You are currently on the new version of our website. Access the old version .
FishesFishes
  • Article
  • Open Access

19 October 2025

Short-Term Feeding with Hesperozygis ringens Essential Oil Modulates Transportation-Induced Physiological Responses in Colossoma macropomum

,
,
,
,
,
,
,
,
and
1
Laboratório de Aquicultura, Departamento de Zootecnia, Universidade Federal de Minas Gerais (UFMG), Belo Horizonte 31270-901, MG, Brazil
2
Post-Graduate Program in Animal Husbandry, Universidade Federal de Santa Maria, Avenida Roraima, 1000, Santa Maria 97105-900, RS, Brazil
3
Departamento de Fisiologia e Farmacologia, Universidade Federal de Santa Maria, Avenida Roraima, 1000, Santa Maria 97105-900, RS, Brazil
4
Programa de Pós-Graduação em Engenharia Florestal, Universidade Federal de Santa Maria, Avenida Roraima, 1000, Santa Maria 97105-900, RS, Brazil
This article belongs to the Special Issue Use of Essential Oils in Aquaculture

Abstract

Hesperozygis ringens essential oil (HREO), rich in pulegone and limonene, has potential application in aquaculture due to its beneficial properties. This study evaluated the effects of dietary supplementation with HREO (0.0, 0.75, 1.0, and 2.0 g HREO kg feed−1) for 30 days on the physiological responses of Colossoma macropomum before and after a simulated 4 h transport. Fish were sampled at four time points: before transport (Basal), immediately after transport (IAT), and at 24 h (AT24) and 48 h (AT48) post-transport. Growth performance and survival (>96%) were not affected by HREO. Hemoglobin concentration, mean corpuscular hemoglobin concentration (MCHC), and intestinal coefficient showed significant responses to dietary HREO. After transport, survival was 100% for all treatments, and hematological and biochemical parameters varied according to dose and recovery time, with 2.0 g HREO kg feed−1 showing the most consistent benefits, such as stabilization of hemoglobin, MCHC, and plasma proteins during recovery at AT24 and AT48. Water quality parameters did not differ between treatments at transportation end. These findings suggest that dietary HREO may contribute to enhance the physiological responses to transport in C. macropomum, supporting its potential use as a sustainable nutritional strategy.
Key Contribution:
Pre-transport feeding with Hesperozygis ringens essential oil improved the physiological stress responses of Colossoma macropomum during transportation, facilitating enhanced adaptation and recovery.

1. Introduction

Fish farming has become increasingly intensive with the aim of increasing production [1,2], and the interest in more controlled systems has grown, mainly due to the advantages of smaller occupied area, greater biosecurity, and environmental benefits compared to conventional systems [3,4,5]. In intensive fish farming, factors like constant management, water parameter variation, and the high stocking density may lead to stress, which is a potentially harmful factor for fish growth and health [6]. Stressors cause behavioral changes such as increased aggressiveness, leading to greater metabolic demands and changes in fish feeding behavior [7]. Such conditions can generate significant levels of stress in aquatic organisms [8,9,10].
Another management that can generate stress in animals is the transportation of live fish, a fundamental step in the production chain. It is also a stressor since it alters the physical and chemical parameters of the water, while the duration of transportation and the loading density can also influence its success [11,12,13]. If transportation is conducted correctly and variations in water quality are minimized, stress can be reduced [14,15]. The preparation of fish for transportation is also a factor that can minimize stress and prevent mortalities after transport [16]. In this sense, the use of essential oils (EOs), complex natural mixtures of volatile and lipophilic substances, secondary metabolites of plants [17], commonly found in aromatic plants [18], can play a significant role in promoting the health, growth, and improvement in the metabolism of farmed fish [19]. Currently, the use of EOs has been a good alternative to mitigate the effects of stress by reducing the loss of ions and other physiological and biochemical responses [20,21,22].
The increase in research on the use of EOs in aquaculture is due to the growing need for alternatives to the chemicals used in intensive production, whether as anesthetics, antibiotics, antiparasitics, or performance enhancers, which may cause losses due to environmental contamination and bacterial drug resistance [23,24,25]. In addition, EOs are more accessible and sustainable, have low toxicity, and present fewer side effects [19]. EOs are composed of bioactive substances that may offer several beneficial properties to crops, acting as immunostimulants [26], including antibacterial and antifungal actions [17,25], stress-reducing effects [27,28], and animal growth stimulation [29].
Hesperozygis ringens (Lamiaceae) is a shrubby plant endemic to southern Brazil [25]. Its main active compounds are pulegone (95.18%) and limonene (1.28%) [30]. This EO has potential application in fish farming [25,31,32,33], being studied mainly as an anesthetic [27,31,32], antibacterial [23], antiparasitic, and antioxidant [25]. However, studies on the use of the EO of H. ringens (HREO) and its influences on hematological parameters and animal performance are still needed. Pulegone, the main compound of HREO, is also the main compound of the EOs of Mentha pulegium and Mentha spicata, whose dietary supplementation presented conflicting growth results in rainbow trout, Oncorhynchus mykiss [34], and common carp, Cyprinus carpio [35].
Tambaqui (Colossoma macropomum) belongs to the Characidae family, the most diverse among Neotropical fish [36]. It is endemic to the Amazon basin [37] and the main freshwater species produced in South America due to characteristics such as easy reproduction, domesticability [38], hardiness, and performance, in addition to a promising consumer market [39]. This species has also shown adaptation to more intensive cultivation in recirculating aquaculture systems (RASs) [40,41,42,43]. However, despite the species being quite resistant to cultivation conditions, excessive handling can impair its health [44].
Thus, the aim of the research was to investigate how the inclusion of the EO from H. ringens leaves in the diet can modulate the hematological (hemoglobin, erythrocytes, hematocrit, MCV, MCH, and MCHC), biochemical (triglycerides, glucose, cholesterol, and total proteins), and enzymatic (ALT and AST) responses of C. macropomum juveniles reared in RASs when subjected to transport.

2. Materials and Methods

2.1. Oil Extraction

The essential oil used in this study was collected in 2022, and fresh leaves yielded 3.85% oil. The EO used was extracted through 3 h hydrodistillation using a Clevenger-type apparatus [30]. After extraction and sample preparation for gas chromatography analysis, the essential oil is always transferred to a freezer and stored at subzero temperatures, resulting in little variation in chemical composition. We reanalyzed the chemical composition of the essential oil, using the analytical parameters described [30], and the components detected were pulegone (93.72%), menthone (3.46%), limonene (1.53%), and menthol (1.39%).

2.2. Study Location, Pre-Transport Conditions, and Animals

The research was conducted at the Federal University of Minas Gerais (UFMG, Brazil) at the Aquaculture Laboratory (LAQUA) and was approved by the UFMG Animal Use Ethics Committee (CEUA/UFMG-n° 193/2023).
Two hundred and twenty-four juveniles of C. macropomum (4.09 ± 0.007 g and 6.31 ± 0.06 cm) were randomly distributed at a density of 14 fish per tank (0.5 fish L−1) in 16 circular tanks with 28 L of useful volume maintained in a recirculating aquaculture system (RAS). The RAS consisted of a mechanical and biological filter, supplementary aeration, and temperature control [45]. The feed used in the experiment contained 35% crude protein (Table 1) (Supplementary Table S1) and was supplied at 10% [46] of the biomass in two daily meals (8:00 a.m. and 4:00 p.m.). H. ringens essential oil (HREO) was mixed with canola oil during the elaboration of the feed, with the following treatments, with 4 replicates for each treatment distributed in a completely randomized design: HR0.0—0.0 g (control); HR0.75—0.75 g; HR1.0—1 g; and HR2.0—2 g HREO kg of feed−1. As there are no studies regarding dietary supplementation with HREO, the doses chosen were based on a study with other essential oils and the same fish species [47] and within the range tested with other EOs in which pulegone was the main compound [34,35]. During the 30-day pre-transport feeding period, the tanks were cleaned three times a week to remove excess organic matter, and the water quality parameters were analyzed daily during the morning period before the first feeding of the day. Dissolved oxygen (4.92 ± 0.34 mg L−1) was measured using portable HI9146-04 equipment (HANNA® Instruments, São Paulo, Brazil Exp. E Imp. LTDA). pH (6.98 ± 0.14), salinity (0.15 ± 0.01 g of salt L−1), conductivity (0.29 ± 0.01 mS cm−1), and temperature (28.32 ± 0.47 °C) were measured using a portable HI98130 equipment (HANNA® Instruments, São Paulo, Brazil Exp. E Imp. LTDA). Total ammonia was assessed using the colorimetric kit (Alcon/LabconTest, Irvine, CA, USA) and was kept below 0.25 mg L−1.
Table 1. Composition of control diet.

2.3. Zootechnical Performance: Pre-Transport Period

The weight gain and growth of the fish were determined through biometric measurements performed after 10, 20, and 30 days of feeding. The weight was obtained using a Marte digital scale (Marte Científica, São Paulo, Brazil) with 0.001 g precision, and the length using a caliper with 0.01 mm precision. The weight gain (WG), daily weight gain (DWG), apparent feed conversion (FCR), daily specific growth rate (SGR), and survival were calculated with the obtained data:
WG: Final weight − Initial weight;
DWG (g): Weight gain (g)/experiment time (days);
FCR: Total feed intake (g)/weight gain (g);
SGR (% day−1): 100 × (lnPf − lnPi)/interval between biometrics (days), where Pi is the initial weight, Pf is the final weight;
Survival (%): (final number of fish/initial number of fish) × 100.

