Owens–Wendt Method for Comparing the UV Stability of Spontaneous Liquid-Repellency with Wet Chemical Treatment of Laser-Textured Stainless Steel
Abstract
:1. Introduction
2. Materials and Methods
2.1. Femtosecond Laser Texturing
2.2. Chemical Surface Treatment
2.3. Surface Characterization
2.4. UV Resistance Tests
2.5. Determination of Surface Energy by the Owens–Wendt Method
3. Results and Discussion
3.1. Topography of Textured Surfaces
3.2. Wetting the Sample Surface
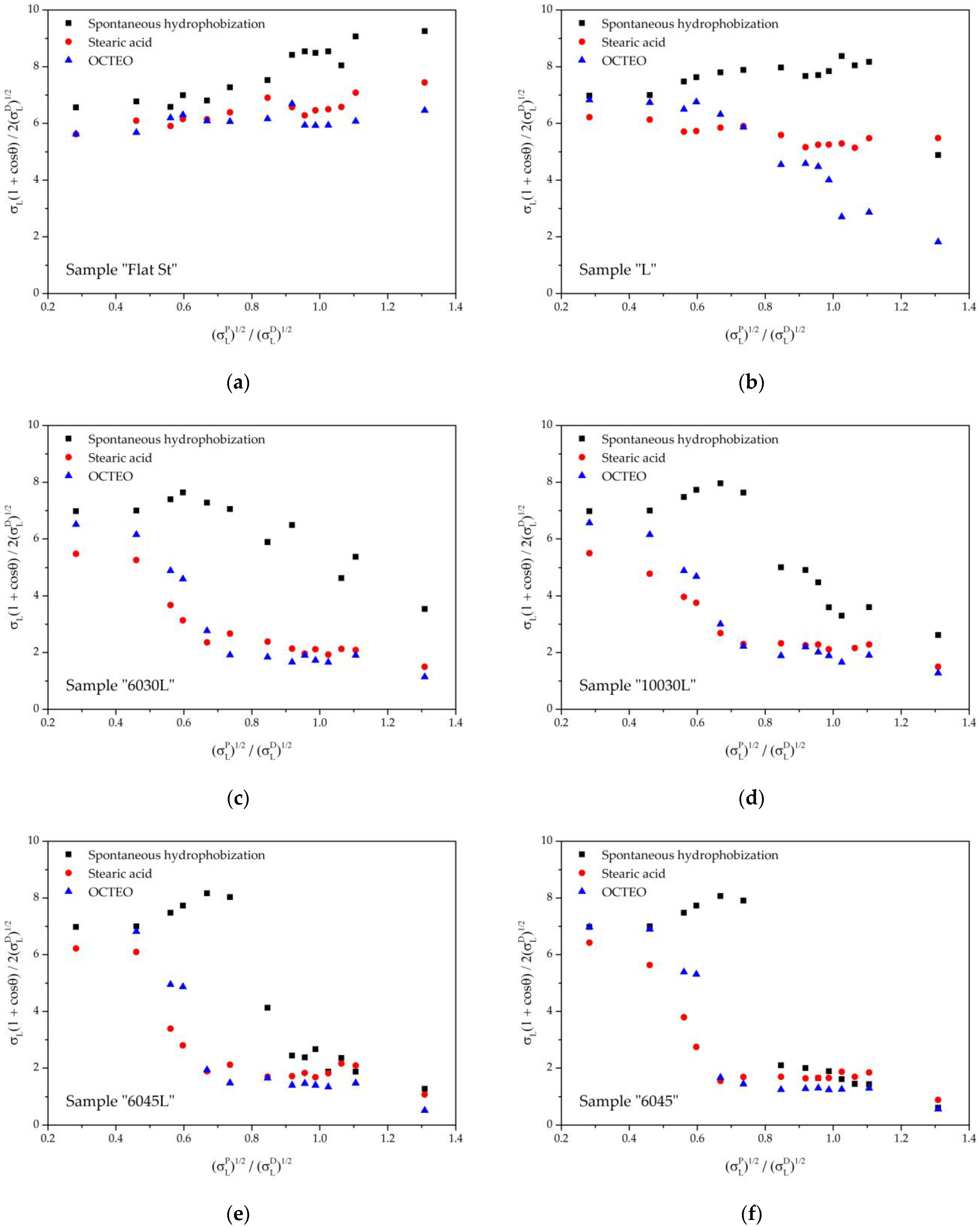
3.3. Owens–Wendt Characterization
3.4. UV-Stability of Liquid-Repellent Properties
4. Conclusions
Author Contributions
Funding
Institutional Review Board Statement
Data Availability Statement
Conflicts of Interest
References
- Si, Y.; Dong, Z.; Jiang, L. Bioinspired designs of superhydrophobic and superhydrophilic materials. ACS Cent. Sci. 2018, 4, 1102–1112. [Google Scholar] [CrossRef] [PubMed]
- Han, Z.; Mu, Z.; Yin, W.; Li, W.; Niu, S.; Zhang, J.; Ren, L. Biomimetic multifunctional surfaces inspired from animals. Adv. Colloid Interface Sci. 2016, 234, 27–50. [Google Scholar] [CrossRef] [PubMed]
- Kapsali, V. Biomimetic principles for design of water repellent surfaces. In Waterproof and Water Repellent Textiles and Clothing; Woodhead Publishing: Cambridge, UK, 2018; pp. 121–135. [Google Scholar] [CrossRef]
- Barthlott, W.; Mail, M.; Bhushan, B.; Koch, K. Plant surfaces: Structures and functions for Biomimetic Innovations. Nanomicro Lett. 2017, 9, 23. [Google Scholar] [CrossRef] [PubMed]
- Neinhuis, C.; Barthlott, W. Characterization and distribution of water-repellent, self-cleaning plant surfaces. Ann. Bot. 1997, 79, 667–677. [Google Scholar] [CrossRef]
- Yancheshme, A.A.; Momen, G.; Aminabadi, R.J. Mechanisms of ice formation and propagation on superhydrophobic surfaces: A review. Adv. Colloid Interface Sci. 2020, 279, 102155. [Google Scholar] [CrossRef] [PubMed]
- Fürstner, R.; Barthlott, W.; Neinhuis, C.; Walzel, P. Wetting and self-cleaning properties of artificial superhydrophobic surfaces. Langmuir 2005, 21, 956–961. [Google Scholar] [CrossRef]
- Ming, W.; Wu, D.; van Benthem, R.; de With, G. Superhydrophobic films from raspberry-like particles. Nano Lett. 2005, 5, 2298–2301. [Google Scholar] [CrossRef]
- Wei, D.; Wang, J.; Li, S.; Liu, Y.; Wang, D.; Wang, H. Novel corrosion-resistant behavior and mechanism of a biomimetic surface with switchable wettability on MG Alloy. J. Chem. Eng. 2021, 425, 130450. [Google Scholar] [CrossRef]
- Zhang, H.; Yang, J.; Chen, B.; Liu, C.; Zhang, M.; Li, C. Fabrication of superhydrophobic textured steel surface for anti-corrosion and tribological properties. Appl. Surf. Sci. 2015, 359, 905–910. [Google Scholar] [CrossRef]
