Insights into a Renowned Fishery: Distinct Spatial Patterns, Environmental Predictors and Species Associations of Trophy-Class Spotted Seatrout (Cynoscion nebulosus [Cuvier 1830])
Abstract
1. Introduction
2. Methods
2.1. Study Area
2.2. Fisheries Sampling
2.3. Spatial Distribution Analysis
2.4. Spatio-Temporal Analysis
2.5. Environmental Predictors
2.6. Species Associations
3. Results
3.1. Fisheries Sampling
3.2. Spatial Distribution Analysis
3.3. Spatio-Temporal Analysis
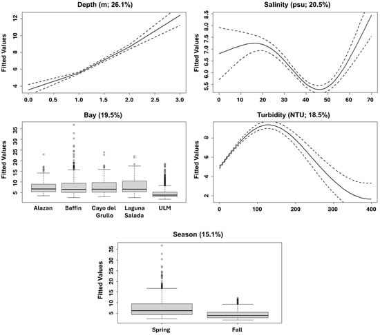
3.4. Environmental Predictors
3.5. Species Associations
4. Discussion
5. Conclusions
Author Contributions
Funding
Institutional Review Board Statement
Informed Consent Statement
Data Availability Statement
Acknowledgments
Conflicts of Interest
References
- Hoese, H.D.; Moore, R.H. Fishes of the Gulf of Mexico, 2nd ed.; Texas A&M University Press: College Station, TX, USA, 1998. [Google Scholar]
- Green, L.M.; Campbell, R.P. Trends in Finfish Landings of Sport-Boat Anglers in Texas Marine Waters, May 1974–May 2008; Texas Parks and Wildlife Department, Coastal Fisheries Division, Management Data Series 257: Austin, TX, USA, 2010. [Google Scholar]
- Texas Parks and Wildlife Code; LexisNexis, Matthew Bender & Company, Inc.: Miamisburg, OH, USA, 2024.
- Grimes, B. 2007. Why Baffin Grows a Bigger Trout. Texas Saltwater Fishing Magazine (March). Available online: https://www.texassaltwaterfishingmagazine.com/fishing/features/non-current/bink-grimes/why-baffin-grows-bigger-trout (accessed on 12 May 2022).
- Maizler, J.S. Fishing for Spotted Seatrout: From the Carolinas to Texas; University Press of Florida: Gainesville, FL, USA, 2014. [Google Scholar]
- Anderson, J.; Olsen, Z.; Beeken, N.; Weixelman, R.; Fisher, M. Regional variation in growth and mortality of spotted seatrout in the western Gulf of Mexico. North Am. J. Fish. Manag. 2022, 42, 1381–1397. [Google Scholar] [CrossRef]
- Bortone, S.A.; Wilzbach, M.A.; Bedee, C.D. Indexed Bibliography to the Biology and Life History of the Spotted Seatrout (Cynoscion nebulosus); Florida Center for Environmental Studies, Florida Atlantic University: Boca Raton, FL, USA, 1997. [Google Scholar]
- Bedee, C.D.; DeVries, D.A.; Bortone, S.A.; Palmer, C.L. Estuary-specific age and growth of spotted seatrout in the northern Gulf of Mexico. In Biology of the Spotted Seatrout; CRC Press: Boca Raton, FL, USA, 2002; pp. 71–92. [Google Scholar]
- Moffett, A.W. Movements and Growth of Spotted Seatrout, Cynoscion nebulosus (Cuvier), in West Florida; Marine Laboratory, Institute of Marine Science of the Univeristy of Miami: Coral Gables, FL, USA, 1961; Volume 36, pp. 1–35. [Google Scholar]
- Iversen, E.S.; Tabb, D.C. Subpopulations based on growth and tagging studies of spotted seatrout, Cynoscion nebulosus, in Florida. Copeia 1962, 1962, 544–548. [Google Scholar] [CrossRef]
- Baker, W.B., Jr.; Matlock, G.C.; McEachron, L.W.; Green, A.W.; Hegen, H.E. Movement, Growth, and Survival of Spotted Seatrout Tagged in Bastrop Bayou, Texas; Texas A&M University Galveston: Galveston, TX, USA, 1986. [Google Scholar]
