Tragacanth, an Exudate Gum as Suitable Aqueous Binder for High Voltage Cathode Material
Abstract
1. Introduction
2. Materials and Methods
2.1. Thermal, Chemical, and Morphological Characterization
2.2. Slurry Formulation, Electrode Preparation, and Cell Assembly
2.3. Swelling Test
2.4. Delamination Test
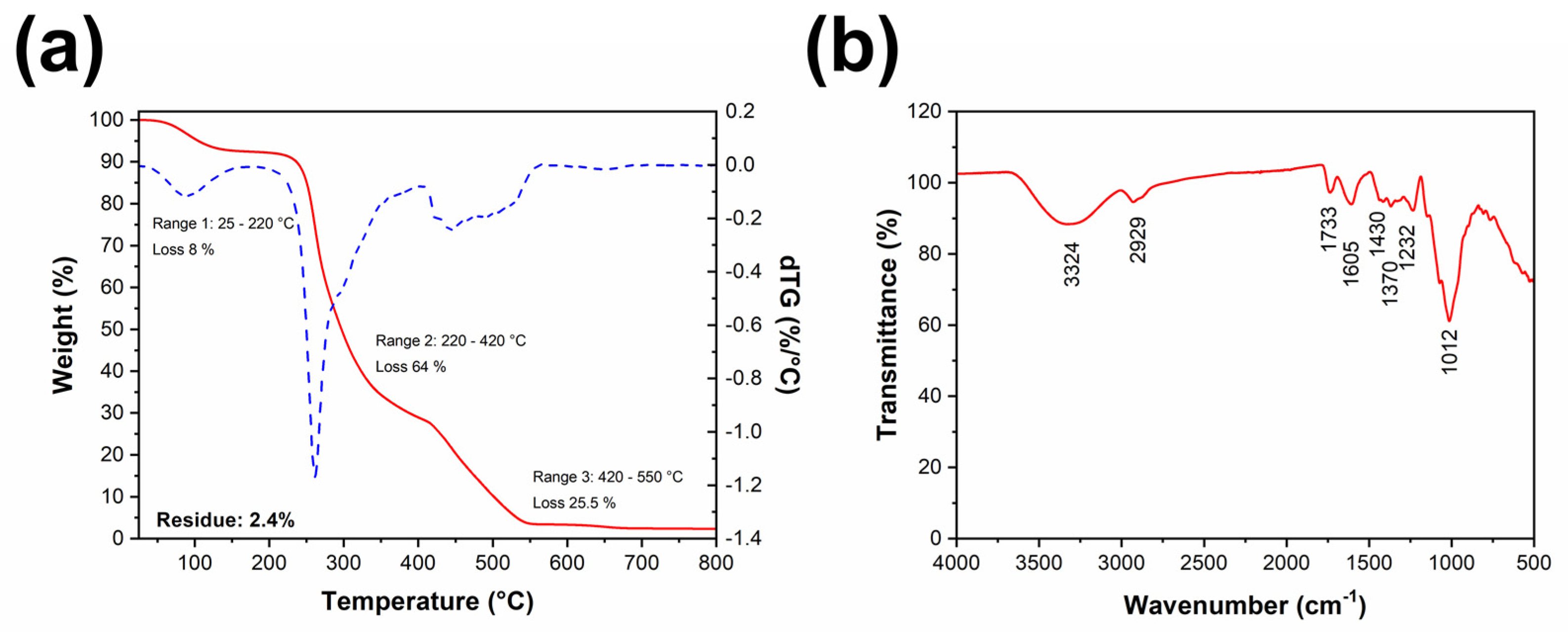
3. Results and Discussions
4. Conclusions
Supplementary Materials
Author Contributions
Funding
Institutional Review Board Statement
Informed Consent Statement
Data Availability Statement
Acknowledgments
Conflicts of Interest
References
- Zhao, Z.; Jiang, X.; Li, S.; Li, L.; Feng, Z.; Lai, H. Microstructure Characterization and Battery Performance Comparison of MOF-235 and TiO2-P25 Materials. Crystals 2022, 12, 152. [Google Scholar] [CrossRef]
- Heubner, C.; Voigt, K.; Marcinkowski, P.; Reuber, S.; Nikolowski, K.; Schneider, M.; Partsch, M.; Michaelis, A. From Active Materials to Battery Cells: A Straightforward Tool to Determine Performance Metrics and Support Developments at an Application-Relevant Level. Adv. Energy Mater. 2021, 11, 2102647. [Google Scholar] [CrossRef]
- Foreman, E.; Zakri, W.; Hossein Sanatimoghaddam, M.; Modjtahedi, A.; Pathak, S.; Kashkooli, A.G.; Garafolo, N.G.; Farhad, S. A Review of Inactive Materials and Components of Flexible Lithium-Ion Batteries. Adv. Sustain. Syst. 2017, 1, 1700061. [Google Scholar] [CrossRef]
- Zou, F.; Manthiram, A. A Review of the Design of Advanced Binders for High-Performance Batteries. Adv. Energy Mater. 2020, 10, 2002508. [Google Scholar] [CrossRef]
- Schlemmer, W.; Selinger, J.; Hobisch, M.A.; Spirk, S. Polysaccharides for Sustainable Energy Storage—A Review. Carbohydr. Polym. 2021, 265, 118063. [Google Scholar] [CrossRef] [PubMed]
- Cholewinski, A.; Si, P.; Uceda, M.; Pope, M.; Zhao, B. Polymer Binders: Characterization and Development toward Aqueous Electrode Fabrication for Sustainability. Polymers 2021, 13, 631. [Google Scholar] [CrossRef] [PubMed]
- Bresser, D.; Buchholz, D.; Moretti, A.; Varzi, A.; Passerini, S. Alternative Binders for Sustainable Electrochemical Energy Storage—The Transition to Aqueous Electrode Processing and Bio-Derived Polymers. Energy Environ. Sci. 2018, 11, 3096–3127. [Google Scholar] [CrossRef]
- Dühnen, S.; Betz, J.; Kolek, M.; Schmuch, R.; Winter, M.; Placke, T. Toward Green Battery Cells: Perspective on Materials and Technologies. Small Methods 2020, 4, 2000039. [Google Scholar] [CrossRef]
- Wood, D.L.; Li, J.; Daniel, C. Prospects for Reducing the Processing Cost of Lithium Ion Batteries. J. Power Sources 2015, 275, 234–242. [Google Scholar] [CrossRef]
- Gonçalves, R.; Lanceros-Méndez, S.; Costa, C.M. Electrode Fabrication Process and Its Influence in Lithium-Ion Battery Performance: State of the Art and Future Trends. Electrochem. Commun. 2022, 135, 107210. [Google Scholar] [CrossRef]
- Anastas, P.; Eghbali, N. Green Chemistry: Principles and Practice. Chem. Soc. Rev. 2010, 39, 301–312. [Google Scholar] [CrossRef]
- Buqa, H.; Holzapfel, M.; Krumeich, F.; Veit, C.; Novák, P. Study of Styrene Butadiene Rubber and Sodium Methyl Cellulose as Binder for Negative Electrodes in Lithium-Ion Batteries. J. Power Sources 2006, 161, 617–622. [Google Scholar] [CrossRef]
