Stock Structure of the Gulf Hake Urophycis cirrata (Teleostei: Phycidae) in South-Western Atlantic Using Otolith Shape and Elemental Analyses
Abstract
1. Introduction
2. Materials and Methods
2.1. Biological Sampling
2.2. Otolith Shape Analysis
2.3. Otolith Elemental Analysis
2.4. Statistical Analysis
3. Results
3.1. Otolith Shape Analysis
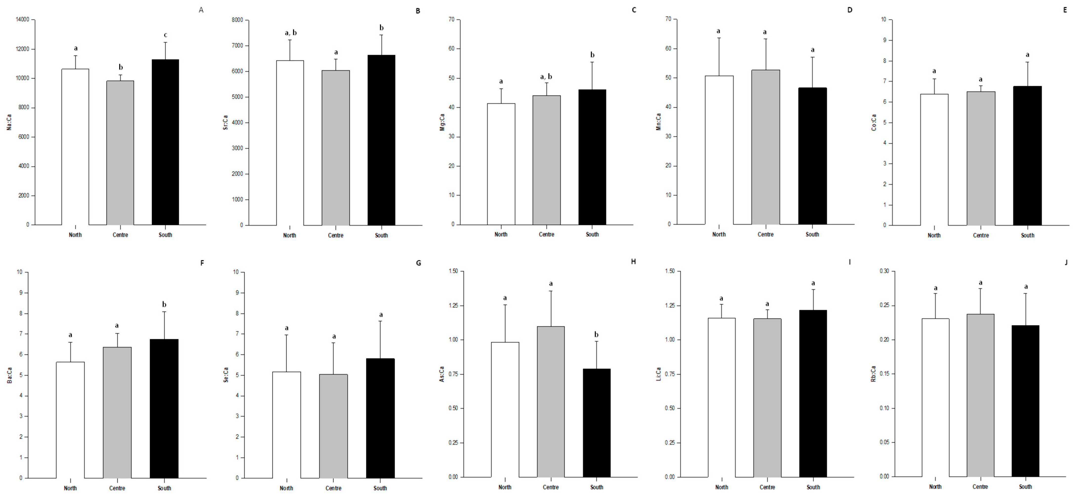
3.2. Otolith Elemental Analysis
3.3. Both Tools Combined
4. Discussion
5. Conclusions
Author Contributions
Funding
Informed Consent Statement
Data Availability Statement
Acknowledgments
Conflicts of Interest
References
- Cohen, D.M.; Inada, T.; Iwamoto, T.; Scialabba, N. FAO Species Catalogue Vol 10 Gadiform Fishes of the World (Order Gadiformes) an Annotated Illustrated Catalogue of Cods Hakes Grenadiers Other Gadiform Fishes Known to Date; FAO: Rome, Italy, 1990. [Google Scholar]
- Menezes, N.A.; Buckup, P.A.; de Figueiredo, J.L.; de Moura, R.L. (Eds.) Catálogo das Espécies de Peixes Marinhos do Brasil; Museu de Zoologia da Universidade de São Paulo: São Paulo, Brasil, 2003; Volume 1. [Google Scholar]
- Melo, M.R.S.; Braga, A.C.G.; Nunan, W.A.; Costa, P.A.S. On new collections of deep-sea Gadiformes (Actinopterygii: Teleostei) from the Brazilian continental slope, between 11° and 23°S. Zootaxa 2010, 2433, 25–46. [Google Scholar] [CrossRef]
- Lemes, P.C.R.; Melo, M.R.S. Phycidae in Catálogo Taxonômico da Fauna do Brasil. Available online: http://fauna.jbrj.gov.br/fauna/faunadobrasil/40479 (accessed on 29 December 2024).