2.4. Blood Analysis

After 30 days, the animals were fasted for 24 h. Then, three animals from each tank (n = 12 animals per treatment) were anesthetized with 50 mg L−1 of eugenol (20 mL of concentrated clove oil diluted in 60 mL of absolute ethanol, Biodinâmica®, Ibiporã, Brazil) [48] for blood collection through venipuncture in the caudal vertebral artery. Between 300 and 500 μL of blood was collected in a heparinized syringe (HEPAMAX-S®, Blau Farmacêutica S/A, São Paulo, Brazil; 5000 IU/mL) and, subsequently, 10% heparin was added in relation to the volume of blood collected. Of the whole blood, 10 μL was used to determine the hemoglobin concentrations (LABTEST, Delta, BC, Canada (Bioclin®)), followed by reading in a spectrophotometer (Bioclin 100) and part was used to determine the hematocrit by the microhematocrit method [49] using capillary tubes. The number of erythrocytes was assessed by diluting 10 μL of whole blood with heparin in 2 mL of citrate formalin and then counting in a Neubauer chamber.
The remaining aliquots of whole blood were centrifuged (1792 g-force for 10 min) to separate the plasma. The plasma samples were used to evaluate cholesterol, triglycerides, glucose, alanine aminotransferase (ALT), and aspartate aminotransferase (AST) using commercial kinetic UV kits (Bioclin®, Belo Horizonte, Brazil; batch no. 0121/0124, respectively) (Bioclin®), followed by reading in a spectrophotometer (Bioclin 100). Total plasma protein was determined after breaking the microhematocrit tube, where the plasma was placed in an analog refractometer (0 to 90% Brix-RHB0-90) (Formis Instrumentos de Medição—LTDA, São Paulo, Brazil).
The hematimetric indices, i.e., mean corpuscular volume (MCV), mean corpuscular hemoglobin (MCH), and mean corpuscular hemoglobin concentration (MCHC), were calculated according to the following formulas [50]:
MCV (fL) = (Hematocrit × 10)/(No. of erythrocytes (×106 μL−1));
MCH (pg) = (Hemoglobin concentration × 10/(No. of erythrocytes (×106 μL−1));
MCHC (g dL−1) = (Hemoglobin concentration × 100)/Hematocrit.

2.5. Viscerosomatic and Hepatosomatic Indices

After blood collection, the fish were euthanized with a solution containing 285 mg L−1 of eugenol [51] to determine the hepatosomatic index (HSI), intestinal coefficient (IC), and viscerosomatic index (VSI) using the following formulas:
HSI (%) = 100 × (liver weight (g)/body weight (g));
IC = intestine length (cm)/total fish length (cm);
VSI (%) = 100 × (visceral weight (g)/body weight (g)).

2.6. Transport Experiment

After biometrics, 160 juveniles were selected, 40 animals from each treatment (10 fish per tank). These animals were kept in the tanks fasting for an additional 24 h to recover from the biometric stress. Then, 10 fish from each treatment were anesthetized with 50 mg L−1 of eugenol [48] and submitted to blood collection, thus constituting the basal group. The remaining fish (n = 30 fish/treatment) were placed in plastic transport bags (40 × 60 cm) containing 8 L of water and oxygen added in the proportion of 3 parts of oxygen to 1 part of water, with each individual being considered a replicate. The transport simulation lasted 4 h, during which the plastic bags were placed inside a 1000 L empty tank and the tank was manually shaken for 10 s every 10 min to mimic vehicle movement. At the end of this period, the bags were opened and water quality parameters were measured. Then, 40 fish (n = 10 fish/treatment) underwent blood collection as previously described, constituting the immediately after transportation (IAT) group. The remaining 80 fish were returned to the same 28 L circular tanks in the RAS where they had been maintained throughout the experimental period, for recovery and kept for 48 h. These tanks presented the same water quality conditions as during the experimental phase. During this period, the animals were not fed and after 24 h (AT24) (n = 10 fish/treatment) and 48 h (AT48) (n = 10 fish/treatment), they were anesthetized with 50 mg L−1 of eugenol [48] and underwent blood collection. Each animal had its blood collected once.

2.7. Statistical Analysis

All data were checked for homogeneity of variances and normality of residuals using Levene’s test and the Shapiro–Wilk test, respectively. If the assumptions were not met, the data were transformed, and the ANOVA requirements were assessed again. The growth variables, blood tests, intestinal coefficient, and viscerosomatic and hepatosomatic indices were subjected to ANOVA, followed by regression analysis. Data related to transport were subjected to two-way ANOVA to compare concentrations (HR0.0, HR0.75, HR1.0, and HR2.0) and collection times (Basal, IAT, AT24, and AT48) and the interaction of factors (concentrations and collection times), followed by Tukey’s post hoc test with a significance level of 5% probability. All data were analyzed using SAS statistical software, version 9.4 (SAS Institute Inc., Cary, NC, USA).

3. Results

3.1. Pre-Transport Period

No significant differences were recorded for W, TL, WG, DWG, SGR, FCR, biomass, or survival after 10, 20, and 30 days of cultivation (p > 0.05) (Table 2).
Table 2. Growth (mean ± standard error of mean) of juveniles of Colossoma macropomum fed for 30 days with diets containing different doses of essential oil of Hesperozygis ringens (HREO).
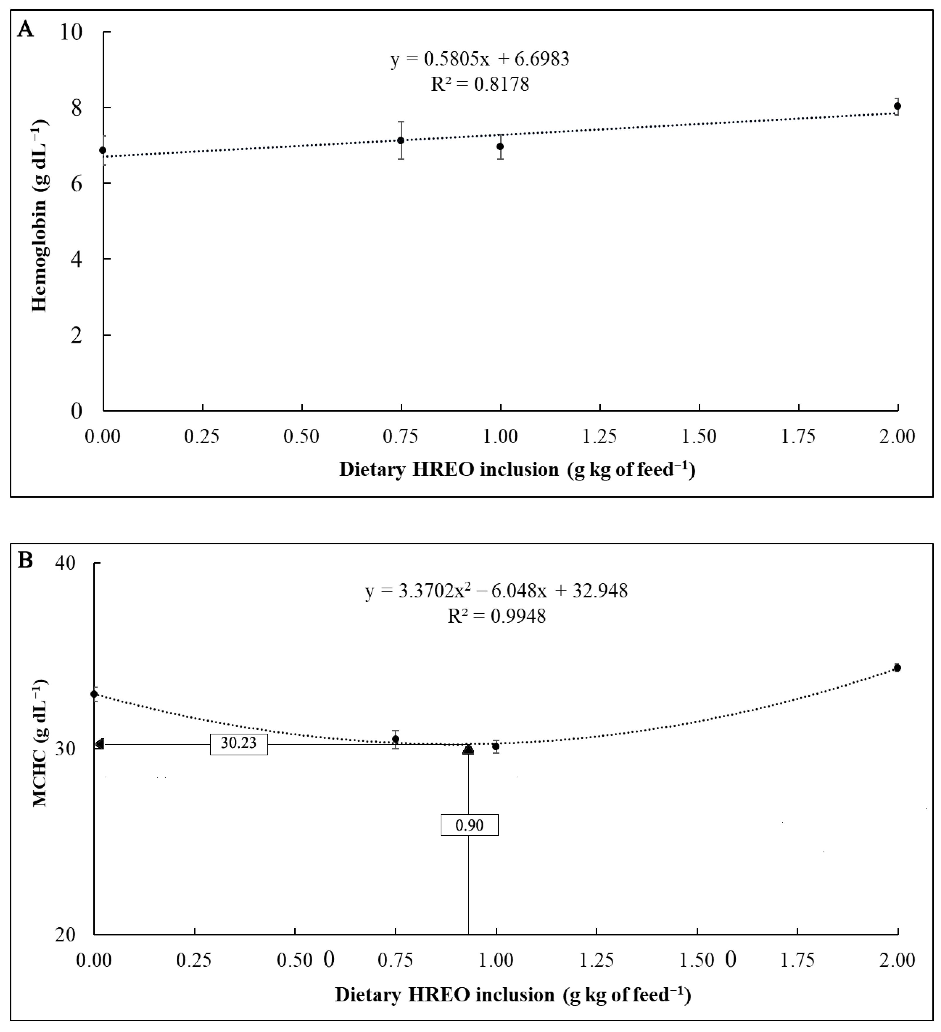
After 30 days of feeding, the hemoglobin concentration showed a direct relationship with the increase in HREO in the diet (p = 0.0367) (Figure 1A), while the MCHC showed a quadratic response with a lower value estimated by the derivative of the equation at 0.90 g HREO kg feed−1 (Figure 1B). The other hematological and biochemical parameters were similar between treatments (p > 0.05) (Table 3).
Figure 1. Hemoglobin (A) and MCHC (B) (mean ± standard error of mean) of C. macropomum juveniles after 30 days of feeding with diets containing different concentrations of H. ringens essential oil. MCHC: mean corpuscular hemoglobin concentration.
Table 3. Hematological and blood biochemical parameters (mean ± standard error of mean) of juvenile C. macropomum fed for 30 days with diets containing different concentrations of essential oil of H. ringens (HREO).
HSI and VSI were similar between treatments (p > 0.05) (Table 4). The IC showed a direct relationship with the increase in HREO in the diets (p = 0.0330) (Figure 2).
Table 4. Somatic indices (mean ± standard error of mean) of C. macropomum juveniles after 30 days of feeding with diets containing different concentrations of essential oil of H. ringens (HREO).
Figure 2. Intestinal coefficient (mean ± standard error of mean) of C. macropomum juveniles after 30 days of feeding with diets containing different concentrations of H. ringens essential oil.

