Insight into the Use of Brewers’ Spent Grain as a Low-Carbon Aggregate in Building Materials
Abstract
1. Introduction
2. Materials and Methods
2.1. Materials
2.1.1. Brewers’ Spent Grain
2.1.2. Hemp Shives
2.1.3. Binder
2.1.4. Water
2.2. Methods
2.2.1. Sample Preparation
- Formulation 1 (BSG100): This formulation contains only BSGs.
- Formulation 2 (BSG50): This formulation consists of equal parts (50% each) of BSGs and hemp shives.
- Formulation 3 (BSG0): This formulation uses only hemp shives.
- Cylindrical samples: These were produced in disposable molds with dimensions of 11 cm in diameter and 22 cm in height. The cylindrical geometry was chosen to facilitate mechanical testing, particularly compressive strength, which benefits from consistent load distribution across a circular cross-section.
- Cubic samples: These were produced using reusable wooden molds with dimensions of 25 cm in height, 25 cm in length, and 7 cm in thickness. The cubic shape was selected to optimize thermal property measurements, such as thermal conductivity, as the larger flat surface area ensures accurate placement of sensors and uniform heat flow during testing.
2.2.2. Characterization Techniques
3. Results
3.1. Moisture Sorption Isotherm of Panel Specimens
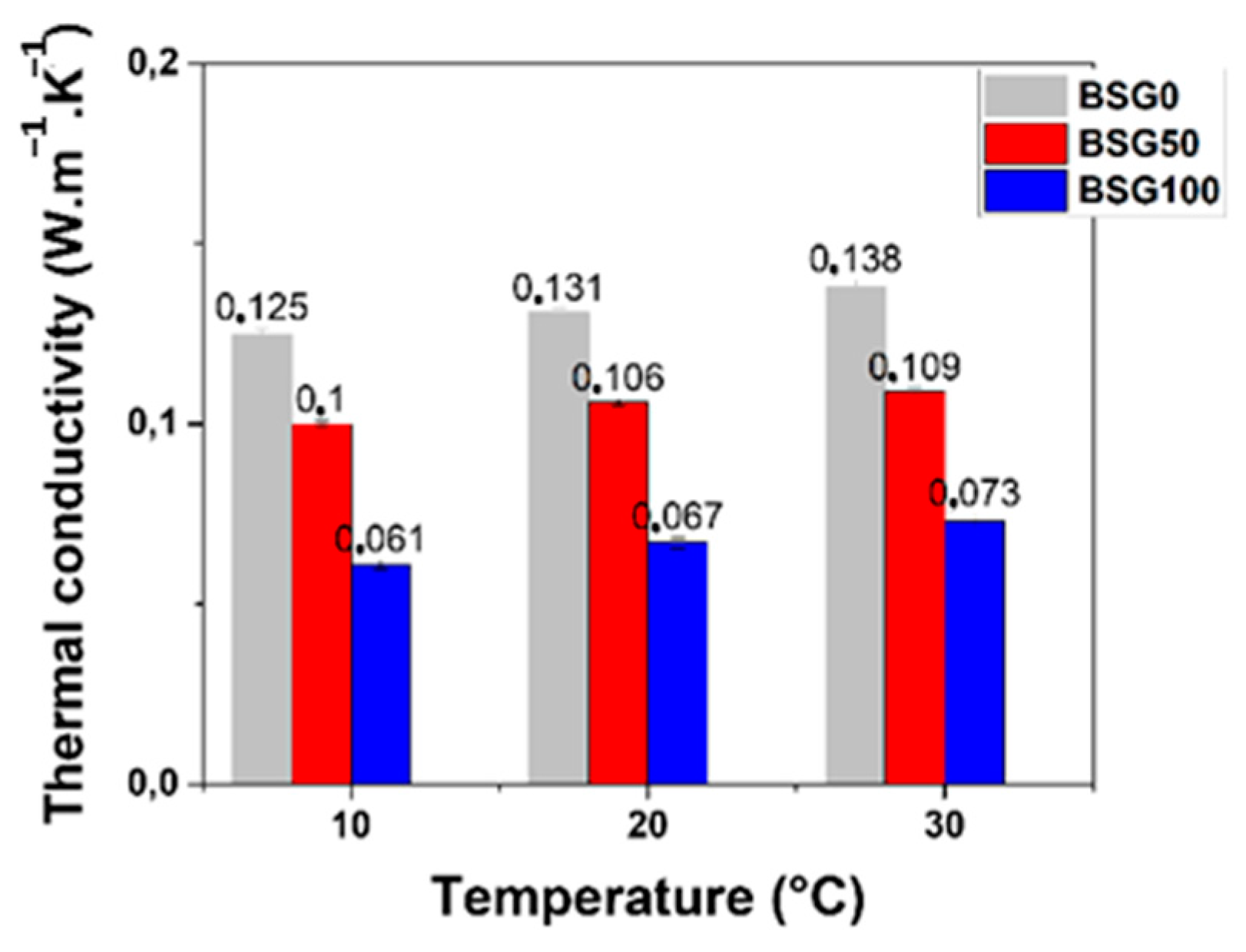
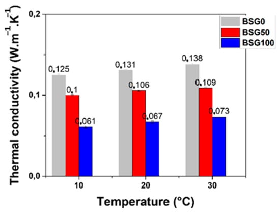
3.2. Thermal Conductivity of Panel Specimens
3.3. Specific Heat Capacity of Panel Specimens
3.4. Mechanical Strength of Panel Specimens
4. Discussion
4.1. Moisture Sorption Behavior
4.2. Thermal Conductivity
4.3. Specific Heat Capacity
