Osseodensification Versus Subtractive Drilling in Cortical Bone: An Evaluation of Implant Surface Characteristics and Their Effects on Osseointegration
Abstract
1. Introduction
2. Materials and Methods
2.1. Materials
2.2. Preclinical In Vivo Model
2.3. Histologic Procedures and Histomorphometric Analysis
2.4. Statistical Analysis
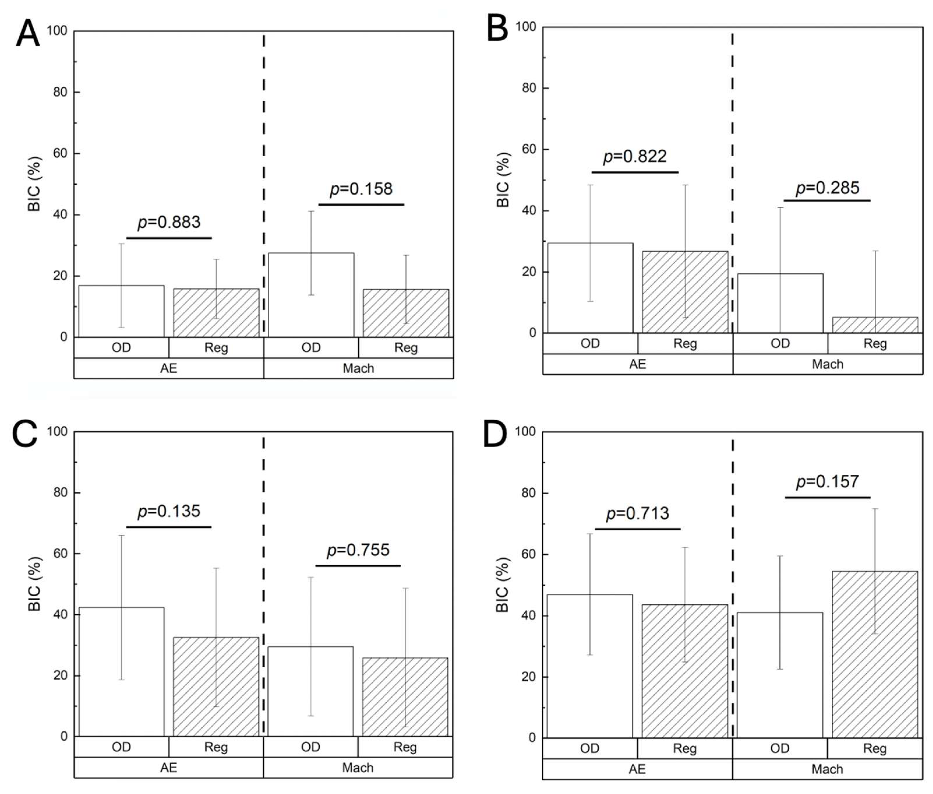
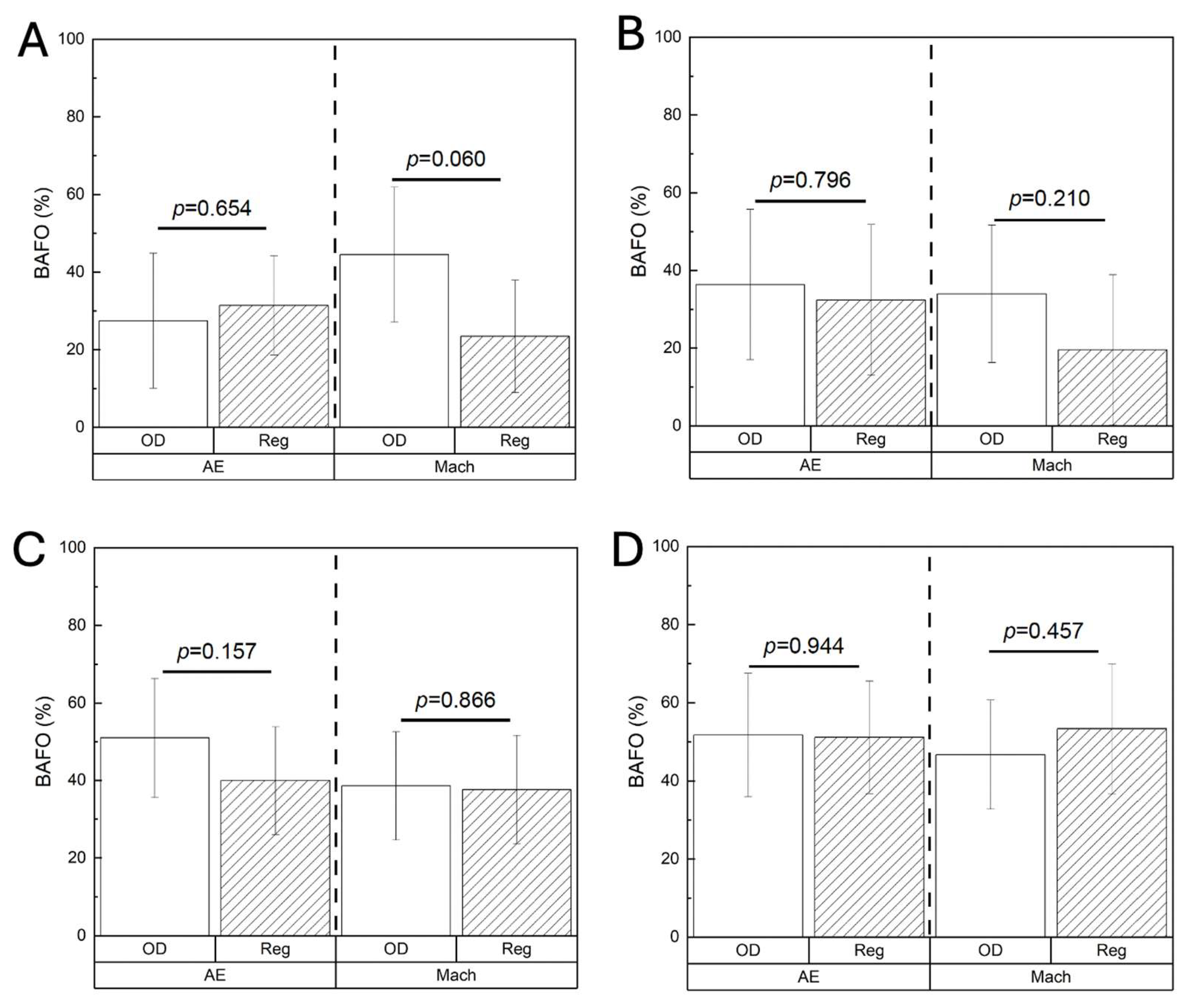
3. Results
4. Discussion
5. Conclusions
Author Contributions
Funding
Institutional Review Board Statement
Informed Consent Statement
Data Availability Statement
Acknowledgments
Conflicts of Interest
References
- Pikos, M.A.; Miron, R.J. Osseodensification: An Overview of Scientific Rationale and Biological Background. Compend. Contin. Educ. Dent. 2019, 40, 217–222, quiz 223. [Google Scholar]
- Javed, F.; Romanos, G.E. The role of primary stability for successful immediate loading of dental implants. A literature review. J. Dent. 2010, 38, 612–620. [Google Scholar] [CrossRef]
- Halldin, A.; Jimbo, R.; Johansson, C.B.; Wennerberg, A.; Jacobsson, M.; Albrektsson, T.; Hansson, S. The effect of static bone strain on implant stability and bone remodeling. Bone 2011, 49, 783–789. [Google Scholar] [CrossRef]
- Yamaguchi, Y.; Shiota, M.; Munakata, M.; Kasugai, S.; Ozeki, M. Effect of implant design on primary stability using torque-time curves in artificial bone. Int. J. Implant Dent. 2015, 1, 21. [Google Scholar] [CrossRef] [PubMed]
- Marquezan, M.; Osório, A.; Sant’Anna, E.; Souza, M.M.; Maia, L. Does bone mineral density influence the primary stability of dental implants? A systematic review. Clin. Oral Implant. Res. 2012, 23, 767–774. [Google Scholar] [CrossRef] [PubMed]
- Turkyilmaz, I.; Aksoy, U.; McGlumphy, E.A. Two alternative surgical techniques for enhancing primary implant stability in the posterior maxilla: A clinical study including bone density, insertion torque, and resonance frequency analysis data. Clin. Implant Dent. Relat. Res. 2008, 10, 231–237. [Google Scholar] [CrossRef] [PubMed]
- Nasatzky, E.; Gultchin, J.; Schwartz, Z. The role of surface roughness in promoting osteointegration. Refuat Hapeh Vehashinayim (1993) 2003, 20, 8–19, 98. [Google Scholar]
- Iyer, S.; Weiss, C.; Mehta, A. Effects of drill speed on heat production and the rate and quality of bone formation in dental implant osteotomies. Part I: Relationship between drill speed and heat production. Int. J. Prosthodont. 1997, 10, 536–540. [Google Scholar]
- Huwais, S.; Meyer, E.G. A Novel Osseous Densification Approach in Implant Osteotomy Preparation to Increase Biomechanical Primary Stability, Bone Mineral Density, and Bone-to-Implant Contact. Int. J. Oral Maxillofac. Implant. 2017, 32, 27–36. [Google Scholar] [CrossRef]
