The Philosophy of Nature of the Natural Realism. The Operator Algebra from Physics to Logic
Abstract
1. Introduction: From Logic to Physics and Vice Versa
1.1. A Methodological Premise: Mathematical Logic and Philosophical Logic
- The alethic logics, where the meaning of the modal operators is possibly/necessarily true in descriptive theories of the world states, in the different senses of the logical, and the ontological (physical and metaphysical) truth. Specifically, without confusing the logical (linguistic, abstract) and the ontic (causal, real) possibility/necessity, and their relationships. Historically, this distinction is the core of the classical Aristotelian philosophy and it was reintroduced in the contemporary analytic philosophy debate by S. Kripke at the end of the XX cent (see [19] and Section 6.2). Of course, the onto-logical alethic interpretation of MC is the proper logic of the formal ontology.
- The epistemic logics, where the meaning of the modal operators possible/necessary is related to different levels of knowledge certainty, and then to the distinction between opinion/science (dóxa/epistéme, in the Platonic language of the classic philosophy) [20,21,22]. Therefore, the necessity operator is interpreted in epistemic contexts as the “knowledge operator” K, and the possibility operator is here interpreted as the “belief operator” B. The possible worlds concerned here are the believed representations of the world relatively to a knowing (conscious) singular/collective communication agent, x. Additionally, the passage from “believing for x that p”, B(x,p), to “knowing for x that p”, K(x, p), depends on the satisfaction of a foundation clause F, i.e., , in the sense that the sound (true) beliefs or scientific knowledges are those founded in the real world. Of course, the clauses F will be different for different epistemologies, and for different underlying ontologies, which in this way can be rigorously compared and discussed (see [20] and Section 1.4).
- The deontic logics, where the meaning of the modal operators possible/necessary is related to different levels of ethical/legal obligation, and then the necessity/possibility operators of MC must be interpreted as the deontic operators of obligation O, and permission P [20,23,24]. The possible worlds concerned here, namely, the “ideal worlds” of the ought to be, as distinct from the “real world” of the to be, are those related to the ethical values or “goals” to be pursued. Or, more precisely, they are related with the axiological optimality/maximality criteria of “goodness” for actions to be satisfied according to the different ethical/legal systems. This means imposing ethical/legal constraints or “obligations” for the effective pursuing of the goals in the “real world” by the human agents in terms of ethical optimality/maximality goodness constraints being satisfied 3. Where, of course, the distinction between moral and legal obligations, and then between the individual and the common good(s) is fundamental [20]. From the standpoint of the history of philosophy, the distinction between the “alethic” and the “deontic” semantics of ML gives a formal foundation to the so-called “Hume problem” of the distinction between the “world of facts” (“to be”: alethic logic) and the “world of values” (“ought to be”: deontic logic), well known to the Middle Age logic but lost during the Renaissance and recovered by Hume. Moreover, in the case of the deontic obligatoriness being distinct from the logical necessity, the “possible worlds” x concerned are the optimal states s of the world (so introducing the “optimality operator” Op of the axiological logic (the “logic of values”)), for a given (individual, collective) subject x, i.e., Op (x, s) 4. Therefore, the ethical obligatoriness expressed by the moral/legal norm p, i.e., Ob p, ruling the behavior for pursuing effectively in the real world a given optimal state s by x, i.e., Ob p(x,s), satisfies the following axiomatic scheme: , where the two clauses and express, respectively, the “condition of acceptance” by the individual/collective subject x of the optimal ordering Op, and the “condition of non-impediment” for x of effectively pursuing s in the real world [20].
- Finally, in the MC semantics, it is possible to also formalize intensional objects and predicates, and not only intensional interpretations of modal operators, as we did till now, sometimes denoted as individual concepts ([14], p. 332). Generally, indeed, the “possible worlds” are modeled as classes of objects satisfying given modal rules. For this reason, MC is normally formalized in ST using NBG as its metalanguage but with the remembered restrictions and distinctions characterizing the different modal object domains [25]. However, it is also possible to model possible worlds by considering, for defining the truth evaluation functions of the modal semantics, the individuals within a partition of possible worlds of the universe (i.e., of the set of all possible worlds) considered. In this way, in the validation procedure, the contingent identity can also be considered, that is, the identity of individuals satisfying different predicates in different possible world partitions. In this sense, the ML semantics, because of its high flexibility, appears to be able to formalize the intensional (with “s”) logics also in the sense of the subject–object intentional (with “t”) relationship of the phenomenological inquiry [26]. Specifically, it expresses the singular/plural first-person (“I”/”we”) language of individual/collective intentional agents, i.e., the “belief systems” of the different individuals and cultural groups in a society. This means that—against the dominating “relativism”—using the intensional logic formalization, it becomes possible to compare different visions of the world, in ontology, ethics, epistemology…, as far as each group, each “we”, makes the effort of formalizing what they “intend” with their respective doctrines, i.e., in their “intensional logics”. Then, according to the synthetic but effective account of John Searle, we can summarize by saying that the intensional (with “s”) logic is also the proper logic of the cognitive, subjective intentionality (with “t”) [27].
1.2. The Logical Issue of Whichever Formal Ontology and Epistemology of Natural Sciences
What the resulting Lewis’ systems describe are actually modes of statement composition—revised conditionals of a non-truth-functional sort—rather than implication relations between statements. If we were willing to reconstrue statements as names of some sort of entities, we might take (metaphysical) implication as relation between those entities rather than between the statements themselves; and correspondingly for equivalence, compatibility, etc. ([29] p, 32. Italics are mine).
We saw (…) that no Lorentz transformation acting on a body at rest could give it a speed greater than c, the speed of light. We can derive a stronger result, that no influence whatever can travel faster than light. This is not just a confession of technological inadequacy, but a consequence of an assumption of causality, that effects always come after causes” ([33], pp. 121–122 (italics mine)).
If we distinguish, with Reichenbach, between a ‘procedure of finding’ and a ‘procedure of justifying’ a hypothesis, then we have to say that the former—the procedure of finding a hypothesis—cannot be rationally reconstructed. Yet the analysis of the procedure of justifying hypotheses does not, in my opinion, lead us to anything which may be said to belong to an inductive logic. For a theory of induction is superfluous. It has no function in a logic of science ([35], p.307).
1.3. A Scheme of this Paper
1.4. A Taxonomy of the Different Formal Ontologies in Western Thought
This definition [of semiotic relation] no more involves any reference to human thought than does the definition of a line as the place within which a particle lies during a lapse of time ([58], p. 52).
- Nominalism: the predicable universals are reduced to the predicative expressions of a given language that, by its conventional rules, in the referential usages of predicative sentences, determines the truth conditions of the ontological propositions (Sophists, Roscellinus, Ockham, Hobbes, Quine, etc.).
- Conceptualism: the predicable universals are expressions of mental concepts, so that the laws of thought, in the referential usages of predicative sentences, determine the truth conditions of the ontological propositions (Descartes, Leibniz, Kant, Husserl, Stein, etc.).
- Realism: the predicable universals are expressions of properties and relations existing independently of the linguistic and/or mental capacities in:
- The logical realm: we have, therefore, the ontologies of the so-called logical realism, where the logical relations, in the referential usage of predicative sentences, determine the truth conditions of the ontological propositions, independently of human linguistic and mental capacities (Plato, Guillaume de Champeaux, Frege, Russell, Fraenkel, Gödel, etc.).
- The physical realm: we have then the ontologies of the so-called natural realism, or “naturalism”. In turn, naturalism can be of two types:
- Atomistic: without natural kinds, where the logical-mathematical laws with their empirical fulfilment by measurements on physical events, in the referential usages of predicative sentences, determine the truth conditions of the ontological propositions (Democritus, Newton, Laplace, Wittengstein’s Tractatus, Carnap, etc.).
- Relational: with “natural kinds”, where the real relations (causes) among “things” in nature determine the logical relations among “objects”, in the referential usages of predicative sentences in language, and then determine the truth conditions of the ontological propositions (Aristotle, Aquinas, Poinsot, Peirce, Kripke, NR, etc.).
2. Some Elements of the Category Theory and Its Relational Semantic in Logic
2.1. The Ante-Predicative Definition of Category in Category Theory
- Morphisms or arrows, f, g,—intended as a (purely relational) generalization of notions such as “function”, “operator”, “map”, etc.
- The identity arrow, such that, for any object A, there is an identity arrow or reflexive morphism IdA = 1A: A → A 9.
- Two maps or operations from arrows to objects, dom(·), codom(·), assigning a domain or source and a codomain or target to each arrow.
- The compositions of arrows, written as g, f, or f o g, in which the codomain of g is the domain of f, that is, for any three objects A, B, C in the theory, there exists a morphism composition f o g, that is, satisfying a transitive property among arrows.
- Set (sets and functions);
- Grp (groups and homomorphisms);
- Mon (monoids and epimorphisms), where “monoids” are “one-object categories” and “epimorphisms” are the categorical counterpart of “surjective functions” in ST;
- Top (topological spaces and continuous functions/paths);
- Vectk (vector spaces defined on a numerical field k and linear functions).


2.2. The Categorical Definition of Sets as Hom-Sets
Category theory can be seen as a “generalized theory of functions”, where the focus is shifted from the pointwise, set-theoretic view of functions to an abstract view of functions as arrows ([67], p. 8).
2.3. The Notions of Functors as Morphisms between Categories and Natural Transformations as Morphisms between Functors
- An object-map assigning an object A of D to every object A of C.
- An arrow-map assigning an arrow Ff: FA → FB of D to every arrow f: A → B of C, in such a way that compositions and identities are preserved:
- The inclusion functor I: between a category and its sub-category . Of course, this is achieved by taking the identity map both for object-maps and arrow-maps.
- The forgetful functor U: Mon → Set, which sends monoids to their set of elements, “forgetting” the algebraic structure, and sends a homomorphism to the corresponding function between sets.

2.4. The Dual Equivalence between the Categories of Algebras and Coalgebras
- In Set, to Cartesian products.
- In Pos, to Cartesian products with a pointwise order.
- In Top, to Cartesian products with a topological order.
- In Vectk, products are direct sums.
- In a poset, seen as a category, products correspond to the greatest lower bounds.
- In Set, to disjoint unions.
- In Top, to topological disjoint unions.
- In Vectk, direct sums are coproducts
- In a poset, seen as a category, coproducts correspond to the least upper bounds.
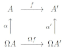
where it is obvious the signature Ω is interpreted as the polynomial set functor emphasizing that Ω operates on functions between sets. From this, it is possible to generalize to the notion of the algebra category for a given endofunctor Ω, i.e., Alg(Ω).
2.5. Non-Wellfounded Sets in the Category of Coalgebras as Causal Sets
- In the recursive induction (the transfinite induction included) of well-founded set theories the continuous set operators, i.e., satisfying the CT primitive of the morphism composition, have only one least and one greatest fixed points, i.e., the empty set and the universal collection V (Von Neumann’s proper class), respectively.
- In the recursive constructions of NWF-sets, where several arbitrary partial orderings are admitted, the continuous set operators have many fixed points—effectively, many possible lower and upper bounds of different recursive algebraic-inductive upward directed , and coalgebraic-coinductive downward directed poset construction procedures (see below the application to concurrent computations in TCS for modal BAOs in Section 5.2.2 and Appendix A for applications to mathematical analysis in the CT framework).
