [Google Scholar]
- Bai, Y.; Zhang, H.; Zheng, L.; Ji, W.; Ruan, W.; Xu, Y. Different Fractions and Potential Ecological Risk Assessment of V, Cr, Co, Ni in Sediments of the Yangtze River Estuary. Mar. Fish. 2023, 45, 490–499. [Google Scholar]
- Cao, F.; Yang, S.; Yin, D.; Wang, R. Geochemical Controls on the Distribution of Total Mercury and Methylmercury in Sediments and Porewater from the Yangtze River Estuary to the East China Sea. Sci. Total Environ. 2023, 892, 164737. [Google Scholar] [CrossRef]
- Hu, Y.; He, N.; Wu, M.; Wu, P.; He, P.; Yang, Y.; Wang, Q.; Wang, M.; Fang, S. Sources and Ecological Risk Assessment of the Seawater Potentially Toxic Elements in Yangtze River Estuary during 2009–2018. Environ. Monit. Assess. 2021, 193, 44. [Google Scholar] [CrossRef]
- Tambat, V.S.; Patel, A.K.; Singhania, R.R.; Chen, C.-W.; Dong, C.-D. Marine Vanadium Pollution: Sources, Ecological Impacts and Cutting-Edge Mitigation Strategies. Mar. Pollut. Bull. 2024, 209, 117199. [Google Scholar] [CrossRef]
- Yang, S.; Li, P.; Sun, K.; Wei, N.; Liu, J.; Feng, X. Mercury Isotope Compositions in Seawater and Marine Fish Revealed the Sources and Processes of Mercury in the Food Web within Differing Marine Compartments. Water Res. 2023, 241, 120150. [Google Scholar] [CrossRef]




| Groups | Sampling Waters | Collection Month | Number | Standard Length (cm) | Wet Weight (g) |
|---|---|---|---|---|---|
| RW | River waters | July | 4 | 68.65 ± 5.36 a | 580.34 ± 154.12 a |
| EW | Estuary waters | July | 4 | 71.30 ± 22.53 a | 759.63 ± 636.30 a |
| OW | Offshore waters | July | 4 | 72.40 ± 6.11 a | 666.30 ± 96.89 a |
| Index | RW | EW | OW | p |
|---|---|---|---|---|
| Al | 2.150 ± 1.035 a | 4.653 ± 2.067 a | 4.165 ± 1.623 a | 0.077 |
| Ti | 1.895 ± 0.965 a | 1.517 ± 0.425 a | 1.613 ± 0.092 a | 0.874 |
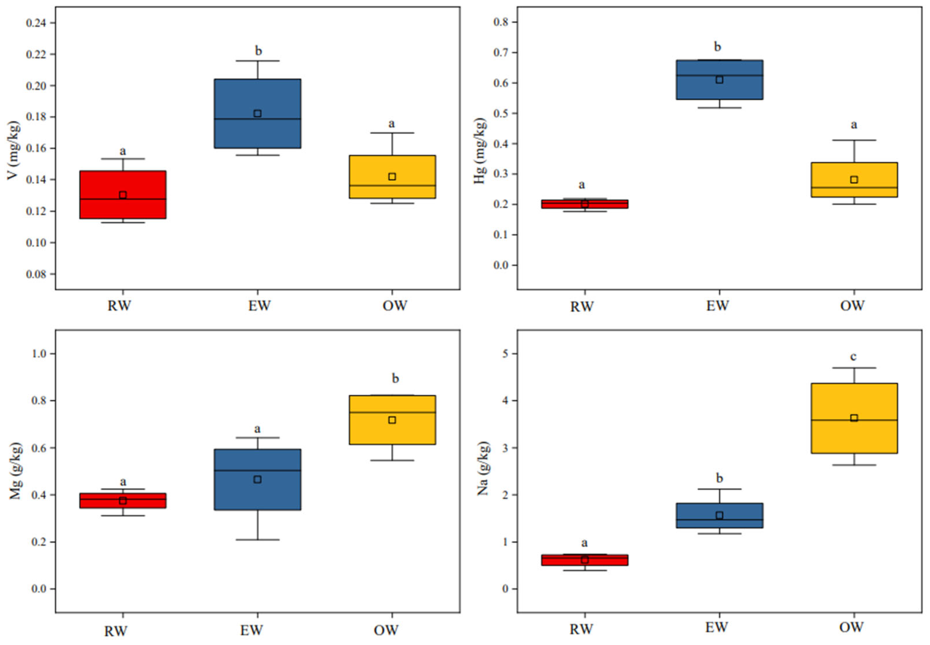
| V | 0.131 ± 0.018 a | 0.183 ± 0.027 b | 0.142 ± 0.020 a | 0.044 |
| Cr | 5.579 ± 0.413 a | 5.985 ± 0.342 a | 5.097 ± 0.848 a | 0.174 |
| Mn | 0.833 ± 0.556 a | 1.406 ± 0.696 a | 0.845 ± 0.110 a | 0.298 |
| Fe | 74.093 ± 135.460 a | 18.160 ± 8.556 a | 14.298 ± 3.852 a | 0.551 |
| Co | 0.147 ± 0.132 a | 0.061 ± 0.034 a | 0.044 ± 0.005 a | 0.694 |
| Ni | 0.843 ± 0.669 a | 0.476 ± 0.093 a | 0.717 ± 0.344 a | 0.491 |