3.2. Transport Experiment Results

The water parameters did not show significant differences (p > 0.05) between the different doses of HREO immediately after transport (Table 5).
Table 5. Water quality parameters (mean ± standard error of mean) immediately after simulated 4 h transport of C. macropomum juveniles after 30 days of feeding with diets containing different concentrations of essential oil of H. ringens (HREO).
Hemoglobin, hematocrit, erythrocyte count, MCV, MCH, and MCHC were all affected by the interaction between HREO concentrations and collection times (p < 0.05) (Table 6). At the HR0.0 concentration, hemoglobin concentration was reduced at AT48 (p < 0.05). In the HR0.75 group, transport caused a reduction at AT24, with no recovery to basal levels (p < 0.05). For HR1.0, hemoglobin values at AT24 and AT48 were lower than IAT but did not differ from basal (p < 0.05). In the HR2.0 group, hemoglobin decreased at AT24 compared to IAT, but at AT48, values did not differ from either basal or IAT (p < 0.05). No differences among HREO concentrations were observed at basal and IAT (p > 0.05). At AT24, the highest hemoglobin concentration was recorded in HR0.0, whereas the lowest values occurred in HR0.75 and HR2.0 (p < 0.05). At AT48, the highest concentration was observed in fish fed HR0.75 (p < 0.05). The concentrations HR0.0, HR1.0, and HR2.0 provided more stability throughout the collection times, with hemoglobin levels not showing significant differences from basal values (Table 6).
Table 6. Interaction of factors for hematological parameters (mean ± standard error of mean) of C. macropomum juveniles subjected to simulated transport after 30 days of feeding with diets containing different doses of essential oil of H. ringens (HREO).
The highest hematocrit values at the HR0.0 dose were found at IAT and AT24 and the lowest at AT48 (p < 0.05) (Table 6). Transport caused a decrease in hematocrit at AT24, but with recovery of the basal level at AT48 at the doses of H0.75 and HR2.0. There was a reduction in hematocrit at IAT, without reestablishment of the initial basal condition at the other collection times at the HR1.0 dose (p < 0.05). When comparing the same collection time for the different HREO doses, basal had the highest hematocrit value at HR0.75 and HR1.0 and the lowest at HR0.0 and HR2.0 (p < 0.05). There was no difference between the concentrations for IAT (p > 0.05). The highest hematocrit value was at HR0.0 and the lowest at HR2.0 at AT24 (p < 0.05). In AT48, the highest value was found at HR0.75 and the lowest at HR0.0 (p < 0.05). In 48 h, the animals of the treatment HR1.0 were not able to make necessary physiological adjustments to return to basal conditions.
The number of erythrocytes increased in fish fed HR0.0 at AT24, without recovery to the basal condition at AT48 (p < 0.05). In fish fed HR0.75 and HR1.0, the highest value was observed at AT48, with the other times being similar to each other (p < 0.05) (Table 6). At these concentrations, the animal’s response to increase circulating erythrocytes was delayed when compared to the HR0.0 and HR2.0 treatments. At the HR2.0 dose, there was an increase in values at AT24, with the peak of the response observed at AT48 (p < 0.05). There was no difference between the doses at the basal and IAT collection times (p > 0.05). At AT24, the highest value was in fish fed HR0.0 (p < 0.05). At AT48, the lowest value was found at HR0.0 (p < 0.05).
The MCV in fish fed the HR0.0 dose presented the lowest value at AT24, with no recovery of the basal level at AT48 (p < 0.05) (Table 6). There was a reduction in the values at AT24 for HR0.75, remaining the same at AT48 (p < 0.05). There was also a reduction in the values for HR1.0 and HR2.0 at AT24, with the lowest value observed at AT48 (p < 0.05). At the basal and IAT collection times, there was no difference between the HREO doses (p > 0.05). For the AT24 time, the highest value was found at HR1.0 and the lowest at HR0.0 (p < 0.05). At this time, the HR0.0 concentration showed a more abrupt decrease in this parameter when compared to the treatments containing HREO. At AT48, the highest value was at HR0.0, with the other doses being similar to each other (p < 0.05).
There was a reduction in the MCH values for fish fed at HR0.0 at AT24 and AT48, with no recovery to the basal level (p < 0.05) (Table 6). Transport resulted in a lower MCH value for HR0.75 at AT24, followed by an increase at AT48, but was not able to reestablish the initial condition (p < 0.05). There was also a reduction in values for HR1.0 and HR2.0 at AT24, but the lowest response was observed at AT48 (p < 0.05). At basal and IAT times, there was no difference between the HREO doses (p > 0.05). At AT24, the highest value was at HR1.0 and the lowest at HR0.0, while at AT48, the highest value was found at HR0.75 and the lowest at HR2.0 (p < 0.05).
The MCHC values of fish fed HR0.0 remained stable until AT24, but at AT48, there was a reduction in values (p < 0.05) (Table 6). At HR0.75, the highest value was at AT48 and the lowest at basal (p < 0.05). For HR1.0, the highest value was observed in IAT with recovery to basal levels at AT24 and remaining stable at AT48 (p < 0.05). The values of fish fed HR2.0 remained stable in IAT compared to basal (p > 0.05); however, in AT24, there was an increase in values (p < 0.05), followed by the reestablishment of the initial condition in AT48 (p > 0.05). In basal and IAT times, there was no difference between the doses (p > 0.05). For AT24, the highest value was observed in HR2.0 (p < 0.05). In AT48, the highest value was in HR0.75 and the lowest in HR0.0 (p < 0.05).
Only the effect of collecting time affected blood glucose, with the highest value for IAT and the lowest for AT24 and AT48 (p < 0.05) (Table 7). Total protein and triglycerides showed an effect of concentration, collection time, and interaction of the factors (p < 0.05). There was an effect of collecting time and interaction between the factors for cholesterol, ALT, and AST (p < 0.05).
Table 7. Blood biochemical parameters (mean ± standard error of mean) of C. macropomum juveniles subjected to simulated transport after 30 days of feeding with diets containing different doses of essential oil of H. ringens (HREO).
The transport caused a reduction in plasma protein levels at HR0.0 and HR1.0, with the lowest values observed at AT48 (p < 0.05). At HR0.75 and HR2.0, there was a reduction in values only at AT24 (p < 0.05), reestablishing the initial condition at AT48 (p > 0.05); these concentrations supported the return to homeostasis. When comparing the same collection times for the different doses of HREO, basal and IAT showed no differences between the different doses of HREO (p > 0.05). The highest value of total proteins was observed at HR0.0 and the lowest at HR0.75 and HR2.0 at AT24 (p < 0.05). For AT48, the highest value was at HR0.75, with the other doses of HREO being similar to each other (p < 0.05) (Table 8).
Table 8. Interaction of factors for blood biochemical parameters (mean ± standard error of mean) of C. macropomum juveniles subjected to simulated transport after 30 days of feeding with diets containing different doses of essential oil of H. ringens (HREO).
At the HR0.0 dose, the lowest triglyceride value was observed at AT48 (p < 0.05). Transportation also caused a reduction in triglyceride levels in fish fed HR0.75, with the lowest level observed at AT24, without recovery to basal conditions (p < 0.05). For HR1.0, there was also a reduction in levels after transportation, with the lowest value observed at AT48 (p < 0.05). For HR2.0, transportation resulted in a decrease in levels at IAT, which remained the same until AT48 (p < 0.05), indicating a more stabilized response in this treatment. The highest value found at basal was HR0.75 (p < 0.05). For IAT, the highest value was at HR0.0 and the lowest at HR1.0 and HR2.0 (p < 0.05). The highest value at AT24 was found at HR1.0 and the lowest at HR2.0 (p < 0.05). The highest triglyceride value at AT48 was found at HR0.75 and the lowest at HR0.0 and HR1.0 (p < 0.05) (Table 8).
Transport triggered an increase in cholesterol levels for fish fed HR0.0 at IAT and AT24 (p < 0.05), returning to the initial condition at AT48 (p >0.05). There was a reduction in cholesterol levels for HR0.75 at AT24 (p < 0.05), with no recovery to basal values at AT48 (p < 0.05). There was a reduction in levels for HR1.0 at AT24 compared to IAT, but when compared to baseline, all times were similar (p > 0.05). There was a similar response for HR2.0, with a reduction in levels at AT24 and AT48 compared to IAT (p < 0.05), but all times were similar to baseline (p > 0.05). No significant difference was identified between the doses at basal and IAT (p > 0.05), but at AT24, the highest value was recorded for HR0.0, while at AT48, the highest value was for HR0.75 (p < 0.05). Fish fed HR1.0 and HR2.0 showed fluctuations in cholesterol levels, but the values did not differ from the basal levels (Table 8).
There was an increase in ALT levels for HR0.0 at AT24 and AT48 compared to baseline and IAT (p < 0.05). Transport caused an increase in ALT levels for HR0.75 at AT24 compared to IAT (p < 0.05). There was an increase in ALT levels for HR1.0 at AT24 compared to IAT, but AT48 was similar to all sampling times (p < 0.05). There was no difference between the times analyzed at the HR2.0 dose (p > 0.05), indicating that this treatment maintained consistent values during the collection period. The basal, IAT, and AT24 times did not show any difference between the HREO doses (p > 0.05). At AT48, the highest ALT value was found in HR0.0 and the lowest in HR2.0 (p < 0.05) (Table 8).
There was an increase in AST levels for HR0.0 at AT24 and AT48 compared to baseline and IAT (p < 0.05). There was an increase in AST levels for HR0.75 at AT24 compared to IAT, with recovery to basal values at AT48 (p < 0.05). There was no difference between the times analyzed at the HR1.0 dose (p > 0.05). Transportation caused a reduction in AST levels for HR2.0 at AT48 (p < 0.05). At baseline, HR2.0 showed the highest AST value compared to HR0.0 and HR1.0 (p < 0.05). IAT and AT24 times did not show any difference between the HREO doses (p > 0.05). At AT48, the lowest value was found at HR2.0 (p < 0.05) (Table 8).

4. Discussion

The present study evaluated for the first time dietary supplementation with HREO for C. macropomum in the pre-transport period. Although the different inclusion levels did not influence growth, survival, and most hematological and biochemical parameters, differences were observed for hemoglobin, MCHC, and intestinal coefficient. However, after transport, different physiological responses were observed between HREO doses.