- Althobaiti, A.K.; Ashour, A.W.; Halteet, F.A.; Alghamdi, S.I.; AboShetaih, M.M.; Al-Hayazi, A.M.; Saaduddin, A.M.; Althobaiti, A.; Ashour, A.W.; Halteet, F.A. A comparative assessment of primary implant stability using osseodensification vs. conventional drilling methods: A systematic review. Cureus 2023, 15, e46841. [Google Scholar] [CrossRef]
- Inchingolo, A.D.; Inchingolo, A.M.; Bordea, I.R.; Xhajanka, E.; Romeo, D.M.; Romeo, M.; Zappone, C.M.F.; Malcangi, G.; Scarano, A.; Lorusso, F.; et al. The Effectiveness of Osseodensification Drilling Protocol for Implant Site Osteotomy: A Systematic Review of the Literature and Meta-Analysis. Materials 2021, 14, 1147. [Google Scholar] [CrossRef]
- Yeh, Y.T.; Chu, T.G.; Blanchard, S.B.; Hamada, Y. Effects on Ridge Dimensions, Bone Density, and Implant Primary Stability with Osseodensification Approach in Implant Osteotomy Preparation. Int. J. Oral Maxillofac. Implant. 2021, 36, 474–484. [Google Scholar] [CrossRef] [PubMed]
- Trisi, P.; Berardi, D.; Paolantonio, M.; Spoto, G.; D’Addona, A.; Perfetti, G. Primary stability, insertion torque, and bone density of conical implants with internal hexagon: Is there a relationship? J. Craniofac Surg. 2013, 24, 841–844. [Google Scholar] [CrossRef] [PubMed]
- Ott, S.M. Cortical or trabecular bone: What’s the difference? Am. J. Nephrol. 2018, 47, 373–375. [Google Scholar] [CrossRef]
- Oftadeh, R.; Perez-Viloria, M.; Villa-Camacho, J.C.; Vaziri, A.; Nazarian, A. Biomechanics and mechanobiology of trabecular bone: A review. J. Biomech. Eng. 2015, 137, 010802. [Google Scholar] [CrossRef] [PubMed]
- Buckwalter, J.; Cooper, R. Bone structure and function. Instr. Course Lect. 1987, 36, 27–48. [Google Scholar]
- An, Y.H.; Draughn, R.A. Mechanical properties of bone. In Mechanical Testing of Bone and the Bone-Implant Interface; CRC Press: Boca Raton, FL, USA, 1999; pp. 65–88. [Google Scholar]
- Mercier, F.; Bartala, M.; Ella, B. Evaluation of the Osseodensification Technique in Implant Primary Stability: Study on Cadavers. Int. J. Oral Maxillofac. Implant. 2022, 37, 593–600. [Google Scholar] [CrossRef]
- Vaddamanu, S.K.; Saini, R.S.; Vyas, R.; Kanji, M.A.; Alshadidi, A.A.F.; Hafedh, S.; Cicciù, M.; Minervini, G. A comparative study on bone density before and after implant placement using osseodensification technique: A clinical evaluation. Int. J. Implant Dent. 2024, 10, 56. [Google Scholar] [CrossRef]