| Cu | 1.513±0.955 a | 0.795 ± 0.655 a | 1.205 ± 0.847 a | 0.551 |
| Zn | 42.306 ± 7.280 a | 63.862 ± 18.447 a | 57.310 ± 14.201 a | 0.167 |
| As | 0.409 ± 0.092 a | 0.733 ± 0.443 a | 0.896 ± 0.703 a | 0.390 |
| Sr | 1.571 ± 0.668 a | 3.661 ± 3.156 a | 3.668 ± 1.894 a | 0.155 |
| Mo | 0.131 ± 0.106 a | 0.075 ± 0.020 a | 0.062 ± 0.008 a | 0.292 |
| Cd | 0.031 ± 0.024 a | 0.030 ± 0.023 a | 0.040 ± 0.014 a | 0.758 |
| Ba | 0.627 ± 0.164 a | 0.969 ± 0.373 a | 0.895 ± 0.279 a | 0.123 |
| Hg | 0.201 ± 0.018 a | 0.611 ± 0.078 b | 0.281 ± 0.091 a | 0.012 |
| Pb | 0.598 ± 0.569 a | 0.302 ± 0.125 a | 0.400 ± 0.029 a | 0.735 |
| Ca | 1.311 ± 0.808 a | 1.583 ± 0.834 a | 0.840 ± 0.452 a | 0.397 |
| K | 4.930 ± 1.120 a | 6.200 ± 1.880 a | 6.820 ± 0.508 a | 0.116 |
| Mg | 0.375 ± 0.047 a | 0.465 ± 0.186 a | 0.718 ± 0.132 b | 0.031 |
| Na | 0.617 ± 0.156 a | 1.561 ± 0.401 b | 3.628 ± 0.920 c | 0.007 |
| Variable | Principal Component | ||||
|---|---|---|---|---|---|
| 1 | 2 | 3 | 4 | 5 | |
| Al | 0.852 | −0.292 | 0.238 | 0.122 | −0.196 |
| Ti | 0.112 | 0.859 | 0.298 | 0.191 | 0.162 |
| V | 0.036 | −0.634 | 0.236 | 0.216 | 0.479 |
| Cr | −0.31 | −0.481 | 0.641 | 0.13 | 0.166 |
| Mn | −0.053 | −0.426 | 0.398 | 0.644 | −0.365 |
| Fe | −0.346 | 0.275 | −0.194 | 0.798 | 0.157 |
| Co | −0.392 | 0.187 | −0.373 | 0.666 | 0.352 |
| Ni | 0.072 | 0.815 | 0.34 | −0.329 | 0.016 |
| Cu | 0.213 | 0.707 | −0.337 | 0.484 | 0.136 |
| Zn | 0.809 | −0.234 | −0.009 | 0.175 | −0.06 |
| As | 0.756 | 0.137 | −0.22 | −0.089 | 0.085 |
| Sr | 0.914 | 0.09 | 0.073 | 0.203 | 0.004 |
| Mo | −0.241 | 0.623 | 0.639 | −0.066 | −0.286 |
| Cd | 0.147 | 0.029 | −0.366 | 0.775 | −0.435 |
| Ba | 0.7 | −0.103 | 0.476 | 0.072 | −0.001 |
| Hg | 0.451 | −0.585 | 0.472 | 0.181 | 0.249 |
| Pb | −0.016 | 0.87 | 0.402 | 0.007 | 0.054 |
| Ca | 0.407 | 0.341 | 0.656 | 0.382 | −0.066 |
| K | 0.764 | 0.198 | −0.024 | −0.064 | 0.473 |
| Mg | 0.844 | 0.205 | −0.412 | −0.141 | 0.023 |
| Na | 0.748 | 0 | −0.425 | −0.147 | −0.218 |
| Characteristic Value | 6.02 | 4.69 | 3.165 | 2.867 | 1.246 |
| Contribution Rate | 28.668 | 22.331 | 15.071 | 13.653 | 5.934 |
| Cumulative Contribution | 28.668 | 50.999 | 66.07 | 79.724 | 85.658 |
| Discriminative Elements | RW | EW | OW |
|---|---|---|---|
| V | 324.172 | 277.182 | 1105.952 |