- Lingappan, N.; Kong, L.; Pecht, M. The Significance of Aqueous Binders in Lithium-Ion Batteries. Renew. Sustain. Energy Rev. 2021, 147, 111227. [Google Scholar] [CrossRef]
- Guo, R.; Zhang, S.; Ying, H.; Yang, W.; Wang, J.; Han, W. Preparation of an Amorphous Cross-Linked Binder for Silicon Anodes. ChemSusChem 2019, 12, 4838–4845. [Google Scholar] [CrossRef]
- Toigo, C.; Kracalik, M.; Bradt, E.; Pettinger, K.-H.; Arbizzani, C. Rheological Properties of Aqueous Sodium Alginate Slurries for LTO Battery Electrodes. Polymers 2021, 13, 3582. [Google Scholar] [CrossRef] [PubMed]
- Li, J.; Hu, X.; Zhao, H.; Ren, Y.; Huang, X. Cross-Linked Sodium Alginate-Sodium Borate Hybrid Binders for High-Capacity Silicon Anodes in Lithium-Ion Batteries. Langmuir 2022, 38, 402–410. [Google Scholar] [CrossRef] [PubMed]
- Lai, Y.; Li, H.; Zhang, Y.; Yang, Q.; Li, H.; Sun, Y.; Liu, Y.; Zhong, B.; Wu, Z.; Guo, X. Investigation of Effective Bonding between Varied Binders and Si Anode with Different Particle Sizes. Appl. Phys. Lett. 2022, 121, 183901. [Google Scholar] [CrossRef]
- Ling, M.; Xu, Y.; Zhao, H.; Gu, X.; Qiu, J.; Li, S.; Wu, M.; Song, X.; Yan, C.; Liu, G.; et al. Dual-Functional Gum Arabic Binder for Silicon Anodes in Lithium Ion Batteries. Nano Energy 2015, 12, 178–185. [Google Scholar] [CrossRef]
- Zhong, H.; He, J.; Zhang, L. Crosslinkable Aqueous Binders Containing Arabic Gum-Grafted-Poly (Acrylic Acid) and Branched Polyols for Si Anode of Lithium-Ion Batteries. Polymer 2021, 215, 123377. [Google Scholar] [CrossRef]
- Li, S.; Wu, Z.G.; Liu, Y.M.; Yang, Z.W.; Wang, G.K.; Liu, Y.X.; Zhong, Y.J.; Song, Y.; Zhong, B.H.; Guo, X.D. A Compared Investigation of Different Biogum Polymer Binders for Silicon Anode of Lithium-Ion Batteries. Ionics 2021, 27, 1829–1836. [Google Scholar] [CrossRef]
- He, J.; Zhang, L.; Zhong, H. Enhanced Adhesion and Electrochemical Performance of Si Anodes with Gum Arabic Grafted Poly(Acrylic Acid) as a Water-Soluble Binder. Polym. Int. 2021, 70, 1668–1679. [Google Scholar] [CrossRef]
- Zhang, L.; Jiao, X.; Feng, Z.; Li, B.; Feng, Y.; Song, J. A Nature-Inspired Binder with Three-Dimensional Cross-Linked Networks for Silicon-Based Anodes in Lithium-Ion Batteries. J. Power Sources 2021, 484, 229198. [Google Scholar] [CrossRef]
- Chen, Y.; Gong, Z.; Liu, J.; Gan, L.; Lin, L. Investigation of the Different Structures of Xanthan Gum on the Performance of Silicon Anodes in Lithium-Ion Batteries. J. Phys. Chem. Solids 2022, 165, 110656. [Google Scholar] [CrossRef]
- Carvalho, D.V.; Loeffler, N.; Hekmatfar, M.; Moretti, A.; Kim, G.T.; Passerini, S. Evaluation of Guar Gum-Based Biopolymers as Binders for Lithium-Ion Batteries Electrodes. Electrochim. Acta 2018, 265, 89–97. [Google Scholar] [CrossRef]
- Wang, Z.; Huang, T.; Yu, A. A Carboxymethyl Vegetable Gum as a Robust Water Soluble Binder for Silicon Anodes in Lithium-Ion Batteries. J. Power Sources 2021, 489, 229530. [Google Scholar] [CrossRef]
- Zhao, E.; Guo, Z.; Liu, J.; Zhang, Q.; Guo, Z.; Yang, Y.; Wang, H.; Wang, L. A Low-Cost and Eco-Friendly Network Binder Coupling Stiffness and Softness for High-Performance Li-Ion Batteries. Electrochim. Acta 2021, 387, 138491. [Google Scholar] [CrossRef]