3. Some Elements of the Quantum Mechanics Formalism in a Categorical Setting
3.1. The Stone–Von Neumann Theorem in the Quantum Mechanics Formalism
3.2. The Completion of Von Neumann’s Formalism by the Gerlfand–Neimark–Segal Construction and Its Categorical Interpretation
3.3. The Interpretation of QFT as “Second Quantization” with Respect to QM
4. The Extension of QFT to Modeling Dissipative Systems in a Categorical Setting
4.1. The Theoretical Problem at Issue with the Haag Theorem
the same dynamics (i.e., the same set of Heisenberg equations) may lead to different solutions when unitarily inequivalent representations (Hilbert spaces of physical states) are used in computing the matrix elements. The choice of the representation to describe our system is thus of crucial importance in solving the dynamics: the same dynamics may be realized in different ways (i.e., in different unitarily inequivalent representations). The choice of the representation may be considered as a boundary condition under which the Heisenberg equations have to be solved (see [9], p. 55).
4.2. The Thermal Interpretation of QV
The vacuum becomes a bridge that connects all objects among them. No isolated body can exist, and the fundamental physical actor is no longer the atom, but the field, namely the atom space distributions variable with time. Atoms become the “quanta” of this matter field, in the same way as the photons are the quanta of the electromagnetic field ([110], p. 1876).
4.3. The Bogoliubov Transform
4.4. The Goldstone Theorem
- Firstly, all this means that each massive or non-massive “elementary particle” of the SM, both fermions (quarks, neutrinos, and electrons) and gauge-bosons (gluons, photons, Z-W bosons), and the Higgs-boson, are considered in QFT as quanta of their respective fields (see Figure 5). This ontological stance is consistent with the passage to the mathematical formalism of the so-called string theory, where a particle is not represented by a “point” and its motion as an “unidimensional trajectory” in the state space, but it is represented as a vibrating string and its motion as a bidimensional brane, where the intensity of the string vibration is proportional to the energy of the associated field.
- Secondly, in QFT, an uncertainty relation holds and then a particle-wave duality, similar to Heisenberg’s one of QM relating the statistical uncertainty between the momentum and position of particles (see Equation (1), above). Effectively, in QFT, in the light of the Goldstone theorem, the uncertainty and then the particle-wave duality concerns the number of the field quanta n, with respect to the field phase ϕ, namely:
- 3.
- Thirdly, another fundamental unifying notion, not only with respect to quantum physics but also with respect to quantum biology and quantum computing as far as both are based on QFT, is the notion of the NG-bosons. Of course, they are not “gauge bosons”, quanta of energy, such as the bosons of the four fundamental forces of the SM (see Figure 5), since they are quanta of the coherent modes of being in phase of the quantum fields. Therefore, they appear in all the equations of QFT related to the instauration of long-range correlations among quantum fields. In this way, it is a further consequence of the Goldstone theorem that any long-range phase coherence among quantum fields related to SSB of QV at its ground state has its “fingerprint” in the unique countable value of a given condensate of NG-bosons. Now, despite “these correlation quanta” being real particles, observable with the same techniques (diffusion, scattering, etc.) of the other particles, nevertheless, because their mass is in any case negligible (or even null), their condensation does not imply a change in the energy state of the system. This means that, if the symmetric state is a possible ground state (a minimum energy state or a degenerate “vacuum” of a QFT system), the coherent state, after the symmetry breakdown, also remains in a state of minimal energy to be stable in time. In the macroscopic terms of classical kinematics, it is representable as a stable (chaotic) attractor of the overall dynamics [118]. Or, more properly, in the formalism of QFT, this phenomenon is the core of the principle of foliation of QV at its ground state for different values of a given condensate of NG-bosons, as a “robust principle of ‘construction’ and ‘memory’ used by nature to generate ever more complex systems [9,34], as we already recalled and will explain formally using the powerful colimit operation of the CT mathematics (see Section 4.8).
- 4.
- Fourthly, the Goldstone theorem and the SSB principle related to the instauration of long-range correlation applies both to the relativistic QFT of atomic and subatomic physics at the microscopic level, and it applies to many-body physics of condensed states of matter at the macroscopic level. This constitutes a fundamental analogy—to use Nambu’s words [116,117]—between these two levels of matter organization. Indeed, the long-range correlations, related to the instauration of phase coherence domains among the involved matter fields and their quanta, all imply a dynamic re-definition of the metrics characterizing the system dynamics and its properties. In this sense, the macroscopic phenomena of condensed matter physics related to system phase transitions have their own proper explanation at the microscopic quantum level [9].
4.5. The Non-Commutative Coalgebraic Modeling of QFT Dissipative Systems
4.6. The QV-Foliation and the Principle of Doubling of the Degrees of Freedom as a Solution of the Complexity Issue in Fundamental Physics
Because of the principle of the “doubling of the degrees of freedom” (DDF), the canonical Hamiltonian, i.e., the finite number of degrees of freedom for a faithful representation of the system, must not be supposed any longer such as in the SQ modeling of QFT (Section 3.3) but (thermo)dynamically justified in far-from-equilibrium conditions of many-body physics.
the trace is obtained by multiplying the matrix elements by and summing over n and m.
as an external (to the operator algebra) computational tool, which essentially amounts in picking up “by hand” the diagonal elements of the matrix and summing them. One may instead represent the in terms of the doubled tilde-states with and ([34], p. 45).
in the states m is an integer number. We thus have a Kronecker delta in Equation (9) and not a Dirac delta ([34], p. 45).
4.7. The Cognitive Relevance of the QFT Modeling of Non-Linear Brain Dynamics
To conclude, in this “holistic” framework of intentional behaviors, the concept of the boson carrier and the boson condensate does more; it enables an orderly and inclusive description of the phase transition that includes all levels of the macroscopic, mesoscopic, and microscopic organization of the cerebral patterns that mediate the integration of the animal with its environment, down to and including the electric dipoles of all the myriad proteins, amino acid transmitters, ions, and water molecules that comprise the quantum system. This hierarchical system extending from atoms to the whole brain and outwardly into the engagement of the subject with the environment in the action-perception cycle is the essential basis for the ontogenetic emergence and maintenance of meaning through successful interaction and its knowledge base within the brain. By repeated trial-and-error, each brain constructs within itself an understanding of its surroundings, which constitutes its knowledge of its own world that we describe as its double. It is an active mirror 24 because the environment impacts onto the self independently and reactively. The relations that the self and its surround construct by their interactions constitute the meanings of the flows of information that are exchanged during the interactions ([39], p. 108).
4.8. Categorical Definition of the QFT Systems as Initial (Terminal) Objects of Comma Categories (Universal Morphisms)
- We can formalize the general “particle-wave” duality principle in QFT of Equation (4) in Section 4.4, for which new objects (systems) “emerge” in nature as new phase coherence domains of the quantum fields at their ground state such as many SSBs of QV, using the categorical constructions of the initial/terminal objects in comma categories. Indeed, we can start from a given category of quantum fields mapping its objects (quanta) and morphisms (fields) over a category via the functor F: B → C. In turn, the SSB mechanism of the phase coherence among quantum fields can be formalized as a functor from the category 1 with one object and its identity (reflexive) morphism as a functor c to C to obtain the structure of the comma category . In this way, we can define any new “emerging” object (system) in nature by the “universal morphism” (commuting diagram) from c to F as the initial objects (= colimits) in the comma category or dually as terminal objects (limits) in the comma category (see Definition A1 and Definition A2 with their explanations in Appendix A). Finally, it is worth emphasizing for the logical applications of this construction that set-theoretically this interpretation of objects as (self-containing) phase coherence domains of the quantum fields requires the set self-membership property characterizing the coalgebraic category of the NWF-sets (see Section 2.5 and Section 5).
- Because of the category qHCoalg(), and the existence of only one generator G of all the Bogoliubov transforms—strictly related to the NG-boson condensate value indexing “dynamically” each phase coherence domain or degenerate state of QV (see Equation (8))—we can categorically formalize the fundamental QFT construction of the “QV-foliation” by the colimit construction. Indeed, also in the QFT case, we can substitute the category of Definition in Appendix A with the small category of indices where the set of indices corresponds here to the set of the NG-boson condensates univocally associated with the QFT non-commutative coproducts, i.e., , with each identifying a phase coherence domain (or “degenerate state”) of the QV, i.e. . The “universal morphism” is therefore in terms of the initial objects of comma categories , which are colimits of “cocones of morphisms” according to Definition A3 in Appendix A.
- This depends on the fact that in QFT, there also exists a constant diagram: , mapping every object in to c and every morphism in to . We can therefore define the diagonal functor as the functor assigning to each QFT object c of C the diagram (constant functor) and to each morphism (Bogoliubov transform) in C the natural transformation . Because are constant functors, Δf is just the morphism for every object in .
- Because the “diagonal functor” is, in QFT, a categorical generalization of the diagonal form of the Pauli’s matrices of the dissipative QFT calculations on integer numbers (see Section 4.6 and Equation (9) with the relative comments), one could propose the following hypothesis requiring further studies and developments: namely, that the category DHilb() constitutes a locally finitely presentable sub-category of the category Hilb, with ordered objects (coproducts) characterized by infinitely many countable -directed colimits (see [140], pp. 2–3) because it satisfies the fundamental condition of having only one generator G of all the Bogoliubov transforms (see [37], p. 18).
5. From Coalgebras in Physics (QFT) to Coalgebras in Kripke’s Relational Semantics
- An examination of the Boolean logic in the light of Stone’s momentous RTBA and the consequent Tarski’s and Jónsson’s construction of BAO’s, extending the operator algebra formalism from physics to logic. The core of both constructions is, indeed, the notion of field of sets, that is, the subalgebra of the power-set of a given set. Indeed, this subalgebra is a -algebra, that is, an algebra defined on a measure space and specifically on a probability space characterized by a finite number of degrees of freedom (the orthonormal basis of the associated Hilbert space, for instance) on which the statistical expectations are calculated. This opens the way for an extension of the operator algebra formalism over a topological complex algebra (algebra-subalgebras structures), from the statistical and quantum physics to the so-called “topological approach” to Boolean logic, properly to BAO logic.
- A formal explanation of the algebraic formalization of the relational notion of meaning function in CT logic, in which the semantics of the Boolean propositional logic is validated by its homomorphism with a complex (co)algebra over a topological space.
- Its extension to Goldblatt’s and then to Kripke’s coalgebraic modal relational semantics of BAOs in their categorical setting, which is the proper logic of the NR-formal ontology.
5.1. From Stone’s Representational Theorem for Boolean Algebras to Tarski’s Theory of the Boolean Algebras with Operators
5.1.1. Definition of “Field of Sets”
- (closed under complementation).
- (closed under union).
- (closed under intersection).
- (closure under countable unions).
- (closure under countable intersections).
5.1.2. Stone Representation Theory of Boolean Algebras
- A subset is called a proper filter on P if:
- ◦
- F is nonempty (i.e., with the exclusion of the empty set );
- ◦
- For every and hold; and
- ◦
- For every and , implies that y is in F too.
- A proper subset U of P is an ultrafilter on P if:
- ◦
- U is a filter on P; and
- ◦
- There is no proper filter F that properly extends U.
- is an ultrafilter on P.
- is a prime ideal on P.
- For each a P, either a P, or a P.
5.1.3. Jónsson–Tarski Theory of the “Boolean Algebras with Operators”
5.1.4. The Meaning Function in Relational Semantics
5.2. The Coalgebraic Relational Semantics of Kripke Models in Modal Logic
5.2.1. From Goldblatt’s to Kripke’s Development of a Modal Relational Semantics
5.2.2. Bisimulation and Co-Induction in Coalgebraic Logic

5.2.3. The Relevance of Kripke’s Modal Relational Semantics for an Ontology of Quantum Physics
- By an abstraction through a universal second-order quantification over all valuations on propositional formulas: ∀V(V(ϕ)).
