Impedimetric Early Sensing of Volatile Organic Compounds Released from Li-Ion Batteries at Elevated Temperatures
Abstract
:1. Introduction
2. Materials and Methods
3. Results and Discussion
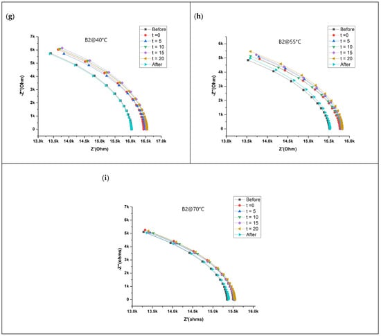
3.1. Impedance Data Analysis
3.2. Multivariate Data Analysis
4. Conclusions
Supplementary Materials
Author Contributions
Funding
Informed Consent Statement
Data Availability Statement
Conflicts of Interest
References
- The Nobel Prize in Chemistry 2019. Available online: https://www.nobelprize.org/prizes/chemistry/2019/summary/ (accessed on 3 October 2023).
- Verma, J.; Kumar, D. Metal-Ion Batteries for Electric Vehicles: Current State of the Technology, Issues and Future Perspectives. Nanoscale Adv. 2021, 3, 3384–3394. [Google Scholar] [CrossRef]
- Benefits of Electric Cars on Environment|EV & Petrol Cars|EDF. Available online: https://www.edfenergy.com/energywise/electric-cars-and-environment (accessed on 4 October 2023).
- Carbon Dioxide Peaks near 420 Parts per Million at Mauna Loa Observatory—NOAA Research. Available online: https://research.noaa.gov/2021/06/07/coronavirus-response-barely-slows-rising-carbon-dioxide/ (accessed on 4 October 2023).
- Arora, S. Selection of Thermal Management System for Modular Battery Packs of Electric Vehicles: A Review of Existing and Emerging Technologies. J. Power Sources 2018, 400, 621–640. [Google Scholar] [CrossRef]
- Feng, X.; Ouyang, M.; Liu, X.; Lu, L.; Xia, Y.; He, X. Thermal Runaway Mechanism of Lithium Ion Battery for Electric Vehicles: A Review. Energy Storage Mater. 2018, 10, 246–267. [Google Scholar] [CrossRef]
- Fernandes, Y.; Bry, A.; de Persis, S. Identification and Quantification of Gases Emitted during Abuse Tests by Overcharge of a Commercial Li-Ion Battery. J. Power Sources 2018, 389, 106–119. [Google Scholar] [CrossRef]
- Sturk, D.; Rosell, L.; Blomqvist, P.; Tidblad, A.A. Analysis of Li-Ion Battery Gases Vented in an Inert Atmosphere Thermal Test Chamber. Batteries 2019, 5, 61. [Google Scholar] [CrossRef]
- Wenger, M.; Waller, R.; Lorentz, V.R.H.; März, M.; Herold, M. Investigation of Gas Sensing in Large Lithium-Ion Battery Systems for Early Fault Detection and Safety Improvement. In Proceedings of the IECON 2014—40th Annual Conference of the IEEE Industrial Electronics Society, Dallas, TX, USA, 29 October–1 November 2014; pp. 5654–5659. [Google Scholar]
- Cai, T.; Valecha, P.; Tran, V.; Engle, B.; Stefanopoulou, A.; Siegel, J. Detection of Li-Ion Battery Failure and Venting with Carbon Dioxide Sensors. eTransportation 2021, 7, 100100. [Google Scholar] [CrossRef]
- Essl, C.; Seifert, L.; Rabe, M.; Fuchs, A. Early Detection of Failing Automotive Batteries Using Gas Sensors. Batteries 2021, 7, 25. [Google Scholar] [CrossRef]
- Koch, S.; Birke, K.P.; Kuhn, R. Fast Thermal Runaway Detection for Lithium-Ion Cells in Large Scale Traction Batteries. Batteries 2018, 4, 16. [Google Scholar] [CrossRef]
- Mateev, V.; Marinova, I.; Kartunov, Z. Gas Leakage Source Detection for Li-Ion Batteries by Distributed Sensor Array. Sensors 2019, 19, 2900. [Google Scholar] [CrossRef]
- Hill, D.; Gully, B.; Agarwal, A.; Nourai, A.; Thrun, L.; Swartz, S.; Koslowske, M.; Cummings, S.; Butkowski, J.; Moore, B.; et al. Detection of Off Gassing from Li-Ion Batteries. In Proceedings of the 2013 IEEE Energytech, Cleveland, OH, USA, 21–23 May 2013; pp. 1–7. [Google Scholar]
