Assessing the Short-Term Effects of Dual Back-Support Exoskeleton within Logistics Operations
Abstract
1. Introduction
2. Materials and Methods
2.1. Description of the Logistic Tasks
2.2. Experimental Procedure
- -
- Condition 1 refers to the control situation (without an exoskeleton);
- -
- Condition 2 uses the Auxivo exoskeleton;
- -
- Condition 3 uses the Htrius exoskeleton.
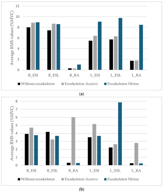
3. Results and Discussion
4. Conclusions
Author Contributions
Funding
Institutional Review Board Statement
Informed Consent Statement
Data Availability Statement
Conflicts of Interest
References
- Lee, J.A.; Chang, Y.S.; Karwowski, W. Assessment of Working Postures and Physical Loading in Advanced Order Picking Tasks: A Case Study of Human Interaction with Automated Warehouse Goods-to-Picker Systems. Work 2020, 67, 855–866. [Google Scholar] [CrossRef] [PubMed]
- European Agency for Safety and Health at Work; de Kok, J.; Vroonhof, P.; Snijders, J.; Roullis, G.; Clarke, M.; Peereboom, K.; van Dorst, P.; Isusi, I. Work-Related Musculoskeletal Disorders: Prevalence, Costs and Demographics in the EU; European Health: Luxembourg, 2019; Available online: https://osha.europa.eu/sites/default/files/Work_related_MSDs_prevalence_costs_and_demographics_in_EU_summary.pdf (accessed on 8 April 2024).
- Sauter, M.; Barthelme, J.; Müller, C.; Liebers, F. Manual Handling of Heavy Loads and Low Back Pain among Different Occupational Groups: Results of the 2018 BIBB/BAuA Employment Survey. BMC Musculoskelet. Disord. 2021, 22, 956. [Google Scholar] [CrossRef] [PubMed]
- Sarkar, K.; Dev, S.; Das, T.; Chakrabarty, S.; Gangopadhyay, S. Examination of Postures and Frequency of Musculoskeletal Disorders among Manual Workers in Calcutta, India. Int. J. Occup. Environ. Health 2016, 22, 151–158. [Google Scholar] [CrossRef] [PubMed]
- Lu, Y.; Xu, X.; Wang, L. Smart Manufacturing Process and System Automation—A Critical Review of the Standards and Envisioned Scenarios. J. Manuf. Syst. 2020, 56, 312–325. [Google Scholar] [CrossRef]
- Bassani, G.; Filippeschi, A.; Avizzano, C.A. A Dataset of Human Motion and Muscular Activities in Manual Material Handling Tasks for Biomechanical and Ergonomic Analyses. IEEE Sens. J. 2021, 21, 24731–24739. [Google Scholar] [CrossRef]
- Donisi, L.; Cesarelli, G.; Capodaglio, E.; Panigazzi, M.; D’Addio, G.; Cesarelli, M.; Amato, F. A Logistic Regression Model for Biomechanical Risk Classification in Lifting Tasks. Diagnostics 2022, 12, 2624. [Google Scholar] [CrossRef] [PubMed]
- Colim, A.; Arezes, P.; Flores, P.; Braga, A.C. Kinematics Differences between Obese and Non-Obese Workers during Vertical Handling Tasks. Int. J. Ind. Ergon. 2020, 77, 102955. [Google Scholar] [CrossRef]
- David, G.C. Ergonomic Methods for Assessing Exposure to Risk Factors for Work-Related Musculoskeletal Disorders. Occup. Med. 2005, 55, 190–199. [Google Scholar] [CrossRef] [PubMed]
- Takala, E.P.; Pehkonen, I.; Forsman, M.; Hansson, G.Å.; Mathiassen, S.E.; Neumann, W.P.; Sjøgaard, G.; Veiersted, K.B.; Westgaard, R.H.; Winkel, J. Systematic Evaluation of Observational Methods Assessing Biomechanical Exposures at Work. Scand. J. Work Environ. Health 2010, 36, 3–24. [Google Scholar] [CrossRef]
- Colim, A.; Arezes, P.; Flores, P.; Braga, A.C. Effects of Workers’ Body Mass Index and Task Conditions on Exertion Psychophysics during Vertical Handling Tasks. Work 2019, 63, 231–241. [Google Scholar] [CrossRef]