- Or, on the contrary, as we anticipated some paragraphs before but we now discuss in a more formal way, we can pass in Kripke’s model theory to a first-order semantics of a propositional formula ϕ in a total and/or in a local way if we do not quantify over all the valuation functions (second-order), but if we quantify at the first-order over all (respectively some) possible worlds. Namely:
- Either, over all the possible world-states w of the universe W for which a given formula φ is true, i.e., : total truth.
- Or, over a restriction of possible world states for which a given formula ϕ is true: local truth. Specifically, Namely, if R ⊆ W × W is any binary relation over W, and W’ ⊆ W, we write R¸W’ for the restriction of R to W’, i.e., R¸W’ = R Ç (W’ × W’). Similarly, for a valuation V on W’, V|¸W’ stands for the restriction of the evaluation function to the formula defined on the partition W’.
- ☐p → p (≡def T) defines (is validated by) the class of frames, which consists of isolated reflexive points/worlds such that ∀x,y (Rxy ↔ x = y).
- ○
- [The meaning of axiom T (from “truth”) is evident: it is the axiom scheme of all alethic logics in modal formal logics and ontologies. It says, indeed, that if a proposition p is true in all possible worlds, it is evidently true also in the actual one]. For example, if the Galilean law of falling bodies is true in all possible physical worlds, it is also true in ours.]
- ☐p → ◊p (≡def D) defines the class of frames where the frame relation R is “serial”: ∀x∃y (Rxy).
- ○
- [The meaning of axiom D (from “deontic”) is evident too. It says that if p is necessary, it is possible as a necessary condition. It is therefore the axiom scheme of all “deontic logics”. Nobody, indeed, can be morally or legally obliged to something that is impossible for him/her: the possibility of satisfying a moral oughtness is a necessary condition of the validity of a moral obligation (“impossibilia nemo tenetur”, in Latin). In the difference between axiom T and axiom D, the core of the famous “Hume principle” of not confusing alethic and deontic necessity is hidden, the “world of facts” and the “world of values”].
- ☐p → ☐☐p (≡def 4) defines the class of frames, where the frame relation R is “transitive”: ∀x,y,z ((Rxy ∧ Ryz) → Rxz).
- ○
- [The meaning of the axiom 4 is, indeed, the “transitivity of necessitation’s”. It is typically the axiom of the modal formalization of the “scientific necessity” according to distinct levels of necessitation (ordered natural laws) against any naïve reductionism]. For example, the laws of physics are necessary also in chemistry, even though they are not sufficient for justifying all the chemical phenomena, etc.]
- ◊p → ☐◊p (≡def 5 or E) defines the class of frames, where the frame relation R is “Euclidean”, sometime denoted as a “weak transitivity”: ∀x,y,z ((Rxy ∧ Rxz → Ryz)).
- ○
- [The axiom 5 (in Lewis’ enumeration) or E (from “Euclidean”) is in some sense the axiom of the formalization of “metaphysics”, because it states that if something is possible, it is “necessarily possible”. In this sense, it formalizes the notion of “faculty” as a “power” that necessarily pertains to something/somebody because it characterizes its/her/his “nature” or “essence”]. For example, think of the faculty or the “necessary possibility” of thinking or of freely deciding as characterizing each human person, as an irreducible subject of rights and duties in society.]
- (…)
6. Some Final Remarks from a Historical Perspective
6.1. The Logic of NR-Formal Ontology as a Formalized and Ecological Philosophy of Nature
6.2. The NR-Formal Ontology from a Historical Perspective
However, in those things that happen because of something (propter aliquid), either by technology (secundum artem), or by nature (secundum naturam) 37, this reversal holds, because if some final state [effect] is or will be, it is necessary that something before this final state, or will have been or is [cause]. (…) Therefore, the similarity is from both sides, even though with an inversion of the relation between the two ones (quamvis e converso se videatur habere). ([86] In Libros Physicorum, II, lect.15, n.5).
The movement of the cognitive faculty terminates into the mind: it is therefore necessary that the known be in the knowing according to the knowing modality; on the other hand, the movement of the appetitive faculty terminates into the thing. Therefore, this is the sort of circle in the acts of mind that the Philosopher affirms in his III Book of De Anima. According to it, the thing that is outside mind moves the intellect, then the intellectualized thing (res intellecta) moves the appetitive faculty, and this directs itself toward the thing for reaching that from which the cognitive movement started (see [86], Quaestiones Disputatae De Veritate, I, 2co.).
It is (…) interesting, though not always remembered, the fact that Galileo also adhered to this (resolution-composition) method, which he learned from his visits as a young man to the Jesuits of the Roman College, who were profoundly influenced by Zabarella. In fact, Galileo also believed that physics, in particular astronomy, was structured like mathematics, that is, that it proceeded first with the resolutive and then with the compositive method, and that way was able to provide “necessary demonstrations”, that is demonstrations endowed with necessity, not only from causes to effects, but also from effects to causes. Furthermore, in logic he always considered himself, as we know, totally Aristotelian, referring to the Aristotelianism of his time, that is, above all, of Zabarella. The novelty that Galileo introduced in regressus were the experiments, the “sensible experiences”, that is, the so-called experimental method, aimed at assuring the truth of the effects, which is the truth of the conclusions. However, he did not doubt that, once the truth of the conclusions was determined, they would be enough to guarantee the truth of the hypotheses from which they sprung, transforming them in unmitigated principles (…). As we know, Galilei claimed to have found the argument that proved in an absolute necessary way the truth of Copernican theory, and he pinpointed it in the phenomenon of tides, which he explained as a consequence of the earth’s movement ([166], pp. 289–290).
Funding
Informed Consent Statement
Data Availability Statement
Conflicts of Interest
Abbreviations
| BA | Boolean Algebra |
| BAO | Boolean Algebra with Operators |
| CCR | Canonical Commutation Relation (in QM and QFT) |
| CDM | Cold Dark Matter (Model in GR) |
| CMB | Cosmic Microwave Background (Radiation) |
| CSM | Cosmological Standard Model (in GR) |
| CT | Category Theory |
| DDF | Doubling of the Degrees of Freedom |
| ESR | Epistemic Structural Realism |
| FOL | First Order Logic |
| GR | General Relativity Theory |
| ML | Modal Logic |
| NBG | Von Neumann-Bernays-Gödel (Set Theory of) |
| NG | Nambu-Goldstone (bosons) in QFT |
| NR | Natural Realism (formal ontology) |
| NWF | Non-well-founded sets (Theory of) |
| OSR | Ontic Structural Realism |
| PC | Predicate Calculus |
| QFT | Quantum Field Theory |
| QM | Quantum Mechanics |
| QV | Quantum Vacuum |
| RTBA | (Stone’s) Representation Theorem for Boolean Algebras |
| SM | Standard Model (in QFT) |
| SQ | Second Quantization (interpretation of QFT) |
| SR | Special Relativity Theory |
| SSB | Spontaneous Symmetry Breaking (of the QV) |
| ST | Set Theory |
| TCS | Theoretical Computer Science |
| TOE | Theory Of Everything (in Fundamental Physics) |
| Z | Zermelo (Set Theory of) |
| ZF | Zermelo-Fraenkel (Set Theory of) |
| ZFC | ZF with Choice Axiom (Set Theory of) |
Appendix A. The Categorical Operations of “Limits” and “Colimits”
One type of problem in category theory is the universal mapping problem. Informally, these problems look for a morphism (called the “universal morphism”) that satisfies some desired property, such that any other morphism satisfies the property “factors through” it in the sense that it is the same universal morphism composed of some other morphism ([169], p. 3).



It is reasonable to ask why the continuum should be defined coinductively rather than inductively. It seems to us that the coinductive nature of the continuum is a consequence of our computing not with the reals themselves but inductively with rationals as approximations to reals. The computational status of the reals is not as elements but as predicates on the rationals, specifically the Dedekind cuts in the rationals. But elements and predicates are dual notions: whereas elements of a set X can be understood as functions to X, predicates on X are functions from X ([72], p. 119).
Appendix B. The Core of Stone’s Representation Theorem for Boolean Algebras
- The field of sets must be separative, i.e., for every pair of distinct points, there is a complex containing one point and not the other.
- The field of set must be compact, i.e., for every proper filter over X, the intersection of all the complexes contained in the filter is non-empty.
- is always a zero-dimensional space (i.e., graphically representable as a “point”).
- is a Hausdorff space (i.e., whose points have disjoint neighborhoods) if is separative.
- is a compact space with compact open sets if is compact.
- is a Boolean space or a Stone space with clopen sets if is both separative and compact.