- Hendon, J.R.; Warren, J.R.; Franks, J.S.; Buchanan, M.V. Movements of spotted seatrout (Cynoscion nebulosus) in Mississippi coastal waters based on tag-recapture. Gulf Mex Sci. 2002, 2, 91–97. [Google Scholar] [CrossRef]
- MacRae, P.S.; Cowan, J.H., Jr. Habitat preferences of spotted seatrout, Cynoscion nebulosus, in coastal Louisiana: A step towards informing spatial management in estuarine ecosystems. Open Fish Sci. J. 2010, 3, 154–163. [Google Scholar] [CrossRef]
- Baer, A.M. Population Dynamics and Demographics of Spotted Seatrout, Cynoscion nebulosus, Through Spatial Analysis: Towards an Integrative Management Approach. Ph. D. Thesis, Louisiana State University and Agricultural & Mechanical College, Baton Rouge, LA, USA, 2019. [Google Scholar]
- Perret, W.S.; Weaver, J.E.; Williams, R.O.; Johansen, P.L.; McIlwain, T.D.; Raulerson, R.C.; Tatum, W.M. Fishery Profiles of Red Drum and Spotted Seatrout; Texas A&M Galveston University: Galveston, TX, USA, 1980. [Google Scholar]
- Simmons, E.G. An ecological survey of the upper Laguna Madre of Texas. Publ. Inst. Mar. Sci. Univ. Tex. 1957, 4, 156–200. [Google Scholar]
- Perret, W.S. Cooperative Gulf of Mexico Estuarine Inventory and Study, Louisiana; Phase IV, Biology; Louisiana Wildlife and Fisheries Commission: New Orleans, LA, USA, 1971; pp. 29–175. [Google Scholar]
- Etzold, D.J.; Christmas, J.Y. A Mississippi Marine Finfish Management Plan; MASGP-78-046, Mississippi-Alabama Sea Grant Consortium: Ocean Springs, MS, USA, 1979; 36p. [Google Scholar]
- Tabb, D.C. Differences in the estuarine ecology of Florida waters and their effect on populations of the spotted weakfish, Cynoscion nebulosus (Cuvier and Valenciennes). Proc. North Am. Wild. Conf. 1958, 23, 329–401. [Google Scholar]
- Loman, M.J. 1978. Other finfish. Completion Report: Fisheries assessment and monitoring, Mississippi. National Marine Fisheries Service Project PL 88-309 2-21 5-R, 120-167.
- Wohlschlag, D.E.; Wakeman, J.M. Salinity stresses, metabolic responses on distribution of the coastal spotted seatrout, Cynoscion nebulosus. Contrib. Mar. Sci. 1978, 21, 171–185. [Google Scholar]
- Kucera, C.J.; Faulk, C.K.; Holt, G.J. The effect of parental acclimation to spawning salinity on the survival of larval Cynoscion nebulosus. J. Fish Biol. 2002, 61, 726–738. [Google Scholar] [CrossRef]
- Pearson, J.C. Natural History and Conservation of the Redfish and Other Commercial Sciaenids on the Texas Coast (No. 1046); US Government Printing Office: Washington, DC, USA, 1929. [Google Scholar]
- Baker, R.; Sheaves, M. Shallow-water refuge paradigm: Conflicting evidence from tethering experiments in a tropical estuary. Mar. Ecol. Prog. Ser. 2007, 349, 13–22. [Google Scholar] [CrossRef]
- Moulton, D.L.; Dance, M.A.; Williams, J.A.; Sluis, M.Z.; Stunz, G.W.; Rooker, J.R. Habitat partitioning and seasonal movement of red drum and spotted seatrout. Estuaries Coasts 2017, 40, 905–916. [Google Scholar] [CrossRef]
- Werner, E.E.; Gilliam, J.F. The ontogenetic niche and species interactions in size-structured populations. Annu. Rev. Ecol. Syst. 1984, 15, 393–425. [Google Scholar] [CrossRef]