- Haekal, J.; Hanum, B.; Prasetio, D.E. Analysis of Operator Body Posture Packaging Using Rapid Entire Body Assessment (REBA) Method: ACase Study OfPharmaceutical Companyin Bogor, Indonesia. Int. J. Eng. Res. Adv. Technol. 2020, 06, 27–36. [Google Scholar] [CrossRef]
- Giannini, P.; Bassani, G.; Avizzano, C.A.; Filippeschi, A. Wearable Sensor Network for Biomechanical Overload Assessment in Manual Material Handling. Sensors 2020, 20, 3877. [Google Scholar] [CrossRef] [PubMed]
- Salmon, P.M.; Read, G.J.M. Many Model Thinking in Systems Ergonomics: A Case Study in Road Safety. Ergonomics 2019, 62, 612–628. [Google Scholar] [CrossRef] [PubMed]
- de Looze, M.P.; Bosch, T.; Krause, F.; Stadler, K.S.; O’Sullivan, L.W. Exoskeletons for Industrial Application and Their Potential Effects on Physical Work Load. Ergonomics 2016, 59, 671–681. [Google Scholar] [CrossRef] [PubMed]
- Abdoli-E, M.; Agnew, M.J.; Stevenson, J.M. An On-Body Personal Lift Augmentation Device (PLAD) Reduces EMG Amplitude of Erector Spinae during Lifting Tasks. Clin. Biomech. 2006, 21, 456–465. [Google Scholar] [CrossRef] [PubMed]
- Bosch, T.; van Eck, J.; Knitel, K.; de Looze, M. The Effects of a Passive Exoskeleton on Muscle Activity, Discomfort and Endurance Time in Forward Bending Work. Appl. Ergon. 2016, 54, 212–217. [Google Scholar] [CrossRef] [PubMed]
- Goršič, M.; Song, Y.; Dai, B.; Novak, V.D. Short-Term Effects of the Auxivo LiftSuit during Lifting and Static Leaning. Appl. Ergon. 2022, 102, 103765. [Google Scholar] [CrossRef] [PubMed]
- Arauz, P.G.; Chavez, G.; Reinoso, V.; Ruiz, P.; Ortiz, E.; Cevallos, C.; Garcia, G. Influence of a Passive Exoskeleton on Kinematics, Joint Moments, and Self-Reported Ratings during a Lifting Task. J. Biomech. 2024, 162, 111886. [Google Scholar] [CrossRef] [PubMed]
- van Sluijs, R.M.; Wehrli, M.; Brunner, A.; Lambercy, O. Evaluation of the Physiological Benefits of a Passive Back-Support Exoskeleton during Lifting and Working in Forward Leaning Postures. J. Biomech. 2023, 149, 111489. [Google Scholar] [CrossRef]
- Reimeir, B.; Calisti, M.; Mittermeier, R.; Ralfs, L.; Weidner, R. Effects of Back-Support Exoskeletons with Different Functional Mechanisms on Trunk Muscle Activity and Kinematics. Wearable Technol. 2023, 4, e12. [Google Scholar] [CrossRef]
- Cardoso, A.; Colim, A.; Sousa, N. The Effects of a Passive Exoskeleton on Muscle Activity and Discomfort in Industrial Tasks. Stud. Syst. Decis. Control. 2020, 277, 237–245. [Google Scholar] [CrossRef]
- Burdorf, A. The Role of Assessment of Biomechanical Exposure at the Workplace in the Prevention of Musculoskeletal Disorders. Scand. J. Work Environ. Health 2010, 36, 1–2. [Google Scholar] [CrossRef] [PubMed]
- Susihono, W.; Adiatmika, I.P.G. The Effects of Ergonomic Intervention on the Musculoskeletal Complaints and Fatigue Experienced by Workers in the Traditional Metal Casting Industry. Heliyon 2021, 7, E06171. Available online: https://www.ncbi.nlm.nih.gov/pmc/articles/PMC7889990/pdf/main.pdf (accessed on 8 April 2024). [CrossRef] [PubMed]
- hTRIUS GmbH BionicBack Exoskeleton. Available online: https://en.htrius.com/bionicback (accessed on 19 May 2024).
- Auxivo AG LiftSuit 2. Available online: https://www.auxivo.com/liftsuit (accessed on 19 May 2024).