- Kaur, S.; Santra, S. Application of Guar Gum and Its Derivatives as Green Binder/Separator for Advanced Lithium-Ion Batteries. ChemistryOpen 2022, 11, e202100209. [Google Scholar] [CrossRef] [PubMed]
- Padil, V.V.T.; Cheong, J.Y. Recent Advances in the Multifunctional Natural Gum-Based Binders for High-Performance Rechargeable Batteries. Energies 2022, 15, 8552. [Google Scholar] [CrossRef]
- Cuesta, N.; Ramos, A.; Cameán, I.; Antuña, C.; García, A.B. Hydrocolloids as Binders for Graphite Anodes of Lithium-Ion Batteries. Electrochim. Acta 2015, 155, 140–147. [Google Scholar] [CrossRef]
- Li, Z.; Wan, Z.; Wu, G.; Wu, Z.; Zeng, X.; Gan, L.; Liu, J.; Wu, S.; Lin, Z.; Gao, X.; et al. A Biopolymer Network for Lean Binder in Silicon Nanoparticle Anodes for Lithium-Ion Batteries. Sustain. Mater. Technol. 2021, 30, e00333. [Google Scholar] [CrossRef]
- Jang, W.; Rajeev, K.K.; Thorat, G.M.; Kim, S.; Kang, Y.; Kim, T.H. Lambda Carrageenan as a Water-Soluble Binder for Silicon Anodes in Lithium-Ion Batteries. ACS Sustain. Chem. Eng. 2022, 10, 12620–12629. [Google Scholar] [CrossRef]
- Lee, S.H.; Lee, J.H.; Nam, D.H.; Cho, M.; Kim, J.; Chanthad, C.; Lee, Y. Epoxidized Natural Rubber/Chitosan Network Binder for Silicon Anode in Lithium-Ion Battery. ACS Appl. Mater. Interfaces 2018, 10, 16449–16457. [Google Scholar] [CrossRef]
- Rajeev, K.K.; Kim, E.; Nam, J.; Lee, S.; Mun, J.; Kim, T.H. Chitosan-Grafted-Polyaniline Copolymer as an Electrically Conductive and Mechanically Stable Binder for High-Performance Si Anodes in Li-Ion Batteries. Electrochim. Acta 2020, 333, 135532. [Google Scholar] [CrossRef]
- Rajeev, K.K.; Jang, W.; Kim, S.; Kim, T.H. Chitosan- Grafted-Gallic Acid as a Nature-Inspired Multifunctional Binder for High-Performance Silicon Anodes in Lithium-Ion Batteries. ACS Appl. Energy Mater. 2022, 5, 3166–3178. [Google Scholar]
- Liao, H.; Liu, N.; He, W.; Long, J.; Dou, H.; Zhang, X. Three-Dimensional Cross-Linked Binder Based on Ionic Bonding for a High-Performance SiOxAnode in Lithium-Ion Batteries. ACS Appl. Energy Mater. 2022, 5, 4788–4795. [Google Scholar] [CrossRef]
- Wu, Z.; Wan, Z.; Li, Z.; Du, Q.; Wu, T.; Cao, J.; Ling, M.; Liang, C.; Tan, Y. Partially Carbonized Polymer Binder with Polymer Dots for Silicon Anodes in Lithium-Ion Batteries. Small 2022, 19, 2205065. [Google Scholar] [CrossRef]
- Zheng, F.; Tang, Z.; Lei, Y.; Zhong, R.; Chen, H.; Hong, R. PAAS-β-CDp-PAA as a High-Performance Easily Prepared and Water-Soluble Composite Binder for High-Capacity Silicon Anodes in Lithium-Ion Batteries. J. Alloys Compd. 2023, 932, 167666. [Google Scholar] [CrossRef]
- Jing, J.; Zhang, C.; Li, Q.; Li, C.; Yao, S.; Li, T.; Bai, X. Study of Commercial Binders on the Lithium Storage Performance of SiOx/G@C Anode. Mater. Chem. Phys. 2022, 292, 126797. [Google Scholar] [CrossRef]
- Li, Z.; Tang, W.; Yang, Y.; Lai, G.; Lin, Z.; Xiao, H.; Qiu, J.; Wei, X.; Wu, S.; Lin, Z. Engineering Prelithiation of Polyacrylic Acid Binder: A Universal Strategy to Boost Initial Coulombic Efficiency for High-Areal-Capacity Si-Based Anodes. Adv. Funct. Mater. 2022, 32, 2206615. [Google Scholar] [CrossRef]