- Gao, X.; Yan, X.; Yao, X.; Xu, L.; Zhang, K.; Zhang, J.; Yang, B.; Jiang, L. The Dry-Style Antifogging Properties of Mosquito Compound Eyes and Artificial Analogues Prepared by Soft Lithography. Adv. Mater. 2007, 19, 2213–2217. [Google Scholar] [CrossRef]
- Tzianou, M.; Thomopoulos, G.; Vourdas, N.; Ellinas, K.; Gogolides, E. Tailoring Wetting Properties at Extremes States to Obtain Antifogging Functionality. Adv. Funct. Mater. 2021, 31, 2006687. [Google Scholar] [CrossRef]
- Samanta, A.; Wang, Q.; Shaw, S.K.; Ding, H. Roles of Chemistry Modification for Laser Textured Metal Alloys to Achieve Extreme Surface Wetting Behaviors. Mater. Des. 2020, 192, 108744. [Google Scholar] [CrossRef]
- He, S.; Zheng, M.; Yao, L.; Yuan, X.; Li, M.; Ma, L.; Shen, W. Preparation and properties of ZnO nanostructures by electrochemical anodization method. Appl. Surf. Sci. 2010, 256, 2557–2562. [Google Scholar] [CrossRef]
- Huang, X.; Sun, M.; Shi, X.; Shao, J.; Jin, M.; Liu, W.; Zhang, R.; Huang, S.; Ye, Y. Chemical vapor deposition of transparent superhydrophobic anti-icing coatings with tailored polymer nanoarray architecture. J. Chem. Eng. 2023, 454, 139981. [Google Scholar] [CrossRef]
- Guo, X.J.; Xue, C.H.; Sathasivam, S.; Page, K.; He, G.; Guo, J.; Promdet, P.; Heale, F.L.; Carmalt, C.J.; Parkin, I.P. Fabrication of robust superhydrophobic surfaces via aerosol-assisted CVD and thermo-triggered healing of superhydrophobicity by recovery of roughness structures. J. Mater. Chem. A 2019, 7, 17604–17612. [Google Scholar] [CrossRef]
- Li, M.; Xu, J.; Lu, Q. Creating superhydrophobic surfaces with flowery structures on nickel substrates through a wet-chemical-process. J. Mater. Chem. 2007, 17, 4772. [Google Scholar] [CrossRef]
- Wang, Y.; Wang, W.; Zhong, L.; Wang, J.; Jiang, Q.; Guo, X. Super-hydrophobic surface on pure magnesium substrate by wet chemical method. Appl. Surf. Sci. 2010, 256, 3837–3840. [Google Scholar] [CrossRef]
- Hashjin, R.R.; Ranjbar, Z.; Yari, H.; Momen, G. Tuning up sol-gel process to achieve highly durable superhydrophobic coating. Surf. Interfaces 2022, 33, 102282. [Google Scholar] [CrossRef]
- Su, D.; Huang, C.; Hu, Y.; Jiang, Q.; Zhang, L.; Zhu, Y. Preparation of superhydrophobic surface with a novel sol–gel system. Appl. Surf. Sci. 2011, 258, 928–934. [Google Scholar] [CrossRef]
- Paven, M.; Mammen, L.; Vollmer, D. Challenges and opportunities of superhydrophobic/superamphiphobic coatings in real applications. In Smart Materials for Advanced Environmental Applications; The Royal Society of Chemistry: London, UK, 2016; pp. 209–243. [Google Scholar] [CrossRef]
- Erbil, H.Y. Practical applications of superhydrophobic materials and coatings: Problems and Perspectives. Langmuir 2020, 36, 2493–2509. [Google Scholar] [CrossRef]
