Ride in Peace: How Cycling Infrastructure Types Affect Traffic Conflict Occurrence in Montréal, Canada
Abstract
:1. Introduction
1.1. Cycling Risk and Protection Factors
1.2. Research Objectives
2. Materials and Methods
2.1. Study Area: Montréal Agglomeration
2.2. Data
2.2.1. Primary Data: An Extensive Mobile Data Collection
2.2.2. Secondary Data: Road and Cycleway Networks
- Shared lane: regular street with no specific right-of-way for cyclists, designated by a “sharrow” (bicycle marking) on the tarmac to identify recommended bike routes.
- Bike lane: one-way dedicated lane for cyclists, separated by roadway stripping.
- On-street bike path: two-way cyclist-only right-of-way located on the road. In Montréal, 73% of these paths are physically separated from vehicles by bollards, a jersey, a median or a fence [44].
- Off-street bike path: standalone path, in an independent right-of-way, dedicated to cyclists only (multiuse trails used by pedestrians and cyclists are excluded from the dataset).
2.3. Data Reduction and Validation
2.4. Data Analysis
2.4.1. Variables and Hypotheses
2.4.2. Dataset Composition for Logit Modeling
3. Results
3.1. Exploratory Data Analysis
3.2. Model Results
3.2.1. Control Variables
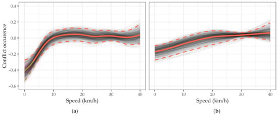
3.2.2. Vehicle Conflict Likelihood Predictors
3.2.3. Pedestrian Conflict Likelihood Predictors
4. Discussion
4.1. Limitations
4.2. Contribution to Scholarly Knowledge
4.2.1. Safety Incidence Rates (SIRs) among Other Conflict Studies
4.2.2. Nonprotected Bike Lanes: Not the Thought That Counts
4.2.3. The Backfiring Effect of Physically Separated Cycling Facilities
4.2.4. The Relevance of Cycleway and Road Type Interaction Variables
4.3. Implications for Decision Makers
4.3.1. Cycleway Design Considerations
4.3.2. Education
5. Conclusions
Author Contributions
Funding
Institutional Review Board Statement
Informed Consent Statement
Acknowledgments
Conflicts of Interest
References
- Bassett, D.R.; Pucher, J.; Buehler, R.; Thompson, D.L.; Crouter, S.E. Walking, Cycling, and Obesity Rates in Europe, North America, and Australia. J. Phys. Act. Health 2008, 5, 795–814. [Google Scholar] [CrossRef]
- Oja, P.; Titze, S.; Bauman, A.; De Geus, B.; Krenn, P.; Reger-Nash, B.; Kohlberger, T. Health benefits of cycling: A systematic review. Scand. J. Med. Sci. Sports 2011, 21, 496–509. [Google Scholar] [CrossRef] [PubMed]
- Rojas-Rueda, D.; de Nazelle, A.; Tainio, M.; Nieuwenhuijsen, M.J. The health risks and benefits of cycling in urban environments compared with car use: Health impact assessment study. BMJ 2011, 343, d4521. [Google Scholar] [CrossRef] [Green Version]
- Dons, E.; Rojas-Rueda, D.; Anaya-Boig, E.; Avila-Palencia, I.; Brand, C.; Cole-Hunter, T.; de Nazelle, A.; Eriksson, U.; Gaupp-Berghausen, M.; Gerike, R.; et al. Transport mode choice and body mass index: Cross-sectional and longitudinal evidence from a European-wide study. Environ. Int. 2018, 119, 109–116. [Google Scholar] [CrossRef] [PubMed]
- De Hartog, J.J.; Boogaard, H.; Nijland, H.; Hoek, G. Do the health benefits of cycling outweigh the risks? Environ. Health Perspect. 2010, 118, 1109–1116. [Google Scholar] [CrossRef]
- Garrard, J.; Rissel, C.; Bauman, A. Health benefits of cycling. In City Cycling; Pucher, J., Buehler, R., Eds.; MIT Press: Cambridge, MA, USA, 2012. [Google Scholar]
- Pucher, J.; Buehler, R.; Seinen, M. Bicycling renaissance in North America? An update and re-appraisal of cycling trends and policies. Transp. Res. Part A Policy Pract. 2011, 45, 451–475. [Google Scholar] [CrossRef]