4.1. Pre-Transport Period Performance

During the feeding period, the different doses of HREO did not affect survival, with values above 96%. Similar results were found with survival above 98% in C. macropomum fed diets containing different doses of the EO from Lippia sidoides [52]. The same result was observed with survival above 98% in juvenile C. macropomum fed diets containing the EO from ginger (Zingiber officinale) [47]. Dietary supplementation with three EOs (L. grata, L. origanoides, and Ocimum gratissimum) did not induce any mortality for C. macropomum [53]. The authors also obtained 100% survival for C. macropomum fed EO from Croton conduplicatus [54]. Considering the results obtained, the incorporation of small doses of EOs into the diet of C. macropomum for up to 30 days does not seem to affect animal survival.
Supplementation with different doses of HREO also did not influence the evaluated zootechnical performance parameters in C. macropomum. This response corroborates previous findings [47], which also showed no growth differences in the same species fed with EO from Z. officinale. Common carp (Cyprinus carpio) fed with menthol for 30 days showed no increase in growth [55]. However, some EOs improved fish growth, such as 0.5 mL EO Nectandra grandiflora kg feed−1 for 30 days in C. macropomum [46]. Similarly, positive effects were observed on the performance of Oncorhynchus mykiss fed diets supplemented with EO from Myrtus communis and Satureja khuzistanica [56], and the EO from Mentha piperita increased the growth of Rutilus frisii [57]. The variability in the observed responses may be due to factors such as physiological differences between the species studied, doses used, and the specific chemical composition of each EO, suggesting that the efficacy of EOs as growth promoters depends on the species and composition of the EO used.
The FCR observed in this study remained between 1.04 and 1.73 during the experimental period. In O. niloticus (average weight of 3.04 g), higher FCR values (1.75 and 1.89) were observed using EOs from Cymbopogon citratus and Pelargonium graveolens [58]. However, the values decreased proportionally to the increase in EO incorporated. In studies with C. macropomum (average weight of 24.16 g), researchers reported FCR values between 1.28 and 1.38 when using Z. officinale [47], similar to those found in the present study. On the other hand, working with larger C. macropomum (173.5 g) and different EOs (L. grata, L. origanoides, and O. gratissimum) resulted in higher FCR values (1.89–2.86) [53]. These results may indicate that the variation in FCR can be attributed to factors such as the concentration and chemical composition of EO, as well as the different developmental stages of the fish as recorded for C. macropomum fed with N. grandiflora [46].
Dietary treatments with HREO did not result in significant differences in hematocrit, erythrocyte, MCV, MCH, total proteins, glucose, cholesterol, triglycerides, ALT, or AST. However, changes in hemoglobin and MCHC levels were observed. Hemoglobin was directly related to the increase in HREO in the diet, corroborating previous findings of increased hemoglobin in juvenile C. macropomum in response to the increase in dietary Z. officinale EO [47]. Similarly, higher hemoglobin values were observed in treatments containing EO from Allium sativum compared to the control group in Asian sea bass (Lates calcarifer) [59]. Recent findings [54] reported increased hemoglobin and MCHC in C. macropomum in the treatment containing 1.0 mL C. conduplicatus EO kg feed−1, although this was not the highest dose tested. Regarding MCHC, a quadratic response was observed with a lower value estimated by the derivative of the equation at 0.90 g kg feed−1 of HREO. This result is similar to previous observations [60] of lower MCHC values at intermediate doses of Z. officinale (5.0 g kg feed−1) and O. gratissimum (5.0 and 10.0 g kg feed−1) EOs in Nile tilapia (O. niloticus), although without changes in hemoglobin values. Different responses were previously reported [61], with no differences found for hemoglobin and MCHC when testing different concentrations of O. basilicum EO in O. niloticus diet. Similarly, no effects of dietary M. piperita EO on MCHC were detected in C. macropomum [62]. The increase in hemoglobin and MCHC associated with the elevation of HREO suggests a potential improvement in oxygen transport capacity, considering that these parameters are directly responsible for the transport of this molecule. These results indicate that HREO may exert a positive influence on these specific hematological parameters, although its mechanism of action has to be clarified.
HSI and VSI did not show differences between treatments, suggesting that the inclusion of HREO in the diets did not interfere with the development of the liver and viscera. Similar results were reported [63], with no changes in HSI observed in Sciaenops ocellatus fed different doses of O. americanum EO. Similarly, no differences in HSI and VSI were found [64] in O. mykiss fed diets supplemented with laurel seed (Laurus nobilis) EO. The absence of variations in VSI and HSI observed in the present study suggests that regardless of the doses of HREO used in the diet of C. macropomum, they provided adequate conditions for the metabolism of the animals, without causing impairment of liver functions or changes in the visceral proportion. Even though pulegone is recognized as a hepatotoxic compound that acts through glutathione depletion, potentially causing hepatomegaly and alterations in hepatic perfusion [65], liver size was not altered in the present study.
In contrast, the IC was directly related to the increase in HREO in the diet. Consequently, there is evidence that this EO may be able to increase the absorption and assimilation of nutrients as observed in Brycon amazonicus fed diets supplemented with Minthostachys mollis EO [66], since a more developed intestine has a larger absorption surface area, in agreement with that recorded in C. macropomum [52] and other species such as C. carpio [67,68] and O. niloticus [69,70,71].

4.2. Transport Experiment Discussion

Handling during fish transportation represents one of the most critical moments in aquaculture, being recognized as an important stressor capable of triggering several physiological changes [15,72]. In the present study, no mortality was recorded during the experiment. However, changes were recorded in hematological and biochemical parameters that may reflect an adaptive response of C. macropomum juveniles to transportation stress when fed with different doses of HREO. The evaluation of the physical and chemical indicators of the water is a fundamental aspect to ensure the effectiveness of fish transportation [72]. The water quality parameters remained within the optimal levels for C. macropomum [73].
Hemoglobin was higher and similar to basal at IAT for HR0.0, HR1.0, and HR2.0, indicating a physiological imbalance in response to transport, probably associated with greater oxygen demand during this period [74,75]. This initial increase reflects the attempt to meet the high metabolic needs, aiming to restore physiological balance and ensure adequate oxygen supply to the organs [76]. At the same doses at AT48, the values are like basal levels. However, the contrary was observed in C. macropomum supplemented with β-glucan and transported for 3 h, which showed a tendency to return to basal values after 24 h [77]; in the present study, with transport for 4 h, hemoglobin levels decreased at AT24 in fish fed HR0.75, remaining below the basal value. This reduction in hemoglobin concentration associated with the decrease in MCV may reflect the osmoregulatory imbalance caused by transport, while the increase at AT48 may be related to the increase in the number of erythrocytes.
There was a reduction in hematocrit at AT24 in the HR0.75 and HR2.0 treatments. Lower hematocrit values after transportation were also found [78] in B. amazonicus. The decrease in hematocrit may be related to hemodilution, a phenomenon also described in previous studies [79] with tambacus (C. macropomum × Piaractus mesopotamicus) exposed to stress from repetitive fishing. This response may be a mechanism to regulate blood viscosity and maintain adequate flow in the tissues in the face of stress. The same may have occurred in the HR1.0 treatment, since after transportation, at all collection times, hematocrit values were below basal values. However, at the HR0.75 and HR2.0 doses, at AT48, hematocrit values returned to basal values. This response may indicate that these doses of HREO may have had a beneficial effect, helping to return to homeostasis. Since there are still no specific studies on the incorporation of HREO in the diet for comparison with the data from the present study, the variations observed in the hematocrit results may be attributed to the different types of EO used and their doses and the different species of fish evaluated.
The increase in the number of erythrocytes was more significant at AT48 in treatments with HREO. This result corroborates the study [80], where there was an increase in erythrocytes after the use of Aloysia triphylla EO in O. niloticus for 45 days. This increase may be due to the release of reserve cells from the spleen or the increased production of new erythrocytes to improve oxygen transport capacity [81,82]. These results suggest a compensatory mechanism, since hemoglobin levels decreased across all treatments during the collection times, despite the differences already discussed. In the HR0.0 group, however, erythrocyte values increased at AT24 but decreased at AT48, without returning to basal levels. This oscillation may indicate physiological adjustments in search of a return to homeostasis.
The hematometric indices (MCV, MCH, and MCHC) revealed variations that evidence adaptations in the morphology and function of erythrocytes during the transport. The reduction in MCV and MCH observed at AT24 and AT48 at all HREO concentrations and in the control treatment corroborates previous studies [83] with Mugil cephalus, which identified a decrease in MCV and MCH, associated with high levels of erythrocytes and hematocrit. This change reflects the influence of environmental conditions on blood parameters, suggesting that fish develop adaptive physiological responses to maintain homeostasis during stressful situations, such as transport, which can compromise their hematological integrity [84]. An increase in MCHC at IAT and a return to basal values at AT24 and AT48 was observed in fish fed HR1.0. At the HR2.0 concentration, the increase was recorded at AT24, along with the tendency to return to basal values at AT48. In contrast, no differences in MCHC values were recorded [85] for O. niloticus fed with M. piperita. These results may indicate that HREO and higher levels of it favored a faster return to homeostasis. The increase in this parameter demonstrates the need for physiological adjustment to improve oxygen circulation in the body in the face of transport [53].
Glucose showed differences only for collection times. The transport process may be responsible for inducing gluconeogenesis and glycogenolysis [72]. In the present study, an increase in plasma glucose was observed at IAT. This increase may be the organism’s initial response to short-term acute stress, in the search for energy for the animal’s “fight or flight” reaction [86]. A decrease in plasma glucose was observed at AT24 and AT48. The decrease in glycemia may occur when there is a greater demand for energy to maintain biochemical and blood homeostasis [54]. This behavior was also observed [87] in O. mossambicus fed with Citrus sinensis when exposed to Streptococcus iniae. Similar responses were found [88] using Thymus vulgaris and Foeniculum vulgare EOs in O. mykiss exposed to Yersinia ruckeri. Furthermore, according to the authors cited above, this response can be attributed to the ability of EO to reduce the effects of stress.
Variations in total proteins revealed important changes at different times and concentrations of HREO. Total plasma protein is considered an essential component of nonspecific immunity [89]. Changes in plasma volume, especially under stress conditions, can modify total protein levels in plasma [90]. The doses of HR0.75 and HR2.0 demonstrated greater recovery capacity at AT48, with a return to basal values. These results indicate the potential of these doses of HREO to perform a more efficient modulation of stress processes. Protein values decreased at AT48 in fish fed HR0.0 and HR1.0, demonstrating that these treatments would possibly require more time for the animals to recover. The authors of [85] recorded higher averages of total plasma proteins in O. niloticus fed with M. x piperita compared to the treatment with the control diet (diet + alcohol) when exposed to S. agalactiae. The decrease in plasma protein concentration may be associated with the hemodilution effect, resulting from the ionic disturbance due to dealing with the changes caused by transport [91].
There was a reduction in plasma triglyceride levels over time for all treatments. There was a tendency for recovery at AT48 for the HR0.75 dose, while at the other doses, values did not show signs of returning to basal values. Unlike triglycerides, cholesterol levels showed more variable behavior. An initial increasing tendency was observed in most doses, followed by oscillations. Similar behavior was described before [92] in a study with Z. officinale EO incorporated into the diet of O. mossambicus, as well using C. sinensis EO for O. mossambicus [87], which revealed that the use of EO tended to reduce triglyceride and cholesterol levels in the fish studied. Similarly, a reduction in plasma cholesterol levels in O. niloticus when Z. officinale EO was added to the diet was observed [93]. Increased gill permeability can modify plasma volume, resulting in changes in total protein concentration [91]. These responses involve the degradation of body reserves, including liver glycogen, muscle lipids, and proteins [94]. As a direct consequence of these metabolic processes, biochemical markers such as cholesterol and triglycerides can present significant variations, being considered important physiological indicators of stress in fish [95].
The results of this study revealed a dynamic profile of plasma ALT levels in C. macropomum juveniles subjected to transport. At AT48, the levels of this parameter tended to decrease, suggesting metabolic adaptation of the fish to the initial stress of transport. There was an increase in the levels of this enzyme at AT24 and AT48 in fish fed HR0.0 and HR0.75, which may indicate liver damage. There was a tendency to return to basal levels at AT48 at the HR1.0 dose, and at HR2.0, no differences were observed in ALT levels regardless of the collection time. In a study with O. niloticus fed diets containing A. sativum [96], a decrease in serum levels of plasma ALT was reported. In contrast, researchers [97] stated that the increase in plasma ALT indicates organ dysfunction, corroborating results of higher levels of ALT in Oplegnathus punctatus when subjected to transport [98], in addition to finding that this activity is responsible for affecting liver functions through changes in the structure of hepatocytes and inducing oxidative damage. This response indicates an interaction between transport and EO supplementation, demonstrating physiological adaptation of juveniles to stress. Based on these results, it is assumed that higher levels of HREO in the diet over the 30 days of feeding promoted greater liver protection in animals when subjected to transport. Therefore, it is likely that the 30-day feeding period with HREO was not long enough for potential hepatotoxic effects of pulegone to manifest as well as the use of low dietary inclusion levels (≤2 g HREO kg feed−1).