- Mehanna, Y.A.; Sadler, E.; Upton, R.L.; Kempchinsky, A.G.; Lu, Y.; Crick, C.R. The challenges, achievements and applications of submersible superhydrophobic materials. Chem. Soc. Rev. 2021, 50, 6569–6612. [Google Scholar] [CrossRef] [PubMed]
- Wen, Q.; Guo, Z. Recent advances in the fabrication of superhydrophobic surfaces. Chem. Lett. 2016, 45, 1134–1149. [Google Scholar] [CrossRef]
- Yuan, G.; Liu, Y.; Ngo, C.V.; Guo, C. Rapid Fabrication of Anti-Corrosion and Self-Healing Superhydrophobic Aluminum Surfaces through Environmentally Friendly Femtosecond Laser Processing. Opt. Express 2020, 28, 35636. [Google Scholar] [CrossRef]
- Sun, H.; Li, J.; Liu, M.; Yang, D.; Li, F. A Review of Effects of Femtosecond Laser Parameters on Metal Surface Properties. Coatings 2022, 12, 1596. [Google Scholar] [CrossRef]
- Florian, C.; Skoulas, E.; Puerto, D.; Mimidis, A.; Stratakis, E.; Solis, J.; Siegel, J. Controlling the wettability of steel surfaces processed with femtosecond laser pulses. ACS Appl. Mater. Interfaces. 2018, 10, 36564–36571. [Google Scholar] [CrossRef]
- Zhidkov, M.V.; Vershinina, T.N.; Golosova, O.A.; Kudryashov, S.I.; Ionin, A.A. Surface texturing of steel by femtosecond laser and accompanying structure/phase transformations. Opt. Laser Technol. 2020, 131, 106370. [Google Scholar] [CrossRef]
- Long, J.; Pan, L.; Fan, P.; Gong, D.; Jiang, D.; Zhang, H.; Li, L.; Zhong, M. Cassie-State Stability of Metallic Superhydrophobic Surfaces with Various Micro/Nanostructures Produced by a Femtosecond Laser. Langmuir 2016, 32, 1065–1072. [Google Scholar] [CrossRef]
- Yong, J.; Yang, Q.; Hou, X.; Chen, F. Nature-Inspired Superwettability Achieved by Femtosecond Lasers. Ultrafast Sci. 2022, 2022, 9895418. [Google Scholar] [CrossRef]
- Zhang, D.; Wang, L.; Qian, H.; Li, X. Superhydrophobic surfaces for Corrosion Protection: A review of recent progresses and Future Directions. J. Coat. Technol. Res. 2015, 13, 11–29. [Google Scholar] [CrossRef]
- Song, J.; Xu, W.; Liu, X.; Lu, Y.; Wei, Z.; Wu, L. Ultrafast fabrication of rough structures required by superhydrophobic surfaces on al substrates using an immersion method. J. Chem. Eng. 2012, 211–212, 143–152. [Google Scholar] [CrossRef]
- Mahadik, S.A.; Kavale, M.S.; Mukherjee, S.K.; Rao, A.V. Transparent superhydrophobic silica coatings on glass by Sol–Gel Method. Appl. Surf. Sci. 2010, 257, 333–339. [Google Scholar] [CrossRef]
- Lorenz, P.; Zajadacz, J.; Bauer, J.; Ehrhardt, M.; Hommes, G.; Peter, S.; Zimmer, K. Chemical stability of superhydrophobic stainless steel surfaces realized by laser-texturing and chemical functionalization. Surf. Interfaces 2023, 37, 102685. [Google Scholar] [CrossRef]