- Almutairi, A.S.; Walid, M.A.; Alkhodary, M.A. The effect of osseodensification and different thread designs on the dental implant primary stability. F1000Research 2018, 7, 1898. [Google Scholar] [CrossRef]
- Fontes Pereira, J.; Costa, R.; Nunes Vasques, M.; Relvas, M.; Braga, A.C.; Salazar, F.; Infante da Câmara, M. The Effectiveness of Osseodensification Drilling Versus the Conventional Surgical Technique on Implant Stability: A Clinical Trial. J. Clin. Med. 2024, 13, 2912. [Google Scholar] [CrossRef]
- Chauhan, P.; Koul, V.; Bhatnagar, N. Critical Role of Etching Parameters in the Evolution of Nano Micro SLA Surface on the Ti6Al4V Alloy Dental Implants. Materials 2021, 14, 6344. [Google Scholar] [CrossRef]
- Annunziata, M.; Guida, L. The Effect of Titanium Surface Modifications on Dental Implant Osseointegration. Front. Oral Biol. 2015, 17, 62–77. [Google Scholar] [CrossRef]
- Orsini, G.; Assenza, B.; Scarano, A.; Piattelli, M.; Piattelli, A. Surface analysis of machined versus sandblasted and acid-etched titanium implants. Int. J. Oral Maxillofac. Implant. 2000, 15, 779–784. [Google Scholar]
- Smeets, R.; Stadlinger, B.; Schwarz, F.; Beck-Broichsitter, B.; Jung, O.; Precht, C.; Kloss, F.; Gröbe, A.; Heiland, M.; Ebker, T. Impact of Dental Implant Surface Modifications on Osseointegration. Biomed. Res. Int. 2016, 2016, 6285620. [Google Scholar] [CrossRef] [PubMed]
- Zhu, G.; Wang, G.; Li, J.J. Advances in implant surface modifications to improve osseointegration. Mater. Adv. 2021, 2, 6901–6927. [Google Scholar] [CrossRef]
- Buser, D.; Broggini, N.; Wieland, M.; Schenk, R.K.; Denzer, A.J.; Cochran, D.L.; Hoffmann, B.; Lussi, A.; Steinemann, S.G. Enhanced Bone Apposition to a Chemically Modified SLA Titanium Surface. J. Dent. Res. 2004, 83, 529–533. [Google Scholar] [CrossRef]
- Zhang, J.; Liu, J.; Wang, C.; Chen, F.; Wang, X.; Lin, K. A comparative study of the osteogenic performance between the hierarchical micro/submicro-textured 3D-printed Ti6Al4V surface and the SLA surface. Bioact. Mater. 2020, 5, 9–16. [Google Scholar] [CrossRef]
- Ibañez, J.C.; Tahhan, M.J.; Zamar, J.A.; Menendez, A.B.; Juaneda, A.M.; Zamar, N.J.; Monqaut, J.L. Immediate occlusal loading of double acid-etched surface titanium implants in 41 consecutive full-arch cases in the mandible and maxilla: 6- to 74-month results. J. Periodontol. 2005, 76, 1972–1981. [Google Scholar] [CrossRef]
- Santos Marino, J.; Cortés-Bretón Brinkmann, J.; García-Gil, I.; Martínez-Rodríguez, N.; Fraile, J.F.; Barona Dorado, C.; Martínez-González, J.M. Clinical Evaluation of Dental Implants with a Double Acid-Etched Surface Treatment: A Cohort Observational Study with Up to 10-Year Follow-Up. Materials 2021, 14, 6483. [Google Scholar] [CrossRef]