| Property | Formulation | Used Materials | Measured Value | Literature Range | Literature Materials | References |
|---|---|---|---|---|---|---|
| Thermal Conductivity (W/(m·K)) | BSG0 | Hemp shives | 0.067 | 0.05–0.08 | Wheat/hemp shives+starch/coconut husk/rice husk | [37,38,39,40] |
| BSG50 | 50% BSG + 50% hemp | 0.106 | 0.1–0.15 | Hemp shives+flax/wood fibers/corn cob | [38,41,42] | |
| BSG100 | Brewers’ Spent Grains | 0.131 | ||||
| Compressive Strength (MPa) | BSG0 | Hemp shives | 0.327 | 0.2–0.4 | Rye/hemp shives/reed/beet pulp+ starch | [38,43,44,45] |
| BSG50 | 50% BSG + 50% hemp | 0.162 | 0.06–0.2 | Wheat/wheat starch+wheat straw/lavender/corn cob | ||
| BSG100 | Brewers’ Spent Grains | 0.098 | [37,38,46,47] |
4.4. Mechanical Strength
4.5. Recommendations
5. Conclusions
- The moisture sorption analysis reveals that all formulations exhibit Type II isotherm behavior, with BSG displaying superior moisture absorption due to its hydrophilic nature. Thermal conductivity tests show that while the BSG formulation has higher thermal conductivity than hemp shives alone, it still contributes to energy efficiency through enhanced thermal regulation.
- Mechanical strength assessment indicates that the formulation with only hemp shives (BSG0) exhibits the highest compressive strength, while BSG formulations (BSG50 and BSG100) demonstrate lower strength due to the increased porosity of BSG aggregates. However, the environmental benefits of using BSGs, including waste reduction and improved thermal properties, could outweigh these limitations.