- Cousseau, M.B. Las especies del orden gadiformes del Atlántico sudamericano comprendido entre 34° y 55° y su relación con las de otras áreas. Frente Marít. 1993, 13, 7–102. [Google Scholar]
- Lemes, P.C.R. Revisão taxonômica das abróteas do gênero Urophycis Gill, 1863 no Atlântico Sul (Gadiformes: Gadidae). Master’s Dissertation, Universidade de São Paulo, São Paulo, Brazil, 2017. [Google Scholar]
- Martins, R.S.; Haimovici, M. Determinação de idade, crescimento e longevidade da abrótea de profundidade, Urophycis cirrata, Goode & Bean, 1896, (Teleostei: Phycidae) no extremo sul do Brasil. Atântica 2000, 22, 57–70. [Google Scholar]
- Balbi, T.J.; Wongtschowski, C.L.D.B.R.; Santificetur, C. Growth of the Brazilian codling, Urophycis mystacea (Phycidae-Gadiformes) of southeastern Brazil. Bol. Inst. Pesca. 2019, 45, 1–7. [Google Scholar] [CrossRef]
- Bernardes, R.A.; Figueiredo, J.L.; Rodrigues, A.; Fischer, L.G.; Vooren, C.M.; Haimovici, M.; Rossi-Wongtschowski, C.L.D.B. Peixes da Zona Econômica Exclusiva da Região Sudeste do Brasil. Levantamento com Armadilhas, Pargueiras e Redes de Arrasto de Fundo; Series Documentos REVIZEE; Editora da Universidade de São Paulo: São Paulo, Brasil, 2005. [Google Scholar]
- Haimovici, M.; Ávila-da-Silva, A.O.; Rossi-Wongtschowski, C.L.D.B. Prospecção Pesqueira de Espécies Demersais com Espinhel de Fundo na Zona Econômica; Series Documentos REVIZEE; Editora da Universidade de São Paulo: São Paulo, Brasil, 2004. [Google Scholar]
- Dery, L.M. Red hake, Urophycis chuss. In Age Determination Methods for Northwest Atlantic Species; Pentilla, J., Dery, L.M., Eds.; NOAA Technical Report NMFS 72; National Marine Fisheries Service: Silver Spring, MD, USA, 1988; pp. 49–58. [Google Scholar]
- Casas, J.M.; Piñeiro, C. Growth and age estimation of greater fork-beard (Phycis blennoides Brünnich, 1768) in the north and northwest of the Iberian Peninsula (ICES division VIIIc and IXa). Fish. Res. 2000, 47, 19–25. [Google Scholar] [CrossRef]
- Matic-Skoko, J.; Ferri, J.; Skeljo, F.; Bartulovic, V.; Glavic, K.; Glamuzina, B. Age, growth and validation of otolith morphometrics as predictors of age in the forkbeard, Phycis phycis (Gadidae). Fish. Res. 2011, 112, 52–58. [Google Scholar] [CrossRef]
- Haimovici, M.; Ávila-da-Silva, A.O.; Fischer, L.G. Diagnóstico do estoque e orientações para o ordenamento da pesca de Urophycis mystacea (Ribeiro, 1903). In Análise das Principais Pescarias Comerciais da Região Sudeste-Sul do Brasil: Dinâmica Populacional das Espécies em Exploração—II; Rossi-Wongtschowski, C.L.D.B., Ávila-da-Silva, A.O., Cergole, M.C., Eds.; Series Documentos REVIZEE; Editora da Universidade de São Paulo: São Paulo, Brasil, 2006; pp. 86–94. [Google Scholar]
- Haimovici, M.; Rossi-Wongtschowski, C.L.D.B.; Bernardes, R.A.; Fisher, L.G.; Vooren, C.M.; Santos, R.A.; Rodrigues, A.R. Santos S 2008 Prospecção Pesqueira de Espécies Demersais com Rede de Arrasto-Defundo na Região Sudeste-Sul do Brasil; Series Documentos REVIZEE; Editora da Universidade de São Paulo: São Paulo, Brasil, 2008. [Google Scholar]
- Haimovici, M.; Martins, A.S.; Figueiredo, J.L.; Vieira, P.C. Demersal bony fish of the outer shelf and upper slope of the southern Brazil Subtropical Convergence Ecosystem. Mar. Ecol. Prog. Ser. 1994, 108, 59–77. [Google Scholar] [CrossRef]
- Perez, J.A.A.; Pezzuto, P.; Wahrlich, R.; Soares, A.L.S. Deep-water fisheries in Brazil: History, status, and perspectives. Lat. Am. J. Aquat. Res. 2009, 37, 513–541. [Google Scholar] [CrossRef]
- Trindade-Santos, I.; Freire, K.M.F. Analysis of reproductive patterns of fishes from three large marine ecosystems. Front. Mar. Sci. 2015, 2, 38. [Google Scholar] [CrossRef]
- Pio, V.M.; Pezzuto, P.R.; Wahrlich, R. Only two fisheries? Characteristics of the industrial bottom gillnet fisheries in southeastern and southern Brazil and their implications for management. Lat. Am. J. Aquat. Res. 2016, 44, 882–897. [Google Scholar]
- Oceana. Auditoria da Pesca Brasil 2023. 2023. Available online: https://brasil.oceana.org/wp-content/uploads/sites/23/Apendice-2-Estoques-Pesqueiros-2021_Final-1.pdf (accessed on 29 December 2024).