| 1 | Following W. V. O. Quine’s reconstruction ([29], pp. 133–136), according to this principle formulated by Russell to justify his solution of Cantor’s and Frege’s antinomies by a “ramified type theory”, each object in logic, either individual or collection (set, class) can exist only as a member or element of the domain of a given predicate (i.e., of an “higher type” class), and finally, because it is so satisfying a self-identity relation, as a member of the universal class V, intended as the domain of the meta-predicate “being true”. As Quine synthesizes, “V (stays) for V is, by definition, the class of all those elements which are self-identical, i.e., since everything is self-identical (…), V is simply the class of all elements” ([174], p. 144). It is worth emphasizing that all this is equivalent to affirm that in standard ST no set self-membership is allowed, i.e., no set can be an element of itself. A condition that in ZF, for example, is granted by the “foundation” and the “pairing” axioms, which, because of the consequent Zermelo’s “well-ordering theorem”, at the same time grant that every set has an “ordinal rank”, according to Von Neumann’s “ordinal cumulative hierarchy” construction (see [66] for a synthesis). |
| 2 | For instance, from the truth of the propositions: “Julius Caesar wrote the De Bello Gallico” and “Julius Caesar fought in Gallia”, by applying the connective “and”, we can deduce the truth of the composed proposition “Julius Caesar wrote the De Bello Gallico and fought in Gallia”. On the contrary, we cannot deduce the truth of the composed proposition “Julius Cesar wrote the De Bello Gallico while he was fighting in Gallia”, typical of the tense-logic that is one of the possible alethic interpretations—historically the first one since Aristotle—of the MC. For the truthfulness of tense-logic propositions it is necessary, indeed, in ML to consider the relationships between the present or “actual” state of the world, and other past and/or future “possible” states of the world. |
| 3 | The distinction between “optimality” and “maximality” conditions for the ethical constraints —where “optimal” stays for “good in all the possible worlds”, and then for all the human groups/cultures, and “maximal” stays for “good in some possible worlds”, and then for some human groups/cultures—where introduced in the contemporary debate by the 1998 Nobel Prize in Economy Amartya Sen. This distinction is the core of his theory of the Comparative Distributive Justice, based on the notion of equity (fairness), instead of the abstract (and false) “equality” in social sciences, of which he proposed also a formal version [162]. This was done in the framework of the newborn discipline of the social choice theory, he contributed to create, and to which he significantly dedicated his Nobel Lecture [175]. Today the “social choice theory” is a branch of the formal philosophy, the branch concerning the “decision theory and social philosophy” (see [176], pp. 611–725). |
| 4 | Effectively, in a formalized deontic logic in our global society and economy, the optimal choice (absolute) criterion must be substituted by a more effective and fair maximal choice criterion for different social/economical situations and value systems, relative to different groups in the society, according to a comparative theory of distributive justice as fairness, having in the personal flourishing of human individuals and group the “common good” to be pursued. This social theory was developed by the Nobel Prize in Economics Amartya Sen into the so-called social choice theory, conceived as a formal version of the political and social philosophy [162]. |
| 5 | In the case of “balanced” open systems, the summands of the coproducts cannot commute with each other because representing the system and the thermal bath energy contributions in the calculation of the total energy of the quantum state. |
| 6 | Effectively, a difference occurs between them. The coproducts of the Bogoliubov construction in QFT for dissipative systems are non-commutative, so that the corresponding Boolean algebras are non-commutative or skew Boolean algebras that satisfy the same axioms of the general Boolean algebras except for the commutativity between the and operators (see [160] for an extended examination). |
| 7 | For a connection with the actual use of “formal ontology” in computer science, it is sufficient to recall that “transcendental subject” in philosophy does never refer to a human individual, but to the common way of thinking and believing shared by a group of individuals, in the limit, by all the human individuals, as conscious—and then intentional—agents. |
| 8 | It is significant that for the conceptualist ontology there is per se no representative in the Ancient and Middle Ages, because it is typical of the Modern Age. It starts indeed with Descarte’s foundation of the logical truth on the mental evidence and then on consciousness, and not on the “conformity” (homomorphism) of the structures of language with the structures of reality like in the Middle Age Platonic (logicism) and Aristotelian (naturalism) philosophies. Descarte’s and modern conceptualist positions can therefore be synthesized with the slogan: “a statement is true because it is evident, and not it is evident because it is true”, as it is in the logical and natural realisms. |
| 9 | Please, note that because is not a primitive in CT, objects for existing in CT must not satisfy a self-identity relationship and then their membership to V like in ST, where they must satisfy Russell’s set-elementhood principle for being consistently defined/demonstrated as existing in the theory (see Note 1). |
| 10 | For understanding immediately, the relevance of an arrow-theoretic way of thinking as to the set-theoretic one, let us think at the oldest proof method in the Western logic, which is the Aristotelian deductive (categorical) syllogism in its more fundamental form, the so-called In Barbara form. For instance: “If all humans (B) are mortal (A), and all the Greeks (C) are humans, then all the Greeks are mortal”. Now, in the extensional interpretation that Leibniz (followed by Euler and Venn) gave of the Aristotelian scheme: “AB & BC∴AC”, this corresponds to stating predicatively: . Such a predicative formula has according to Leibniz its extensional proof in the transitive inclusions of the respective classes . In CT where the set-elementhood is not a primitive, the universality of this demonstration takes the form of the commutative triangular diagram, ABC we discussed before, whose objects are categories—which in the Aristotelian syllogisms are always “natural kinds”—and the morphisms are functors (see Definition 3. and [177] for this functorial interpretation of the syllogism “triadic” structure). Significantly, this categorical formalization of the syllogism can justify also the Aristotelian non-extensional (modal) syllogisms that, on the contrary, Leibniz’s extensional interpretation cannot do, as J. Łukasiewicz first noticed [164]. |
| 11 | On this regard, it is significant the fundamental work of R. Maddux [178] who demonstrated the strict relationship of Peirce’s naïve triadic algebra of relations [179] with its axiomatic development into a calculus of relations by Tarski [69]. Not casually, indeed, the last book published by A. Tarski with S. Givant [180] (see also [181]) concerns precisely the demonstration of two fundamental results. (1) Before all, the demonstration that an irreducible triadic algebra of relations is sufficient for expressing faithfully any first-order logic (FOL) formula up to logical equivalence. That is, any FOL formula of the predicate and propositional calculi can be expressed faithfully in an equation logic (having arithmetic operators as connectives and numbers as their arguments) on a triadic basis. This fragment of FOL and the corresponding variety of relation algebras (RA)—i.e., the class of relation algebras defined by purely equational postulates—are therefore sufficient for expressing not only the Peano arithmetic, but also practically all axiomatic set theories ever proposed. Secondly, (2) just because of this expressive power, RA suffers in logic the same limitations imposed by Gödel’s incompleteness theorems. I.e., the logic based on RA is incomplete and undecidable. However, and this is the second fundamental result, the Boolean FOL fragment of RA results to be complete and decidable, since its semantics is defined over partially ordered sets. All this means that we can express algebraically almost all mathematics in terms of a triadic RA, and more significantly we can express FOL without using quantifiers , connectives , and turnstiles , but essentially the equation logic of a Boolean algebra. If all this explains the odd title of Tarski’s and Givant’s book “A formalization of set theory without variables” [180], this algebraic construction of logic and mathematics is completed by the possibility in CT “arrow-theoretic” logic of demonstrating the natural number construction by primitive recursion without any (impredicative) reference to numbers as predicative numerals like in ZF (see [182,183,184] and [68], p. 285). |
| 12 | Effectively, the present-time event in the causal light-cone (see Figure 1) can be categorically interpreted as the final object F sharing with all the other events A belonging to its past/future light-cones a dual causal morphism in the sense of Definition 7. Indeed, in the case of the set of events belonging to the past light-cone, F plays the role of an initial object I defined by the unique morphism pointing to the set of its causes, i.e., . In the case of the set of events belonging to the future light-cone, F plays the role of a terminal object T defined by the unique morphism since the set of its effects are pointing to F as to its shared cause, i.e., |
| 13 | Effectively, as Rieger rightly recalls, the foundation axiom is not per se necessary for avoiding Cantor’s antinomies in the transfinite induction construction (see also [76]). The other axioms of ZF, first the “separation” and the “power-set” axioms, are sufficient for avoiding them. Effectively, the foundation axiom was introduced by Zermelo essentially for granting his well-ordering theorem. |
| 14 | All Aquinas’ works are here quoted using their Latin title, according to the online edition of Aquinas’ Collected Works in [86]. The translations into English of the different passages are mine. Effectively, in Aquinas’ ontology the physical objects in nature or “substances”, either “individuals” (“primary substances”) or “species” (“secondary substances”, for existing must satisfy a simple reflexive/identity relation (reditio ad semetipsum, “return onto itself”) like objects in CT, and not a double-reflexive/self-identity relation like objects in ST. The self-identity relation, indeed, for Aquinas characterized the logical objects in mind, as far as they are abstract objects. |
| 15 | stays in standard set-theoretic predicate logic for , where P is the class connoted by the predicate P denoting the identity shared by all the elements x of the class, and where, therefore, the class P must be of a higher ordinal rank with respect to its elements x, i.e., belonging to the domain of the predicate P, if we must avoid the “Russell antinomy” in Frege’s theory of classes (see Note 1). |
| 16 | Roughly speaking, this means that the state (classical mechanics) and/or the phase (statistical mechanics) space representing the system dynamics is invariant by exchanging each other the two canonical variables onto the orthogonal axes of their graphic vectorial representation. |
| 17 | Effectively it is a sort of “resonance” or “constructive interference” among statistical wave functions “oscillating coherently” with the same phase, as the famous “double-slit” experiment exemplifies very well also for the wave functions of only one particle (pure states). |
| 18 | In physics an “observable” is a physical magnitude that we can measure, for instance, the position and the momentum. In Classical Mechanics, an observable is a real-valued function on the set of all possible states. In quantum physics (QM and QFT), it is an “operator” because the properties of the quantum state, that is, the probability distributions for the outcomes of any possible measurement performed over it, can be determined only by some sequence of operations, e.g., by submitting the systems to the action of several electromagnetic fields, and then reading the resulting different values. |
| 19 | In functional analysis, a C*-algebra is a Banach algebra—that is, an associative algebra over the fields of real or complex numbers that is also a “Banach space”, i.e., a space with a defined norm complete in the metrics induced by the norm – together with an involution (a reversal of the morphisms like between f (x) and f −1(x)) satisfying the property of adjointness. In the specific case of quantum formalism, it is an algebra B over the complex number field of continuous linear operators on a complex Hilbert space. In this case, the adjointness condition is strictly related to the Hermitian one (denoted by the symbol *), of the “inner products” characterizing generally the Hilbert spaces. That is, without going deeper in the technicalities, given a linear operator between Hilbert spaces, the adjoint (dual) operator fulfills the condition between the relative inner products: . In the case that the Hilbert spaces concerned are identical, A is an endomorphism on the same Hilbert space satisfying therefore a self-adjointness property and then the duality between a Hilbert space and its operator space *. For this reason, Hilbert spaces are self-dual. In the case of C*-algebras, this adjointness condition is extended to the operators acting on Banach spaces , with corresponding norms . Its adjoint operator is . In this case, the Banach algebra B satisfies two other properties: (1) it is topologically closed in the norm topology of the operators; (2) it is closed under the operation of taking adjoints of the operators. In the CT formalization, this means that the category of Hilbert spaces Hilb is effectively a full subcategory of the category of Banach spaces Ban, and then that Hilb is not cocomplete because all its colimits are in Ban not in Hilb (see [140] and below Section 4.8). Finally, one can extend the C*-algebra construction also to non-Hilbert C*-algebras. This class includes the algebras of the continuous functions i.e., vanishing in the infinite limit. This justifies Landsman’s reading of all classical and quantum physics in this framework of the algebra of operators, per se born, as we have seen, in the framework of quantum physics formalization. |