- Winters, M.; Davidson, G.; Kao, D.; Teschke, K. Motivators and deterrents of bicycling: Comparing influences on decisions to ride. Transportation 2011, 38, 153–168. [Google Scholar] [CrossRef]
- Reynolds, C.C.O.; Harris, M.A.; Teschke, K.; Cripton, P.A.; Winters, M. The impact of transportation infrastructure on bicycling injuries and crashes: A review of the literature. Environ. Health 2009, 8, 47. [Google Scholar] [CrossRef] [PubMed] [Green Version]
- Tin Tin, S.; Woodward, A.; Ameratunga, S. Completeness and accuracy of crash outcome data in a cohort of cyclists: A validation study. BMC Public Health 2013, 13, 420. [Google Scholar] [CrossRef] [Green Version]
- Stipancic, J.; Zangenehpour, S.; Miranda-Moreno, L.; Saunier, N.; Granié, M.-A. Investigating the gender differences on bicycle-vehicle conflicts at urban intersections using an ordered logit methodology. Accid. Anal. Prev. 2016, 97, 19–27. [Google Scholar] [CrossRef]
- Sener, I.N.; Eluru, N.; Bhat, C.R. An analysis of bicycle route choice preferences in Texas, US. Transportation 2009, 36, 511–539. [Google Scholar] [CrossRef] [Green Version]
- Sanders, R.L. Perceived traffic risk for cyclists: The impact of near miss and collision experiences. Accid. Anal. Prev. 2015, 75, 26–34. [Google Scholar] [CrossRef] [PubMed]
- Janeth, M.; Diana, C.P.; Luis Fernando, G.; Olga, S.; Tom, S.; Enrique, J. An Inside Look at Active Transportation in Bogotá: A Qualitative Study. J. Phys. Act. Health 2012, 9, 776–785. [Google Scholar] [CrossRef]
- Van der Horst, A.R.A.; de Goede, M.; de Hair-Buijssen, S.; Methorst, R. Traffic conflicts on bicycle paths: A systematic observation of behaviour from video. Accid. Anal. Prev. 2014, 62, 358–368. [Google Scholar] [CrossRef]
- Włodarek, P.; Olszewski, P. Traffic safety on cycle track crossings–traffic conflict technique. J. Transp. Safety Secur. 2019, 12, 194–209. [Google Scholar] [CrossRef]
- Miranda-Moreno, L.F.; Strauss, J.; Morency, P. Disaggregate Exposure Measures and Injury Frequency Models of Cyclist Safety at Signalized Intersections. Transp. Res. Rec. 2011, 2236, 74–82. [Google Scholar] [CrossRef]
- Dozza, M.; Werneke, J. Introducing naturalistic cycling data: What factors influence bicyclists’ safety in the real world? Transp. Res. Part F Traffic Psychol. Behav. 2014, 24, 83–91. [Google Scholar] [CrossRef]
- Petzoldt, T.; Schleinitz, K.; Heilmann, S.; Gehlert, T. Traffic conflicts and their contextual factors when riding conventional vs. electric bicycles. Transp. Res. Part F Traffic Psychol. Behav. 2017, 46, 477–490. [Google Scholar] [CrossRef]
- Johnson, M.; Charlton, J.; Oxley, J.; Newstead, S. Naturalistic cycling study: Identifying risk factors for on-road commuter cyclists. Ann. Adv. Automot. Med. 2010, 54, 275–283. [Google Scholar]
- Hamann, C.J.; Peek-Asa, C. Examination of adult and child bicyclist safety-relevant events using naturalistic bicycling methodology. Accid. Anal. Prev. 2017, 102, 1–11. [Google Scholar] [CrossRef]
- Gustafsson, L.; Archer, J. A naturalistic study of commuter cyclists in the greater Stockholm area. Accid. Anal. Prev. 2013, 58, 286–298. [Google Scholar] [CrossRef] [PubMed]
- Gadsby, A.; Watkins, K. Instrumented bikes and their use in studies on transportation behaviour, safety, and maintenance. Transp. Rev. 2020, 1–22. [Google Scholar] [CrossRef]
- Vilaça, M.; Macedo, E.; Coelho, M.C. A Rare Event Modelling Approach to Assess Injury Severity Risk of Vulnerable Road Users. Safety 2019, 5, 29. [Google Scholar] [CrossRef] [Green Version]
- Chen, P.; Shen, Q. Built environment effects on cyclist injury severity in automobile-involved bicycle crashes. Accid. Anal. Prev. 2016, 86, 239–246. [Google Scholar] [CrossRef] [PubMed]