- Lahens, B.; Lopez, C.D.; Neiva, R.F.; Bowers, M.M.; Jimbo, R.; Bonfante, E.A.; Morcos, J.; Witek, L.; Tovar, N.; Coelho, P.G. The effect of osseodensification drilling for endosteal implants with different surface treatments: A study in sheep. J. Biomed. Mater. Res. B Appl. Biomater. 2019, 107, 615–623. [Google Scholar] [CrossRef]
- Cochran, D.L.; Schenk, R.K.; Lussi, A.; Higginbottom, F.L.; Buser, D. Bone response to unloaded and loaded titanium implants with a sandblasted and acid-etched surface: A histometric study in the canine mandible. J. Biomed. Mater. Res. 1998, 40, 1–11. [Google Scholar] [CrossRef]
- Lethaus, B.; Kälber, J.; Petrin, G.; Brandstätter, A.; Weingart, D. Early loading of sandblasted and acid-etched titanium implants in the edentulous mandible: A prospective 5-year study. Int. J. Oral Maxillofac. Implant. 2011, 26, 887–892. [Google Scholar]
- Cochran, D.L.; Nummikoski, P.V.; Higginbottom, F.L.; Hermann, J.S.; Makins, S.R.; Buser, D. Evaluation of an endosseous titanium implant with a sandblasted and acid-etched surface in the canine mandible: Radiographic results. Clin. Oral Implant. Res. 1996, 7, 240–252. [Google Scholar] [CrossRef] [PubMed]
- Cho, S.A.; Park, K.T. The removal torque of titanium screw inserted in rabbit tibia treated by dual acid etching. Biomaterials 2003, 24, 3611–3617. [Google Scholar] [CrossRef] [PubMed]
- Lopez, C.D.; Alifarag, A.M.; Torroni, A.; Tovar, N.; Diaz-Siso, J.R.; Witek, L.; Rodriguez, E.D.; Coelho, P.G. Osseodensification for enhancement of spinal surgical hardware fixation. J. Mech. Behav. Biomed. Mater. 2017, 69, 275–281. [Google Scholar] [CrossRef] [PubMed] [PubMed Central]
- Tao, X.; Yang, J.; Ma, T.; Chen, M.; An, Q.; Yu, D. Optimizing Osseodensification Drilling for Dental Implant Placement: An In Vitro Study. Clin. Exp. Dent. Res. 2025, 11, e70155. [Google Scholar] [CrossRef]
- Shanmugam, M.; Valiathan, M.; Balaji, A.; Jeyaraj Samuel, A.F.; Kannan, R.; Varthan, V. Conventional Versus Osseodensification Drilling in the Narrow Alveolar Ridge: A Prospective Randomized Controlled Trial. Cureus 2024, 16, e56963. [Google Scholar] [CrossRef]
- Meira, T.M.; Tanaka, O.M.; Ronsani, M.M.; Maruo, I.T.; Guariza-Filho, O.; Camargo, E.S.; Maruo, H. Insertion torque, pull-out strength and cortical bone thickness in contact with orthodontic mini-implants at different insertion angles. Eur. J. Orthod. 2013, 35, 766–771. [Google Scholar] [CrossRef]
- Gilmer, B.B.; Lang, S.D. Dual Motor Drill Continuously Measures Drilling Energy to Calculate Bone Density and Screw Pull-out Force in Real Time. J. Am. Acad. Orthop. Surg. Glob. Res. Rev. 2018, 2, e053. [Google Scholar] [CrossRef]