- Dhall, S.; Mehta, B.R.; Tyagi, A.K.; Sood, K. A Review on Environmental Gas Sensors: Materials and Technologies. Sens. Int. 2021, 2, 100116. [Google Scholar] [CrossRef]
- Kaur, P.; Bagchi, S.; Bhondekar, A.P. Impedimetric Study of Poly-Butyl Thiophenebased Sensor for Detection of VOCs and Mixtures. In Proceedings of the 2023 IEEE Applied Sensing Conference (APSCON), Bengaluru, India, 23–25 January 2023; pp. 1–3. [Google Scholar]
- Kaur, P.; Bagchi, S.; Bhondekar, A.P. Impedimetric Study of Polypyrrole Coated Zinc Oxide Fibers for Ammonia Detection. In Proceedings of the 2019 6th International Conference on Signal Processing and Integrated Networks (SPIN), Noida, India, 7–8 March 2019; Volume 1, pp. 613–616. [Google Scholar]
- Miah, M.R.; Yang, M.; Khandaker, S.; Bashar, M.M.; Alsukaibi, A.K.D.; Hassan, H.M.A.; Znad, H.; Awual, M.R. Polypyrrole-Based Sensors for Volatile Organic Compounds (VOCs) Sensing and Capturing: A Comprehensive Review. Sens. Actuators A Phys. 2022, 347, 113933. [Google Scholar] [CrossRef]
- Gao, N.; Yu, J.; Tian, Q.; Shi, J.; Zhang, M.; Chen, S.; Zang, L. Application of Pedot:Pss and Its Composites in Electrochemical and Electronic Chemosensors. Chemosensors 2021, 9, 79. [Google Scholar] [CrossRef]
- Kaur, P.; Bagchi, S.; Pol, V.G.; Bhondekar, A.P. Early Detection of Mixed Volatile Organic Compounds to Circumvent Calamitous Li-Ion Battery Thermal Runaway. J. Phys. Chem. C 2023, 127, 8373–8382. [Google Scholar] [CrossRef]
- Kaur, P.; Bagchi, S.; Gribble, D.; Pol, V.G.; Bhondekar, A.P. Impedimetric Chemosensing of Volatile Organic Compounds Released from Li-Ion Batteries. ACS Sens. 2022, 7, 674–682. [Google Scholar] [CrossRef]
- Hokazono, M.; Anno, H.; Toshima, N. Thermoelectric Properties and Thermal Stability of PEDOT:PSS Films on a Polyimide Substrate and Application in Flexible Energy Conversion Devices. J. Electron. Mater. 2014, 43, 2196–2201. [Google Scholar] [CrossRef]
- Hakimi, M.; Salehi, A.; Boroumand, F.A. Fabrication and Characterization of an Ammonia Gas Sensor Based on PEDOT-PSS With N-Doped Graphene Quantum Dots Dopant. IEEE Sens. J. 2016, 16, 6149–6154. [Google Scholar] [CrossRef]
- Vaghela, C.; Kulkarni, M.; Haram, S.; Karve, M.; Aiyer, R. Biopolymer-Polyaniline Composite for a Wide Range Ammonia Gas Sensor. IEEE Sens. J. 2016, 16, 4318–4325. [Google Scholar] [CrossRef]
- Cai, H.; Xu, Y.; He, P.-G.; Fang, Y.-Z. Indicator Free DNA Hybridization Detection by Impedance Measurement Based on the DNA-Doped Conducting Polymer Film Formed on the Carbon Nanotube Modified Electrode. Electroanalysis 2003, 15, 1864–1870. [Google Scholar] [CrossRef]
- Potyrailo, R.A.; Go, S.; Sexton, D.; Li, X.; Alkadi, N.; Kolmakov, A.; Amm, B.; St-Pierre, R.; Scherer, B.; Nayeri, M.; et al. Extraordinary Performance of Semiconducting Metal Oxide Gas Sensors Using Dielectric Excitation. Nat. Electron. 2020, 3, 280–289. [Google Scholar] [CrossRef]
- Aberg, P.; Geladi, P.; Nicander, I.; Hansson, J.; Holmgren, U.; Ollmar, S. Non-Invasive and Microinvasive Electrical Impedance Spectra of Skin Cancer—A Comparison between Two Techniques. Ski. Res. Technol. 2005, 11, 281–286. [Google Scholar] [CrossRef] [PubMed]
- 4H: Water, Sand, and Oil Baths-Chemistry LibreTexts. Available online: https://chem.libretexts.org/Bookshelves/Organic_Chemistry/Organic_Chemistry_Lab_Techniques_(Nichols)/01%3A_General_Techniques/1.04%3A_Heating_and_Cooling_Methods/1.4H%3A_Water_Sand_and_Oil_Baths (accessed on 22 July 2022).