- Angel-Domenech, A.; García, A.; Agustin-Gomez, F.; Llorca, C. Traffic conflict analysis using an instrumented bicycle on cycle tracks of Valencia. In Proceedings of the International Cycling Safety Conference 2014, Göteborg, Sweden, 18–19 November 2014. [Google Scholar]
- Carvajal, G.A.; Sarmiento, O.L.; Medaglia, A.L.; Cabrales, S.; Rodríguez, D.A.; Quistberg, D.A.; López, S. Bicycle safety in Bogotá: A seven-year analysis of bicyclists’ collisions and fatalities. Accid. Anal. Prev. 2020, 144, 105596. [Google Scholar] [CrossRef]
- Harris, M.A.; Reynolds, C.C.O.; Winters, M.; Cripton, P.A.; Shen, H.; Chipman, M.L.; Cusimano, M.D.; Babul, S.; Brubacher, J.R.; Friedman, S.M.; et al. Comparing the effects of infrastructure on bicycling injury at intersections and non-intersections using a case–crossover design. Inj. Prev. 2013, 19, 303–310. [Google Scholar] [CrossRef]
- Jestico, B.; Nelson, T.A.; Potter, J.; Winters, M. Multiuse trail intersection safety analysis: A crowdsourced data perspective. Accid. Anal. Prev. 2017, 103, 65–71. [Google Scholar] [CrossRef]
- Yiannakoulias, N.; Bennet, S.A.; Scott, D.M. Mapping commuter cycling risk in urban areas. Accid. Anal. Prev. 2012, 45, 164–172. [Google Scholar] [CrossRef]
- Rahman, Z.; Mattingly, S.P.; Kawadgave, R.; Nostikasari, D.; Roeglin, N.; Casey, C.; Johnson, T. Using crowd sourcing to locate and characterize conflicts for vulnerable modes. Accid. Anal. Prev. 2019, 128, 32–39. [Google Scholar] [CrossRef]
- Dozza, M.; González, N.P. Recognising safety critical events: Can automatic video processing improve naturalistic data analyses? Accid. Anal. Prev. 2013, 60, 298–304. [Google Scholar] [CrossRef]
- Teschke, K.; Harris, M.A.; Reynolds, C.C.O.; Winters, M.; Babul, S.; Chipman, M.; Cusimano, M.D.; Brubacher, J.R.; Hunte, G.; Friedman, S.M.; et al. Route Infrastructure and the Risk of Injuries to Bicyclists: A Case-Crossover Study. Am. J. Public Health 2012, 102, 2336–2343. [Google Scholar] [CrossRef] [PubMed]
- Lusk, A.C.; Furth, P.G.; Morency, P.; Miranda-Moreno, L.F.; Willett, W.C.; Dennerlein, J.T. Risk of injury for bicycling on cycle tracks versus in the street. Inj. Prev. 2011, 17, 131–135. [Google Scholar] [CrossRef]
- Schleinitz, K.; Petzoldt, T.; Franke-Bartholdt, L.; Krems, J.F.; Gehlert, T. Conflict partners and infrastructure use in safety critical events in cycling–Results from a naturalistic cycling study. Transp. Res. Part F Traffic Psychol. Behav. 2015, 31, 99–111. [Google Scholar] [CrossRef]
- Pucher, J.; Buehler, R. Cycling Trends and Policies in Canadian Cities. World Transp. Policy Pract. 2005, 11, 43–61. [Google Scholar] [CrossRef]
- Furth, P.G. Bicycling infrastructure for mass cycling: A trans-Atlantic comparison. In City Cycling; MIT Press: Cambridge, MA, USA, 2012; pp. 105–140. [Google Scholar]
- Vélo Québec. L’état du vélo à Montréal en 2015; Vélo Québec: Montréal, QC, Canada, 2015. [Google Scholar]
- Harms, L.; Maarten, K. Cycling Facts; KiM Netherlands Institute for Transport Policy Analysis: Hague, Netherlands, 2018. [Google Scholar]
- Houde, M.; Apparicio, P.; Séguin, A.-M. A ride for whom: Has cycling network expansion reduced inequities in accessibility in Montreal, Canada? J. Transp. Geogr. 2018, 68, 9–21. [Google Scholar] [CrossRef]
- Fuller, D.; Gauvin, L.; Kestens, Y.; Daniel, M.; Fournier, M.; Morency, P.; Drouin, L. Impact Evaluation of a Public Bicycle Share Program on Cycling: A Case Example of BIXI in Montreal, Quebec. Am. J. Public Health 2013, 103, e85–e92. [Google Scholar] [CrossRef]
- Copenhagenize Design Co. The 2019 Index. Available online: https://copenhagenizeindex.eu/ (accessed on 29 March 2021).