- Olsen, Z. Quantifying nursery habitat function: Variation in habitat suitability linked to mortality and growth for juvenile Black Drum in a hypersaline estuary. Mar. Coast. Fish. 2019, 11, 86–96. [Google Scholar] [CrossRef]
- Getz, E.; Eckert, C. Effects of salinity on species richness and community composition in a hypersaline estuary. Estuaries Coasts 2023, 46, 2175–2189. [Google Scholar] [CrossRef]
- Tunnell, J.W.; Judd, F.W. The Laguna Madre of Texas and Tamaulipas; Texas A&M University Press: Corpus Christi, TX, USA, 2002. [Google Scholar]
- Martinez-Andrade, F. Marine Resource Monitoring Operations Manual; Texas Parks and Wildlife Department, Coastal Fisheries Division: Port Arthur, TX, USA, 2018. [Google Scholar]
- Sussman, A.L.; Gardner, B.; Adams, E.M.; Salas, L.; Kenow, K.P.; Luukkonen, D.R.; Monfils, M.J.; Mueller, W.P.; Williams, K.A.; Leduc-Lapierre, M.; et al. A comparative analysis of common methods to identify waterbird hotspots. Methods Ecol. Evol. 2019, 10, 1454–1468. [Google Scholar] [CrossRef]
- Evans, J.S.; Ram, K. Package ‘spatialEco.’ R CRAN Project. 2021. Available online: https://archive.linux.duke.edu/cran/web/packages/spatialEco/spatialEco.pdf (accessed on 18 December 2024).
- Salinas-de-Leo’n, P.; Fierro-Arcos, D.; Suarez-Moncada, J.; Proaño, A.; Guachisaca-Salinas, J.; Pa’ez-Rosas, D. A matter of taste: Spatial and ontogenetic variations on the trophic ecology of the tiger shark at the Galapagos Marine Reserve. PLoS ONE 2019, 14, e0222754. [Google Scholar] [CrossRef]
- Vale, F.; Coleman, L.; Buie, L. Spatial Statistics: Statistical Cluster Analysis. Esri User Conference, San Diego, CA, July 2022. Available online: https://spatialstats-analysis-1.hub.arcgis.com/ (accessed on 21 June 2023).
- Ushakow, D.; Briell, E.; Olsen, Z.; Anderson, J.; Hartman, L. Estuarine residency and habitat preferences of Atlantic Tripletail in the northwestern Gulf of Mexico. Mar. Coast. Fish. 2024, 16, e10298. [Google Scholar] [CrossRef]
- Zhang, H.; Yang, S.-L.; Fan, W.; Shi, H.-M.; Yuan, S.-L. Spatial Analysis of the Fishing Behaviour of Tuna Purse Seiners in the Western and Central Pacific Based on Vessel Trajectory Data. J. Mar. Sci. Eng. 2021, 9, 322. [Google Scholar] [CrossRef]
- Ord, J.K.; Getis, A. Local spatial autocorrelation statistics: Distributional issues and an application. Geogr. Anal. 1995, 27, 286–306. [Google Scholar] [CrossRef]
- Xu, H.; Wang, Y.; Guan, H.; Shi, T.; Hu, X. Detecting Ecological Changes with a Remote Sensing Based Ecological Index (RSEI) Produced Time Series and Change Vector Analysis. Remote Sens. 2019, 11, e2345. [Google Scholar] [CrossRef]
- Ridgeway, G.; Southworth, M.H.; Runit, S. Package ‘gbm’. Viitattu 2013, 10, 40. [Google Scholar]
- Elith, J.; Leathwick, J.R.; Hastie, T. A working guide to boosted regression trees. J. Anim. Ecol. 2008, 77, 802–813. [Google Scholar] [CrossRef] [PubMed]
- Knudby, A.; Brenning, A.; LeDrew, E. New approaches to modelling fish–habitat relationships. Ecol. Model. 2010, 221, 503–511. [Google Scholar] [CrossRef]