- Li, Z.; Guo, A.; Liu, D. Water-Soluble Conductive Composite Binder for High-Performance Silicon Anode in Lithium-Ion Batteries. Batteries 2022, 8, 54. [Google Scholar] [CrossRef]
- Su, T.T.; Ren, W.F.; Yuan, J.M.; Wang, K.; Chi, B.Y.; Sun, R.C. Fabrication of Polyacrylic Acid-Based Composite Binders with Strong Binding Forces on Copper Foils for Silicon Anodes in Lithium-Ion Batteries. J. Ind. Eng. Chem. 2022, 109, 521–529. [Google Scholar] [CrossRef]
- Lin, S.; Wang, F.; Hong, R. Polyacrylic Acid and β-Cyclodextrin Polymer Cross-Linking Binders to Enhance Capacity Performance of Silicon/Carbon Composite Electrodes in Lithium-Ion Batteries. J. Colloid Interface Sci. 2022, 613, 857–865. [Google Scholar] [CrossRef]
- Zhong, H.; Sun, M.; Li, Y.; He, J.; Yang, J.; Zhang, L. The Polyacrylic Latex: An Efficient Water-Soluble Binder for LiNi1/3Co1/3Mn1/3O2 Cathode in Li-Ion Batteries. J. Solid State Electrochem. 2016, 20, 1–8. [Google Scholar] [CrossRef]
- Su, M.; Liu, S.; Wan, H.; Dou, A.; Liu, K.; Liu, Y. Effect of Binders on Performance of Si/C Composite as Anode for Li-Ion Batteries. Ionics 2018, 25, 2103–2109. [Google Scholar] [CrossRef]
- Zhao, J.; Wei, D.; Wang, J.; Yang, K.; Wang, Z.; Chen, Z.; Zhang, S.; Zhang, C.; Yang, X. Inorganic Crosslinked Supramolecular Binder with Fast Self-Healing for High Performance Silicon Based Anodes in Lithium-Ion Batteries. J. Colloid. Interface Sci. 2022, 625, 373–382. [Google Scholar] [CrossRef] [PubMed]
- Wang, W.; Li, Y.; Wang, Y.; Huang, W.; Lv, L.; Zhu, G.; Qu, Q.; Liang, Y.; Zheng, W.; Zheng, H. A Novel Covalently Grafted Binder through In-Situ Polymerization for High-Performance Si-Based Lithium-Ion Batteries. Electrochim. Acta 2021, 400, 139442. [Google Scholar] [CrossRef]
- Liu, S.; Zhang, L. Partially Lithiated Ternary Graft Copolymer with Enhanced Elasticity as Aqueous Binder for Si Anode. J. Appl. Polym. Sci. 2021, 138, 49950. [Google Scholar] [CrossRef]
- He, J.; Zhang, L. Polyvinyl Alcohol Grafted Poly (Acrylic Acid) as Water-Soluble Binder with Enhanced Adhesion Capability and Electrochemical Performances for Si Anode. J. Alloys Compd. 2018, 763, 228–240. [Google Scholar] [CrossRef]
- Li, X.Z.; Yuan, S.X.; Ding, G.S. A Comparative Investigation of Various Binders for Silicon Anodes: Interactions with Other Components, Rheological Property, and Behavior in Operando Dilatometry. Macromol. Mater. Eng. 2022, 307, 2200376. [Google Scholar] [CrossRef]
- Yang, Z.; Song, H.; Chen, J.; Lin, K.; Cai, Q.; Li, T.; Zhao, D.; Liu, M.; Qin, X.; Kang, F.; et al. Free-Standing Stable Silicon-Based Anode with Exceptional Flexibility Realized by a Multifunctional Structure Design in Multiple Dimensions. ACS Appl. Mater. Interfaces 2022, 14, 46439–46448. [Google Scholar] [CrossRef]
- Verdier, N.; el Khakani, S.; Lepage, D.; Prébé, A.; Aymé-Perrot, D.; Dollé, M.; Rochefort, D. Polyacrylonitrile-Based Rubber (HNBR) as a New Potential Elastomeric Binder for Lithium-Ion Battery Electrodes. J. Power Sources 2019, 440, 227111. [Google Scholar] [CrossRef]
- Synthesis, Modification, and Lithium-Storage Properties of Spinel LiNi0.5Mn1.5O4. Available online: https://chemistry-europe.onlinelibrary.wiley.com/doi/epdf/10.1002/celc.202001414 (accessed on 16 January 2023).