- Gelb, J.; Apparicio, P. Cyclists’ exposure to atmospheric and noise pollution: A systematic literature review. Transp. Rev. 2021, 1–24. [Google Scholar] [CrossRef]
- Ville de Montréal. Réseau Cyclable. 2020. Available online: https://donnees.montreal.ca/ville-de-montreal/pistes-cyclables (accessed on 1 April 2021).
- Ville de Montréal. Géobase-Réseau Routier. 2020. Available online: https://donnees.montreal.ca/ville-de-montreal/geobase (accessed on 1 April 2021).
- Ministère des Transports. Classification Fonctionnelle; Gouvernement du Québec: Québec, QC, Canada, 2008. [Google Scholar]
- Ministère de l’Énergie et des Ressources naturelles. Adresses Québec: Guide de L’utilisateur; Gouvernement du Québec: Québec, QC, Canada, 2019. [Google Scholar]
- Apparicio, P.; Maignan, D.; Gelb, J. VIFECO: An Open-Source Software for Counting Features on a Video. J. Open Res. Softw. 2021, 9, 1–9. [Google Scholar] [CrossRef]
- R Core Team. R: A Language and Environment for Statistical Computing; R Foundation for Statistical Computing: Vienna, Austria, 2020. [Google Scholar]
- Wood, S.N. Fast stable restricted maximum likelihood and marginal likelihood estimation of semiparametric generalized linear models. J. R. Stat. Soc. Ser. B 2011, 73, 3–36. [Google Scholar] [CrossRef] [Green Version]
- Werneke, J.; Dozza, M.; Karlsson, M. Safety–critical events in everyday cycling–Interviews with bicyclists and video annotation of safety–critical events in a naturalistic cycling study. Transp. Res. Part F Traffic Psychol. Behav. 2015, 35, 199–212. [Google Scholar] [CrossRef]
- Beck, B.; Chong, D.; Olivier, J.; Perkins, M.; Tsay, A.; Rushford, A.; Li, L.; Cameron, P.; Fry, R.; Johnson, M. How much space do drivers provide when passing cyclists? Understanding the impact of motor vehicle and infrastructure characteristics on passing distance. Accid. Anal. Prev. 2019, 128, 253–260. [Google Scholar] [CrossRef] [PubMed]
- Dill, J.; McNeil, N. Four types of cyclists? Examination of typology for better understanding of bicycling behavior and potential. Transp. Res. Rec. 2013, 2387, 129–138. [Google Scholar] [CrossRef] [Green Version]
- Fortier, D.; Lesage, D.; Bégin, C. Les Aménagements Cyclables: Un Cadre Pour L’analyse Intégrée des Facteurs de Sécurité; Direction Développement des Individus et des Communautés, Institut national de santé publique du Québec: Québec, QC, Canada, 2009. [Google Scholar]
- NACTO. Don’t Give Up at the Intersection; National Association of City Transportation Officials: New York, NY, USA, 2019. [Google Scholar]





| Type of Variable | Variable | Family | Effect |
|---|---|---|---|
| Outcome | Pedestrian conflict occurrence | Binomial | - |
| Vehicle conflict occurrence | Binomial | - | |
| Control | Participant ID | Categorical | Linear |
| Day of collection | Categorical | Linear | |