| 20 | The algebraic tensor product between two vector spaces V and W over the same numerical field, is itself a vector space, endowed with the operation of bilinear composition denoted by from ordered pairs in the Cartesian product to , so to generalize to tensors the matrix outer product. Where: the “bilinear map” is a function combining elements of two vector spaces to yield elements of a third vector space, and it is linear in both of its arguments, while the “outer product” of two vectors of dimensions n and m is a matrix. In the case of two tensors, the outer product is another tensor. A fundamental property of tensor products between finite dimensional vector spaces is that the resulting vector space has dimensions equal to the product of the dimensions of the two factors: . This distinguishes the tensor product from the direct sum vector space, whose dimension is the sum of the dimensions of the two summands: . Just as – for giving another example of the direct sum operation in algebra well known by everybody –, the direct sum —where is a coordinate space defined on real numbers—is the bidimensional Cartesian plane. |
| 21 | Effectively, the “quantum entanglement” acquires, in the light of the long-range correlations among quantum fields in QFT related to the Goldstone Theorem, an immediate intelligibility, showing that it does not imply any absurd “causal interaction” among quantum particles violating c (the light velocity). That is, a physical signal propagating at a superluminal velocity, which is the deep reason for which Einstein refused the quantum “non-locality” (entanglement) in his famous discussion with Niels Bohr, during the 30’s of the last century. For showing this, it is sufficient to recall the notion of “phase velocity” in the vacuum of SR that holds also in QFT. Now, , where P is the field phase, E is the total energy, and p is the momentum of a given physical signal. Therefore, in SR, , where is the Lorenz constant, m is the mass, and v is the velocity of the physical signal that is always less or also much less than c. This means that the phase propagation (or the propagation of correlation waves among quantum fields) in microphysics (QFT) is practically instantaneous without violating c. |
| 22 | Think at the everyday experience of the boiling water, exemplifying the continuously changing correlation-length among the water molecules, and then the continuously changing “dynamic boundary” of the vapor-liquid phase transition of water. |
| 23 | The dynamic mechanism according to which the water molecules, beyond a given density threshold, can condense into coherence domains (CDs) among their electric dipoles fields is today well known (see [120,185] for a more recent synthesis with several bibliographic references). The core of such a mechanism is that in each water CD the molecules oscillate coherently between two configurations of their electronic clouds, so to produce an electromagnetic field oscillating with the same frequency. The water CD can, therefore, attract by resonance a small number of “guests” molecules different from water, which share thus the energy stored in the CD. In this way, we have a much more efficient way than the random “diffusion process” introduced by the last work of A. M. Turing as the fundamental method of morphogenesis in biological matter [186], to make possible that selective chemical reactions occur, given that the chemical forces propagate only at short distances. For instance, this is the dynamic core of “cell specialization” in epigenetics, where only some sequences of the DNA that is the same for all the cells of a given organisms are activated/de-activated, because of the presence/absence of the proper molecules in the cell environment. In short, “the interplay between chemistry and electromagnetic field produces a collective oscillation of all the CDs that, according to the general theorem of quantum electro-dynamic coherence, gives rise to an extended coherence, where the CDs of water and “guest” molecules become the components of much more extended ‘super-domains’ which could just be the various organs” ([120], p. 37), at different level of the biological matter self-organization. Another well-studied phenomenon strictly related to the dipole CDs is the formation, propagation, and the reciprocal synchronization of solitons, that is a self-reinforcing solitary wave (a wave packet or pulse) that maintains its shape while it travels at constant speed. Solitons are caused by a cancellation of the nonlinear and dispersive effects in the medium. In macroscopic fluid dynamics, the formation of a “tsunami-wave” in the sea is a terrible example of “sea water soliton”! In biological matter electro-dynamics, the soliton presence is well established both in DNA and in protein dynamics, displaying a fundamental role for the efficiency of the cell metabolism through the cell microtubules, whose relevance for a quantum foundation of biology is today well recognized [120]. |
| 24 | This notion, as Freeman and Vitiello explain elsewhere [40], is a critical reference to the much more famous theory of the “mirror neurons” by Giacomo Rizzolatti and his group [187]. The criticism consists in the fact that—apart from the fact that Rizzolatti’s mirror neurons are limited to the brain interaction with the social environment—the measurements concerning the mirror system in the ape and in the human brains concern essentially the passive answer of neuron arrays of the motor neurons of one animal to stimulations deriving by the motor neurons of another animal, without explaining the underlying dynamic mechanism that, on the contrary can have an elegant explanation at the fundamental physical level in the DDF principle of QFT as a result of the system-environment entanglement. |
| 25 | We recall that, following Von Neumann’s construction of “cumulative hierarchy of ordinal number ranks” for justifying consistently the “transfinite induction” for infinite sets in ZF, is the limit ordinal number of the set of transfinite numbers with cardinality immediately successive to , i.e., to the “cardinality of the denumerable sets”, that is, of all the infinite sets with the cardinality of . |
| 26 | We recall that a Banach space is a Hilbert space if it satisfies the “parallelogram law” characterizing the “inner structure” (inner product) of a Hilbert space, and for which it is self-dual. |
| 27 | In fact, each Hilbert space, precisely for its self-dual character, is complete, i.e., it contains all the limits necessary and sufficient for its computations in functional analysis. However, the category Hilb it is not cocomplete (i.e., it does not satisfy the fundamental “Cocompleteness theorem” (see Theorem A1 and the relative comments in Appendix A), because the category does not contain in itself the colimits for indexing the infinitely many inequivalent Hilbert spaces (see below). |
| 28 | For the reader convenience, I recall the statements of the two De Morgan laws of propositional logic: ; and . |
| 29 | In parenthesis, is highly significant that complete BAs are a necessary ingredient for constructing Boolean-valued models of set theory using P. Cohen’s forcing notion [188]. |
| 30 | The connection of -algebras and measurable spaces in (statistical and quantum) physics is much more evident when we recall that any “probability space” in statistics is a probability triple , where is the set of all possible outcomes; is an event space, which is a set of events , an event being a set of outcomes in the sample space; P is a probability function, which assigns each event in the event space a probability that is a number between 0 and 1. Now, generally is a -algebra, consisting in the collection of all the events we would like to consider according to the type of the statistical analysis we want to perform on a given probability space. More generally, a -algebra or -field on a set X is a collection of subsets of X, closed under complement, under countable unions, and under countable intersections so to constitute a measurable space. |
| 31 | We recall that a “set preorder” means that sets satisfy “reflexive” and “transitive” order relations . So that, a set preorder is a “set partial order” if sets satisfy also “antisymmetric” order relations, while a set preorder is a “set equivalence class” if they satisfy also “symmetric” order relations. |
| 32 | This terminology originates with G. Fobenius in 1880s, who refers to a collection of elements of a group as a “complex”. |
| 33 | Effectively, Stone in the demonstration of his theorem, does not use the Choice Axiom like ZFC but the Zorn Lemma that is an equivalent of this axiom for this type of application. |
| 34 | Generally, in TCS “concurrent computations” stay for two computational processes developing themselves in parallel—during overlapping time periods—instead of sequentially, with one completing itself before the other, and where the final state of the former gives the initial state to the latter according to a “circular” overall procedure. |
| 35 | For this historical reconstruction I am referring mainly to the final part of [32]. |
| 36 | To Aquinas, indeed, is also attributed a short treatise about the modal propositional logic De Propositionibus Modalibus (available online in [86]), in which he offers an original interpretation of the de re and the de dicto modalities. Indeed, the propositional logic, unknown to Aristotle, given that it was defined and developed by his disciples, the Stoics, was well known in the Latin Scholasticism, because of the logical teaching of Anicius Manlius Severinus Boëthius (shortly, “Boethius”: 477–524 A.D.). He not only translated into Latin Porphyry’s Isagoge but wrote two treatises about the categorical (Aristotelian) syllogism and the hypothetical (Stoic) syllogism, by which the two logical calculi—the predicate and the propositional calculus, respectively—were introduced separately into the Medieval and then into the Modern logic, till their unification in Frege’s formal calculus of classes. |
| 37 | Where, by nature means: those things that happen “or always or frequently” and then “not randomly” (a casu), i.e., by deterministic or statistical physical processes, as Aquinas explained before (see [86], In Libros Physicorum, II, lect. 13, n. 2). |
| 38 | That Aquinas is here referring to the notion of local truth (with relativized quantifiers) is evident from the following two quotations always from the De Veritate (“About Truth”) book: «If therefore we take truth in the proper way, according to which the things are said true secondarily (i.e., relatively to an intellect), there are of several true objects (plurium verorum) several truths, and of a true object many truths in different intellects» (see [86], Quaestiones Disputatae De Veritate, I, 4 co.). «On the other hand, the truth that is in the human intellect is not related to things like an extrinsic and common measure to measured things [against Sophists, evidently], but like a measured to a measuring, (…) and therefore it must vary according to the variety of things» (see [86], Quaestiones Disputatae De Veritate, I, 4, ad 2). |
| 39 | For Aristotle, indeed, the predicate “being cause of” is not a category because resulting from the composition of three categories: “relation”, “action”, “passion” in his Table of Categories. |
| 40 | Particularly, it was the Scottish philosopher and logician Sir William Hamilton (1788–1856) who applied systematically, in his monumental work published posthumous Lectures on Metaphysics and Logic, the principle of sufficient reason for the construction of the whole metaphysical building, using a logic refusing explicitly, not only any symbolism, but also any modality, either real (de re) or logical (de dicto). |
| 41 | The terms “cone” and “cocone” helps to understand intuitively the arrow-theoretic notions of “limits” and “colimits” as “terminal” and “initial” objects, respectively. Indeed, if we take a cone, its vertex with respect to its basis can be connoted, either as the unique “terminal object” (common target/codomain) of all the arrows having in each point of the basis their own sources/domains (i.e., “cones of morphisms”), or dually as the unique “initial object” (source/domain) of all the arrows having in each point of the basis their own targets/domains (i.e., “cocones of morphisms”). |
| 42 | We recall that generally in mathematics a direct limit is a way for constructing a larger object from many smaller objects “put together” in a specific way, generally by referring to an higher rank “class” of objects in the predicative set-theoretic approach in logic and mathematics. In CT these objects are from any category (e.g., Set, Grp, Vectk, Top, …) and the way for putting together the smaller objects is specified by the homomorphisms (or more generally, the morphisms) typical of the category concerned. For instance, in the case of sets, let be a family of sets indexed by I, and be a homomorphism for all . Then, the pair is called a direct system over I, the direct limit of the direct system is denoted by , and its underlying set is constituted by the disjoint union (coproduct) of ’s, “modulo” a given equivalence relation . I.e., . That is, if and then if there is some with such that From this definition, we derive the other definition of canonical function in terms of the homomorphism sending each element to its equivalence class. Dually, we can define the notion of inverse limit affirming that an element is equivalent to all its images under the maps of the direct system, i.e., for all . The duality between direct and inverse limits can be expressed as the following relation: . |
| 43 | We recall that a small category is a category whose objects are sets with Card < V, while a large category is a category whose objects are (Von Neumann’s) proper classes with Card = V or even larger if we accept Gödel’s generalized CH in NBG. |
| 44 | In a zero-dimensional topological space, indeed, only one-point sets (i.e., the empty set and the unitary sets) are connected. |
References
- Ladyman, J. Structural Realism. In Stanford Encyclopedia of Philosophy; Zalta, E., Ed. 2020. Available online: https://plato.stanford.edu/archives/win2020/entries/structural-realism/ (accessed on 15 January 2022).