- Kuenzel, M.; Choi, H.; Wu, F.; Kazzazi, A.; Axmann, P.; Wohlfahrt-Mehrens, M.; Bresser, D.; Passerini, S. Co-Crosslinked Water-Soluble Biopolymers as a Binder for High-Voltage LiNi0.5Mn1.5O4|Graphite Lithium-Ion Full Cells. ChemSusChem 2020, 13, 2650–2660. [Google Scholar] [CrossRef]
- Kuenzel, M.; Bresser, D.; Diemant, T.; Carvalho, D.V.; Kim, G.T.; Behm, R.J.; Passerini, S. Complementary Strategies Toward the Aqueous Processing of High-Voltage LiNi0.5Mn1.5O4 Lithium-Ion Cathodes. ChemSusChem 2018, 11, 562–573. [Google Scholar] [CrossRef] [PubMed]
- de Giorgio, F.; Laszczynski, N.; von Zamory, J.; Mastragostino, M.; Arbizzani, C.; Passerini, S. Graphite//LiNi0.5Mn1.5O4 Cells Based on Environmentally Friendly Made-in-Water Electrodes. ChemSusChem 2017, 10, 379–386. [Google Scholar] [CrossRef] [PubMed]
- Isozumi, H.; Kubota, K.; Tatara, R.; Horiba, T.; Hida, K.; Matsuyama, T.; Yasuno, S.; Komaba, S. Impact of Newly Developed Styrene-Butadiene-Rubber Binder on the Electrode Performance of High-Voltage LiNi0.5Mn1.5O4 Electrode. ACS Appl. Energy Mater. 2020, 3, 7978–7987. [Google Scholar] [CrossRef]
- Chou, W.Y.; Jin, Y.C.; Duh, J.G.; Lu, C.Z.; Liao, S.C. A Facile Approach to Derive Binder Protective Film on High Voltage Spinel Cathode Materials against High Temperature Degradation. Appl. Surf. Sci. 2015, 355, 1272–1278. [Google Scholar] [CrossRef]
- Bigoni, F.; de Giorgio, F.; Soavi, F.; Arbizzani, C. Sodium Alginate: A Water-Processable Binder in High-Voltage Cathode Formulations. J. Electrochem. Soc. 2017, 164, A6171–A6177. [Google Scholar] [CrossRef]
- Rao, L.; Jiao, X.; Yu, C.-Y.; Schmidt, A.; O’Meara, C.; Seidt, J.; Sayre, J.R.; Khalifa, Y.M.; Kim, J.-H. Multifunctional Composite Binder for Thick High-Voltage Cathodes in Lithium-Ion Batteries. ACS Appl. Mater. Interfaces 2022, 14, 861–872. [Google Scholar] [CrossRef]
- Shin, M.; Song, W.J.; Han, J.G.; Hwang, C.; Lee, S.; Yoo, S.; Park, S.; Song, H.K.; Yoo, S.; Choi, N.S.; et al. Metamorphosis of Seaweeds into Multitalented Materials for Energy Storage Applications. Adv. Energy Mater. 2019, 9, 1900570. [Google Scholar] [CrossRef]
- Zhong, H.; He, J.; Zhang, L. Better Cycle Stability and Rate Capability of High-Voltage LiNi0.5Mn1.5O4 Cathode Using Water Soluble Binder. Mater. Res. Bull. 2017, 93, 194–200. [Google Scholar] [CrossRef]
- Zhong, H.; Lu, J.; He, A.; Sun, M.; He, J.; Zhang, L. Carboxymethyl Chitosan/Poly(Ethylene Oxide) Water Soluble Binder: Challenging Application for 5 V LiNi0.5Mn1.5O4 Cathode. J. Mater. Sci. Technol. 2017, 33, 763–767. [Google Scholar] [CrossRef]
- Prosini, P.P.; Carewska, M.; Masci, A. A High Voltage Cathode Prepared by Using Polyvinyl Acetate as a Binder. Solid. State Ion. 2015, 274, 88–93. [Google Scholar] [CrossRef]
- Pieczonka, N.P.W.; Borgel, V.; Ziv, B.; Leifer, N.; Dargel, V.; Aurbach, D.; Kim, J.H.; Liu, Z.; Huang, X.; Krachkovskiy, S.A.; et al. Lithium Polyacrylate (LiPAA) as an Advanced Binder and a Passivating Agent for High-Voltage Li-Ion Batteries. Adv. Energy Mater. 2015, 5, 1501008. [Google Scholar] [CrossRef]
- Hitomi, S.; Kubota, K.; Horiba, T.; Hida, K.; Matsuyama, T.; Oji, H.; Yasuno, S.; Komaba, S. Application of Acrylic-Rubber-Based Latex Binder to High-Voltage Spinel Electrodes of Lithium-Ion Batteries. ChemElectroChem 2019, 6, 5070–5079. [Google Scholar] [CrossRef]
- Dong, T.; Zhang, H.; Ma, Y.; Zhang, J.; Du, X.; Lu, C.; Shangguan, X.; Li, J.; Zhang, M.; Yang, J.; et al. A Well-Designed Water-Soluble Binder Enlightening the 5 V-Class LiNi0.5Mn1.5O4 Cathodes. J. Mater. Chem. A Mater. 2019, 7, 24594–24601. [Google Scholar] [CrossRef]