- hTRIUS GmbH BionicBack Exoskeleton in Logistics. Available online: https://en.htrius.com/logistik (accessed on 19 May 2024).
- Likert, R. A Technique for the Measurement of Attitudes. In Archives of Psychology; Woddworth, R.S., Ed.; R. S. WOODIYORTE: New York, NY, USA, 1932; pp. 5–55. [Google Scholar]
- Borg, G. Psychophysical Scaling with Applications in Physical Work and the Perception of Exertion. Scand. J. Work Environ. Health 1990, 16, 55–58. [Google Scholar] [CrossRef] [PubMed]
- Hignett, S.; McAtamney, L. Rapid Entire Body Assessment (REBA). Appl. Ergon. 2000, 31, 201–205. [Google Scholar] [CrossRef] [PubMed]
- BiosignalsPlux User Manual: Biosignak Acquisition Tool-Kit for Advanced Research Applications 2018, 159. Available online: https://support.pluxbiosignals.com/wp-content/uploads/2021/11/biosignalsplux_User_Manual.pdf (accessed on 8 April 2024).
- Colim, A.; Arezes, P.; Flores, P.; Monteiro, P.R.R.; Mesquita, I.; Braga, A.C. Obesity Effects on Muscular Activity during Lifting and Lowering Tasks. Int. J. Occup. Saf. Ergon. 2021, 27, 217–225. [Google Scholar] [CrossRef] [PubMed]
- De Looze, M.P.; Groen, H.; Horemans, H.; Kingma, I.; Van Dieek, J.H. Abdominal Muscles Contribute in a Minor Way to Peak Spinal Compression in Lifting; Elsevier: Amsterdam, The Netherlands, 1999; Volume 32. [Google Scholar]
- SENIAM.org Enschede: Surface Electromyography for the Non-Invasive Assessment of Muscles Project. Available online: www.seniam.org (accessed on 4 April 2022).
- Baltrusch, S.J.; van Dieën, J.H.; van Bennekom, C.A.M.; Houdijk, H. The Effect of a Passive Trunk Exoskeleton on Functional Performance in Healthy Individuals. Appl. Ergon. 2018, 72, 94–106. [Google Scholar] [CrossRef]
- von Arx, M.; Liechti, M.; Connolly, L.; Bangerter, C.; Meier, M.; Schmid, S. From Stoop to Squat: A Comprehensive Analysis of Lumbar Loading Among Different Lifting Styles. Front Bioeng Biotechnol. 2023, 9, 769117. [Google Scholar] [CrossRef]





| Task | PBS | Base of the Box Height | PBL | Base of the Box Height |
|---|---|---|---|---|
| T1 | Reach the box on level 7. | 153 cm | Reach the box on level 5. | 122 cm |
| T2 | Reach the box on level 6. | 130 cm | Reach the box on level 4. | 99 cm |
| T3 | Reach the box on level 5. | 107 cm | Palletize box on proximal level 1. | 15 cm |
| T4 | Reach the box on level 3. | 84 cm | Palletize box on proximal level 2. | 38 cm |
| T5 | Reach the box on level 2. | 61 cm | Palletize box on distal level 1. | 15 cm |
| T6 | Reach the box on level 1. | 38 cm | Palletize box on distal level 2. | 38 cm |
| T7 | Palletize box on level 1. | 15 cm | Palletize box on distal level 3. | 61 cm |
| T8 | Palletize box on level 2. | 38 cm | N.A. | N.A. |
| T9 | Palletize box on level 3. | 61 cm | N.A. | N.A. |
| Without Exoskeleton | Exoskeleton Auxivo | Exoskeleton Htrius | |||||||||||
|---|---|---|---|---|---|---|---|---|---|---|---|---|---|
| A | B | REBA Score | Risk Level | A | B | REBA Score | Risk Level | A | B | REBA Score | Risk Level | ||