5. Conclusions

Dietary supplementation with H. ringens essential oil did not affect the growth or survival of juvenile C. macropomum during the 30-day pre-transport period, although higher IC, hemoglobin, and MCHC values were observed. Nevertheless, supplementation at 2.0 g HREO kg−1 feed improved the recovery of key hematological and biochemical parameters after transport, indicating enhanced resilience. These results highlight the potential of HREO as a nutritional strategy to support fish performance during transport in aquaculture. Further studies are recommended to validate these findings under commercial transport conditions and to include endocrine biomarkers.

Supplementary Materials

The following supporting information can be downloaded at: https://www.mdpi.com/article/10.3390/fishes10100532/s1. Table S1: Data from some of the feed ingredients (according to manufacturers).

Author Contributions

T.B.M.: conceptualization, methodology, validation, formal analysis, investigation, data curation, investigation, writing—original draft, writing—review and editing, visualization, supervision. W.J.d.F.M.: conceptualization, methodology, validation, formal analysis, investigation, visualization. S.d.S.S.: conceptualization, methodology, validation, formal analysis, data curation, investigation, visualization. I.d.M.C.A.: conceptualization, methodology, investigation. N.C.S.d.S.: conceptualization, methodology, validation, formal analyses, investigation. G.C.F.: conceptualization, methodology, validation, formal analysis, investigation, visualization. S.N.D.: conceptualization, methodology, validation, investigation. B.B.: conceptualization, methodology, validation, investigation. C.G.P.: conceptualization, methodology, validation, investigation. B.M.H.: conceptualization, methodology, validation, investigation. R.K.L.: project administration, supervision, resources, investigation, conceptualization, methodology, validation, formal analysis, investigation, data curation, writing—original draft, writing—review and editing, visualization, funding acquisition. All authors have read and agreed to the published version of the manuscript.

Funding

This research was funded by Conselho Nacional de Desenvolvimento Científico e Tecnológico (CNPq-Brasil—402952/2021-9, 308547/2018-7, 301816/2022-0); Fundação de Amparo à Pesquisa do Estado de Minas Gerais (FAPEMIG-Brasil); and Coordenação de Aperfeiçoamento de Pessoal de Nível Superior (CAPES-Brasil—finance code 001).

Institutional Review Board Statement

The study was conducted in accordance with the guidelines of the Declaration of Helsinki, and the animal study protocol was approved by the UFMG Animal Use Ethics Committee (CEUA/UFMG-n° 193/2023; 25 September 2023).

Data Availability Statement

The data supporting the results of this study are available from the author Thamara Bentivole Magalhães upon reasonable request.

Conflicts of Interest

The authors declare no conflicts of interest.