- Kietzig, A.M.; Hatzikiriakos, S.G.; Englezos, P. Patterned superhydrophobic metallic surfaces. Langmuir 2009, 25, 4821–4827. [Google Scholar] [CrossRef]
- Ta, V.D.; Dunn, A.; Wasley, T.J.; Li, J.; Kay, R.W.; Stringer, J.; Smith, P.J.; Esenturk, E.; Connaughton, C.; Shephard, J.D. Laser Textured Superhydrophobic Surfaces and Their Applications for Homogeneous Spot Deposition. Appl. Surf. Sci. 2016, 365, 153–159. [Google Scholar] [CrossRef]
- Cardoso, J.T.; Garcia-Girón, A.; Romano, J.M.; Huerta-Murillo, D.; Jagdheesh, R.; Walker, M.; Dimov, S.S.; Ocaña, J.L. Influence of Ambient Conditions on the Evolution of Wettability Properties of an IR-, NS-Laser Textured Aluminium Alloy. RSC Adv. 2017, 7, 39617–39627. [Google Scholar] [CrossRef]
- Yong, J.; Chen, F.; Yang, Q.; Farooq, U.; Hou, X. Photoinduced Switchable Underwater Superoleophobicity–Superoleophilicity on Laser Modified Titanium Surfaces. J. Mater. Chem. A 2015, 3, 10703–10709. [Google Scholar] [CrossRef]
- Ta, D.V.; Dunn, A.; Wasley, T.J.; Kay, R.W.; Stringer, J.; Smith, P.J.; Connaughton, C.; Shephard, J.D. Nanosecond Laser Textured Superhydrophobic Metallic Surfaces and Their Chemical Sensing Applications. Appl. Surf. Sci. 2015, 357, 248–254. [Google Scholar] [CrossRef]
- Basset, S.; Heisbourg, G.; Pascale-Hamri, A.; Benayoun, S.; Valette, S. Effect of Texturing Environment on Wetting of Biomimetic Superhydrophobic Surfaces Designed by Femtosecond Laser Texturing. Nanomaterials 2022, 12, 3099. [Google Scholar] [CrossRef] [PubMed]
- Kietzig, A.M.; Mirvakili, N.M.; Kamal, S.; Englezos, P.; Hatzikiriakos, S.G. Laser-patterned super-hydrophobic pure metallic substrates: Cassie to Wenzel Wetting Transitions. J. Adhes. Sci. Technol. 2011, 25, 2789–2809. [Google Scholar] [CrossRef]
- Elleb, R.; Engel, T.; Antoni, F.; Fontaine, J.; Mermet, F.; Poncin-Epaillard, F. Study of Femtosecond Laser Multi-Scale Textured Steel Surfaces on the Wettability in Relation to Aging. J. Mater. Sci. 2021, 56, 20169–20180. [Google Scholar] [CrossRef]
- Zhang, Y.; Jiao, Y.; Li, C.; Chen, C.; Li, J.; Hu, Y.; Wu, D.; Chu, J. Bioinspired micro/nanostructured surfaces prepared by femtosecond laser direct writing for multi-functional applications. Int. J. Extreme Manuf. 2020, 2, 032002. [Google Scholar] [CrossRef]
- Long, J.; Zhong, M.; Zhang, H.; Fan, P. Superhydrophilicity to Superhydrophobicity Transition of Picosecond Laser Microstructured Aluminum in Ambient Air. J. Colloid Interface Sci. 2015, 441, 1–9. [Google Scholar] [CrossRef] [PubMed]