- Lyre, H. Structural Invariants, structural kinds, structural laws. In Probabilities, Laws, and Structures; Dieks, V., Gonzalez, W.J., Hartmann, S., Stöltzner, M., Weber, M., Eds.; Springer: Dordrecht, The Netherlands, 2011; pp. 169–181. [Google Scholar]
- Hermens, R. How Real are Quantum States in ψ-Ontic Models? Found. Phys. 2021, 51, 38. [Google Scholar] [CrossRef]
- Jónsson, B.; Tarski, A. Boolean algebras with operators, Part I. Am. J. Math. 1952, 73, 891–939. [Google Scholar] [CrossRef]
- Jónsson, B.; Tarski, A. Boolean algebras with operators, Part II. Am. J. Math. 1952, 74, 127–152. [Google Scholar] [CrossRef]
- Venema, Y. Algebras and co-algebras. In Handbook of Modal Logic; Blackburn, P., van Benthem, F.J.F., Wolter, F., Eds.; Elsevier: Amsterdam, The Netherlands, 2007; pp. 331–426. [Google Scholar]
- Goldblatt, R.I. Topoi: The Categorial Analysis of Logic, 2nd ed.; Elsevier: Amsterdam, The Netherlands, 1984. [Google Scholar]
- Anderson, P.W. More is different. Science 1972, 177, 393–396. [Google Scholar] [CrossRef] [PubMed]
- Blasone, M.; Jizba, P.; Vitiello, G. Quantum Field Theory and Its Macroscopic Manifestations. Boson Condensations, Ordered Patterns and Topological Defects; Imperial College Press: London, UK, 2011. [Google Scholar]
- Basti, G. Foreword: A chronology of the universe evolution. Aquinas 2020, 53, 33–52. [Google Scholar]
- Aczel, P. Non-Well-Founded Sets; CLSI Lecture Notes; Stanford UP: Stanford, CA, USA, 1988; Volume 14. [Google Scholar]
- Lewis, C.I. A Survey of Symbolic Logic; University of California Press: Berkeley, CA, USA, 1918. [Google Scholar]
- Lewis, C.I.; Langford, C.H. Symbolic Logic, 2nd ed.; Century Company: New York, NY, USA, 1932. [Google Scholar]
- Cresswell, M.J.; Huges, G.E. A New Introduction to Modal Logic; Routledge: London, UK, 1996. [Google Scholar]
- Kripke, S.A. Semantical analysis of modal logic I. Normal modal propositional logic calculi. Math. Log. Quat. 1963, 9, 67–96. [Google Scholar] [CrossRef]
- Kripke, S.A. Semantical analysis of modal logic II. Non-normal modal propositional calculi. In The Theory of Models; Addison, J.W., Henkin, L., Tarski, A., Eds.; North Holland: Amsterdam, The Netherlands, 1965; pp. 206–220. [Google Scholar]
- Tarski, A. The Concept of Truth in Formalized Languages. In Logic, Semantics, Metamathematics, 2nd ed.; Corcoran, J., Ed.; Hackett: Indianapolis, IN, USA, 1983; pp. 152–278. [Google Scholar]
- Patton, C.M.; Wheeler, J.A. Is physics legislated by cosmogony. In Quantum Gravity; Isham, C.J., Penrose, R., Sciama, D.W., Eds.; Clarendon Press: Oxford, UK, 1975; pp. 538–605. [Google Scholar]
- Kripke, S.A. Naming and Necessity; Harvard UP: Cambridge, MA, USA, 1980. [Google Scholar]
- Galvan, S. Logiche Intensionali. Sistemi Proposizionali di Logica Modale, Deontica, Epistemica; Franco Angeli: Milano, Italy, 1991. [Google Scholar]
- Von Kutschera, F. Einfürung in Intensional Semantik; de Gruyter: Berlin, Germany, 1976. [Google Scholar]
- Rescher, N. Epistemic Logic: Survey of the Logic of Knowledge; Pittsburgh UP: Pittsburgh, PA, USA, 2005. [Google Scholar]
- Von Wright, G.H. An Essay in Deontic Logic and the General Theory of Action; North Holland: Amsterdam, The Netherlands, 1968. [Google Scholar]
- Horty, J.F. Agency and Deontic Logic; Oxford UP: Oxford, UK; New York, NY, USA, 2001. [Google Scholar]
- Cocchiarella, N.B.; Freund, M.A. Modal Logic. An Introduction to Its Syntax and Semantics; Oxford UP: Oxford, UK; New York, NY, USA, 2008. [Google Scholar]
- Husserl, E. Formale und Transzendentale Logik; Janssen, P., Ed.; Nijhoff: Den Haag, The Netherlands, 1974. [Google Scholar]
- Searle, J.R. Intentionality. An Essay in the Philosophy of Mind; Cambridge UP: New York, NY, USA, 1983. [Google Scholar]
- Blackburn, P.; De Rijke, M.; Venema, Y. Modal Logic. Cambridge Tracts in Theoretical Computer Science; Cambridge UP: Cambridge, UK, 2002. [Google Scholar]
- Quine, W.V.O. Mathematical Logic; Revised Edition; Harvard UP: Cambridge, MA, USA; London, UK, 1981. [Google Scholar]
- Basti, G. From formal logic to formal ontology. The new dual paradigm in natural sciences. In (Un-)Certainty and (In-)Exactness. Proceedings of the 1st CLE Colloquium for Philosophy and Formal Sciences; Bertato, F.M., Basti, G., Eds.; Campinas UP-Aracne Edizioni: Campinas, Brazil; Rome, Italy, 2018; pp. 65–110. [Google Scholar]
- Basti, G.; Ferrari, F.M. The dual paradigm in quantum physics and its ontology. I Part: Mathematics and phsyics. Aquinas 2020, 53, 117–162. [Google Scholar]
- Basti, G.; Ferrari, F.M. The dual paradigm in quantum physics and its ontology. II Part: Logic and ontology. Aquinas 2020, 53, 163–194. [Google Scholar]
- Weinberg, S. Foundations of Modern Physics; Cambridge UP: Cambridge, UK, 2021. [Google Scholar]
- Basti, G.; Capolupo, A.; Vitiello, G. Quantum Field Theory and Coalgebraic Logic in Theoretical Computer Science. Prog. Bioph. Mol. Biol. 2017, 123, 39–52. [Google Scholar] [CrossRef]
- Popper, K.R. The Logic of Scientifc Discovery; Routledge: London, UK; New York, NY, USA, 2002. [Google Scholar]
- Stone, M.H. The theory of representation for Boolean algebras. Trans. Am. Math. Soc. 1936, 40, 37–111. [Google Scholar]
- Blasone, M.; Jizba, P.; Vitiello, G. Dissipation and quantization. Phys. Lett. 2001, A287, 205–210. [Google Scholar] [CrossRef]
- Ehresmann, A.; Vanbremeersch, J.-P. MES: A Mathematical Model for the Revival of Natural Philosophy. Philosophies 2019, 4, 9. [Google Scholar] [CrossRef]
- Freeman, W.J.; Vitiello, G. Nonlinear brain dynamics as macroscopic manifestation of underlying many-body field dynamics. Phys. Life Rev. 2006, 3, 93–118. [Google Scholar] [CrossRef]
- Freeman, W.J.; Vitiello, G. Dissipation and spontaneous symmetry breaking in brain dynamics. J. Phys. A Math. Theor. 2008, 41, 304042. [Google Scholar] [CrossRef]
- Damasio, A. The Strange Order of Things. Life, Feeling and the Making of Cultures; Pantheon Books: New York, NY, USA, 2018. [Google Scholar]
- Blackburn, P.; van Benthem, F.J.F. Modal logic: A semantic perspective. In Handbook of Modal Logic; Blackburn, P., van Benthem, F.J.F., Wolter, F., Eds.; Elsevier: Amsterdam, The Netherlands, 2007; pp. 2–85. [Google Scholar]
- Goranko, V.; Otto, M. Model theory of modal logic. In Handbook of Modal Logic; Blackburn, P., van Benthem, F.J.F., Wolter, F., Eds.; Elsevier: Amsterdam, The Netherlands, 2007; pp. 252–331. [Google Scholar]
- Landsman, K.N.P. Lecture Notes on Operator Algebras. 14 December 2011. Available online: http://www.math.ru.nl/~landsman/OA2011.html (accessed on 11 February 2022).
- Landsman, K.N.P. Foundations of Quantum Theory. From Classical Concepts to Operator Algebra; Springer: Berlin, Germany; New York, NY, USA, 2017. [Google Scholar]
- Kant, I. Prolegomena to Any Future Metaphysics That Will Be Able to Come Forward as Science; Hatfield, G., Ed.; Cambridge UP: Cambridge, UK, 1997. [Google Scholar]
- Smith, B. (Ed.) Parts and Moments. Studies in Logic and Formal Ontology; Philosophia: Munich, Germany, 1982. [Google Scholar]
- Smith, B. Beyond Concepts, or: Ontology as Reality Representation. In Formal Ontology and Information Systems, Proceedings of the Third International Conference FOIS 2004, Trento, Italy; Varzi, A., Vieu, L., Eds.; IOS Press: Amsterdam, The Netherlands, 2004; pp. 1–22. [Google Scholar]
- Brentano, F. Psychologie Vom Empirischen Standpunkt; Duncker & Humblot: Leipzig, Germany, 1874. [Google Scholar]
- Husserl, E. Logical Investigations; Moran, D., Ed.; Routledge: London, UK; New York, NY, USA, 1970; Volume 2. [Google Scholar]
- Husserl, E. The Crisis of European Sciences and Transcendental Phenomenology. An Introduction to Phenomenological Philosophy; Northwestern UP: Evanston, IL, USA, 1970. [Google Scholar]
- Husserl, E. Der Folgerungskalkuül und die Inhaltslogik. Vierteljahr. Für Wissenschafliche Philos. 1891, 15, 168–189. [Google Scholar]
- Frege, G. Begriffsschrift, Eine der Arithmetischen Nachgebildete Formelsprache des Reinen Denkens; Louis Nebert: Halle, Germany, 1879. [Google Scholar]
- Schröder, E. Vorlesungen über die Algebra der Logik. (Exakte Logik); I Band; B. G. Teubner: Leipzig, Germany, 1890. [Google Scholar]
- Frege, G. Grundgesetze der Arithmetik; Band I (1893), Band II (1903); Verlag Herman Pole: Jena, Germany, 1893; pp. 1893–1903. [Google Scholar]
- Husserl, E. Besprechung: Schröder, Ernst, Vorlesungen über die Algebra der Logik. (Exakte Logik) I Band. In Göttingische Gelehrte Anzeigen; Leipzig, B.G., Ed.; Teubner: Göttingen, Germany, 1891; pp. 243–278. [Google Scholar]
- Peirce, C.S. The logic of relatives. Monist 1897, 7, 161–217. [Google Scholar] [CrossRef]
- Peirce, C.S. The New Elements of Mathematics; Arisbe: Brusnswick, NJ, USA, 1902. [Google Scholar]
- Peirce, C.S. One, Two, Three: Kantian Categories’. In Peirce’s Manuscript Collection; MS [R] 897. 1886. Available online: http://www.commens.org/dictionary/term/firstness (accessed on 15 May 2021).
- Cocchiarella, N.B. Formal Ontology and Conceptual Realism; Springer: Berlin/Heidelberg, Germany, 2007. [Google Scholar]
- Cocchiarella, N.B. Logic and Ontology. Axiomates 2001, 12, 117–150. [Google Scholar] [CrossRef]
- Basti, G. The Post-Modern Transcendental of Language in Science and Philosophy. In Epistemology and Transformation of Knowledge in a Global Age; Delic, Z., Ed.; InTech Publishing: London, UK, 2017; pp. 35–62. [Google Scholar]
- Abramsky, S.; Tzevelekos, N. Introduction to categories and categorical logic. In New Structures for Physics. Lecture Notes in Physics; Coecke, B., Ed.; Springer: Berlin/Heidelberg, Germany, 2011; Volume 813, pp. 3–94. [Google Scholar]
- Mac Lane, S. Categories for the Working Mathematician, 2nd ed.; Springer: Berlin/Heidelberg, Germany, 1998. [Google Scholar]
- Awodey, S. Category Theory, 2nd ed.; Oxford Logic Guides 52; Oxford UP: Oxford, UK, 2010. [Google Scholar]
- Suppes, P. Axiomatic Set Theory; Dover Publications: New York, NY, USA, 1972. [Google Scholar]
- Abramsky, S. Logic and Categories as a Tool for Building Theories, 2nd ed.; Cornell University: Ithaca NY, USA, 2012; Available online: https://arxiv.org/abs/1201.5342v1 (accessed on 31 August 2018).
- Abramsky, S. Logic and categories as a tool for building theories. J. Ind. Counc. Phil. Res. Spec. Issue Log. Philos. Today 2010, 27, 277–304. [Google Scholar]
- Tarski, A. On the calculus of relations. J. Symb. Log. 1941, 6, 73–89. [Google Scholar] [CrossRef]
- Atiyah, M.F. Duality in Mathematics and Physics, 18 December 2007. Available online: http://fme.upc.edu/ca/arxius/butlleti-digital/riemann/071218_conferencia_atiyah-d_article.pdf (accessed on 20 November 2021).