- Moisen, G.G.; Freeman, E.A.; Blackard, J.A.; Frescino, T.S.; Zimmermann, N.E.; Edwards, T.C., Jr. Predicting tree species presence and basal area in Utah: A comparison of stochastic gradient boosting, generalized additive models, and tree-based methods. Ecol. Model. 2006, 199, 176–187. [Google Scholar] [CrossRef]
- Wood, S. Generalized Additive Models: An Introduction with R, 2nd ed.; Chapman and Hall/CRC: Boca Raton, FL, USA, 2017; 496p. [Google Scholar]
- Clarke, K.R.; Gorley, R.N.; Somerfeld, P.J.; Warwick, R.M. Change in Marine Communities: An Approach to Statistical Analysis and Interpretation, 3rd ed.; PRIMER-E: Plymouth, UK, 2014. [Google Scholar]
- Clarke, K.R.; Gorley, R.N. Getting Started with PRIMER v7. PRIMER-E: Plymouth; Plymouth Marine Laboratory 20: Plymouth, UK, 2015. [Google Scholar]
- Anderson, M.J.; Gorley, R.N.; Clarke, K.R. PERMANOVA+ for PRIMER: Guide to Software and Statistical Methods; PRIMER-E: Plymouth, UK, 2008. [Google Scholar]
- Gold, J.R.; Richardson, L.R.; Furman, C. Mitochondrial DNA diversity and population structure of spotted seatrout (Cynoscion nebulosus) in coastal waters of the southeastern United States. Gulf Mex. Sci. 1999, 17, 5. [Google Scholar] [CrossRef]
- Baker, W.B., Jr.; Matlock, G.C. Movement of spotted seatrout tagged in Trinity Bay, Texas. Gulf Mex. Sci. 1993, 13, 4. [Google Scholar] [CrossRef]
- Anderson, J.D.; Karel, W.J. Population genetics and dynamics of spotted seatrout in the estuarine waters of Texas. Fish. Aquat. J. 2010, 2010, FAJ-2. [Google Scholar] [CrossRef]
- Callihan, J.L.; Cowan, J.H., Jr.; Harbison, M.D. Sex differences in residency of adult spotted seatrout in a Louisiana estuary. Mar. Coast. Fish. 2013, 5, 79–92. [Google Scholar] [CrossRef]
- Rozas, L.P.; Minello, T.J. Nekton use of salt marsh, seagrass, and nonvegetated habitats in a south Texas (USA) estuary. Bull. Mar. Sci. 1998, 63, 481–501. [Google Scholar]
- Neahr, T.A.; Stunz, G.W.; Minello, T.J. Habitat use patterns of newly settled spotted seatrout in estuaries of the north-western Gulf of Mexico. Fish. Manag. Ecol. 2010, 17, 404–413. [Google Scholar] [CrossRef]
- Peebles, E.B. Ontogenetic Habitat and Diet Selection in Estuarine-Dependent Fishes: Comparisons of Observed Patterns with Model Predictions; University of South Florida: Tampa, FL, USA, 1996. [Google Scholar]
- Hall-Scharf, B.J.; Switzer, T.S.; Stallings, C.D. Ontogenetic and long-term diet shifts of a generalist juvenile predatory fish in an urban estuary undergoing dramatic changes in habitat availability. Trans. Am. Fish. Soc. 2016, 145, 502–520. [Google Scholar] [CrossRef]
- Hardegree, B. Biological Productivity Associated with the Serpulid Reefs of Baffin Bay, Texas. Master’s Thesis, Texas A&M Corpus Christi, Corpus Christi, TX, USA, 1997. [Google Scholar]
- Breaux, N.; Lebreton, B.; Palmer, T.A.; Guillou, G.; Pollack, J.B. Ecosystem resilience following salinity change in a hypersaline estuary. Estuar. Coast. Shelf Sci. 2019, 225, 106258. [Google Scholar] [CrossRef]
- Texas Open Data Portal. Updated 18 December 2024. Texas Boat Owners|Open Data Portal. Available online: https://data.texas.gov/Recreation/Texas-Boat-Owners/7rtb-7kuz/about_data (accessed on 18 December 2024).