- Giannuzzi, G.; Gaudiuso, C.; Di Mundo, R.; Mirenghi, L.; Fraggelakis, F.; Kling, R.; Lugarà, P.M.; Ancona, A. Short and long term surface chemistry and wetting behavior of stainless steel with 1D and 2D periodic structures induced by bursts of femtosecond laser pulses. Appl. Surf. Sci. 2019, 494, 1055–1065. [Google Scholar] [CrossRef]
- Zhao, Q.; Tang, T.; Wang, F. Fabrication of Superhydrophobic AA5052 Aluminum Alloy Surface with Improved Corrosion Resistance and Self Cleaning Property. Coatings 2018, 8, 390. [Google Scholar] [CrossRef]
- Yin, Y.; Liu, T.; Chen, S.; Liu, T.; Cheng, S. Structure Stability and Corrosion Inhibition of Super-Hydrophobic Film on Aluminum in Seawater. Appl. Surf. Sci. 2008, 255, 2978–2984. [Google Scholar] [CrossRef]
- Wang, G.; Liu, S.; Wei, S.; Liu, Y.; Lian, J.; Jiang, Q. Robust Superhydrophobic Surface on al Substrate with Durability, Corrosion Resistance and Ice-Phobicity. Sci. Rep. 2016, 6, 20933. [Google Scholar] [CrossRef] [PubMed]
- Milionis, A.; Loth, E.; Bayer, I.S. Recent Advances in the Mechanical Durability of Superhydrophobic Materials. Adv. Colloid Interface Sci. 2016, 229, 57–79. [Google Scholar] [CrossRef]
- Darband, G.B.; Aliofkhazraei, M.; Khorsand, S.; Sokhanvar, S.; Kaboli, A. Science and Engineering of Superhydrophobic Surfaces: Review of Corrosion Resistance, Chemical and Mechanical Stability. Arab. J. Chem. 2020, 13, 1763–1802. [Google Scholar] [CrossRef]
- Deflorian, F.; Rossi, S.; Fedel, M. Organic coatings degradation: Comparison between natural and artificial weathering. Corros. Sci. 2008, 50, 2360–2366. [Google Scholar] [CrossRef]
- Myronyuk, O.; Baklan, D.; Rodin, A.M. UV Resistance of Super-Hydrophobic Stainless Steel Surfaces Textured by Femtosecond Laser Pulses. Photonics 2023, 10, 1005. [Google Scholar] [CrossRef]
- Zheng, S.; Li, C.; Fu, Q.; Hu, W.; Xiang, T.; Wang, Q.; Du, M.; Liu, X.; Chen, Z. Development of Stable Superhydrophobic Coatings on Aluminum Surface for Corrosion-Resistant, Self-Cleaning, and Anti-Icing Applications. Mater. Des. 2016, 93, 261–270. [Google Scholar] [CrossRef]
- Binali, R.; Demirpolat, H.; Kuntoğlu, M.; Salur, E. Different Aspects of Machinability in Turning of AISI 304 Stainless Steel: A Sustainable Approach with MQL Technology. Metals 2023, 13, 1088. [Google Scholar] [CrossRef]
- Mroczkowska, K.M.; Dzienny, P.; Budnicki, A.; Antończak, A.J. Corrosion Resistance of AISI 304 Stainless Steel Modified Both Femto- and Nanosecond Lasers. Coatings 2021, 11, 592. [Google Scholar] [CrossRef]
- Pańcikiewicz, K.; Świerczyńska, A.; Hućko, P.; Tumidajewicz, M. Laser Dissimilar Welding of AISI 430F and AISI 304 Stainless Steels. Materials 2020, 13, 4540. [Google Scholar] [CrossRef] [PubMed]
- Myronyuk, O.; Baklan, D.; Rodin, A.M.; Vanagas, E.; Yong, Z. Owens–Wendt Characterization of Femtosecond-Laser-Textured Hydrophobic Aluminum Surfaces. Coatings 2023, 13, 1104. [Google Scholar] [CrossRef]