- Panfili, J.; de Pontual, H.; Troadec, H.; Wright, P.J. Otoliths: A tool for monitoring the environment. Developments in Aquac. Fish. Sci. 2002, 36, 123–150. [Google Scholar]
- Correia, A.T.; Moura, A.; Triay-Portella, R.; Santos, P.T.; Pinto, E.; Almeida, A.A.; Sial, A.N.; Muniz, A.A. Population structure of the chub mackerel (Scomber colias) in the NE Atlantic inferred from otolith elemental and isotopic signatures. Fish. Res. 2021, 234, 105785. [Google Scholar] [CrossRef]
- de Almeida PR, C.; da Costa, M.R.; Ribeiro AT, R.; Almeida, A.; Azevedo, R.; Monteiro-Neto, C.; Correia, A.T. Population structure and habitat connectivity of Pogonias courbina (Perciformes, Sciaenidae) in two Brazilian lagoon systems on south-east coast of Rio de Janeiro, Brazil, inferred from otolith shape and elemental signatures. J. Sea Res. 2024, 199, 102500. [Google Scholar] [CrossRef]
- Izzo, C.; Reis-Santos, P.; Gillanders, B.M. Otolith chemistry: Principles and applications in fishery science. Fish. Res. 2018, 208, 160–175. [Google Scholar] [CrossRef]
- Reis-Santos, P.; Tanner, S.E.; Vasconcelos, R.P.; Elsdon, T.S.; Cabral, H.N.; Gillanders, B.M. Connectivity between estuarine and coastal fish populations: Contributions of estuaries are not consistent over time. Mar. Ecol. Prog. Ser. 2013, 491, 177–186. [Google Scholar] [CrossRef]
- Santos, J.F.; Moreira, M.E.; Correia, A.T. Morphological variability in fish otoliths and its ecological implications. Mar. Ecol. Prog. Ser. 2017, 580, 123–134. [Google Scholar]
- Schroeder, R.; Schwingel, P.R.; Pinto, E.; Almeida, A.; Correia, A.T. Stock structure of the Brazilian sardine Sardinella brasiliensis from Southwest Atlantic Ocean inferred from otolith elemental signatures. Fish. Res. 2022, 248, 106192. [Google Scholar] [CrossRef]
- Daros, F.A.; Spach, H.L.; Sial, A.N.; Correia, A.T. Otolith fingerprints of the coral reef fish Stegastes fuscus in southeast Brazil: A useful tool for population and connectivity studies. Reg. Stud. Mar. Sci. 2016, 3, 262–272. [Google Scholar] [CrossRef]
- Adelir-Alves, J.; Daros, F.A.; Spach, H.L.; Soeth, M.; Correia, A.T. Otoliths as a tool to study reef fish population structure from coastal islands of South Brazil. Mar. Biol. Res. 2018, 14, 973–988. [Google Scholar] [CrossRef]
- Soeth, M.; Spach, H.L.; Daros, F.A.; Adelir-Alves, J.; Almeida AC, O.; Correia, A.T. Stock structure of Atlantic Spadefish Chaetodipterus faber from Southwest Atlantic Ocean inferred from otolith elemental and shape signatures. Fish. Res. 2018, 211, 81–90. [Google Scholar] [CrossRef]
- Biolé, F.G.; Thompson, G.A.; Vargas, C.V.; Leisen, M.; Barra, F.; Volpedo, A.V.; Avigliano, E. Fish stocks of Urophycis brasiliensis revealed by otolith fingerprint and shape in the Southwestern Atlantic Ocean. Coast. Mar. Sci. 2018, 229, 106406. [Google Scholar] [CrossRef]
- Figueiredo, J.L.; Menezes, N.A. Manuel dos Peixes Marinhos do Sudeste do Brasil. Vol (II): Teleostei (1); Museu de Zoologia da Universidade de São Paul: São Paulo, Brasil, 1978; pp. 44–45. [Google Scholar]
- Madureira, L.S.P.; Rossi-Wongtschowski, C.L.D.B. (Eds.) Prospecção de Recursos Pesqueiros Pelágicos na Zona Econômica Exclusiva da Região Sudeste-Sul do Brasil: Hidroacústica e Biomassas; Series Documentos REVIZEE; Editora da Universidade de São Paulo: São Paulo, Brasil, 2005. [Google Scholar]
- Iwata, H.; Ukai, Y. SHAPE: Um pacote de programa de computador para avaliação quantitativa de formas biológicas baseada em descritores de Fourier elípticos. J. Hered. 2002, 93, 384–385. [Google Scholar] [CrossRef] [PubMed]