- Poinsot, L.; Porst, H.E. Internal coalgebras in cocomplete categories: Generalizing the Eilenberg-Watt theorem. J. Algebra Its Appl. 2021, 20, 2150165. [Google Scholar] [CrossRef]
- Pavlović, D.; Pratt, V. The continuum as a final coalgebra. Theor. Comput. Sci. 2002, 280, 105–122. [Google Scholar] [CrossRef]
- Abramsky, S. Coalgebras, Chu spaces, and representations of physical systems. J. Phil. Log. 2013, 41, 551–574. [Google Scholar] [CrossRef][Green Version]
- New Structures of Physics; Coecke, B., Ed.; Springer: Berlin/Heidelberg, Germany, 2011; pp. 3–94. [Google Scholar]
- Rieger, A.; Paradoxes, Z.F. The axiom of foundation. In Logic, Mathematics, Philosophy, Vintage Enthusiasms: Essays in Honour of John L. Bell; Clark, P., Hallett, M., DeVidi, D., Eds.; Springer: Dordrecht, The Netherlands, 2011; pp. 171–187. [Google Scholar]
- Hallett, M. Cantorian Set Theory and Limitation of Size; Clarendon Press: Oxford, UK, 1996. [Google Scholar]
- Boolos, G. The iterative conception of set. J. Phil. 1971, 68, 215–232. [Google Scholar] [CrossRef]
- Mirimanoff, D. Les antinomies de Russell et de Burali-Forti et le problème fondamental de la théorie des ensembles. L’Enseignement Mathématique 1917, 19, 37–52. [Google Scholar]
- Mirimanoff, D. Remarques sur la théorie des ensembles et les antinomies Cantoriennes (I). L’Enseignement Mathématique 1917, 19, 208–217. [Google Scholar]
- Von Neumann, J. Eine Axiomatisierung der Mengenlehre. J. Für Die Reine Und Angew. Math. 1925, 154, 219–240. [Google Scholar]
- Rutten, J.J.M. Universal coalgebra: A theory of systems. Theor. Comput. Sci. 2000, 249, 3–80. [Google Scholar] [CrossRef]
- Aczel, P.; Mendler, N.P. A Final Coalgebra Theorem. In Category Theory and Computer Science; Lecture Notes in Computer Science; Pitt, D.H., Rydeheard, D.E., Dybjer, P., Pitts, A.M., Poigné, A., Eds.; Springer: Berlin/Heidelberg, Germany, 1989; Volume 389, pp. 357–365. [Google Scholar] [CrossRef]
- Aczel, P. Algebras and coalgebras. In Algebraic and Coalgebraic Methods in the Mathematics of Program Construction: International Summer School and Workshop, Oxford, UK, April 10–14, 2000; Revised Lectures (LNCS); Backhouse, R., Crole, R., Jeremy, G., Eds.; Springer: Berlin/Heidelberg, Germany, 2002; Volume 2297, pp. 79–88. [Google Scholar]
- Bombelli, L.; Lee, J.; Meyer, D.; Sorkin, R.D. Spacetime as a causal set. Phys. Rev. Lett. 1987, 59, 521–524. [Google Scholar] [CrossRef]
- Sorkin, R.D. A Finitary Substitute for Continuous Topology. Int. J. Theor. Phys. 1991, 30, 923–947. [Google Scholar] [CrossRef]
- Aquinas, T. Corpus Thomisticum. Subsidia Studii ab Enrique Alarcón Collecta et Edita; University of Navarra UP: Navarra, Spain, 2000; Available online: http://www.corpusthomisticum.org/ (accessed on 7 January 2022).
- Hilbert, D. Grundlagen der Geometrie; Teubner Verlag: Leipzig, Germany, 1899. [Google Scholar]
- Hilbert, D. Mathematical Problems. Bull. Am. Math. Soc. 1902, 8, 437–479. [Google Scholar] [CrossRef]
- Von Neumann, J. Mathematische Grundlagen der Quantenmechanik; Springer: Berlin, Germany, 1932. [Google Scholar]
- Heisenberg, W. Über quantentheoretische Umdeutung kinematischer und mechanischer Beziehungen. Zeitschr. Phys. 1925, 33, 879–893. [Google Scholar] [CrossRef]
- Born, M.; Jordan, P. Zur Quantenmechanik. Zeitschr. Phys. 1925, 34, 858–888. [Google Scholar] [CrossRef]
- Born, M.; Heisenberg, W.; Jordan, P. Zur Quantenmechanik II. Zeitschr. Phys. 1925, 35, 557–561. [Google Scholar] [CrossRef]
- Schrödinger, E. An ondulatory theory of the mechanics of atoms and molecules. Phys. Rev. 1926, 28, 1049–1070. [Google Scholar] [CrossRef]
- Von Neumann, J. Die Eindeutigkeit der Schrödingerschen Operatoren. Math. Annal. 1931, 104, 570–578. [Google Scholar] [CrossRef]
- Stone, M.H. Linear Transformations in Hilbert Space. III. Operational Methods and Group Theory. Proc. Nat. Acad. Sci. USA 1930, 16, 172–175. [Google Scholar] [CrossRef] [PubMed]
- Von Neumann, J. Ueber Einen Satz Von Herrn, M.H. Stone. Annal. Math. Second. Ser. 1932, 33, 567–573. [Google Scholar] [CrossRef]
- Stone, M.H. On one-parameter unitary groups in Hilbert Space. Annal. Math. Second. Ser. 1932, 33, 643–648. [Google Scholar] [CrossRef]
- Gelfand, I.M.; Naimark, M.A. On the imbedding of normed rings into the ring of operators on a Hilbert space. Matematiceskij Sbornik. 1943, 2, 197–217. [Google Scholar]
- Segal, I.E. Irreducible representations of operator algebras. Bull. Am. Math. Soc. 1947, 53, 73–88. [Google Scholar] [CrossRef]
- Dirac, P.A.M. Principles of Quantum Mechanics, 4th ed.; Clarendon Press: Oxford, UK, 1958. [Google Scholar]
- Becchi, C.M. Second quantization. Scholarpedia 2010, 5, 7902. [Google Scholar] [CrossRef]
- Haag, R. On quantum field theories. Mat.-Fys. Medd. 1955, 29, 669. [Google Scholar]
- Jordan, P.; Wigner, E. Über Paulisches Äquivalenzverbot. Zeit. F. Phys. 1928, 47, 631. [Google Scholar] [CrossRef]
- Fock, V.A. Konfigurationsraum und zweite quantelung. Zeit. F. Phys. 1932, 75, 622. [Google Scholar] [CrossRef]
- Zuber, J.-B.; Itzykson, C. Quantum Field Theory; Dover Pubblication: Berlin, Germany, 1980. [Google Scholar]
- Feynman, R. QED: The Strange Theory of Light and Matter (Princeton Science Library, 90); Revised Edition; Princeton UP: Princeton, NJ, USA, 2014. [Google Scholar]
- Maldacena, J. The symmetry and simplicity of the laws of physics and the Higgs boson. Eur. J. Phis. 2016, 1, 015802. [Google Scholar] [CrossRef]
- Umezawa, H. Advanced Field Theory: Micro, Macro and Thermal Concepts; American Institute of Physics: New York, NY, USA, 1993. [Google Scholar]
- Umezawa, H. Development in concepts in quantum field theory in half century. Math. Jpn. 1995, 41, 109–124. [Google Scholar]
- Del Giudice, E.; Pulselli, R.; Tiezzi, E. Thermodynamics of irreversible processes and quantum field theory: An interplay for understanding of ecosystem dynamics. Ecolog. Model. 2009, 220, 1874–1879. [Google Scholar] [CrossRef]
- Bogoliubov, N.N. On a new method in the theory of superconductivity. Nuovo Cim. 1958, 7, 794–805. [Google Scholar] [CrossRef]
- Goldstone, J. Field Theories with Superconductor Solutions. Nuovo Cim. 1961, 19, 154–164. [Google Scholar] [CrossRef]
- Higgs, P. Broken Symmetries and the Masses of Gauge Bosons. Phys. Rev. Lett. 1964, 13, 508–509. [Google Scholar] [CrossRef]
- Goldstone, J.; Salam, A.; Weinberg, S. Broken Symmetries. Phys. Rev. 1962, 127, 965–970. [Google Scholar] [CrossRef]
- Nambu, Y. Quasiparticles and Gauge Invariance in the Theory of Superconductivity. Phys. Rev. 1960, 117, 648–663. [Google Scholar] [CrossRef]
- Nambu, Y.; Jona-Lasinio, G. Dynamical Model of Elementary Particles Based on an Analogy with Superconductivity. I. Phys. Rev. 1961, 122, 345–358. [Google Scholar] [CrossRef]
- Nambu, Y.; Jona-Lasinio, G. Dynamical Model of Elementary Particles Based on an Analogy with Superconductivity. II. Phys. Rev. 1961, 124, 246–254. [Google Scholar] [CrossRef]
- Vitiello, G. Coherent states, fractals and brain waves. New Math. Nat. Comput. 2009, 5, 245–264. [Google Scholar] [CrossRef]
- ‘tHooft, G. Quantum gravity as a dissipative deterministic system. Class. Quant. Grav. 1999, 16, 3263–3279. [Google Scholar]
- Brizhik, L.; Del Giudice, E.; Maric-Oehler, W.; Popp, F.-A.; Schlebusch, K.-P. On the dynamics of self-organization in living organisms. Electromagn. Biol. Med. 2009, 28, 28–40. [Google Scholar] [CrossRef]
- Mitchell, M. Complexity: A Guided Tour; Oxford UP: Oxford, UK, 2009. [Google Scholar]
- Morr, D.K. Lifting the fog of complexity. Science 2014, 343, 382–383. [Google Scholar] [CrossRef]
- Comin, R.; Frano, A.; Yee, M.M.; Yoshida, Y.; Eisaki, H.; Schierle, E.; Weschke, E.; Sutarto, R.; He, F.; Soumyanarayanan, A.; et al. Charge order driven by Fermi-arc instability in Bi2Sr2−xLaxCuO6+δ. Science 2014, 343, 390–392. [Google Scholar] [CrossRef]
- da Silva Neto, E.H. Ubiquitous Interplay between charge ordering and high-temperature superconductivity in cuprates. Science 2014, 343, 393–396. [Google Scholar] [CrossRef]
- Connes, A.; Rovelli, C. Von Neumann algebra automorphisms and time-thermodynamics relation in general covariant quantum theories. Class. Quant. Grav. 1994, 11, 2899–2918. [Google Scholar] [CrossRef]
- Hollands, S.; Longo, R. Non Equilibrium Thermodynamics in Conformal Field Theory. Comm. Math. Phys. 2018, 357, 43–60. [Google Scholar] [CrossRef]
- Basti, G. The quantum field theory (QFT) dual paradigm in fundamental physics and the semantic information content and measure in cognitive sciences. In Representation and Reality in Humans, Other Living Organisms, and Intelligent Machine; Dodig-Crnkovic, G., Giovagnoli, R., Eds.; Springer: Berlin, Germany; New York, NY, USA, 2017; pp. 177–210. [Google Scholar]
- Bruno, A.; Capolupo, A.; Kak, S.; Raimondo, G.; Vitiello, G. Geometric phase and gauge theory structure in quantum computing. J. Phys. Conf. Ser. 2011, 306, 012065. [Google Scholar] [CrossRef]
- Nayak, C.; Simon, S.H.; Stern, A.; Freedman, M.; Das Sarma, S. Non-Abelian Anyons and Topological Quantum Computation. Rev. Mod. Phys. 2008, 80, 1083. [Google Scholar] [CrossRef]
- Freeman Walter, J.; Burke, B.C.; Holmes, M.D.; Vanhatalo, S. Spatial spectra of scalp EEG and EMG from awake humans. Clin. Neurophisiol. 2003, 114, 1053–1060. [Google Scholar] [CrossRef]
- Freeman, W.J. Origin, structure, and role of background EEG activity. Part 1. Analytic amplitude. Clin. Neurophysiol. 2004, 115, 2077–2088. [Google Scholar] [CrossRef]
- Freeman, W.J. Origin, structure, and role of background EEG activity. Part 2. Analytic phase. Clin. Neurophysiol. 2004, 115, 2089–2107. [Google Scholar] [CrossRef]
- Freeman, W.J. Origin, structure, and role of background EEG activity. Part 3. Neural frame classification. Clin. Neurophysiol. 2005, 116, 111–1129. [Google Scholar] [CrossRef]
- Freeman, W.J. Origin, structure, and role of background EEG activity. Part 4. Neural frame simulation. Clin. Neurophysiol. 2006, 117, 572–589. [Google Scholar] [CrossRef]
- Wiener, N. Cybernetics. Or Communication and Control in the Animals and the Machines, 2nd ed.; MIT Press: Cambridge, MA, USA, 1962. [Google Scholar]
- Damasio, A. Self Comes to Mind: Constructing the Conscious Brain; Heinemann: London, UK, 2010. [Google Scholar]
- Basti, G.; Capolupo, A.; Vitiello, G. The doubling of the Degrees of Freedom in Quantum Dissipative Systems, and the Semantic Information Notion and Measure in Biosemiotics. Proceedings 2020, 47, 60. [Google Scholar]
- Clark, A.; Chalmers, D. The extended mind. Analysis 1998, 58, 7–19. [Google Scholar] [CrossRef]
- Clark, A. Supersizing the Mind: Embodiment, Action, and Cognitive Extension; Oxford UP: Oxford, UK, 2008. [Google Scholar]
- Adamek, J.; Rosicky, J. Locally Presentable and Accessible Categories; Cambridge UP: Cambridge, UK, 1994. [Google Scholar]
- Barr, M. The Chu construction. Theor. Applic. Categ. 1996, 2, 17–35. [Google Scholar]
- Rasetti, M.; Marletto, C. Quantum physics, topology, formal languages, computation: A categorial view—an homage to David Hilbert. Perspect. Sci. 2014, 22, 98–114. [Google Scholar]
- Sikorski, R. Boolean Algebras; Springer: Berlin/Heidelberg, Germany, 1964. [Google Scholar]
- The European Mathematical Society. Algebra of Sets; Springer Publishing: Berlin, Germany, 2020; Available online: https://encyclopediaofmath.org/wiki/Algebra_of_sets (accessed on 15 August 2021).