Author Contributions
Funding
Institutional Review Board Statement
Data Availability Statement
Acknowledgments
Conflicts of Interest
References
- Whang, S.-W.; Kim, S. Determining sustainable design management using passive design elements for a zero emission house during the schematic design. Energy Build. 2014, 77, 304–312. [Google Scholar] [CrossRef]
- Hildebrandt, J.; Hagemann, N.; Thrän, D. The contribution of wood-based construction materials for leveraging a low carbon building sector in Europe. Sustain Cities Soc. 2017, 34, 405–418. [Google Scholar] [CrossRef]
- Zhang, X.; Wang, F. Analysis of embodied carbon in the building life cycle considering the temporal perspectives of emissions: A case study in China. Energy Build. 2017, 155, 404–413. [Google Scholar] [CrossRef]
- Ahmed, K.; Hajian, H.; Hasu, T.; Kurnitski, J. Kouvola Housing fair NZEB houses energy, cost and carbon analyses. E3S Web Conf. 2020, 172, 13001. [Google Scholar] [CrossRef]
- Liu, K.; Leng, J. Quantitative research on embodied carbon emissions in the design stage: A case study from an educational building in China. J. Asian Archit. Build. Eng. 2022, 21, 1182–1192. [Google Scholar] [CrossRef]
- Johnson, O.A.; Napiah, M.; Kamaruddin, I. Potential uses of Waste Sludge in Construction Industry: A Review. Res. J. Appl. Sci. Eng. Technol. 2014, 8, 565–570. [Google Scholar] [CrossRef]
- Lockrey, S.; Nguyen, H.; Crossin, E.; Verghese, K. Recycling the construction and demolition waste in Vietnam: Opportunities and challenges in practice. J. Clean. Prod. 2016, 133, 757–766. [Google Scholar] [CrossRef]
- Hussan, A.; El Haddaji, B.; Zelloufi, M.; Sebaibi, N. Innovative Cutting and Valorization of Waste Fishing Trawl and Waste Fishing Rope Fibers in Cementitious Materials. Appl. Sci. 2024, 14, 3985. [Google Scholar] [CrossRef]
- El Mendili, Y.; Benzaama, M.-H. Investigation of Mechanical and Thermal Performance of Concrete with Scallop Shells as Partial Cement Replacement: Alternative Binder and Life Cycle Assessment. CivilEng 2022, 3, 760–778. [Google Scholar] [CrossRef]
- Hussan, A.; Sebaibi, N.; El Haddaji, B.; Zelloufi, M. Comparative Effects of Polyethylene and Polypropylene-Based Waste Fishing Gear Fibers on Mechanical Parameters and Porosity of Cementitious Materials. In RILEM Spring Convention and Conference; Springer: Cham, Switzerland, 2025; pp. 132–140. [Google Scholar] [CrossRef]
- Affan, H.; El Haddaji, B.; Ajouguim, S.; Khadraoui, F. A Review—Durability, Mechanical and Hygrothermal Behavior of Building Materials Incorporating Biomass. Eng 2024, 5, 992–1027. [Google Scholar] [CrossRef]
- Benzaama, M.-H.; Touati, K.; El Mendili, Y.; Le Guern, M.; Streiff, F.; Goodhew, S. Machine Learning-Based Indoor Relative Humidity and CO2 Identification Using a Piecewise Autoregressive Exogenous Model: A Cob Prototype Study. Energies 2024, 17, 243. [Google Scholar] [CrossRef]
- Lynch, K.M.; Steffen, E.J.; Arendt, E.K. Brewers’ spent grain: A review with an emphasis on food and health. J. Inst. Brew. 2016, 122, 553–568. [Google Scholar] [CrossRef]
- Pérocheau Arnaud, S. Valorisation of Brewer’s Spent Grain: Lignocellulosic Fractionation and its Potential for Polymer and Composite Material Applications. Chem. Afr. 2024, 7, 2989–3010. [Google Scholar] [CrossRef]