- Ferguson, G.J.; Ward, T.M.; Gillanders, B.M. Otolith shape and elemental composition: Complementary tools for stock discrimination of mulloway (Argyrosomus japonicus) in southern Australia. Fish. Res. 2011, 110, 75–83. [Google Scholar] [CrossRef]
- Kuhl, F.P.; Giardina, C.R. Elliptic Fourier features of a closed contour. Comput. Graph. Image Process. 1982, 18, 236–258. [Google Scholar] [CrossRef]
- Rooker, J.; Zdanowicz, V.; Secor, D. Chemistry of tuna otoliths: Assessment of base composition and postmortem handling effects. Mar. Biol. 2001, 139, 35–43. [Google Scholar] [CrossRef]
- Patterson, H.M.; Thorrold, S.R.; Shenker, J.M. Analysis of otolith chemistry in Nassau grouper (Epinephelus striatus) from the Bahamas and Belize using solution-based ICP-MS. Coral Reefs 1999, 18, 171–178. [Google Scholar] [CrossRef]
- Sturgeon, R.E.; Willie, S.N.; Yang, L.; Greenberg, R.; Spatz, R.O.; Chen, Z.; Scriver, C.; Clancy, V.; Lam, J.W.; Thorrold, S. Certification of a fish otolith reference material in support of quality assurance for trace element analysis. J. Anal. At. Spectrom. 2005, 20, 1067–1071. [Google Scholar] [CrossRef]
- Higgins, R.; Isidro, E.; Menezes, G.; Correia, A. Otolith elemental signatures indicate population separation in deep-sea rockfish, Helicolenus dactylopterus and Pontinus kuhlii, from the Azores. J. Sea. Res. 2013, 83, 202–208. [Google Scholar] [CrossRef]
- de Almeida PR, C.; da Costa, M.R.; de Oliveira RS, C.; Almeida, A.; Azevedo, R.; Monteiro-Neto, C.; Correia, A.T. The use of the shape and chemistry of fish otoliths as a subpopulational discrimination tool for Eugerres brasilianus in lagoon systems in the Southwest Atlantic Ocean. Fish. Res. 2023, 267, 106795. [Google Scholar] [CrossRef]
- Campana, S.E.; Chouinard, G.A.; Hanson, J.M.; Frechet, A.; Brattey, J. Otolith elemental fingerprints as biological tracers of fish stocks. Fish. Res. 2000, 46, 343–357. [Google Scholar] [CrossRef]
- Correia, A.T.; Hamer, P.; Carocinho, B.; Silva, A. Evidence for meta-population structure of Sardina pilchardus in the Atlantic Iberian waters from otolith elemental signatures of a strong cohort. Fish. Res. 2014, 149, 76–85. [Google Scholar] [CrossRef]
- Vaz-dos-Santos, A.M.; Rautenberg, K.A.; Augusto, C.G.; Ballester, E.L.C.; Schwingel, P.R.; Pinto, E.; Almeida, A.; Correia, A.T. Geographic variation in Opisthonema oglinum (Lesueur, 1818) in the southeastern Brazilian Bight inferred from otolith shape and chemical signatures. Fishes 2023, 8, 234. [Google Scholar] [CrossRef]
- de Almeida, P.R.C.; Rodrigues da Costa, M.; Dias de Souza Coutinho, R.; Méndez-Vicente, A.; Pisonero Castro, J.; Monteiro-Neto, C.; de Almeida Tubino, R.; Correia, A.T. Use of otolith microchemistry signatures to assess the habitat use of Centropomus undecimalis in lagoon systems of the southwest Atlantic. Reg. Stud. Mar. Sci. 2024, 73, 103470. [Google Scholar] [CrossRef]
- Brandini, F.P.; Tura, P.M.; Santos, P.P. Ecosystem responses to biogeochemical fronts in the South Brazil Bight. Progr. Oceanogr. 2018, 164, 52–62. [Google Scholar] [CrossRef]
- da Silveira, I.C.A.; Napolitano, D.C.; Farias, I.U. Water Masses and Oceanic Circulation of the Brazilian Continental Margin and Adjacent Abyssal Plain. In Brazilian Deep-Sea Biodiversity; Sumida, P.Y.G., Bernardino, A.F., De Léo, F.C., Eds.; Springer: Cham, Switzerland, 2020. [Google Scholar]
- Piola, A.R.; Campos, E.J.; Möller, O.O., Jr.; Charo, M.; Martinez, C. Subtropical shelf front off eastern South America. J. Geophys. Res. Ocean. 2000, 105, 6565–6578. [Google Scholar] [CrossRef]
- Campos, E.J.; Mulkherjee, S.; Piola, A.R.; de Carvalho, F.M. A note on a mineralogical analysis of the sediments associated with the Plata River and Patos Lagoon outflows. Cont. Shelf Res. 2000, 28, 1687–1691. [Google Scholar] [CrossRef]