- Bannister, R.C.A. The rise and fall of cod (Gadus morhua, L.) in the North Sea. Manag. Shar. Fish Stock. 2004, 316–338. Available online: https://books.google.co.th/books?hl=en&lr=&id=XEElAwNrKZsC&oi=fnd&pg=PA316&dq=58.%09Bannister,+R.C.A.+The+rise+and+fall+of+cod+(Gadus+morhua,+L.)+in+the+North+Sea&ots=luhZI5459Z&sig=_20D4kLBOE6ETV7_w7Ld4i7QA0s&redir_esc=y#v=onepage&q&f=false (accessed on 18 December 2024).
- Horwood, J.; O’Brien, C.; Darby, C. North Sea cod recovery? ICES J. Mar. Sci. 2006, 63, 961–968. [Google Scholar] [CrossRef]
- Hofstede, R.; Rijnsdorp, A.D. Comparing demersal fish assemblages between periods of contrasting climate and fishing pressure. ICES J. Mar. Sci. 2011, 68, 1189–1198. [Google Scholar] [CrossRef]
- Adams, C.F.; Alade, L.A.; Legault, C.M.; O’Brien, L.; Palmer, M.C.; Sosebee, K.A.; Traver, M.L. Relative importance of population size, fishing pressure and temperature on the spatial distribution of nine Northwest Atlantic groundfish stocks. PLoS ONE 2018, 13, e01296583. [Google Scholar] [CrossRef]
- Engelhard, G.H.; Righton, D.A.; Pinnegar, J.K. Climate change and fishing: A century of shifting distribution in North Sea cod. Glob. Change Biol. 2014, 20, 2473–2483. [Google Scholar] [CrossRef]
- Yan, H.F.; Kyne, P.M.; Jabado, R.W.; Leeney, R.H.; Davidson, L.N.; Derrick, D.H.; Finucci, B.; Freckleton, R.P.; Fordham, S.V.; Dulvy, N.K. Overfishing and habitat loss drive range contraction of iconic marine fishes to near extinction. Sci. Adv. 2021, 7, eabb6026. [Google Scholar] [CrossRef]
- Wetz, M.S. Baffin Bay Water Quality Monitoring Study: Synthesis of May 2013–September 2023 Data. Synthesis; Texas A&M University: Corpus Christi, TX, USA, 2023. [Google Scholar]
- Seneviratne, S.I.; Nicholls, N.; Easterling, D.; Goodess, C.M.; Kanae, S.; Kossin, J.; Luo, Y.; Marengo, J.; McInnes, K.; Rahimi, M.; et al. Changes in Climate Extremes and Their Impacts on the Natural Physical Environment; Columbia University: New York, NY, USA, 2012. [Google Scholar]
- Beecraft, L.; Wetz, M.S. Temporal variability in water quality and phytoplankton biomass in a low-inflow estuary (Baffin Bay, TX). Estuaries Coasts 2023, 46, 2064–2075. [Google Scholar] [CrossRef]
- Blanchet, H.; Van Hoose, M.; McEachron, L.; Muller, B.; Warren, J.; Gill, J.; Waldrop, T.; Waller, J.; Adams, C.; Ditton, R.B.; et al. The Spotted Seatrout Fishery of the Gulf of Mexico, United States: A Regional Management Plan; Gulf States Marine Fisheries Commission, Publication: Ocean Springs, MS, USA, 2001; Volume 87. [Google Scholar]
- Lassuy, D.R. Species Profiles: Life Histories and Environmental Requirements (Gulf of Mexico): Spotted Seatrout (Vol. 82, No. 11); The Team. 1983. Available online: https://books.google.co.th/books?hl=en&lr=&id=dAl0_MGgBrUC&oi=fnd&dq=68.%09Lassuy,+D.R.+Species+Profiles:+Life+Histories+and+Environmental+Requirements+(Gulf+of+Mexico):+Spotted+Seatrout+&ots=GamvBHuya5&sig=oGCsLnAxNRpeEJoUUlQRVZ6DSAs&redir_esc=y (accessed on 14 June 2024).
- Hill, K. Spotted Seatrout (Cynoscion nebulosus). Smithsonian Marine Receiver at Fort Pierce. 2005. Available online: http://www.sms.si.edu/irlspec/Cynosc_nebulo.htm (accessed on 14 June 2024).