- Tanabe, T.; Gunji, T.; Honma, Y.; Miyamoto, K.; Tsuda, T.; Mochizuki, Y.; Kaneko, S.; Ugawa, S.; Lee, H.; Ohsaka, T.; et al. Preparation of Water-Resistant Surface Coated High-Voltage LiNi0.5Mn1.5O4 Cathode and Its Cathode Performance to Apply a Water-Based Hybrid Polymer Binder to Li-Ion Batteries. Electrochim. Acta 2017, 224, 429–438. [Google Scholar] [CrossRef]
- Taghavizadeh Yazdi, M.E.; Nazarnezhad, S.; Mousavi, S.H.; Sadegh Amiri, M.; Darroudi, M.; Baino, F.; Kargozar, S. Gum Tragacanth (GT): A Versatile Biocompatible Material beyond Borders. Molecules 2021, 26, 1510. [Google Scholar] [CrossRef]
- Nejatian, M.; Abbasi, S.; Azarikia, F. Gum Tragacanth: Structure, Characteristics and Applications in Foods. Int. J. Biol. Macromol. 2020, 160, 846–860. [Google Scholar] [CrossRef]
- Verma, C.; Pathania, D.; Anjum, S.; Gupta, B. Smart Designing of Tragacanth Gum by Graft Functionalization for Advanced Materials. Macromol. Mater. Eng. 2020, 305, 1900762. [Google Scholar] [CrossRef]
- Barak, S.; Mudgil, D.; Taneja, S. Exudate Gums: Chemistry, Properties and Food Applications—A Review. J. Sci. Food Agric. 2020, 100, 2828–2835. [Google Scholar] [CrossRef]
- Mohan, R.; Singh, S.; Kumar, G.; Srivastava, M. Evaluation of Gelling Behavior of Natural Gums and Their Formulation Prospects. Indian J. Pharm. Educ. Res. 2020, 54, 1016–1023. [Google Scholar] [CrossRef]
- Verbeken, D.; Dierckx, S.; Dewettinck, K. Exudate Gums: Occurrence, Production, and Applications. Appl. Microbiol. Biotechnol. 2003, 63, 10–21. [Google Scholar] [CrossRef]
- Fattahi, A.; Petrini, P.; Munarin, F.; Shokoohinia, Y.; Golozar, M.A.; Varshosaz, J.; Tanzi, M.C. Polysaccharides Derived from Tragacanth as Biocompatible Polymers and Gels. J. Appl. Polym. Sci. 2013, 129, 2092–2102. [Google Scholar] [CrossRef]
- Versaci, D.; Nasi, R.; Zubair, U.; Amici, J.; Sgroi, M.; Dumitrescu, M.A.; Francia, C.; Bodoardo, S.; Penazzi, N. New Eco-Friendly Low-Cost Binders for Li-Ion Anodes. J. Solid. State Electrochem. 2017, 21, 3429–3435. [Google Scholar] [CrossRef]
- Scalia, A.; Zaccagnini, P.; Armandi, M.; Latini, G.; Versaci, D.; Lanzio, V.; Varzi, A.; Passerini, S.; Lamberti, A. Tragacanth Gum as Green Binder for Sustainable Water-Processable Electrochemical Capacitor. ChemSusChem 2021, 14, 356–362. [Google Scholar] [CrossRef] [PubMed]
- Sadat Hosseini, M.; Hemmati, K.; Ghaemy, M. Synthesis of Nanohydrogels Based on Tragacanth Gum Biopolymer and Investigation of Swelling and Drug Delivery. Int. J. Biol. Macromol. 2016, 82, 806–815. [Google Scholar] [CrossRef]
- Veeramachineni, A.K.; Sathasivam, T.; Paramasivam, R.; Muniyandy, S.; Pushpamalar, J. Synthesis and Characterization of a Novel PH-Sensitive Aluminum Crosslinked Carboxymethyl Tragacanth Beads for Extended and Enteric Drug Delivery. J. Polym. Environ. 2019, 27, 1516–1528. [Google Scholar] [CrossRef]
- Kurt, A. Physicochemical, rheological and structural characteristics of alcohol precipitated fraction of gum tragacanth. Food Health 2018, 4, 183–193. [Google Scholar] [CrossRef]
- Sharma, B.; Thakur, S.; Trache, D.; Yazdani Nezhad, H.; Thakur, V.K. Microwave-Assisted Rapid Synthesis of Reduced Graphene Oxide-Based Gum Tragacanth Hydrogel Nanocomposite for Heavy Metal Ions Adsorption. Nanomaterials 2020, 10, 1616. [Google Scholar] [CrossRef]
- Nowrouzi, I.; Khaksar Manshad, A.; Mohammadi, A.H. Effects of Tragacanth Gum as a Natural Polymeric Surfactant and Soluble Ions on Chemical Smart Water Injection into Oil Reservoirs. J. Mol. Struct. 2020, 1200, 127078. [Google Scholar] [CrossRef]
- Indana, M.K.; Gangapuram, B.R.; Dadigala, R.; Bandi, R.; Guttena, V. A Novel Green Synthesis and Characterization of Silver Nanoparticles Using Gum Tragacanth and Evaluation of Their Potential Catalytic Reduction Activities with Methylene Blue and Congo Red Dyes. J. Anal. Sci. Technol. 2016, 7, 19. [Google Scholar] [CrossRef]