- Mahiques, M.M.; Tessler, M.G.; Ciotti, A.M.; da Silveira IC, A.; Sousa SH, D.M.; Figueira RC, L.; Tassinari, C.C.G.; Furtado, V.V.; Passos, R.F. Hydrodynamically driven patterns of recent sedimentation in the shelf and upper slope off Southeast Brazil. Cont. Shelf Res. 2004, 24, 1685–1697. [Google Scholar] [CrossRef]
- Nagai, R.; Ferreira, P.; Mulkherjee, S.; Martins, M.; Figueira, R.; Sousa, S.; Mahiques, M. Hydrodynamic controls on the distribution of surface sediments from the southeast South American continental shelf between 23 S and 38 S. Cont. Shelf Res. 2014, 89, 51–60. [Google Scholar] [CrossRef]
- Galley, E.A.; Wright, P.J.; Gibb, F.M. Combined methods of otolith shape analysis improve identification of spawning areas of Atlantic cod. ICES J. Mar. Sci. 2006, 63, 1710–1717. [Google Scholar] [CrossRef]
- Stransky, C.; Murta, A.G.; Schlickeisen, J.; Zimmermann, C. Otolith shape analysis as a tool for stock separation of horse mackerel (Trachurus trachurus) in the Northeast Atlantic and Mediterranean. Fish. Res. 2008, 89, 159–166. [Google Scholar] [CrossRef]
- Hoff, N.T.; Dias, J.F.; Pinto, E.; Almeida, A.; Schroeder, R.; Correia, A.T. Past and contemporaneous otolith fingerprints reveal potential anthropogenic interferences and allows refinement of the population structure of Isopisthus parvipinnis in the South Brazil Bight. Biology 2022, 11, 1005. [Google Scholar] [CrossRef] [PubMed]
- Santificetur, C.; Rossi-Wongtschowski, C.L.D. Sagittae otolith’s morphometry as a tool for analysis of population structure of the Urophycis mystacea Ribeiro, 1903 (Teleostei: Phycidae) from the Southeastern-Southern Brazil. Front. Mar. Sci. 2016, 3, 221. [Google Scholar] [CrossRef]
- Moreira, C.; Froufe, E.; Sial, A.N.; Caeiro, A.; Vaz-Pires, P.; Correia, A.T. Population structure of the blue jack mackerel (Trachurus picturatus) in the NE Atlantic inferred from otolith microchemistry. Fish. Res. 2018, 197, 113–122. [Google Scholar] [CrossRef]
- Thomas, O.R.B.; Swearer, S.E. Otolith Biochemistry—A Review. Rev. Fish. Sci. Aquac. 2019, 27, 458–489. [Google Scholar] [CrossRef]
- Campana, S.E. Chemistry and composition of fish otoliths: Pathways, mechanisms and applications. Mar. Ecol. Prog. Ser. 1999, 188, 263–297. [Google Scholar] [CrossRef]
- Sturrock, A.M.; Hunter, E.; Milton, J.A.; Eimf; Johnson, R.C.; Waring, C.P.; Trueman, C.N.; Eimf, E. Quantifying physiological influences on otolith microchemistry. Methods Ecol. Evol. 2015, 6, 806–816. [Google Scholar] [CrossRef]
- Hüssy, K.; Limburg, K.E.; De Pontual, H.; Thomas, O.R.; Cook, P.K.; Heimbrand, Y.; Blass, M.; Sturrock, A.M. Trace element patterns in otoliths: The role of biomineralization. Rev. Fish. Sci. Aquac. 2021, 29, 445–477. [Google Scholar] [CrossRef]
- Albuquerque, C.Q. Los otolitos como indicadores del ciclo de vida, de patrones poblacionales, y del uso y características ambientales de los ecosistemas. In Métodos de Estudios con Otolitos: Principios y Aplicaciones; Volpedo, A.V., Vaz-dos-Santos, A.M., Eds.; CAFP-PIESCI: Buenos Aires, Argentina, 2015; pp. 139–166. [Google Scholar]
- Miller, M.B.; Clough, A.M.; Batson, J.N.; Vachet, R.W. Transition metal binding to cod otolith proteins. J. Exp. Mar. Bio. Ecol. 2006, 329, 135–143. [Google Scholar] [CrossRef]
- Elsdon, T.S.; Wells, B.K.; Campana, S.E.; Gillanders, B.M.; Jones, C.M.; Limburg, K.E.; Secor, D.H.; Thorrold, S.R.; Walther, B.D. Otolith chemistry to describe movements and life-history parameters of fishes: Hypotheses, assumptions, limitations, and inferences. Oceanogr. Mar. Biol. 2008, 46, 297–330. [Google Scholar]
- He, S.; Xu, Y.J. Spatiotemporal distributions of Sr and Ba along an estuarine river with a large salinity gradient to the Gulf of Mexico. Water 2016, 8, 323. [Google Scholar] [CrossRef]