- Davey, B.A.; Priestley, H.A. Introduction to Lattices and Order; Cambridge UP: Cambridge, UK, 1990. [Google Scholar]
- Loomis, L.H. On the representation of σ-complete Boolean algebras. Bull. Amer. Math. 1947, 53, 757–760. [Google Scholar] [CrossRef]
- Goldblatt, R. Varieties of complex algebras. Ann. Pure Appl. Log. 1989, 38, 173–241. [Google Scholar] [CrossRef]
- Goldblatt, R. Elementary generation and canonicity for varieties of Boolean algebras with operators. Algebra Univers. 1995, 34, 551–607. [Google Scholar] [CrossRef]
- Bourbaki, N. Elements of Mathematics: General Topology; Chapters 1—4; Springer: Berlin, Germany; New York, NY, USA, 1989. [Google Scholar]
- Abramsky, S. Abramsky, S. A Cook’s Tour of the Finitary Non-Well-Founded Sets (original lecture: 1988). In Essays in honor of Dov Gabbay; Artemov, S., Barringer, H., d’Avila, A., Lamb, L.C., Woods, J., Eds.; Imperial College Pubblications: London, UK, 2005; Volume I, pp. 1–18. [Google Scholar]
- Paulson, L.C. Final coalgebras as greatest fixed points in ZF set theory. Math. Struct. Comput. Sci. 1995, 9, 545–567. [Google Scholar] [CrossRef][Green Version]
- Rutten, J.M. The Method of Coalgebra: Exercises in Coinduction; CWI: Amsterdam, The Netherlands, 2019. [Google Scholar]
- Sangiorgi, D.; Rutten, J.M. (Eds.) Advanced Topics in Bisimulation and Coinduction; Cambridge UP: Cmabridge, UK, 2012. [Google Scholar]
- Basti, G.; Vitiello, G. A QFT Approach to Data Streaming in Natural and Artificial Neural Networks. Proceedings 2022, 81, 106. [Google Scholar]
- Van Benthem, F.J.F. Modal Correspondence Theory. Ph.D. Thesis, University of Amsterdam, Amsterdam, The Netherlands, 1976. [Google Scholar]
- Van Benthem, F.J.F. Correspondence theory. In Handbook of Philosophical Logic; Gabbay, D., Guenthner, F., Eds.; Reidel: Dordrecht, The Netherlands, 1984; Volume II, pp. 167–247. [Google Scholar]
- Blackburn, P.J.; van Benthem, F.J.F.; Wolter, F. Preface. In Handbook of Modal Logic; Blackburn, P., van Benthem, F.J.F., Wolter, F., Eds.; Elsevier: Amsterdam, The Netherlands, 2007; pp. xi–xxiii. [Google Scholar]
- Löwenheim, L. On possibilities in the calculus of relatives. In From Frege to Gödel: A Source Book in Mathematical Logi, 1879–1931, 3rd ed.; Van Heijenoort, J., Ed.; Harvard UP: Cambridge, MA, USA, 1977; pp. 228–251. [Google Scholar]
- Panizzoli, F. Ontologia Della Partecipazione. Verso Una Formalizzazione Della Metafisica di Tommaso d’Aquino; Edizioni Aracne: Rome, Italy, 2014. [Google Scholar]
- Leech, J. Skew Boolean algebras. Algebra Univers. 1990, 27, 497–506. [Google Scholar] [CrossRef]
- Esfeld, M. Causal realism. In Probabilities, Laws, and Structures; Dieks, D., Gonzalez, W.J., Hartmann, S., Stöltzner, M., Weber, M., Eds.; Springer: Dordrecht, The Netherlands, 2011; pp. 157–168. [Google Scholar]
- Sen, A.K. Collective Choice and Social Welfare; Expanded Edition; Penguin Ltd. Kindle Edition: London, UK, 2017. [Google Scholar]
- Peirce, C.S. Nominalism versus Realism. J. Specul. Phil. 1868, 2, 57–61. [Google Scholar]
- Łukasiewicz, J. Aristotle’s Syllogistic from the Standpoint of Modern Formal Logic; Second Enlarged Edition; Oxford UP: Oxford, UK, 1957. [Google Scholar]
- Freeman, W.J. Nonlinear dynamics and the intention of Aquinas. Mind Matter 2008, 6, 207–234. [Google Scholar]
- Berti, E. From physical to metaphysical cosmology: The Aristotelian path. Aquinas 2020, 53, 281–294. [Google Scholar]
- Quine, W.V.O. Two dogmas of empiricism. Phil. Rev. 1951, 6, 20–43. [Google Scholar] [CrossRef]
- Heller, M. Category free category theory and its philosophical implications. Log. Logic. Phil. 2016, 25, 447–459. [Google Scholar] [CrossRef]
- Wang, K. Limits, Colimits and How to Calculate Them in the Category of Modules over a PID, 26 August 2011. Available online: http://www.math.uchicago.edu/~may/VIGRE/VIGRE2011/REUPapers/WangK.pdf (accessed on 13 January 2021).
- Mac Lane, S.; Moerdijk, I. Sheaves in Geometry and Logic: A First Introduction to Topos Theory; Springer: Berlin, Germany, 1994. [Google Scholar]
- May, J.P. A Coincise Course in Algebraic Topology, 2nd ed.; Chicago UP: Chicago, IL, USA, 1999. [Google Scholar]
- Armstrong, M.A. Basic Topology; Springer: Berlin, Germany; New York, NY, USA, 1983. [Google Scholar]
- Johnstone, P.T. Stone Spaces; Cambridge Studies in Advances Mathematics, Series Number 3; Cambridge UP: Cambridge, UK, 1982. [Google Scholar]
- Quine, W.V.O. From a Logical Point of View: Nine Logico-Philosophical Essays; Second Revised Edition; Harvard UP: Cambridge, MA, USA, 1980. [Google Scholar]
- Sen, A.K. The Possibility of Social Choice. Nobel Lecture. Am. Econ. Rev. 1999, 89, 178–215. [Google Scholar] [CrossRef]
- Introduction to Formal Philosophy; Hansson, S.O., Hendricks, V.F., Eds.; Springer: Berlin, Germany; New York, NY, USA, 2018. [Google Scholar]
- La Palme Reyes, M.; MacNamara, J.; Reyes, G.E. Functoriality and grammatical role in syllogisms Notre Dame J. Form. Log. 1994, 35, 41–66. [Google Scholar]
- Maddux, R.D. The origin of relation algebras in the development and axiomatization of the calculus of relations. Studia Log. 1991, 50, 421–455. [Google Scholar] [CrossRef]
- Peirce, C.S. On the algebra of logic. A contribution to the philosophy of notation. Am. J. Math. 1885, 7, 180–196. [Google Scholar] [CrossRef]
- Tarski, A.; Givant, S. A Formalization of Set Theory without Variables; American Mathematical Society: Providence, RI, USA, 1987. [Google Scholar]
- Givant, S. The Calculus of Relations as a Foundation for Mathematics. J. Autom. Reason. 2006, 37, 277–322. [Google Scholar] [CrossRef]
- Nelson, E. Predicative Arithmetic (Mathematical Notes 32); Princeton UP: Princeton, NJ, USA, 1986. [Google Scholar]
- Nelson, E. Syntax and Semantics, 7 January 2002. Available online: http://www.irafs.org/irafs_1/cd_irafs02/texts/nelson.pdf (accessed on 20 August 2021).
- Nelson, E. Completed versus Incomplete Infinity in Arithmeti. STOQ International Conference on “Infinity in Science Philosophy and Theology”; Pontifical Lateran University: Vatican City, 2005; Available online: https://web.math.princeton.edu/~nelson/papers/e.pd (accessed on 20 August 2021).
- Ho, M.-W. Illuminating Water and Life. Entropy 2014, 16, 4874–4891. [Google Scholar] [CrossRef]
- Turing, A. The chemical basis of morphogenesis. Phil. Trans. Royal Soc. Series B Biol. Sci. 1952, 237, 37–72. [Google Scholar]
- Rizzolatti, G.; Sinigaglia, C. Mirrors in the Brain. In How Our Minds Share Actions and Emotions; Anderson, F., Ed.; Oxford UP: New York, NY, USA, 2008. [Google Scholar]
- Cohen, P.J. Set Theory and the Continuum Hypothesis; Benjamin Publication: New York, NY, USA, 1966. [Google Scholar]












| Closure | Associativity | Identity | Invertibility | Commutativity | |
|---|---|---|---|---|---|
| Unneeded | Needed | Unneeded | Unneeded | Unneeded |
| Unneeded | Needed | Needed | Unneeded | Unneeded |
| Unneeded | Needed | Needed | Needed | Unneeded |
| Needed | Unneeded | Unneeded | Unneeded | Unneeded |
| Needed | Unneeded | Unneeded | Needed | Unneeded |
| Needed | Unneeded | Needed | Needed | Unneeded |
| Needed | Needed | Unneeded | Unneeded | Unneeded |
| Needed | Needed | Unneeded | Needed | Unneeded |
| Needed | Needed | Needed | Unneeded | Unneeded |
| Needed | Needed | Needed | Needed | Unneeded |
| Needed | Needed | Needed | Needed | Needed |
Publisher’s Note: MDPI stays neutral with regard to jurisdictional claims in published maps and institutional affiliations. |
© 2022 by the author. Licensee MDPI, Basel, Switzerland. This article is an open access article distributed under the terms and conditions of the Creative Commons Attribution (CC BY) license (https://creativecommons.org/licenses/by/4.0/).
Share and Cite
Basti, G. The Philosophy of Nature of the Natural Realism. The Operator Algebra from Physics to Logic. Philosophies 2022, 7, 121. https://doi.org/10.3390/philosophies7060121
Basti G. The Philosophy of Nature of the Natural Realism. The Operator Algebra from Physics to Logic. Philosophies. 2022; 7(6):121. https://doi.org/10.3390/philosophies7060121
Chicago/Turabian StyleBasti, Gianfranco. 2022. "The Philosophy of Nature of the Natural Realism. The Operator Algebra from Physics to Logic" Philosophies 7, no. 6: 121. https://doi.org/10.3390/philosophies7060121
APA StyleBasti, G. (2022). The Philosophy of Nature of the Natural Realism. The Operator Algebra from Physics to Logic. Philosophies, 7(6), 121. https://doi.org/10.3390/philosophies7060121