- Zeko-Pivač, A.; Tišma, M.; Žnidaršič-Plazl, P.; Kulisic, B.; Sakellaris, G.; Hao, J.; Planinić, M. The Potential of Brewer’s Spent Grain in the Circular Bioeconomy: State of the Art and Future Perspectives. Front. Bioeng. Biotechnol. 2022, 10, 870744. [Google Scholar] [CrossRef] [PubMed]
- Buffington, J. The Economic Potential of Brewer’s Spent Grain (BSG) as a Biomass Feedstock. Adv. Chem. Eng. Sci. 2014, 4, 308–318. [Google Scholar] [CrossRef]
- Bianco, A.; Budroni, M.; Zara, S.; Mannazzu, I.; Fancello, F.; Zara, G. The role of microorganisms on biotransformation of brewers’ spent grain. Appl. Microbiol. Biotechnol. 2020, 104, 8661–8678. [Google Scholar] [CrossRef] [PubMed]
- Gbenebor, O.P.; Olanrewaju, O.A.; Usman, M.A.; Adeosun, S.O. Lignin from Brewers’ Spent Grain: Structural and Thermal Evaluations. Polymers 2023, 15, 2346. [Google Scholar] [CrossRef]
- Russ, W.; Mörtel, H.; Meyer-Pittroff, R. Application of spent grains to increase porosity in bricks. Constr. Build. Mater. 2005, 19, 117–126. [Google Scholar] [CrossRef]
- Heidari, N.A.; Fathi, M.; Hamdami, N.; Taheri, H.; Siqueira, G.; Nyström, G. Thermally Insulating Cellulose Nanofiber Aerogels from Brewery Residues. ACS Sustain. Chem. Eng. 2023, 11, 10698–10708. [Google Scholar] [CrossRef]
- Mujtaba, M.; Fraceto, L.F.; Fazeli, M.; Mukherjee, S.; Savassa, S.M.; Araujo de Medeiros, G.; do Espírito Santo Pereira, A.; Mancini, S.D.; Lipponen, J.; Vilaplana, F. Lignocellulosic biomass from agricultural waste to the circular economy: A review with focus on biofuels, biocomposites and bioplastics. J. Clean. Prod. 2023, 402, 136815. [Google Scholar] [CrossRef]
- Ali, S.S.; Al-Tohamy, R.; Mohamed, T.M.; Mahmoud YA, G.; Ruiz, H.A.; Sun, L.; Sun, J. Could termites be hiding a goldmine of obscure yet promising yeasts for energy crisis solutions based on aromatic wastes? A critical state-of-the-art review. Biotechnol. Biofuels Bioprod. 2022, 15, 35. [Google Scholar] [CrossRef] [PubMed]
- Lobo, F.C.M.; Franco, A.R.; Fernandes, E.M.; Reis, R.L. An Overview of the Antimicrobial Properties of Lignocellulosic Materials. Molecules 2021, 26, 1749. [Google Scholar] [CrossRef]
- Zanchetta, E.; Damergi, E.; Patel, B.; Borgmeyer, T.; Pick, H.; Pulgarin, A.; Ludwig, C. Algal cellulose, production and potential use in plastics: Challenges and opportunities. Algal Res. 2021, 56, 102288. [Google Scholar] [CrossRef]
- Samir, A.; Ashour, F.H.; Hakim, A.A.A.; Bassyouni, M. Recent advances in biodegradable polymers for sustainable applications. NPJ Mater. Degrad. 2022, 6, 68. [Google Scholar] [CrossRef]
- Abe, M.M.; Martins, J.R.; Sanvezzo, P.B.; Macedo, J.V.; Branciforti, M.C.; Halley, P.; Botaro, V.R.; Brienzo, M. Advantages and Disadvantages of Bioplastics Production from Starch and Lignocellulosic Components. Polymers 2021, 13, 2484. [Google Scholar] [CrossRef]
- Diakité, M.-S.; Lenormand, H.; Lequart, V.; Arufe, S.; Martin, P.; Leblanc, N. Cell Wall Composition of Hemp Shiv Determined by Physical and Chemical Approaches. Molecules 2021, 26, 6334. [Google Scholar] [CrossRef]
- Brunauer, S.; Emmett, P.H.; Teller, E. Adsorption of Gases in Multimolecular Layers. J. Am. Chem. Soc. 1938, 60, 309–319. [Google Scholar] [CrossRef]
- Barnat-Hunek, D.; Smarzewski, P.; Fic, S. Mechanical and thermal Properties of Hemp-Lime Composites. Compos. Theory Pract. 2015, 15, 21–27. [Google Scholar]