- Bergamo, E.T.; Zahoui, A.; Barrera, R.B.; Huwais, S.; Coelho, P.G.; Karateew, E.D.; Bonfante, E.A. Osseodensification effect on implants primary and secondary stability: Multicenter controlled clinical trial. Clin. Implant Dent. Relat. Res. 2021, 23, 317–328. [Google Scholar] [CrossRef]
- Jinno, Y.; Jimbo, R.; Tovar, N.; Teixeira, H.S.; Witek, L.; Coelho, P.G. In Vivo Evaluation of Dual Acid-Etched and Grit-Blasted/Acid-Etched Implants with Identical Macrogeometry in High-Density Bone. Implant Dent. 2017, 26, 815–819. [Google Scholar] [CrossRef]








Disclaimer/Publisher’s Note: The statements, opinions and data contained in all publications are solely those of the individual author(s) and contributor(s) and not of MDPI and/or the editor(s). MDPI and/or the editor(s) disclaim responsibility for any injury to people or property resulting from any ideas, methods, instructions or products referred to in the content. |
© 2025 by the authors. Licensee MDPI, Basel, Switzerland. This article is an open access article distributed under the terms and conditions of the Creative Commons Attribution (CC BY) license (https://creativecommons.org/licenses/by/4.0/).
Share and Cite
Munkwitz, S.E.; Ting, A.; Shah, H.; Iglesias, N.J.; Nayak, V.V.; Castellano, A.; Witek, L.; Coelho, P.G. Osseodensification Versus Subtractive Drilling in Cortical Bone: An Evaluation of Implant Surface Characteristics and Their Effects on Osseointegration. Biomimetics 2025, 10, 662. https://doi.org/10.3390/biomimetics10100662
Munkwitz SE, Ting A, Shah H, Iglesias NJ, Nayak VV, Castellano A, Witek L, Coelho PG. Osseodensification Versus Subtractive Drilling in Cortical Bone: An Evaluation of Implant Surface Characteristics and Their Effects on Osseointegration. Biomimetics. 2025; 10(10):662. https://doi.org/10.3390/biomimetics10100662
Chicago/Turabian StyleMunkwitz, Sara E., Albert Ting, Hana Shah, Nicholas J. Iglesias, Vasudev Vivekanand Nayak, Arthur Castellano, Lukasz Witek, and Paulo G. Coelho. 2025. "Osseodensification Versus Subtractive Drilling in Cortical Bone: An Evaluation of Implant Surface Characteristics and Their Effects on Osseointegration" Biomimetics 10, no. 10: 662. https://doi.org/10.3390/biomimetics10100662
APA StyleMunkwitz, S. E., Ting, A., Shah, H., Iglesias, N. J., Nayak, V. V., Castellano, A., Witek, L., & Coelho, P. G. (2025). Osseodensification Versus Subtractive Drilling in Cortical Bone: An Evaluation of Implant Surface Characteristics and Their Effects on Osseointegration. Biomimetics, 10(10), 662. https://doi.org/10.3390/biomimetics10100662