- Jakubov, T.S.; Kabanova, O.N.; Serpinsky, V.V. Temperature Dependence of Adsorption. J. Colloid Interface Sci. 1981, 79, 170–177. [Google Scholar] [CrossRef]
- Orazem, M.E.; Tribollet, B. Electrochemical Impedance Spectroscopy; John Wiley & Sons: New York, NY, USA, 2008; ISBN 9780470041406. [Google Scholar]
- Kochowski, S.; Nitsch, K. Description of the Frequency Behaviour of Metal–SiO2–GaAs Structure Characteristics by Electrical Equivalent Circuit with Constant Phase Element. Thin Solid Film. 2002, 415, 133–137. [Google Scholar] [CrossRef]
- Jollife, I.T.; Cadima, J. Principal Component Analysis: A Review and Recent Developments. Philos. Trans. R. Soc. A 2016, 374, 20150202. [Google Scholar] [CrossRef]
- Wilson, M.D. Support Vector Machines. Encycl. Ecol. Five-Vol. Set 2008, 13, 3431–3437. [Google Scholar] [CrossRef]
- Singh, P.; Singh, N.; Singh, K.K.; Singh, A. Diagnosing of Disease Using Machine Learning. Mach. Learn. Internet Med. Things Healthc. 2021, 1, 89–111. [Google Scholar] [CrossRef]







| Mixture | Subsumed Analytes |
|---|---|
| B1 | EMC (5 ppm) + MF (15 ppm) |
| B2 | EMC (15 ppm) + MF (30 ppm) |
| B3 | EMC (30 ppm) + MF (5 ppm) |
| Parameters | CV | Accuracy | MCC | F1-Score | AUC-ROC |
|---|---|---|---|---|---|
| EMC (5 ppm) | 0.81 | 94.44 | 0.92 | 0.94 | 1.0 |
| EMC (15 ppm) | 0.93 | 94.44 | 0.92 | 0.94 | 0.95 |
| EMC (30 ppm) | 0.81 | 94.44 | 0.92 | 0.94 | 0.97 |
| MF (5 ppm) | 0.88 | 88.88 | 0.83 | 0.89 | 1.0 |
| MF (15 ppm) | 0.85 | 100 | 1.0 | 1.0 | 1.0 |
| MF (30 ppm) | 1.0 | 94.44 | 0.92 | 0.94 | 1.0 |
| B1 | 0.88 | 100 | 1.0 | 1.0 | 1.0 |
| B2 | 0.88 | 100 | 1.0 | 1.0 | 1.0 |
| B3 | 0.96 | 94.44 | 0.92 | 0.94 | 0.97 |
| EMC | 0.802 | 72.22 | 0.69 | 0.72 | 0.93 |
| MF | 0.76 | 77.77 | 0.75 | 0.78 | 0.96 |
| Binary | 0.74 | 85.18 | 0.83 | 0.84 | 0.98 |
Disclaimer/Publisher’s Note: The statements, opinions and data contained in all publications are solely those of the individual author(s) and contributor(s) and not of MDPI and/or the editor(s). MDPI and/or the editor(s) disclaim responsibility for any injury to people or property resulting from any ideas, methods, instructions or products referred to in the content. |
© 2023 by the authors. Licensee MDPI, Basel, Switzerland. This article is an open access article distributed under the terms and conditions of the Creative Commons Attribution (CC BY) license (https://creativecommons.org/licenses/by/4.0/).
Share and Cite
Kaur, P.; Stier, I.K.; Bagchi, S.; Pol, V.G.; Bhondekar, A.P. Impedimetric Early Sensing of Volatile Organic Compounds Released from Li-Ion Batteries at Elevated Temperatures. Batteries 2023, 9, 562. https://doi.org/10.3390/batteries9120562
Kaur P, Stier IK, Bagchi S, Pol VG, Bhondekar AP. Impedimetric Early Sensing of Volatile Organic Compounds Released from Li-Ion Batteries at Elevated Temperatures. Batteries. 2023; 9(12):562. https://doi.org/10.3390/batteries9120562
Chicago/Turabian StyleKaur, Palwinder, Isaac K. Stier, Sudeshna Bagchi, Vilas G. Pol, and Amol P. Bhondekar. 2023. "Impedimetric Early Sensing of Volatile Organic Compounds Released from Li-Ion Batteries at Elevated Temperatures" Batteries 9, no. 12: 562. https://doi.org/10.3390/batteries9120562
APA StyleKaur, P., Stier, I. K., Bagchi, S., Pol, V. G., & Bhondekar, A. P. (2023). Impedimetric Early Sensing of Volatile Organic Compounds Released from Li-Ion Batteries at Elevated Temperatures. Batteries, 9(12), 562. https://doi.org/10.3390/batteries9120562