- Shalwan, A.; Alajmi, A.; Yousif, B.F. Theoretical Study of the Effect of Fibre Porosity on the Heat Conductivity of Reinforced Gypsum Composite Material. Polymers 2022, 14, 3973. [Google Scholar] [CrossRef]
- Boros, A.; Tőzsér, D. The Emerging Role of Plant-Based Building Materials in the Construction Industry—A Bibliometric Analysis. Resources 2023, 12, 124. [Google Scholar] [CrossRef]
- de Bruijn, P.; Johansson, P. Moisture fixation and thermal properties of lime–hemp concrete. Constr. Build. Mater. 2013, 47, 1235–1242. [Google Scholar] [CrossRef]
- Segerholm, B.K.; Walkenström, P.; Nyström, B.; Wålinder, M.E.P.; Larsson Brelid, P. Micromorphology, moisture sorption and mechanical properties of a biocomposite based on acetylated wood particles and cellulose ester. Wood Mater. Sci. Eng. 2007, 2, 106–117. [Google Scholar] [CrossRef]
- Gurunathan, T.; Mohanty, S.; Nayak, S.K. A review of the recent developments in biocomposites based on natural fibres and their application perspectives. Compos. Part A Appl. Sci. Manuf. 2015, 77, 1–25. [Google Scholar] [CrossRef]
- Florea, I.; Manea, D.L. Analysis of Thermal Insulation Building Materials Based on Natural Fibers. Procedia Manuf. 2019, 32, 230–235. [Google Scholar] [CrossRef]
- Cetiner, I.; Shea, A.D. Wood waste as an alternative thermal insulation for buildings. Energy Build. 2018, 168, 374–384. [Google Scholar] [CrossRef]
- Ismail, B.; Belayachi, N.; Hoxha, D. Optimizing performance of insulation materials based on wheat straw, lime and gypsum plaster composites using natural additives. Constr. Build. Mater. 2020, 254, 118959. [Google Scholar] [CrossRef]
- Viel, M.; Collet, F.; Lanos, C. Development and characterization of thermal insulation materials from renewable resources. Constr. Build. Mater. 2019, 214, 685–697. [Google Scholar] [CrossRef]
- Panyakaew, S.; Fotios, S. New thermal insulation boards made from coconut husk and bagasse. Energy Build. 2011, 43, 1732–1739. [Google Scholar] [CrossRef]
- Marques, B.; Tadeu, A.; António, J.; Almeida, J.; de Brito, J. Mechanical, thermal and acoustic behaviour of polymer-based composite materials produced with rice husk and expanded cork by-products. Constr. Build. Mater. 2020, 239, 117851. [Google Scholar] [CrossRef]
- Brzyski, P.; Barnat-Hunek, D.; Suchorab, Z.; Łagód, G. Composite Materials Based on Hemp and Flax for Low-Energy Buildings. Materials 2017, 10, 510. [Google Scholar] [CrossRef]
- Muthuraj, R.; Lacoste, C.; Lacroix, P.; Bergeret, A. Sustainable thermal insulation biocomposites from rice husk, wheat husk, wood fibers and textile waste fibers: Elaboration and performances evaluation. Ind. Crops Prod. 2019, 135, 238–245. [Google Scholar] [CrossRef]
- Bakatovich, A.; Davydenko, N.; Gaspar, F. Thermal insulating plates produced on the basis of vegetable agricultural waste. Energy Build. 2018, 180, 72–82. [Google Scholar] [CrossRef]
- Bakatovich, A.; Gaspar, F. Composite material for thermal insulation based on moss raw material. Constr. Build. Mater. 2019, 228, 116699. [Google Scholar] [CrossRef]
- Karpaky, H.; Maalouf, C.; Bliard, C.; Gacoin, A.; Lachi, M.; Polidori, G. Mechanical and thermal characterization of a beet pulp-starch composite for building applications. E3S Web Conf. 2019, 85, 08005. [Google Scholar] [CrossRef]