- Soeth, M.; Spach, H.L.; Daros, F.A.; Castro, J.P.; Correia, A.T. Use of otolith elemental signatures to unravel lifetime movement patterns of Atlantic spadefish, Chaetodipterus faber, in the Southwest Atlantic Ocean. J. Sea Res. 2020, 158, 101873. [Google Scholar] [CrossRef]
- Moreira, C.; Froufe, E.; Vaz-Pires, P.; Triay-Portella, R.; Méndez, A.; Castro, J.P.; Correia, A.T. Unravelling the spatial-temporal population structure of Trachurus picturatus across the North-East Atlantic using otolith fingerprinting. Coast. Mar. Sci. 2022, 272, 107860. [Google Scholar] [CrossRef]
- Peterson, R.G.; Stramma, L. Upper-level circulation in the South Atlantic Ocean. Prog. Oceanogr. 1991, 26, 1–73. [Google Scholar] [CrossRef]
- Stramma, L.; England, M. On the water masses and mean circulation of the South Atlantic Ocean. J. Geophys. Res. Ocean. 1999, 104, 20863–20883. [Google Scholar] [CrossRef]
- Tomczak, M.; Godfrey, J.S. Regional Oceanography: An Introduction; Daya Books: New Delhi, India, 2003. [Google Scholar]
- Elsdon, T.S.; Gillanders, B.M. Identifying migratory contingents of fish by combining otolith Sr: Ca with temporal collections of ambient Sr: Ca concentrations. J. Fish Biol. 2006, 69, 643–657. [Google Scholar] [CrossRef]
- Hamer, P.A.; Jenkins, G.P. Comparison of spatial variation in otolith chemistry of two fish species and relationships with water chemistry and otolith growth. J. Fish Biol. 2007, 71, 1035–1055. [Google Scholar] [CrossRef]
- Barnes, T.C.; Gillanders, B.M. Combined effects of extrinsic and intrinsic factors on otolith chemistry: Implications for environmental reconstructions. Can. J. Fish. Aquat. Sci. 2013, 70, 1159–1166. [Google Scholar] [CrossRef]
- Thomas, O.R.; Thomas, K.V.; Jenkins, G.P.; Swearer, S.E. Spatio-temporal resolution of spawning and larval nursery habitats using otolith microchemistry is element dependent. Mar. Ecol. Prog. Ser. 2020, 636, 169–187. [Google Scholar] [CrossRef]
- Schenone, N.F.; Volpedo, A.V.; Cirelli, A.F. Trace metal contents in water and sediments in Samborombón Bay wetland, Argentina. Wetl. Ecol. Manag. 2007, 15, 303–310. [Google Scholar] [CrossRef]
- Rosso, J.J.; Schenone, N.F.; Pérez Carrera, A.; Fernández Cirelli, A. Concentration of arsenic in water, sediments and fish species from naturally contaminated rivers. Environ. Geochem. Health 2013, 35, 201–214. [Google Scholar] [CrossRef] [PubMed]
- Avigliano, E.; Schenone, N.F. Human health risk assessment and environmental distribution of trace elements, glyphosate, fecal coliform, and total coliform in Atlantic rainforest mountain rivers (South America). Microchem. J. 2015, 122, 149–158. [Google Scholar] [CrossRef]
- Angeli JL, F.; Trevizani, T.H.; Ribeiro, A.; Machado ED, C.; Figueira RC, L.; Markert, B.; Fraenzie, S.; Wuenschmann, S. Arsenic and other trace elements in two catfish species from Paranaguá Estuarine Complex, Paraná, Brazil. Environ. Monit. Assess. 2013, 185, 8333–8342. [Google Scholar] [CrossRef]
- Avigliano, E.; Lozano, C.; Plá, R.R.; Volpedo, A.V. Toxic element determination in fish from Paraná River Delta (Argentina) by neutron activation analysis: Tissue distribution and accumulation and health risk assessment by direct consumption. J. Food Compos. Anal. 2016, 54, 27–36. [Google Scholar] [CrossRef]
- Gao, Y.; Baisch, P.; Mirlean, N.; Rodrigues da Silva Júnior, F.M.; van Larebeke, N.; Baeyens, W.; Leermakers, M. Arsenic speciation in fish and shellfish from the North Sea (southern bight) and Acu port area (Brazil) and health risks related to seafood consumption. Chemosphere 2018, 191, 89–96. [Google Scholar] [CrossRef] [PubMed]