- Myronyuk, O.; Baklan, D.; Vasilyev, G.S.; Rodin, A.M.; Vanagas, E. Wetting Patterns of Liquid-Repellent Femtosecond Laser Textured Aluminum Surfaces. Coatings 2022, 12, 1852. [Google Scholar] [CrossRef]
- Li, B.; Li, H.; Huang, L.; Ren, N.; Kong, X. Femtosecond pulsed laser textured titanium surfaces with stable superhydrophilicity and superhydrophobicity. Appl. Surf. Sci. 2016, 389, 585–593. [Google Scholar] [CrossRef]
- Wu, B.; Zhou, M.; Li, J.; Ye, X.; Li, G.; Cai, L. Superhydrophobic Surfaces Fabricated by Microstructuring of Stainless Steel Using a Femtosecond Laser. Appl. Surf. Sci. 2009, 256, 61–66. [Google Scholar] [CrossRef]
- Ateia, M.; Buren, J.V.; Barrett, W.; Martin, T.; Back, G.G. Sunrise of pfas replacements: A perspective on fluorine-free foams. ACS Sustain. Chem. Eng. 2023, 11, 7986–7996. [Google Scholar] [CrossRef]
- Lei, H.; Xiong, M.; Xiao, J.; Zheng, L.; Zhu, Y.; Li, X.; Zhuang, Q.; Han, Z. Fluorine-free low surface energy organic coating for anti-stain applications. Prog. Org. Coat. 2017, 103, 182–192. [Google Scholar] [CrossRef]
- Yokoi, N.; Manabe, K.; Tenjimbayashi, M.; Shiratori, S. Optically transparent superhydrophobic surfaces with enhanced mechanical abrasion resistance enabled by mesh structure. ACS Appl. Mater. Interfaces 2015, 7, 4809–4816. [Google Scholar] [CrossRef] [PubMed]
- Zhang, B.; Zeng, Y.; Wang, J.; Sun, Y.; Zhang, J.; Li, Y. Superamphiphobic aluminum alloy with low sliding angles and acid-alkali liquids repellency. Mater. Des. 2020, 188, 108479. [Google Scholar] [CrossRef]
- Zhang, Z.; Wang, W.; Korpacz, A.N.; Dufour, C.R.; Weiland, Z.J.; Lambert, C.R.; Timko, M.T. Binary Liquid Mixture Con-tact-Angle Measurements for Precise Estimation of Surface Free Energy. Langmuir 2019, 35, 12317–12325. [Google Scholar] [CrossRef] [PubMed]
- Owens, D.K.; Wendt, R.C. Estimation of the Surface Free Energy of Polymers. J. Appl. Polym. Sci. 1969, 13, 1741–1747. [Google Scholar] [CrossRef]
- Szubzda, B.; Antończak, A.; Kozioł, P.; Łazarek; Stępak, B.; Łęcka, K.; Szmaja, A.; Ozimek, M. Corrosion resistance of the aisi 304, 316 and 321 stainless steel surfaces modified by laser. IOP Conf. Ser. Mater. Sci. Eng. 2016, 113, 012017. [Google Scholar] [CrossRef]
- Zeman, A.; Novotny, R.; Uca, O.; Krsjak, V.; Macak, J.; Debarberis, L. Behavior of cold-worked AISI-304 steel in stress-corrosion cracking process: Microstructural aspects. Appl. Surf. Sci. 2008, 255, 160–163. [Google Scholar] [CrossRef]
- Schnell, G.; Polley, C.; Bartling, S.; Seitz, H. Effect of Chemical Solvents on the Wetting Behavior Over Time of Femtosecond Laser Structured Ti6Al4V Surfaces. Nanomaterials 2020, 10, 1241. [Google Scholar] [CrossRef]