- Kramer, D.L. Dissolved oxygen and fish behavior. Environ. Biol. Fishes 1987, 18, 81–92. [Google Scholar] [CrossRef]
- Miles, D.W. Life Histories of the Spotted Sea Trout, Cynoscion nebulosus, and the Redfish, Sciaenops ocellatus; Texas Game and Fish Commission: Austin, TX, USA, 1950. [Google Scholar]
- Brown-Peterson, N.; Thomas, P.; Arnold, C.R. Reproductive biology of the spotted seatrout, Cynoscion nebulosus, in South Texas. Steroids 1988, 86, 373–388. [Google Scholar]
- Lowerre-Barbieri, S.K.; Walters, S.; Bickford, J.; Cooper, W.; Muller, R. Site fidelity and reproductive timing at a spotted seatrout spawning aggregation site: Individual versus population scale behavior. Mar. Ecol. Prog. Ser. 2013, 481, 181–197. [Google Scholar] [CrossRef][Green Version]
- Livernois, M.C.; Powers, S.P.; Albins, M.A.; Mareska, J.F. Habitat associations and co-occurrence patterns of two estuarine-dependent predatory fishes. Mar. Coast. Fish. 2020, 12, 64–77. [Google Scholar] [CrossRef]








| Trophy-Class | Adult-Class | |||
|---|---|---|---|---|
| Bay System | Count | % of Gill Nets > 0 | Count | % of Gill Nets > 0 |
| Upper Laguna Madre | 180 | 6.7% | 9480 | 78.3% |
| Baffin Bay | 168 | 16.1% | 5033 | 86.7% |
| Alazan Bay | 117 | 18.3% | 3744 | 92.6% |
| Cayo del Grullo | 61 | 18.8% | 1825 | 89.7% |
| Laguna Salada | 29 | 9.5% | 1701 | 91.4% |
| Total | 555 | 21,783 | ||
| Source | df | SS | MS | Pseudo-F | P (perm) | perms |
|---|---|---|---|---|---|---|
| Size Class | 1 | 16,695 | 16,695 | 20.847 | 0.0001 | 9941 |
| Residual | 3019 | 2.418 × 106 | 800.86 | |||
| Total | 3020 | 2.435 × 106 |
Disclaimer/Publisher’s Note: The statements, opinions and data contained in all publications are solely those of the individual author(s) and contributor(s) and not of MDPI and/or the editor(s). MDPI and/or the editor(s) disclaim responsibility for any injury to people or property resulting from any ideas, methods, instructions or products referred to in the content. |
© 2025 by the authors. Licensee MDPI, Basel, Switzerland. This article is an open access article distributed under the terms and conditions of the Creative Commons Attribution (CC BY) license (https://creativecommons.org/licenses/by/4.0/).
Share and Cite
Eckert, C.; Briell, E.; Getz, E. Insights into a Renowned Fishery: Distinct Spatial Patterns, Environmental Predictors and Species Associations of Trophy-Class Spotted Seatrout (Cynoscion nebulosus [Cuvier 1830]). Fishes 2025, 10, 19. https://doi.org/10.3390/fishes10010019
Eckert C, Briell E, Getz E. Insights into a Renowned Fishery: Distinct Spatial Patterns, Environmental Predictors and Species Associations of Trophy-Class Spotted Seatrout (Cynoscion nebulosus [Cuvier 1830]). Fishes. 2025; 10(1):19. https://doi.org/10.3390/fishes10010019
Chicago/Turabian StyleEckert, Catherine, Elliot Briell, and Ethan Getz. 2025. "Insights into a Renowned Fishery: Distinct Spatial Patterns, Environmental Predictors and Species Associations of Trophy-Class Spotted Seatrout (Cynoscion nebulosus [Cuvier 1830])" Fishes 10, no. 1: 19. https://doi.org/10.3390/fishes10010019
APA StyleEckert, C., Briell, E., & Getz, E. (2025). Insights into a Renowned Fishery: Distinct Spatial Patterns, Environmental Predictors and Species Associations of Trophy-Class Spotted Seatrout (Cynoscion nebulosus [Cuvier 1830]). Fishes, 10(1), 19. https://doi.org/10.3390/fishes10010019