- Erickson, R.J.; Mount, D.R.; Highland, T.L.; Hockett, J.R.; Jenson, C.T. The relative importance of waterborne and dietborne arsenic exposure on survival and growth of juvenile rainbow trout. Aquat. Toxicol. 2011, 104, 108–115. [Google Scholar] [CrossRef] [PubMed]
- Has-Schön, E.; Bogut, I.; Vuković, R.; Galović, D.; Bogut, A.; Horvatić, J. Distribution and age-related bioaccumulation of lead (Pb), mercury (Hg), cadmium (Cd), and arsenic (As) in tissues of common carp (Cyprinus carpio) and European catfish (Sylurus glanis) from the Buško Blato reservoir (Bosnia and Herzegovina). Chemosphere 2015, 135, 289–296. [Google Scholar] [CrossRef]
- Bubach, D.F.; Catán, S.P.; Baez, V.H.; Arribére, M.A. Elemental composition in rainbow trout tissues from a fish farm in Patagonia, Argentina. Environ. Sci. Pollut. Res. 2018, 25, 6340–6351. [Google Scholar] [CrossRef]
- Grammer, G.L.; Morrongiello, J.R.; Izzo, C.; Hawthorne, P.J.; Middleton, J.F.; Gillanders, B.M. Coupling biogeochemical tracers with fish growth reveals physiological and environmental controls on otolith chemistry. Ecol. Monogr. 2017, 87, 487–507. [Google Scholar] [CrossRef]
- Halden, N.M.; Friedrich, L.A. Trace-element distributions in fish otoliths: Natural markers of life histories, environmental conditions and exposure to tailings effluence. Mineral. Magazine. 2008, 72, 593–605. [Google Scholar] [CrossRef]
- Daros, F.A.; Condini, M.V.; Altafin, J.P.; de Oliveira Ferreira, F.; Hostim-Silva, M. Fish otolith microchemistry as a biomarker of the world’s largest mining disaster. Sci. Total Environ. 2022, 807, 151780. [Google Scholar] [CrossRef]
- Begg, G.A.; Cappo, M.; Cameron, D.S.; Boyle, S.; Sellin, M.J. Stock discrimination of school mackerel, Scomberomorus queenslandicus, and spotted mackerel, Scomberomorus munroi, in coastal waters of eastern Australia by analysis of minor and trace elements in whole otoliths. Fish. Bull. 1998, 96, 653–666. [Google Scholar]
- Mohan, J.; Rahman, M.S.; Thomas, P.; Walther, B. Influence of constant and periodic experimental hypoxic stress on Atlantic croaker otolith chemistry. Aquat. Biol. 2014, 20, 1–11. [Google Scholar] [CrossRef]
- Hoff, G.R.; Fuiman, L.A. Environmentally induced variation in elemental composition of red drum (Sciaenops ocellatus) otoliths. Bull. Mar. Sci. 1995, 56, 578–591. [Google Scholar]
- Gao, Y.; Feng, Q.; Ren, D.; Qiao, L.; Li, S. The relationship between trace elements in fish otoliths of wild carp and hydrochemical conditions. Fish. Physiol. Biochem. 2010, 36, 91–100. [Google Scholar] [CrossRef] [PubMed]
- Payan, P.; Edeyer, A.; de Pontual, H.; Borelli, G.; Boeuf, G.; Mayer-Gostan, N. Chemical composition of saccular endolymph and otolith in fish inner ear: Lack of spatial uniformity. Am. J. Physiol. Regul. Integr. Comp. Physiol. 1999, 277, R123–R131. [Google Scholar] [CrossRef] [PubMed]
- Tomás, J.; Geffen, A.J.; Millner, R.S.; Pineiro, C.G.; Tserpes, G. Elemental composition of otolith growth marks in three geographically separated populations of European hake (Merluccius merluccius). Mar. Biol. 2006, 148, 1399–1413. [Google Scholar] [CrossRef]
- Vaz-Dos-Santos, A.M.; dos Santos-Cruz, N.N.; de Souza, D.; Giombelli-Da-Silva, A.; Gris, B.; Rossi-Wongtschowski, C.L.D.B. Otoliths sagittae of Merluccius hubbsi: An efficient tool for the differentiation of stocks in the Southwestern Atlantic. Braz. J. Oceanogr. 2017, 65, 520–525. [Google Scholar] [CrossRef]
- Sturrock, A.M.; Trueman, C.N.; Darnaude, A.M.; Hunter, E. Can otolith elemental chemistry retrospectively track migrations in fully marine fishes? J. Fish Biol. 2012, 81, 766–795. [Google Scholar] [CrossRef]