- Liu, W.; Cai, M.; Luo, X.; Chen, C.; Pan, R.; Zhang, H.; Zhong, M. Wettability Transition Modes of Aluminum Surfaces with Various Micro/Nanostructures Produced by a Femtosecond Laser. J. Laser Appl. 2019, 31, 022503. [Google Scholar] [CrossRef]
- Saito, M.; Yabe, A. Dispersion and polar force components of surface tension of oily soils. Text. Res. J. 1984, 54, 18–22. [Google Scholar] [CrossRef]
- Gros, A.T.; Feuge, R.O. Surface and interfacial tensions, viscosities, and other physical properties of some N-aliphatic acids and their methyl and ethyl esters. J. Am. Oil Chem. Soc. 1952, 29, 313–317. [Google Scholar] [CrossRef]
- Wang, Q.; Wang, H.; Zhu, Z.; Xiang, N.; Wang, Z.; Sun, G. Switchable Wettability Control of Titanium via Facile Nanosecond Laser-Based Surface Texturing. Surf. Interfaces 2021, 24, 101122. [Google Scholar] [CrossRef]
- Taleb, S.; Darmanin, T.; Guittard, F. Switchable and Reversible Superhydrophobic Surfaces: Part One. In Interdisciplinary Expansions in Engineering and Design with the Power of Biomimicry; Kokturk, G., Altun, T.D.A., Eds.; InTech: London, UK, 2018. [Google Scholar] [CrossRef]
- Zumdahl, S.S.; Zumdahl, S. Chemistry, 9th ed.; Cengage Learning: Boston, MA, USA, 2000; p. 1200. ISBN 978-1133611097. [Google Scholar]
- Syakur, A.; Berahim, H.; Tumiran, N.; Rochmadi, N. Electrical Tracking Formation on Silane Epoxy Resin under Various Contaminants. Telkomnika 2013, 11, 17–28. [Google Scholar] [CrossRef]
- Gong, X.; He, S. Highly Durable Superhydrophobic Polydimethylsiloxane/Silica Nanocomposite Surfaces with Good Self-Cleaning Ability. ACS Omega 2020, 5, 4100–4108. [Google Scholar] [CrossRef] [PubMed]
- Calhoun, A.; Chiang, E.N. Determination of the Surface Energetics of Surface Modified Calcium Carbonate Using Inverse Gas Chromatography. J. Vinyl Addit. Technol. 2006, 12, 174–182. [Google Scholar] [CrossRef]
- Kumar, V.; Verma, R.; Bairwa, H.K. Fabrication of Superhydrophobic Surfaces by Laser Surface Texturing and Autoxidation. J. Electrochem. Sci. Eng. 2022, 12, 639–649. [Google Scholar] [CrossRef]








| Sample | Microgrooves | Nanopattern | |
|---|---|---|---|
| “Flat St” (reference) | – | – | |
| “L” | – | – | LIPSS |
| “6030L” | pitch 60 µm | width 30 µm | LIPSS |
| “10030L” | pitch 100 µm | width 30 µm | LIPSS |
| “6045L” | pitch 60 µm | width 45 µm | LIPSS |
| “6045” | pitch 60 µm | width 45 µm | – |
| Sample | Area | C | O | Si | Cr | Fe | Ni |
|---|---|---|---|---|---|---|---|
| 6030L | 1 | 3.47 | 13.8 | 0.27 | 14.65 | 59.29 | 8.52 |
| 2 | 3.7 | 4.56 | 0.32 | 17.83 | 64.73 | 8.86 | |
| 10030L | 1 | 4.1 | 15.39 | 0.33 | 14.65 | 57.56 | 7.96 |