| Hg | 11.313 | 176.282 | −416.413 |
| Na | 4.846 | −10.191 | 86.957 |
| Cu | 1.414 | 6.211 | −30.246 |
| Constant | −25.954 | −74.715 | −160.480 |
| Method | Groups | Prediction Category | Discriminant Accuracy (%) | Comprehensive Discrimination Rate (%) | ||
|---|---|---|---|---|---|---|
| RW | EW + PC | OW | ||||
| Stepwise Discrimination | RW | 4 | 0 | 0 | 100.0 | 100.0 |
| EW + PC | 0 | 5 | 0 | 100.0 | ||
| OW | 0 | 0 | 4 | 100.0 | ||
| Cross Verification | RW | 4 | 0 | 0 | 100.0 | 100.0 |
| EW+PC | 0 | 5 | 0 | 100.0 | ||
| OW | 0 | 0 | 4 | 100.0 | ||
Disclaimer/Publisher’s Note: The statements, opinions and data contained in all publications are solely those of the individual author(s) and contributor(s) and not of MDPI and/or the editor(s). MDPI and/or the editor(s) disclaim responsibility for any injury to people or property resulting from any ideas, methods, instructions or products referred to in the content. |
© 2026 by the authors. Licensee MDPI, Basel, Switzerland. This article is an open access article distributed under the terms and conditions of the Creative Commons Attribution (CC BY) license.
Share and Cite
Song, C.; Yang, C.; Li, Y.; Song, D.; Huang, X.; Wang, S.; Zhao, F.; Tao, H. Geographical Traceability of Anguilla japonica from Different Habitats Successfully Achieved Using Muscle Elemental Fingerprint Analysis. Fishes 2026, 11, 68. https://doi.org/10.3390/fishes11010068
Song C, Yang C, Li Y, Song D, Huang X, Wang S, Zhao F, Tao H. Geographical Traceability of Anguilla japonica from Different Habitats Successfully Achieved Using Muscle Elemental Fingerprint Analysis. Fishes. 2026; 11(1):68. https://doi.org/10.3390/fishes11010068
Chicago/Turabian StyleSong, Chao, Chengyao Yang, Yijia Li, Dongyu Song, Xiaorong Huang, Sikai Wang, Feng Zhao, and Hong Tao. 2026. "Geographical Traceability of Anguilla japonica from Different Habitats Successfully Achieved Using Muscle Elemental Fingerprint Analysis" Fishes 11, no. 1: 68. https://doi.org/10.3390/fishes11010068
APA StyleSong, C., Yang, C., Li, Y., Song, D., Huang, X., Wang, S., Zhao, F., & Tao, H. (2026). Geographical Traceability of Anguilla japonica from Different Habitats Successfully Achieved Using Muscle Elemental Fingerprint Analysis. Fishes, 11(1), 68. https://doi.org/10.3390/fishes11010068