- Wu, X.; Xing, Z.; Hu, Y.; Zhang, Y.; Sun, Y.; Ju, Z.; Liu, J.; Zhuang, Q. Effects of Functional Binders on Electrochemical Performance of Graphite Anode in Potassium-Ion Batteries. Ionics 2019, 25, 2563–2574. [Google Scholar] [CrossRef]
- Dienwiebel, I.; Diehl, M.; Heidrich, B.; Yang, X.; Winter, M.; Börner, M. Enabling Aqueous Processing for LiNi0.5Mn1.5O4-Based Positive Electrodes in Lithium-Ion Batteries by Applying Lithium-Based Processing Additives. Adv. Energy Sustain. Res. 2021, 2, 2100075. [Google Scholar] [CrossRef]
- Ammundsen, B.; Jones, D.J.; Rozière, J.; Burns, G.R. Effect of Chemical Extraction of Lithium on the Local Structure of Spinel Lithium Manganese Oxides Determined by X-Ray Absorption Spectroscopy. Chem. Mater. 1996, 8, 2799–2808. [Google Scholar] [CrossRef]
- Demeaux, J.; Caillon-Caravanier, M.; Galiano, H.; Lemordant, D.; Claude-Montigny, B. LiNi0.4Mn1.6O4/Electrolyte and Carbon Black/Electrolyte High Voltage Interfaces: To Evidence the Chemical and Electronic Contributions of the Solvent on the Cathode-Electrolyte Interface Formation. J. Electrochem. Soc. 2012, 159, A1880–A1890. [Google Scholar] [CrossRef]
- Syzdek, J.; Marcinek, M.; Kostecki, R. Electrochemical Activity of Carbon Blacks in LiPF6-Based Organic Electrolytes. J. Power Sources 2014, 245, 739–744. [Google Scholar] [CrossRef]
- Younesi, R.; Christiansen, A.S.; Scipioni, R.; Ngo, D.; Simonsen, S.B.; Edström, K.; Hjelm, J.; Norby, P. Analysis of the Interphase on Carbon Black Formed in High Voltage Batteries. J. Electrochem. Soc. 2015, 162, A1289–A1296. [Google Scholar] [CrossRef]
- Salian, G.D.; Højberg, J.; Fink Elkjaer, C.; Tesfamhret, Y.; Hernández, G.; Lacey, M.J.; Younesi, R. Investigation of Water-Soluble Binders for LiNi0.5Mn1.5O4-Based Full Cells. ChemistryOpen 2022, 11, e202200065. [Google Scholar] [CrossRef]
- Charles-Blin, Y.; Todoki, H.; Zettsu, N.; Teshima, K. Molecular Gate Effects Observed in Fluoroalkylsilane Self-Assembled Monolayers Grafted on LiNi0.5Mn1.5O4 Cathodes: An Application to Efficient Ion-Exchange Reactions. Mater. Adv. 2021, 2, 5406–5414. [Google Scholar] [CrossRef]
- Huang, B.; Wang, M.; Zhang, X.; Xu, G.; Gu, Y. Optimized Preparation of LiNi0.6Mn0.2Co0.2O2 with Single Crystal Morphology Cathode Material for Lithium-Ion Batteries. Ionics 2020, 26, 2689–2698. [Google Scholar] [CrossRef]
- Pritzl, D.; Bumberger, A.E.; Wetjen, M.; Landesfeind, J.; Solchenbach, S.; Gasteiger, H.A. Identifying Contact Resistances in High-Voltage Cathodes by Impedance Spectroscopy. J. Electrochem. Soc. 2019, 166, A582–A590. [Google Scholar] [CrossRef]
- Duncan, H.; Abu-Lebdeh, Y.; Davidson, I.J. Study of the Cathode–Electrolyte Interface of LiMn1.5Ni0.5O4 Synthesized by a Sol–Gel Method for Li-Ion Batteries. J. Electrochem. Soc. 2010, 157, A528. [Google Scholar] [CrossRef]
- Xu, Y.-H.; Zhao, S.-X.; Deng, Y.-F.; Deng, H.; Nan, C.-W. Improved Electrochemical Performance of 5 V Spinel LiNi0.5Mn1.5O4 Microspheres by F-Doping and Li4SiO4 Coating. J. Mater. 2016, 2, 265–272. [Google Scholar] [CrossRef]
- Scott, S.; Terreblanche, J.; Thompson, D.L.; Lei, C.; Hartley, J.M.; Abbott, A.P.; Ryder, K.S. Gelatin and Alginate Binders for Simplified Battery Recycling. J. Phys. Chem. C 2022, 126, 8489–8498. [Google Scholar] [CrossRef]
- Zohuriaan-Mehr, M.J.; Mohamadnia, Z.; Kabiri, K.; Razavi-Nouri, M. Tragacanth Gum-Graft-Polyacrylonitrile: Synthesis, Characterization and Hydrolysis. J. Polym. Res. 2008, 15, 173–180. [Google Scholar] [CrossRef]