References

  1. Hu, Z.; Lee, J.W.; Chandran, K.; Kim, S.; Sharma, K.; Brotto, A.C.; Khanal, S.K. Nitrogen transformations in intensive aquaculture system and its implication to climate change through nitrous oxide emission. Bioresour. Technol. 2013, 130, 314–320. [Google Scholar] [CrossRef] [PubMed]
  2. Oddsson, G.V. A Definition of Aquaculture Intensity Based on Production Functions—The Aquaculture Production Intensity Scale (APIS). Water 2020, 12, 765. [Google Scholar] [CrossRef]
  3. Crab, R.; Defoirdt, T.; Bossier, P.; Verstraete, W. Biofloc technology in aquaculture: Beneficial effects and future challenges. Aquaculture 2012, 356–357, 351–356. [Google Scholar] [CrossRef]
  4. Lima, J.F.; Montagner, D.; Duarte, S.S.; Yoshioka, E.T.O.; Dias, M.K.R.; Tavares-Dias, M. Recirculating system using biological aerated filters on tambaqui fingerling farming. Pesq. Agropec. Bras. 2019, 54, e00294. [Google Scholar] [CrossRef]
  5. Ahmed, N.; Turchini, G.M. Recirculating aquaculture systems (RAS): Environmental solution and climate change adaptation. J. Clean Prod. 2021, 297, 126604. [Google Scholar] [CrossRef]
  6. Lin, W.; Li, L.; Chen, J.; Li, D.; Hou, J.; Guo, H.; Shen, J. Long-term crowding stress causes compromised nonspecific immunity and increases apoptosis of spleen in grass carp (Ctenopharyngodon idella). Fish Shellfish Immunol. 2018, 80, 540–545. [Google Scholar] [CrossRef]
  7. Lefrançois, C.; Claireaux, G.; Mercier, C.; Aubin, J. Effect of density on the routine metabolic expenditure of farmed rainbow trout (Oncorhynchus mykiss). Aquaculture 2001, 195, 269–277. [Google Scholar] [CrossRef]
  8. Coyle, S.D.; Durborow, R.M.; Tidwell, J.H. Anesthetics in Aquaculture; Southern Regional Aquaculture Center Publication: College Station, TX, USA, 2004; Volume 3900, pp. 1–6. [Google Scholar]
  9. Ross, L.G.; Ross, B. Anaesthetic and Sedative Techniques for Aquatic Animals, 3rd ed.; Blackwell Publishing: Scotland, UK, 2008; ISBN 978-1-4051-4938-9. [Google Scholar]
  10. Jerez-Cepa, I.; Ruiz-Jarabo, I. Physiology: An important tool to assess the welfare of aquatic animals. Biology 2021, 10, 61. [Google Scholar] [CrossRef]
  11. Manuel, R.; Boerrigter, J.; Roques, J.; van der Heul, J.; van den Bos, R.; Flik, G.; van de Vis, H. Stress in African catfish (Clarias gariepinus) following overland transportation. Fish Physiol. Biochem. 2014, 40, 33–44. [Google Scholar] [CrossRef]
  12. Santos, E.L.R.; Rezende, F.P.; Moron, S.E. Stress-related physiological and histological responses of tambaqui (Colossoma macropomum) to transportation in water with tea tree and clove essential oil anesthetics. Aquaculture 2020, 523, 735164. [Google Scholar] [CrossRef]
  13. Zhang, T.; Zhang, L.; Yin, T.; You, J.; Liu, R.; Huang, Q.; Shi, L.; Wang, L.; Liao, T.; Wang, W.; et al. Recent understanding of stress response on muscle quality of fish: From the perspective of industrial chain. Trends Food Sci. Technol. 2023, 140, 104145. [Google Scholar] [CrossRef]
  14. Nair, V.R.; Parvathy, U.; Jithin, T.J.; Binsi, P.K.; Ravishankar, C.N. Live transportation of food fishes: Current scenario and future prospects. Curr. Sci. 2023, 124, 418–425. [Google Scholar] [CrossRef]
  15. Luz, R.K.; Favero, G.C. Use of salt, anesthetics, and stocking density in transport of live fish: A review. Fishes 2024, 9, 286. [Google Scholar] [CrossRef]
  16. Lim, L.C.; Dhert, P.; Sorgeloos, P. Recent developments and improvements in ornamental fish packaging systems for air transport. Aquac. Res. 2003, 34, 923–935. [Google Scholar] [CrossRef]
  17. Karpiński, T.M. Essential oils of Lamiaceae family plants as antifungals. Biomolecules 2020, 10, 103. [Google Scholar] [CrossRef]
  18. Sousa, D.P.; Damasceno, R.O.S.; Amorati, R.; Elshabrawy, H.A.; de Castro, R.D.; Bezerra, D.P.; Nunes, V.R.V.; Gomes, R.C.; Lima, T.C. Essential Oils: Chemistry and Pharmacological Activities. Biomolecules 2023, 13, 1144. [Google Scholar] [CrossRef]
  19. Zhu, F. A review on the application of herbal medicines in the disease control of aquatic animals. Aquaculture 2020, 526, 735422. [Google Scholar] [CrossRef]
  20. Biswal, A.; Srivastava, P.P.; Pal, P.; Gupta, S.; Varghese, T.; Jayant, M. A multi-biomarker approach to evaluate the effect of sodium chloride in alleviating the long-term transportation stress of Labeo rohita fingerlings. Aquaculture 2021, 531, 735979. [Google Scholar] [CrossRef]
  21. Brandão, F.R.; Farias, C.F.S.; Souza, D.C.M.; de Oliveira, M.I.B.; de Matos, L.V.; Majolo, C.; de Oliveira, M.R.; Chaves, F.C.M.; O’Sullivan, F.L.A.; Chagas, E.C. Anesthetic potential of the essential oils of Aloysia triphylla, Lippia sidoides and Mentha piperita for Colossoma macropomum. Aquaculture 2021, 534, 736275. [Google Scholar] [CrossRef]
  22. Oliveira, I.C.; Oliveira, R.S.M.; Lemos, C.H.D.; Pereira, L.R.; Santana, F.M.S.; Albinati, R.C.B.; Almeida, A.P. Essential oils from Cymbopogon citratus and Lippia sidoides in the anesthetic induction and transport of ornamental fish Pterophyllum scalare. Fish Physiol. Biochem. 2022, 48, 501–519. [Google Scholar] [CrossRef] [PubMed]
  23. Yap, P.S.; Yiap, B.C.; Ping, H.C.; Lim, S.H. Essential oils, a new horizon in combating bacterial antibiotic resistance. Open Microbiol. J. 2014, 8, 6–14. [Google Scholar] [CrossRef]
  24. Boijink, C.L.; Queiroz, C.A.; Chagas, E.C.; Chaves, F.C.M.; Inoue, L.A.K. Anesthetic and anthelminthic effects of clove basil (Ocimum gratissimum) essential oil for tambaqui (Colossoma macropomum). Aquaculture 2016, 457, 24–28. [Google Scholar] [CrossRef]
  25. Bandeira-Junior, G.; Pês, T.S.; Saccol, E.M.; Sutili, F.J.; Rossi, W., Jr.; Murari, A.L.; Heinzmann, B.M.; Pavanato, M.A.; de Vargas, A.C.; Silva, L.L.; et al. Potential uses of Ocimum gratissimum and Hesperozygis ringens essential oils in aquaculture. Ind. Crops Prod. 2017, 97, 484–491. [Google Scholar] [CrossRef]
  26. Bento, M.H.L.; Ouwehand, A.C.; Tiihonen, K.; Lahtinen, S.; Nurminen, P.; Saarinen, M.T.; Schulze, H.; Mygind, T.; Fischer, J. Essential oils and their use in animal feeds for monogastric animals—Effects on feed quality, gut microbiota, growth performance and food safety: A review. Vet. Med. 2013, 58, 449–458. [Google Scholar] [CrossRef]
  27. Aydin, B.; Barbas, L.A.L. Sedative and anesthetic properties of essential oils and their active compounds in fish: A review. Aquaculture 2020, 520, 734999. [Google Scholar] [CrossRef]
  28. Miura, P.T.; Queiroz, S.C.N.; Jonsson, C.M.; Chagas, E.C.; Chaves, F.C.M.; Reyes, F.G. Study of the chemical composition and ecotoxicological evaluation of essential oils in Daphnia magna with potential use in aquaculture. Aquac. Res. 2021, 52, 3415–3424. [Google Scholar] [CrossRef]
  29. Dawood, M.A.O.; El Basuini, M.F.; Zaineldin, A.I.; Yilmaz, S.; Hasan, M.T.; Ahmadifar, E.; El Asely, A.M.; Abdel-Latif, H.M.R.; Alagawany, M.; Abu-Elala, N.M.; et al. Antiparasitic and antibacterial functionality of essential oils: An alternative approach for sustainable aquaculture. Pathogens 2021, 10, 185. [Google Scholar] [CrossRef]
  30. Toni, C.; Becker, A.G.; Simões, L.N.; Pinheiro, C.G.; Silva, L.L.; Heinzmann, B.M.; Caron, B.O.; Baldisserotto, B. Fish anesthesia: Effects of the essential oils of Hesperozygis ringens and Lippia alba on the biochemistry and physiology of silver catfish (Rhamdia quelen). Fish Physiol. Biochem. 2014, 40, 701–714. [Google Scholar] [CrossRef]
  31. Ferreira, A.L.; dos Santos, F.A.C.; Souza, A.S.; Gonçalves, R.G.; Pedras, P.P.C.; Palheta, G.D.A.; Heinzmann, B.M.; Luz, R.K. Efficacy of Hesperozygis ringens essential oil as an anesthetic and for sedation of juvenile tambaqui (Colossoma macropomum) during simulated transport. Aquac. Int. 2022, 30, 1549–1561. [Google Scholar] [CrossRef]
  32. Ferreira, A.L.; Souza, A.D.S.; Santos, F.A.C.D.; Pinheiro, C.G.; Favero, G.C.; Heinzmann, B.M.; Baldisserotto, B.; Luz, R.K. Hesperozygis ringens essential oil as an anesthetic for Colossoma macropomum during biometric handling. Ciênc. Rural 2023, 53, e20220264. [Google Scholar] [CrossRef]
  33. Rosa, I.A.; Bianchini, A.E.; Bressan, C.A.; Ferrari, F.T.; Ariotti, K.; Mori, N.C.; Baldisserotto, B.; Heinzmann, B.M. Redox profile of silver catfish challenged with Aeromonas hydrophila and treated with hexane extract of Hesperozygis ringens (Benth.) Epling through immersion bath. An. Acad. Bras. Cienc. 2024, 96, e20230188. [Google Scholar] [CrossRef]
  34. Sönmez, A.Y.; Bilen, S.; Albayrak, M.; Yılmaz, S.; Biswas, G.; Hisar, O.; Yanık, T. Effects of dietary supplementation of herbal oils containing 1, 8-cineole, carvacrol or pulegone on growth performance, survival, fatty acid composition, and liver and kidney histology of rainbow trout (Oncorhynchus mykiss) fingerlings. Turkish J. Fish. Aquat. Sci. 2015, 15, 813–819. [Google Scholar] [CrossRef]