| 2 | 4.31 | 4.61 | 0.38 | 18.05 | 64.69 | 7.97 | |
| 6045L | 1 | 3.19 | 15.24 | 0.59 | 14.86 | 58.15 | 7.98 |
| 2 | 3.27 | 3.44 | 0.18 | 19.33 | 66.25 | 7.53 | |
| 6045 | 1 | 9.2 | 21.4 | 0.7 | 13.65 | 47.58 | 7.47 |
| 2 | 4.17 | 3.74 | 0.28 | 18.6 | 67.42 | 5.79 |
| Surface Energy Component | Spontaneous Hydrophobization | Stearic Acid | OCTEO |
|---|---|---|---|
| , mN/m | 31 | 25.5 | 25 |
| , mN/m | 7.2 | 2.6 | 1.2 |
| , mN/m | 38.2 | 28.1 | 26.2 |
| Surface Treatment | Sample L | Sample 6030 | Sample 10030L | Sample 6045L | Sample 6045 |
|---|---|---|---|---|---|
| Spontaneous hydrophobization | 0.771 | 0.402 | 0.221 | 0.053 | 0.012 |
| Stearic acid | 0.934 | 0.088 | 0.088 | 0.042 | 0.031 |
| OCTEO | 0.132 | 0.052 | 0.066 | 0.011 | 0.015 |
| Surface Treatment | Sample L | Sample 6030 | Sample 10030L | Sample 6045L | Sample 6045 |
|---|---|---|---|---|---|
| Spontaneous hydrophobization | 33.5 | 10.6 | 12.4 | 14.2 | 13.8 |
| Stearic acid | 16.2 | 5.2 | 4.1 | 5.4 | 4.9 |
| OCTEO | 10.3 | 4.5 | 4.3 | 5.7 | 7.22 |
Disclaimer/Publisher’s Note: The statements, opinions and data contained in all publications are solely those of the individual author(s) and contributor(s) and not of MDPI and/or the editor(s). MDPI and/or the editor(s) disclaim responsibility for any injury to people or property resulting from any ideas, methods, instructions or products referred to in the content. |
© 2023 by the authors. Licensee MDPI, Basel, Switzerland. This article is an open access article distributed under the terms and conditions of the Creative Commons Attribution (CC BY) license (https://creativecommons.org/licenses/by/4.0/).
Share and Cite
Myronyuk, O.; Baklan, D.; Rodin, A.M. Owens–Wendt Method for Comparing the UV Stability of Spontaneous Liquid-Repellency with Wet Chemical Treatment of Laser-Textured Stainless Steel. Biomimetics 2023, 8, 584. https://doi.org/10.3390/biomimetics8080584
Myronyuk O, Baklan D, Rodin AM. Owens–Wendt Method for Comparing the UV Stability of Spontaneous Liquid-Repellency with Wet Chemical Treatment of Laser-Textured Stainless Steel. Biomimetics. 2023; 8(8):584. https://doi.org/10.3390/biomimetics8080584
Chicago/Turabian StyleMyronyuk, Oleksiy, Denys Baklan, and Aleksej M. Rodin. 2023. "Owens–Wendt Method for Comparing the UV Stability of Spontaneous Liquid-Repellency with Wet Chemical Treatment of Laser-Textured Stainless Steel" Biomimetics 8, no. 8: 584. https://doi.org/10.3390/biomimetics8080584
APA StyleMyronyuk, O., Baklan, D., & Rodin, A. M. (2023). Owens–Wendt Method for Comparing the UV Stability of Spontaneous Liquid-Repellency with Wet Chemical Treatment of Laser-Textured Stainless Steel. Biomimetics, 8(8), 584. https://doi.org/10.3390/biomimetics8080584