- Nguyen, B.P.N.; Mariage, N.; Fredon, R.; Kelder, E.M.; Lestriez, B. Manufacturing of LiNi0.5Mn1.5O4 Positive Composite Electrodes with Industry-Relevant Surface Capacities for Lithium Ion-Cells. J. Electrochem. Soc. 2015, 162, A1451–A1459. [Google Scholar] [CrossRef]







| LNMO-PVdF | LNMO-CMC | LNMO-TG | ||
|---|---|---|---|---|
| Peaks | Voltage Hysteresis (ΔV) | |||
| Cycle 1 | Ia/Ic | 60 | 0 | 90 |
| IIa/IIc | 180 | 355 | 330 | |
| Cycle 5 | Ia/Ic | 60 | 40 | 30 |
| IIa/IIc | 160 | 190 | 160 | |
| Cycle Number | Discharge Capacity, mAh g–1 | Coulombic Efficiency, % | ||||
|---|---|---|---|---|---|---|
| PVdF | CMC | TG | PVdF | CMC | TG | |
| 1st (0.1 C) | 125 | 122 | 122 | 87.3 | 89.1 | 88.3 |
| 13th (0.2 C) | 126 | 129 | 125 | 98.9 | 97.8 | 98.8 |
| 23rd (1 C) | 114 | 116 | 112 | 99.5 | 99.1 | 99.5 |
| 33rd (5 C) | 101 | 112 | 107 | 100.1 | 99.5 | 100.0 |
| 43rd (10 C) | 80 | 100 | 87 | 100.1 | 99.7 | 100.0 |
| 53rd (15 C) | 56 | 83 | 72 | 99.9 | 99.3 | 99.2 |
| 56th (0.1 C) | 127 | 131 | 126 | 98.0 | 92.9 | 97.8 |
| Cycle Number | Discharge Capacity | Coulombic Efficiency | ||||
|---|---|---|---|---|---|---|
| PVdF | CMC | TG | PVdF | CMC | TG | |
| 1st (0.1 C) | 126 | 120 | 120 | 88.8 | 84.2 | 88.9 |
| 2nd (0.1 C) | 128 | 125 | 125 | 94.8 | 97.7 | 95.3 |
| 3rd (0.1 C) | 129 | 127 | 127 | 96.6 | 98.2 | 96.8 |
| 5th (1 C) | 112 | 110 | 106 | 99.5 | 99.6 | 99.4 |
| 100th (1 C) | 108 | 113 | 110 | 99.5 | 99.5 | 99.4 |
| 300th (1 C) | 103 | 98 | 95 | 99.4 | 99.5 | 99.5 |
| 500th (1 C) | 86 | 72 | 76 | 99.5 | 99.5 | 99.5 |
| 700th (1 C) | - | 50 | 55 | - | 99.5 | 99.5 |
| 900th (1 C) | - | 37 | 47 | - | 99.5 | 99.7 |
| 1000th (1 C) | - | 34 | 44 | - | 99.5 | 99.5 |
| Cycle Number | Capacity Retention (Charge/Discharge) % vs. 5th Cycle (1 C) | ||
|---|---|---|---|
| PVdF | CMC | TG | |
| 100th (1 C) | 97/97 | 102/102 | 103/103 |
| 300th (1 C) | 92/91 | 90/90 | 89/89 |
| 500th (1 C) | 77/77 | 66/65 | 71/71 |
| 700th (1 C) | - | 45/45 | 52/52 |
| 900th (1 C) | - | 33/33 | 44/44 |
| 1000th (1 C) | - | 31/31 | 41/41 |
Disclaimer/Publisher’s Note: The statements, opinions and data contained in all publications are solely those of the individual author(s) and contributor(s) and not of MDPI and/or the editor(s). MDPI and/or the editor(s) disclaim responsibility for any injury to people or property resulting from any ideas, methods, instructions or products referred to in the content. |
© 2023 by the authors. Licensee MDPI, Basel, Switzerland. This article is an open access article distributed under the terms and conditions of the Creative Commons Attribution (CC BY) license (https://creativecommons.org/licenses/by/4.0/).
Share and Cite
Versaci, D.; Apostu, O.D.; Dessantis, D.; Amici, J.; Francia, C.; Minella, M.; Bodoardo, S. Tragacanth, an Exudate Gum as Suitable Aqueous Binder for High Voltage Cathode Material. Batteries 2023, 9, 199. https://doi.org/10.3390/batteries9040199
Versaci D, Apostu OD, Dessantis D, Amici J, Francia C, Minella M, Bodoardo S. Tragacanth, an Exudate Gum as Suitable Aqueous Binder for High Voltage Cathode Material. Batteries. 2023; 9(4):199. https://doi.org/10.3390/batteries9040199
Chicago/Turabian StyleVersaci, Daniele, Oana D. Apostu, Davide Dessantis, Julia Amici, Carlotta Francia, Marco Minella, and Silvia Bodoardo. 2023. "Tragacanth, an Exudate Gum as Suitable Aqueous Binder for High Voltage Cathode Material" Batteries 9, no. 4: 199. https://doi.org/10.3390/batteries9040199
APA StyleVersaci, D., Apostu, O. D., Dessantis, D., Amici, J., Francia, C., Minella, M., & Bodoardo, S. (2023). Tragacanth, an Exudate Gum as Suitable Aqueous Binder for High Voltage Cathode Material. Batteries, 9(4), 199. https://doi.org/10.3390/batteries9040199