  35. Yousefi, M.; Adineh, H.; Ghadamkheir, M.; Hashemianfar, S.A.M.; Yilmaz, S. Effects of dietary Pennyroyal essential oil on growth performance, digestive enzymes’ activity, and stress responses of common carp, Cyprinus carpio. Aquac. Rep. 2023, 30, 101574. [Google Scholar] [CrossRef]
  36. Mirande, J.M. Phylogeny of the family Characidae (Teleostei: Characiformes): From characters to taxonomy. Neotrop. Ichthyol. 2010, 8, 385–568. [Google Scholar] [CrossRef]
  37. Amanajás, R.D.; Val, A.L. Thermal biology of tambaqui (Colossoma macropomum): General insights for aquaculture in a changing world. Rev. Aquac. 2023, 15, 480–490. [Google Scholar] [CrossRef]
  38. Valladão, G.M.R.; Gallani, S.U.; Pilarski, F. South American fish for continental aquaculture. Rev. Aquacult. 2018, 10, 351–369. [Google Scholar] [CrossRef]
  39. Val, A.L.; de Oliveira, A.M. Colossoma macropomum—A tropical fish model for biology and aquaculture. J. Exp. Zool. A Ecol. Integr. Physiol. 2021, 335, 761–770. [Google Scholar] [CrossRef]
  40. Santos, F.A.; Boaventura, T.P.; da Costa Julio, G.S.; Cortezzi, P.P.; Figueiredo, L.G.; Favero, G.C.; Palheta, G.D.A.; Luz, R.K. Growth performance and physiological parameters of Colossoma macropomum in a recirculating aquaculture system (RAS): Importance of stocking density and classification. Aquaculture 2021, 534, 736274. [Google Scholar] [CrossRef]
  41. Santos, F.A.C.; da Costa Julio, G.S.; Batista, F.S.; Miranda, L.N.L.; Pedras, P.P.C.; Luz, R.K. High stocking densities in the larviculture of Colossoma macropomum in a recirculating aquaculture system: Performance, survival and economic viability. Aquaculture 2022, 552, 738016. [Google Scholar] [CrossRef]
  42. Ananias, I.D.M.C.; Silva, S.D.S.; Santos, F.A.C.D.; Souza, A.D.S.; Magalhães, T.B.; Reis, P.A.R.; Boaventura, T.P.; Luz, R.K. Tambaqui production at different stocking densities in RAS: Growth and physiology. Fishes 2023, 9, 19. [Google Scholar] [CrossRef]
  43. Boaventura, T.P.; de Oliveira, C.G.; dos Santos, F.A.C.; de Oliveira Correia, R.; dos Santos Silva, S.; Souza, A.S.; Palheta, G.D.A.; Luz, R.K. Use of the essential oil of Thymus vulgaris (thyme) and its nanoemulsion as an anesthetic during the cultivation of tambaqui (Colossoma macropomum): Anesthesia induction and recovery curve, physiology, performance, and feed consumption. Aquac. Int. 2024, 32, 9375–9939. [Google Scholar] [CrossRef]
  44. Morais, I.S.; O’Sullivan, F.A. Biologia, habitat e cultivo do tambaqui Colossoma macropomum (CUVIER, 1816). Sci. Amaz. 2017, 6, 81–93. [Google Scholar]
  45. Silva, W.D.E.; Ferreira, A.L.; Neves, L.C.; Ferreira, N.S.; Palheta, G.D.A.; Takata, R.; Luz, R.K. Effects of stocking density on survival, growth and stress resistance of juvenile tambaqui (Colossoma macropomum) reared in a recirculating aquaculture system (RAS). Aquac. Int. 2021, 29, 609–621. [Google Scholar] [CrossRef]
  46. Santos, F.A.; Batista, F.S.; Souza, A.S.; Julio, G.S.; Favero, G.C.; Junior, J.F.; Luz, R.K. Growth performance and histomorphology of intestine, skin, gills and liver of juvenile Colossoma macropomum fed diets containing different levels of the essential oil of Nectandra grandiflora. Fishes 2023, 8, 509. [Google Scholar] [CrossRef]
  47. Chung, S.; Ribeiro, K.; Teixeira, D.V.; Copatti, C.E. Inclusion of essential oil from ginger in the diet improves physiological parameters of tambaqui juveniles (Colossoma macropomum). Aquaculture 2021, 543, 736934. [Google Scholar] [CrossRef]
  48. Ferreira, A.L.; Bonifácio, C.T.; Souza Silva, W.; Favero, G.C.; Takata, R.; Luz, R.K. Anesthesia with eugenol and menthol for juvenile Piaractus brachypomus (Cuvier, 1818): Induction and recovery times, ventilatory frequency and hematological and biochemical responses. Aquaculture 2021, 544, 737076. [Google Scholar] [CrossRef]
  49. Goldenfarb, P.B.; Bowyer, F.P.; Hall, E.; Brosious, E. Reproducibility in the hematology laboratory: The microhematocrit determination. Am. J. Clin. Pathol. 1971, 56, 35–39. [Google Scholar] [CrossRef]
  50. Wintrobe, M.M. Anemia: Classification and treatment on the basis of differences in the average volume and hemoglobin content of the red corpuscles. Arch. Intern. Med. 1934, 54, 256–280. [Google Scholar] [CrossRef]
  51. Mattioli, C.C.; Takata, R.; Leme, F.D.O.P.; Costa, D.C.; Melillo Filho, R.; Silva, W.D.S.; Luz, R.K. Effects of acute and chronic exposure to water salinity in juveniles of the freshwater carnivorous catfish Lophiosilurus alexandri. Aquaculture 2017, 481, 255–266. [Google Scholar] [CrossRef]
  52. Copatti, C.E.; Felix e Silva, A.; Lorenzo, V.P.; da Costa, M.M.; Melo, J.F.B. Addition of lemongrass essential oil to tambaqui (Colossoma macropomum) diet: Effects on growth, intestinal enzymes, hematological and metabolic variables, and antimicrobial challenge. Aquac. Res. 2022, 53, 5656–5666. [Google Scholar] [CrossRef]
  53. Oliveira, M.I.B.; Brandão, F.R.; Tavares-Dias, M.; Barbosa, B.C.N.; Rocha, M.J.S.; Matos, L.V.; Chagas, E.C. Essential oils of Ocimum gratissimum, Lippia grata and Lippia origanoides are effective in the control of the acanthocephalan Neoechinorhynchus buttnerae in Colossoma macropomum. Aquaculture 2024, 578, 740043. [Google Scholar] [CrossRef]
  54. Pereira, G.A.; Copatti, C.E.; Rocha, A. Physiological and growth responses of tambaqui (Colossoma macropomum) fed Croton conduplicatus essential oil and challenged with Aeromonas hydrophila. Vet. Res. Commun. 2025, 49, 58. [Google Scholar] [CrossRef] [PubMed]
  55. Hoseini, S.M.; Yousefi, M.; Hoseinifar, S.H.; Van Doan, H. Antioxidant, enzymatic and hematological responses of common carp (Cyprinus carpio) fed with myrcene- or menthol-supplemented diets and exposed to ambient ammonia. Aquaculture 2019, 506, 246–255. [Google Scholar] [CrossRef]
  56. Mohamadi-Saei, M.; Beiranvand, K.; Khalesi, M.K.; Mehrabi, F. Effects of dietary savory and myrtle essential oils on growth, survival, nutritional indices, serum biochemistry, and hematology of farmed rainbow trout, Oncorhynchus mykiss, fry. J. World Aquac. Soc. 2016, 47, 779–785. [Google Scholar] [CrossRef]
  57. Adel, M.; Amiri, A.A.; Zorriehzahra, J.; Nematolahi, A.; Esteban, M.Á. Effects of dietary peppermint (Mentha piperita) on growth performance, chemical body composition and hematological and immune parameters of fry Caspian white fish (Rutilus frisii kutum). Fish Shellfish Immunol. 2015, 45, 841–847. [Google Scholar] [CrossRef]
  58. Al-Sagheer, A.A.; Mahmoud, H.K.; Reda, F.M.; Mahgoub, S.A.; Ayyat, M.S. Supplementation of diets for Oreochromis niloticus with essential oil extracts from lemongrass (Cymbopogon citratus) and geranium (Pelargonium graveolens) and effects on growth, intestinal microbiota, antioxidant and immune activities. Aquac. Nutr. 2018, 24, 1006–1014. [Google Scholar] [CrossRef]
  59. Talpur, A.D.; Ikhwanuddin, M. Dietary effects of garlic (Allium sativum) on haemato-immunological parameters, survival, growth, and disease resistance against Vibrio harveyi infection in Asian sea bass, Lates calcarifer (Bloch). Aquaculture 2012, 364–365, 6–12. [Google Scholar] [CrossRef]
  60. Brum, A.; Pereira, S.A.; Owatari, M.S.; Chagas, E.C.; Chaves, F.C.M.; Mouriño, J.L.P.; Martins, M.L. Effect of dietary essential oils of clove basil and ginger on Nile tilapia (Oreochromis niloticus) following challenge with Streptococcus agalactiae. Aquaculture 2017, 468, 235–243. [Google Scholar] [CrossRef]
  61. Souza, E.M.; de Souza, R.C.; Melo, J.F.B.; da Costa, M.M.; de Souza, A.M.; Copatti, C.E. Evaluation of the effects of Ocimum basilicum essential oil in Nile tilapia diet: Growth, biochemical, intestinal enzymes, haematology, lysozyme and antimicrobial challenges. Aquaculture 2019, 504, 7–12. [Google Scholar] [CrossRef]
  62. Ribeiro, S.C.; Castelo, A.S.; Silva, B.M.P.D.; Cunha, A.D.S.; Proietti Junior, A.A.; Oba-Yoshioka, E.T. Hematological responses of tambaqui Colossoma macropomum (Serrassalmidae) fed with diets supplemented with essential oil of Mentha piperita (Lamiaceae) and challenged with Aeromonas hydrophila. Acta Amazon 2016, 46, 99–106. [Google Scholar] [CrossRef]
  63. Sutili, F.J.; Velasquez, A.; Pinheiro, C.G.; Heinzmann, B.M.; Gatlin, D.M.; Baldisserotto, B. Evaluation of Ocimum americanum essential oil as an additive in red drum (Sciaenops ocellatus) diets. Fish Shellfish Immunol. 2016, 56, 155–161. [Google Scholar] [CrossRef]
  64. Dernekbaşı, S.; Karayücel, İ.; Akyüz, A.P. Effect of diets containing laurel seed oil on growth and fatty acid composition of rainbow trout, Oncorhynchus mykiss. Aquac. Nutr. 2017, 23, 219–227. [Google Scholar] [CrossRef]
  65. Wojtunik-Kulesza, K.A. Toxicity of Selected Monoterpenes and Essential Oils Rich in These Compounds. Molecules 2022, 27, 1716. [Google Scholar] [CrossRef]
  66. Fernández-Mendez, C.; Chate Benites, Z.; Espinoza Ortiz, C.; Diaz, L.R.; Gonzales-Flores, A.P.P.; Tavares-Dias, M. Growth, fillet composition, hematological parameters and disease resistance of juvenile Brycon amazonicus fed diets supplemented with essential oil of Minthostachys mollis. Aquac. Int. 2024, 32, 2115–2130. [Google Scholar] [CrossRef]