- Morales-Nin, B.; Pérez-Mayol, S.; MacKenzie, K.; Catalán, I.A.; Palmer, M.; Kersaudy, T.; Mahé, K. European hake (Merluccius merluccius) stock structure in the Mediterranean as assessed by otolith shape and microchemistry. Fish. Res. 2022, 254, 106419. [Google Scholar] [CrossRef]



| Region | Latitude | Longitude | N | TL (mm) |
|---|---|---|---|---|
| North | 23°05′ S–26°46′ S | 042°03′ W–047°21′ W | 30 | 360.43 ± 30.92 |
| Center | 28°40′ S–31°07′ S | 047°01′ W–049°49′ W | 30 | 357.70 ± 32.59 |
| South | 31°07′ S–34°34′ S | 047°31′ W–052°01′ W | 30 | 363.00 ± 28.33 |
| EFD | ANOVA | Tukey Tests (p-Values) | ||||
|---|---|---|---|---|---|---|
| DF | F | p | N × C | N × S | C × S | |
| D1 | 2.87 | 12.41 | 0.000 | 0.419 | 0.000 | 0.002 |
| A2 | 2.87 | 1.59 | 0.210 | |||
| B2 | 2.87 | 2.01 | 0.140 | |||
| C2 | 2.87 | 1.40 | 0.252 | |||
| D2 | 2.87 | 4.16 | 0.019 | 0.014 | 0.234 | 0.438 |
| A3 | 2.87 | 4.03 | 0.021 | 0.725 | 0.020 | 0.122 |
| B3 | 2.87 | 0.40 | 0.673 | |||
| C3 | 2.87 | 0.55 | 0.580 | |||
| D3 | 2.87 | 0.15 | 0.864 | |||
| A4 | 2.87 | 0.63 | 0.536 | |||
| B4 | 2.87 | 1.82 | 0.168 | |||
| C4 | 2.87 | 0.55 | 0.579 | |||
| D4 | 2.87 | 2.91 | 0.060 | |||
| A5 | 2.87 | 2.89 | 0.061 | |||
| B5 | 2.87 | 2.49 | 0.089 | |||
| C5 | 2.87 | 0.16 | 0.852 | |||
| Real Location | Predicted Location | |||
|---|---|---|---|---|
| A | North | Center | South | % |
| North | 22 | 7 | 1 | 73 |
| Center | 8 | 19 | 3 | 63 |
| South | 1 | 8 | 21 | 70 |
| Total | 31 | 31 | 28 | 69 |
| B | North | Center | South | % |
| North | 19 | 6 | 5 | 63 |
| Center | 4 | 26 | 0 | 87 |
| South | 5 | 3 | 22 | 73 |
| Total | 28 | 35 | 327 | 74 |
| C | North | Center | South | % |
| North | 23 | 6 | 1 | 77 |
| Center | 1 | 28 | 1 | 93 |
| South | 2 | 3 | 25 | 83 |
| Total | 26 | 37 | 27 | 84 |
Disclaimer/Publisher’s Note: The statements, opinions and data contained in all publications are solely those of the individual author(s) and contributor(s) and not of MDPI and/or the editor(s). MDPI and/or the editor(s) disclaim responsibility for any injury to people or property resulting from any ideas, methods, instructions or products referred to in the content. |
© 2025 by the authors. Licensee MDPI, Basel, Switzerland. This article is an open access article distributed under the terms and conditions of the Creative Commons Attribution (CC BY) license (https://creativecommons.org/licenses/by/4.0/).
Share and Cite
Santificetur, C.; Rossi-Wongtschowski, C.L.D.B.; Ruperti, A.; Almeida, A.; Pinto, E.; Correia, A.T. Stock Structure of the Gulf Hake Urophycis cirrata (Teleostei: Phycidae) in South-Western Atlantic Using Otolith Shape and Elemental Analyses. Fishes 2025, 10, 63. https://doi.org/10.3390/fishes10020063
Santificetur C, Rossi-Wongtschowski CLDB, Ruperti A, Almeida A, Pinto E, Correia AT. Stock Structure of the Gulf Hake Urophycis cirrata (Teleostei: Phycidae) in South-Western Atlantic Using Otolith Shape and Elemental Analyses. Fishes. 2025; 10(2):63. https://doi.org/10.3390/fishes10020063
Chicago/Turabian StyleSantificetur, César, Carmen Lúcia Del Bianco Rossi-Wongtschowski, André Ruperti, Agostinho Almeida, Edgar Pinto, and Alberto Teodorico Correia. 2025. "Stock Structure of the Gulf Hake Urophycis cirrata (Teleostei: Phycidae) in South-Western Atlantic Using Otolith Shape and Elemental Analyses" Fishes 10, no. 2: 63. https://doi.org/10.3390/fishes10020063
APA StyleSantificetur, C., Rossi-Wongtschowski, C. L. D. B., Ruperti, A., Almeida, A., Pinto, E., & Correia, A. T. (2025). Stock Structure of the Gulf Hake Urophycis cirrata (Teleostei: Phycidae) in South-Western Atlantic Using Otolith Shape and Elemental Analyses. Fishes, 10(2), 63. https://doi.org/10.3390/fishes10020063