| Presence of an intersection within 15 m | Binomial | Linear | |
| Presence of a bus stop within 15 m | Binomial | Linear | |
| Time of day | Continuous | Smooth | |
| Geographical position | Continuous | Smooth | |
| Speed | Continuous | Smooth | |
| Predictor | Cycleway and road type (interaction) | Categorical | Linear |
| Cycleway and Road Type 1 | Cyclists’ Exposure | Conflict Frequency | ||||||||||
|---|---|---|---|---|---|---|---|---|---|---|---|---|
| Minutes | Kilometers | Vehicle | Pedestrian | |||||||||
| n | % | n | % | n | % | per 60 min | per 100 km | n | % | per 60 min | per 100 km | |
| 01 Street without cycling facility (ref.) | 3213 | 61.7 | 791 | 66.0 | 290 | 62.4 | 5.4 | 36.7 | 82 | 39.2 | 1.5 | 10.4 |
| 02 Shared lane–local street | 286 | 5.5 | 70 | 5.8 | 19 | 4.1 | 4.0 | 27.1 | 11 | 5.3 | 2.3 | 15.7 |
| 03 Shared lane–collector street | 110 | 2.1 | 32 | 2.7 | 9 | 1.9 | 4.9 | 28.1 | 2 | 1.0 | 1.1 | 6.2 |
| 04 Bike lane–local street | 203 | 3.9 | 48 | 4.0 | 35 | 7.5 | 10.3 | 72.9 | 5 | 2.4 | 1.5 | 10.4 |
| 05 Bike lane–collector street | 254 | 4.9 | 57 | 4.8 | 55 | 11.8 | 13.0 | 96.5 | 10 | 4.8 | 2.4 | 17.5 |
| 06 Bike lane–arterial road | 174 | 3.3 | 29 | 2.4 | 28 | 6.0 | 9.7 | 96.6 | 4 | 1.9 | 1.4 | 13.8 |
| 07 On-street bike path–local street | 103 | 2.0 | 18 | 1.5 | 5 | 1.1 | 2.9 | 27.8 | 6 | 2.9 | 3.5 | 33.3 |
| 08 On-street bike path–collector street | 138 | 2.6 | 25 | 2.1 | 7 | 1.5 | 3.0 | 28.0 | 14 | 6.7 | 6.1 | 56.0 |
| 09 On-street bike path–arterial road | 186 | 3.6 | 20 | 1.7 | 4 | 0.9 | 1.3 | 20.0 | 14 | 6.7 | 4.5 | 70.0 |
| 10 Off-street bike path | 541 | 10.4 | 109 | 9.1 | 13 | 2.8 | 1.4 | 11.9 | 61 | 29.2 | 6.8 | 56.0 |
| Total | 5208 | 100.0 | 1199 | 100.0 | 465 | 100.0 | 5.4 | 38.8 | 209 | 100.0 | 2.4 | 17.4 |
| Parameter | Vehicle | Pedestrian | ||
|---|---|---|---|---|
| Odds Ratio (OR) | Odds Ratio (OR) | |||
| Mean | CI (95%) a | Mean | CI (95%) a | |
| (Intercept) | 0.58 | 0.47 0.71 | 0.42 | 0.31 0.60 |
| Control variables | ||||
| Linear terms | ||||
| Participant 1 | Ref. | Ref. | ||
| Participant 2 | 0.70 | 0.56 0.90 | 0.75 | 0.54 1.04 |
| Participant 3 | 0.90 | 0.72 1.16 | 0.55 | 0.39 0.79 |
| Participant 4 | 0.91 | 0.73 1.13 | 0.70 | 0.49 1.01 |
| Wednesday, June 12 | Ref. | Ref. | ||
| Monday, June 17 | 0.99 | 0.78 1.29 | 0.97 | 0.67 1.37 |
| Tuesday, June 18 | 0.90 | 0.71 1.15 | 1.45 | 1.02 2.06 |
| Wednesday, June 19 | 1.19 | 0.89 1.54 | 0.90 | 0.60 1.33 |
| Friday, June 21 | 1.37 | 1.01 1.86 | 0.72 | 0.44 1.15 |
| Intersection within 15 m | 1.12 | 0.93 1.33 | 1.28 | 0.97 1.67 |
| Bus stop within 15 m | 1.04 | 0.82 1.36 | 0.68 | 0.47 1.01 |
| Smooth terms (splines) | ||||
| Time of the day (edf b) | 5.11 | 2.21 6.65 | 1.31 | 1.00 3.04 |
| Time of the day (p-value) | 0.04 | 0.00 0.41 | 0.58 | 0.12 0.98 |
| Geographical position (edf b) | 10.98 | 8.68 13.56 | 7.79 | 5.11 10.37 |