  67. Abdel-Latif, H.M.R.; Abdel-Tawwab, M.; Khafaga, A.F.; Dawood, M.A.O. Dietary oregano essential oil improved the growth performance via enhancing the intestinal morphometry and hepato-renal functions of common carp (Cyprinus carpio L.) fingerlings. Aquaculture 2020, 526, 735432. [Google Scholar] [CrossRef]
  68. Zhang, R.; Wang, X.W.; Liu, L.L.; Cao, Y.C.; Zhu, H. Dietary oregano essential oil improved the immune response, activity of digestive enzymes, and intestinal microbiota of the koi carp, Cyprinus carpio. Aquaculture 2020, 518, 734781. [Google Scholar] [CrossRef]
  69. Valladão, G.M.R.; Gallani, S.U.; Pala, G. Practical diets with essential oils of plants activate the complement system and alter the intestinal morphology of Nile tilapia. Aquac. Res. 2017, 48, 640–5649. [Google Scholar] [CrossRef]
  70. Heluy, G.M.; Ramos, L.R.V.; Pedrosa, V.F.; Sarturi, C.; Figueiredo, P.G.P.; Vidal, L.G.P.; França, I.F.; Pereira, M.M. Oregano (Origanum vulgare) essential oil as an additive in diets for Nile tilapia (Oreochromis niloticus) fingerlings reared in salinized water. Aquac. Res. 2020, 51, 3237–3243. [Google Scholar] [CrossRef]
  71. Magouz, F.I.; Amer, A.A.; Faisal, A.; Sewilam, H.; Aboelenin, S.M.; Dawood, M.A. The effects of dietary oregano essential oil on the growth performance, intestinal health, immune, and antioxidative responses of Nile tilapia under acute heat stress. Aquaculture 2022, 548, 737632. [Google Scholar] [CrossRef]
  72. Sampaio, F.D.F.; Freire, C.A. An overview of stress physiology of fish transport: Changes in water quality as a function of transport duration. Fish Fish 2016, 17, 1055–1072. [Google Scholar] [CrossRef]
  73. Weingartner, M.; Zaniboni-Filho, E. Effect of abiotic factors on larviculture of yellow catfish Pimelodus maculatus (Lacépède, 1803): Salinity and tank color. Acta Sci. 2004, 26, 151–157. [Google Scholar]
  74. Souza, P.C.; Bonilla-Rodriguez, G.O. Fish hemoglobins. Braz. J. Med. Biol. Res. 2007, 40, 769–778. [Google Scholar] [CrossRef]
  75. Witeska, M.; Kondera, E.; Ługowska, K.; Bojarski, B. Hematological methods in fish—Not only for beginners. Aquaculture 2022, 547, 737498. [Google Scholar] [CrossRef]
  76. Boaventura, T.P.; Souza, C.F.; Ferreira, A.L.; Favero, G.C.; Baldissera, M.D.; Heinzmann, B.M.; Baldisserotto, B.; Luz, R.K. Essential oil of Ocimum gratissimum (Linnaeus, 1753) as anesthetic for Lophiosilurus alexandri: Induction, recovery, hematology, biochemistry and oxidative stress. Aquaculture 2020, 529, 735676. [Google Scholar] [CrossRef]
  77. Chagas, E.C.; Araújo, L.D.; Boijink, C.D.L.; Inoue, L.A.K.A.; Gomes, L.D.C.; Moraes, F.R. Tambaqui responses to transport stress after feeding diets supplemented with β-glucan. Biotemas 2012, 25, 221–227. [Google Scholar] [CrossRef][Green Version]
  78. Abreu, J.S.D.; Sanabria-Ochoa, A.I.; Gonçalves, F.D.; Urbinati, E.C. Respostas ao estresse de juvenis de matrinxã (Brycon amazonicus) após transporte em sistema fechado sob diferentes densidades de carregamento. Cienc. Rural 2008, 38, 1413–1417. [Google Scholar] [CrossRef]
  79. Varandas, D.N.; Martins, M.L.; Moraes, F.R.; Ramos, F.M.; Santos, R.F.B.; Fujimoto, R.Y. Catch and release: Repetitive fishing, hematological variables and parasitism in the hybrid fish tambacu. Pesqui. Agropecu. Bras. 2013, 48, 1058–1063. [Google Scholar] [CrossRef]
  80. Souza, R.C.; Baldisserotto, B.; Melo, J.F.B.; da Costa, M.M.; de Souza, E.M.; Copatti, C.E. Dietary Aloysia triphylla essential oil on growth performance and biochemical and haematological variables in Nile tilapia. Aquaculture 2020, 519, 734913. [Google Scholar] [CrossRef]
  81. Nikinmaa, M. Vertebrate red blood cells: Adaptation of function to respiratory requirements. Zoophysiology 1990, 28, 156–207. [Google Scholar] [CrossRef]
  82. Wojtaszek, J.; Dziewulska-Szwajkowska, D.; Łozińska-Gabska, M.; Adamowicz, A.; Dżugaj, A. Hematological effects of high dose of cortisol on the carp (Cyprinus carpio L.): Cortisol effect on the carp blood. Gen. Comp. Endocrinol. 2002, 125, 176–183. [Google Scholar] [CrossRef]
  83. Parrino, V.; Cappello, T.; Costa, G.; Cannavà, C.; Sanfilippo, M.; Fazio, F.; Fasulo, S. Comparative study of haematology of two teleost fish (Mugil cephalus and Carassius auratus) from different environments and feeding habits. Eur. Zool. J. 2018, 85, 193–199. [Google Scholar] [CrossRef]
  84. Sehonova, P.; Svobodova, Z.; Dolezelova, P.; Vosmerova, P.; Faggio, C. Effects of waterborne antidepressants on non-target animals living in the aquatic environment: A review. Sci. Total Environ. 2018, 631, 789–794. [Google Scholar] [CrossRef]
  85. Souza-Silva, L.T.; de Pádua Pereira, U.; de Oliveira, H.M.; Brasil, E.M.; Pereira, S.A.; Chagas, E.C.; Jesus, G.F.A.; Cardoso, L.; Mouriño, J.L.P.; Martins, M.L. Hemato-immunological and zootechnical parameters of Nile tilapia fed essential oil of Mentha piperita after challenge with Streptococcus agalactiae. Aquaculture 2019, 50, 205–211. [Google Scholar] [CrossRef]
  86. Lockridge, K.A. Fish Stress and Health in Aquaculture; Cambridge University Press: Cambridge, UK, 1981; Volume 62. [Google Scholar]
  87. Acar, Ü.; Kesbiç, O.S.; Yılmaz, S.; Gültepe, N.; Türker, A. Evaluation of the effects of essential oil extracted from sweet orange peel (Citrus sinensis) on growth rate of tilapia (Oreochromis mossambicus) and possible disease resistance against Streptococcus iniae. Aquaculture 2015, 437, 282–286. [Google Scholar] [CrossRef]
  88. Gulec, A.K.; Danabas, D.; Ural, M.; Seker, E.; Arslan, A.; Serdar, O. Effect of mixed use of thyme and fennel oils on biochemical properties and electrolytes in rainbow trout as a response to Yersinia ruckeri infection. Acta Vet. Brno 2013, 82, 297–302. [Google Scholar] [CrossRef]
  89. Magnadóttir, B. Innate immunity of fish (overview). Fish Shellfish Immunol. 2006, 20, 137–151. [Google Scholar] [CrossRef]
  90. Melo, D.C.; Oliveira, D.A.A.; Melo, M.M.; Junior, D.V.; Teixeira, E.A.; Guimarães, S.R. Proteic electrophoretic profile of chitralada tilapia nilotic (Oreochromis niloticus), exposed to hypoxia chronic stress. Arq. Bras. Med. Vet. Zootec. 2009, 61, 1183–1190. [Google Scholar] [CrossRef]
  91. Mazeaud, M.M.; Mazeaud, F.; Donaldson, E.M. Primary and secondary effects of stress in fish: Some new data with a general review. Trans. Am. Fish Soc. 1977, 106, 201–212. [Google Scholar] [CrossRef]
  92. Immanuel, G.; Uma, R.P.; Iyapparaj, P.; Citarasu, T.; Punitha Peter, S.M.; Michael Babu, M.; Palavesam, A. Dietary medicinal plant extracts improve growth, immune activity and survival of tilapia Oreochromis mossambicus. J. Fish Biol. 2009, 74, 1462–1475. [Google Scholar] [CrossRef]
  93. Brum, A.; Pereira, S.A.; Cardoso, L.; Chagas, E.C.; Chaves, F.C.M.; Mouriño, J.L.P.; Martins, M.L. Blood biochemical parameters and melanomacrophage centers in Nile tilapia fed essential oils of clove basil and ginger. Fish Shellfish Immunol. 2018, 74, 444–449. [Google Scholar] [CrossRef]
  94. Iversen, M.; Eliassen, R.A.; Finstad, B. Potential benefit of clove oil sedation on animal welfare during salmon smolt, Salmo salar L. transport and transfer to sea. Aquac. Res. 2009, 40, 233–241. [Google Scholar] [CrossRef]
  95. Boaventura, T.P.; Pedras, P.P.C.; Júlio, G.S.C.; dos Santos, F.A.C.; Ferreira, A.L.; de Souza e Silva, W.; Luz, R.K. Use of eugenol, benzocaine or salt during the transport of panga, Pangasianodon hypophthalmus (Sauvage, 1878): Effects on water quality, haematology and blood biochemistry. Aquac. Res. 2022, 53, 1395–1403. [Google Scholar] [CrossRef]
  96. Metwally, M.A.A. Effects of garlic (Allium sativum) on some antioxidant activities in tilapia nilotica (Oreochromis niloticus). World J. Fish Mar. Sci. 2009, 1, 56–64. [Google Scholar]
  97. Santos-Silva, M.J.; da Costa, F.F.B.; Leme, F.P.; Takata, R.; Costa, D.C.; Mattioli, C.C.; Miranda-Filho, K.C. Biological responses of Neotropical freshwater fish Lophiosilurus alexandri exposed to ammonia and nitrite. Sci. Total Environ. 2018, 616, 1566–1575. [Google Scholar] [CrossRef]
  98. Xie, T.; Gao, Y.; Qin, H.; Zhang, J.; Li, M.; Gao, Y.; Jia, Y. Physiological response of Oplegnathus punctatus (spotted knifejaw) during offshore aquaculture net cage transport. Aquaculture 2023, 563, 739029. [Google Scholar] [CrossRef]
Disclaimer/Publisher’s Note: The statements, opinions and data contained in all publications are solely those of the individual author(s) and contributor(s) and not of MDPI and/or the editor(s). MDPI and/or the editor(s) disclaim responsibility for any injury to people or property resulting from any ideas, methods, instructions or products referred to in the content.

Article Metrics

Citations

Article Access Statistics

Multiple requests from the same IP address are counted as one view.