| PBS | T1 | 2.0 | 3.0 | 3.0 | Low | 2.0 | 3.0 | 3.0 | Low | 2.0 | 3.0 | 3.0 | Low |
| T2 | 1.0 | 3.0 | 2.0 | Low | 1.0 | 3.0 | 2.0 | Low | 3.0 | 4.0 | 4.0 | Medium | |
| T3 | 2.0 | 3.0 | 3.0 | Low | 2.0 | 1.0 | 2.0 | Low | 2.0 | 1.0 | 2.0 | Low | |
| T4 | 5.0 | 4.0 | 6.0 | Medium | 3.0 | 4.0 | 4.0 | Medium | 2.0 | 4.0 | 4.0 | Medium | |
| T5 | 6.0 | 4.0 | 8.0 | High | 5.0 | 4.0 | 6.0 | Medium | 4.0 | 4.0 | 5.0 | Medium | |
| T6 | 6.0 | 3.0 | 7.0 | Medium | 6.0 | 3.0 | 6.5 | Medium | 5.0 | 3.0 | 5.0 | Medium | |
| T7 | 6.5 | 4.0 | 8.5 | High | 5.5 | 4.0 | 7.0 | Medium | 4.5 | 4.0 | 5.5 | Medium | |
| T8 | 5.5 | 4.5 | 7.5 | High | 4.0 | 4.5 | 5.5 | Medium | 4.0 | 4.5 | 5.5 | Medium | |
| T9 | 3.5 | 4.0 | 5.0 | Medium | 3.0 | 2.5 | 4.0 | Medium | 4.5 | 4.0 | 5.5 | Medium | |
| PBL | T1 | 2.0 | 2.0 | 2.5 | Low | 1.0 | 2.0 | 1.5 | Low | 1.5 | 1.0 | 1.5 | Low |
| T2 | 1.5 | 2.0 | 2.0 | Low | 1.5 | 3.0 | 2.5 | Low | 2.5 | 3.0 | 3.0 | Low | |
| T3 | 7.0 | 4.0 | 9.0 | High | 5.5 | 4.0 | 7.0 | Medium | 4.0 | 4.0 | 5.0 | Medium | |
| T4 | 6.0 | 4.0 | 8.0 | High | 4.0 | 4.0 | 5.0 | Medium | 3.0 | 4.0 | 4.5 | Medium | |
| T5 | 6.0 | 4.0 | 8.0 | High | 5.0 | 4.0 | 6.0 | Medium | 5.0 | 4.5 | 6.5 | Medium | |
| T6 | 5.0 | 4.0 | 6.0 | Medium | 4.5 | 4.0 | 5.5 | Medium | 4.0 | 4.0 | 5.0 | Medium | |
| T7 | 4.5 | 4.0 | 5.5 | Medium | 4.0 | 4.0 | 5.0 | Medium | 3.5 | 4.0 | 4.5 | Medium | |
Disclaimer/Publisher’s Note: The statements, opinions and data contained in all publications are solely those of the individual author(s) and contributor(s) and not of MDPI and/or the editor(s). MDPI and/or the editor(s) disclaim responsibility for any injury to people or property resulting from any ideas, methods, instructions or products referred to in the content. |
© 2024 by the authors. Licensee MDPI, Basel, Switzerland. This article is an open access article distributed under the terms and conditions of the Creative Commons Attribution (CC BY) license (https://creativecommons.org/licenses/by/4.0/).
Share and Cite
Cardoso, A.; Colim, A.; Carneiro, P.; Costa, N.; Gomes, S.; Pires, A.; Arezes, P. Assessing the Short-Term Effects of Dual Back-Support Exoskeleton within Logistics Operations. Safety 2024, 10, 56. https://doi.org/10.3390/safety10030056
Cardoso A, Colim A, Carneiro P, Costa N, Gomes S, Pires A, Arezes P. Assessing the Short-Term Effects of Dual Back-Support Exoskeleton within Logistics Operations. Safety. 2024; 10(3):56. https://doi.org/10.3390/safety10030056
Chicago/Turabian StyleCardoso, André, Ana Colim, Paula Carneiro, Nélson Costa, Sérgio Gomes, Abel Pires, and Pedro Arezes. 2024. "Assessing the Short-Term Effects of Dual Back-Support Exoskeleton within Logistics Operations" Safety 10, no. 3: 56. https://doi.org/10.3390/safety10030056
APA StyleCardoso, A., Colim, A., Carneiro, P., Costa, N., Gomes, S., Pires, A., & Arezes, P. (2024). Assessing the Short-Term Effects of Dual Back-Support Exoskeleton within Logistics Operations. Safety, 10(3), 56. https://doi.org/10.3390/safety10030056