| Geographical position (p-value) | 0.00 | 0.00 0.00 | 0.05 | 0.00 0.25 |
| Speed (edf b) | 4.85 | 4.15 5.84 | 2.33 | 1.34 3.03 |
| Speed (p-value) | 0.00 | 0.00 0.00 | 0.00 | 0.00 0.01 |
| Predictor variables | ||||
| 01 Street without cycling facility | Ref. | Ref. | ||
| 02 Shared lane–local street | 0.76 | 0.56 1.06 | 1.64 | 1.07 2.70 |
| 03 Shared lane–collector street | 1.28 | 0.81 2.24 | 1.15 | 0.52 3.80 |
| 04 Bike lane–local street | 2.10 | 1.44 3.20 | 1.07 | 0.61 1.98 |
| 05 Bike lane–collector street | 2.66 | 1.93 3.80 | 1.64 | 1.04 2.94 |
| 06 Bike lane–arterial road | 1.21 | 0.82 1.92 | 0.78 | 0.42 1.62 |
| 07 On-street bike path–local street | 0.50 | 0.30 0.99 | 1.68 | 0.83 4.85 |
| 08 On-street bike path–collector street | 0.44 | 0.28 0.70 | 3.43 | 1.81 7.75 |
| 09 On-street bike path–arterial road | 0.19 | 0.12 0.33 | 2.63 | 1.43 5.58 |
| 10 Off-street bike path | 0.30 | 0.23 0.39 | 3.95 | 2.75 6.12 |
| Fit statistics | ||||
| R squared (adjusted) | 0.16 | 0.14 0.19 | 0.16 | 0.12 0.20 |
| Deviance explained | 0.16 | 0.14 0.18 | 0.16 | 0.13 0.20 |
| Select Cycling Safety Studies | Area | Dataset Size | Safety Incidence Rates | |||
|---|---|---|---|---|---|---|
| Events (n) | min | km | Per 60 min | Per 100 km | ||
| Johnson et al. [20] | Melbourne, Australia | 54 | 7658 | -- | 0.42 * | -- |
| Gustafsson and Archer [22] | Stockholm, Sweden | 220 | 14,400 | 4910 * | 0.92 * | 4.48 * |
| Dozza and Werneke [18] | Gothenburg, Sweden | 63 | 6840 | 1549 * | 0.55 * | 4.07 * |
| Schleinitz et al. [35] | Chemnitz, Germany | 77 | 22,320 | 5280 * | 0.21 * | 1.44 |
| Hamann and Peek-Asa [21] | Iowa City, USA | 180 | 3436 * | 1078 * | 3.14 | 16.70 |
Publisher’s Note: MDPI stays neutral with regard to jurisdictional claims in published maps and institutional affiliations. |
© 2021 by the authors. Licensee MDPI, Basel, Switzerland. This article is an open access article distributed under the terms and conditions of the Creative Commons Attribution (CC BY) license (https://creativecommons.org/licenses/by/4.0/).
Share and Cite
Jarry, V.; Apparicio, P. Ride in Peace: How Cycling Infrastructure Types Affect Traffic Conflict Occurrence in Montréal, Canada. Safety 2021, 7, 63. https://doi.org/10.3390/safety7030063
Jarry V, Apparicio P. Ride in Peace: How Cycling Infrastructure Types Affect Traffic Conflict Occurrence in Montréal, Canada. Safety. 2021; 7(3):63. https://doi.org/10.3390/safety7030063
Chicago/Turabian StyleJarry, Vincent, and Philippe Apparicio. 2021. "Ride in Peace: How Cycling Infrastructure Types Affect Traffic Conflict Occurrence in Montréal, Canada" Safety 7, no. 3: 63. https://doi.org/10.3390/safety7030063
APA StyleJarry, V., & Apparicio, P. (2021). Ride in Peace: How Cycling Infrastructure Types Affect Traffic Conflict Occurrence in Montréal, Canada. Safety, 7(3), 63. https://doi.org/10.3390/safety7030063