- Abbass, O.A.; Salih, A.I.; Al Hurmuzy, O.M. Study of the mechanical and physical properties of bio-composite material based on wheat starch and wheat straw fibers. IOP Conf. Ser. Mater. Sci. Eng. 2020, 745, 012075. [Google Scholar] [CrossRef]
- Ratiarisoa, R.V.; Magniont, C.; Ginestet, S.; Oms, C.; Escadeillas, G. Assessment of distilled lavender stalks as bioaggregate for building materials: Hygrothermal properties, mechanical performance and chemical interactions with mineral pozzolanic binder. Constr. Build. Mater. 2016, 124, 801–815. [Google Scholar] [CrossRef]
- El Haddaji, B.; Keita, E.; Fabien, A.; Aimedieu, P.; Sebaibi, N.; Collet, P.; Andres, V.; Porcheron, T.; Van Damme, H.; Audibert-Hayet, A.; et al. Nanosilica-based post-treatment of hardened cement-based materials: The underlying physics. Cem. Concr. Res. 2023, 171, 107211. [Google Scholar] [CrossRef]







| Diameter (mm) | Density (kg·m−3) | Initial Water Content (%) | |
|---|---|---|---|
| Hemp shives | 1–5 | 105 ± 10 | 7.6 |
| Brewers’ Spent Grains | 1–3 | 640 ± 50 | 10.3 |
| Component | Content |
|---|---|
| Amylose (%) | 26.55 |
| Amylopectin (%) | 73.67 |
| Crude fats (%) | 5.43 |
| Crude proteins (%) | 9.45 |
| Ash (%) | 0.87 |
| Phosphor (%) | 0.07 |
| Moisture content (%) | 10.8 |
| Density (kg/m3) | 1416 |
| Element | Ca | Mg | Na | Cl | K | P | F | Zn | SO4− | NO3− | Fe | Cu | Mn |
|---|---|---|---|---|---|---|---|---|---|---|---|---|---|
| Concentration (mg/L) | 95.3 | 6.8 | 12.5 | 18.1 | 3 | 0.7 | 0.2 | 0.2 | 37.6 | 43.4 | <0.1 | <0.1 | <0.1 |
| Formulations | Compressive Strength (MPa) |
|---|---|
| BSG0 | 0.327 ± 0.03 |
| BSG50 | 0.162 ± 0.02 |
| BSG100 | 0.098 ± 0.02 |
Disclaimer/Publisher’s Note: The statements, opinions and data contained in all publications are solely those of the individual author(s) and contributor(s) and not of MDPI and/or the editor(s). MDPI and/or the editor(s) disclaim responsibility for any injury to people or property resulting from any ideas, methods, instructions or products referred to in the content. |
© 2024 by the authors. Licensee MDPI, Basel, Switzerland. This article is an open access article distributed under the terms and conditions of the Creative Commons Attribution (CC BY) license (https://creativecommons.org/licenses/by/4.0/).
Share and Cite
El Haddaji, B.; Benzaama, M.-H.; Quiertant, M.; El Mendili, Y. Insight into the Use of Brewers’ Spent Grain as a Low-Carbon Aggregate in Building Materials. Biomimetics 2024, 9, 781. https://doi.org/10.3390/biomimetics9120781
El Haddaji B, Benzaama M-H, Quiertant M, El Mendili Y. Insight into the Use of Brewers’ Spent Grain as a Low-Carbon Aggregate in Building Materials. Biomimetics. 2024; 9(12):781. https://doi.org/10.3390/biomimetics9120781
Chicago/Turabian StyleEl Haddaji, Badreddine, Mohammed-Hichem Benzaama, Marc Quiertant, and Yassine El Mendili. 2024. "Insight into the Use of Brewers’ Spent Grain as a Low-Carbon Aggregate in Building Materials" Biomimetics 9, no. 12: 781. https://doi.org/10.3390/biomimetics9120781
APA StyleEl Haddaji, B., Benzaama, M.-H., Quiertant, M., & El Mendili, Y. (2024). Insight into the Use of Brewers’ Spent Grain as a Low-Carbon Aggregate in Building Materials. Biomimetics, 9(12), 781. https://doi.org/10.3390/biomimetics9120781

