Effect of Sample Interval on the Parameter Identification Results of RC Equivalent Circuit Models of Li-ion Battery: An Investigation Based on HPPC Test Data
Abstract
1. Introduction
2. Experiment Setup and Test Procedure
3. Test Data Analysis Method
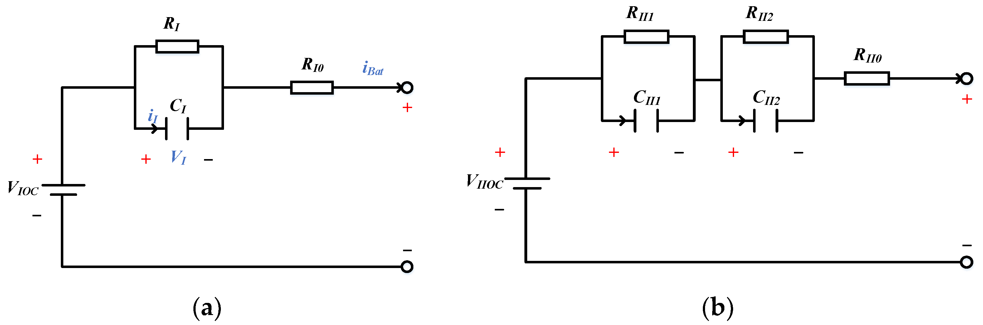
3.1. Electric Circuit Model
3.2. Parameter Identification
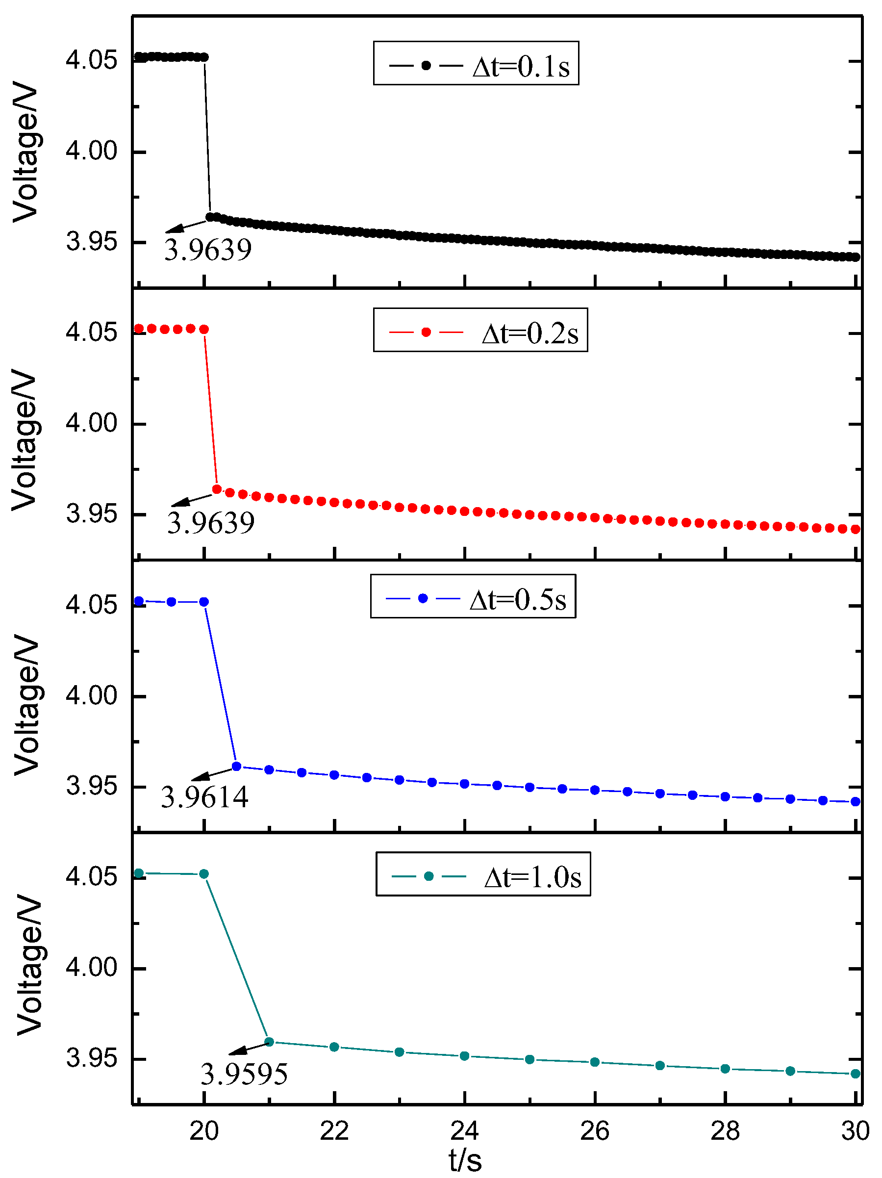
3.3. Handling of Data Sample
4. Results
4.1. Validity Assessment
4.1.1. Goodness of Fit
4.1.2. Root Mean Square Error
4.2. Parameters Identification Results
4.2.1. Open-Circuit Voltage Values
4.2.2. Resistance and capacitance values of 1-RC circuit model
4.2.3. Resistance and Capacitance Values of 2-RC Circuit Model
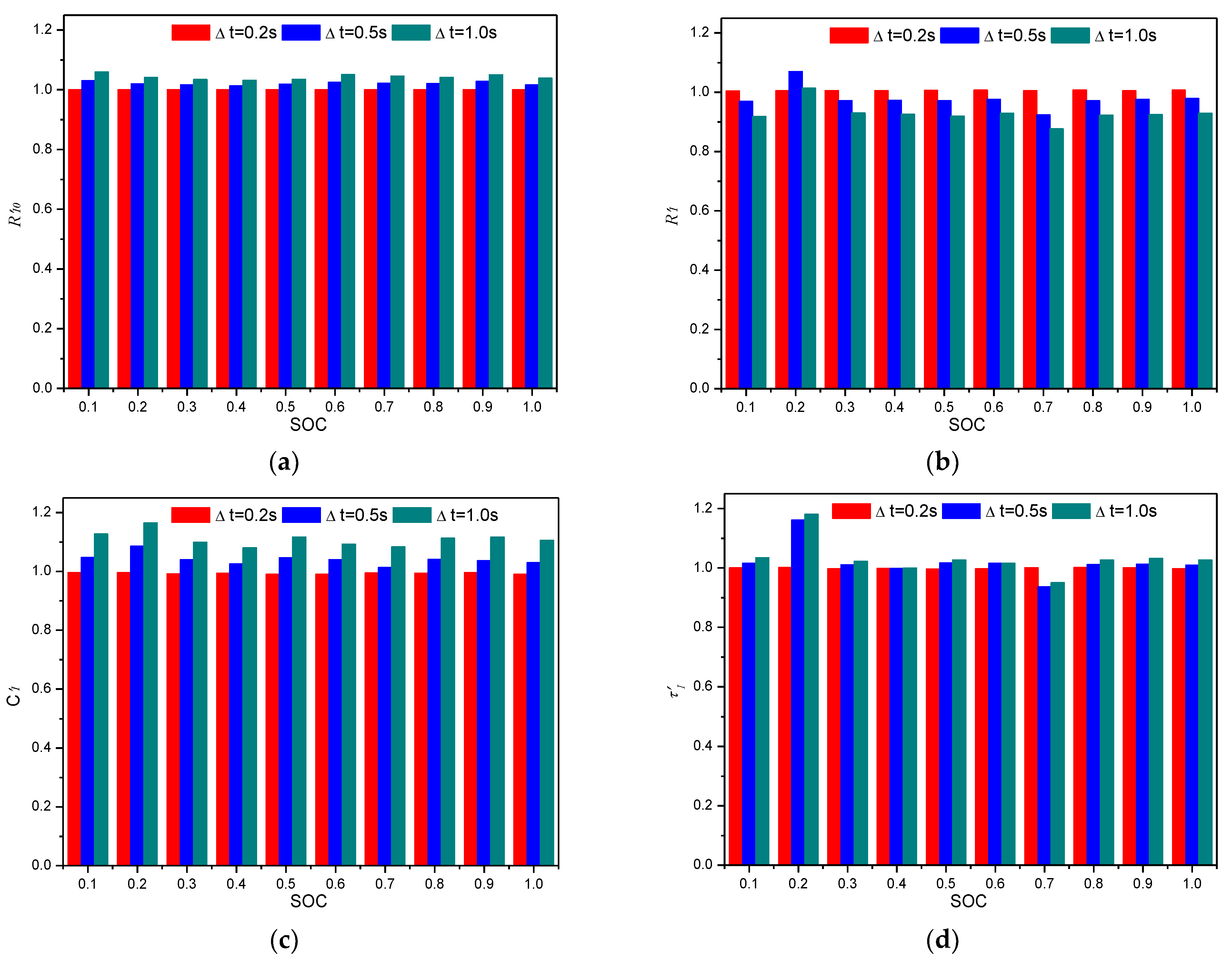
4.3. Non-Dimensional Parameters
5. Discussion
6. Conclusions and Future Work
- Both the 1-RC circuit model and the 2-RC circuit model have fitting accuracy that is adequate for sample intervals of small duration, such as Δt = 0.1 s or Δt = 0.2 s. The 1-RC circuit model still exhibits a pleasing imitative effect when the sample interval Δt is greater than 0.5 s, while the fitted validity of the 2-RC circuit model suffers noticeably.
- The 2-RC circuit model’s resilience decreases as a result of the fitted flaw, which mostly focuses on the parameters of resistances and capacitances of the RC branches.
- A preliminary investigation shows that the calculation of resistance outside the RC branch, which depends on the capture of abrupt voltage changes at the start and end time points of the discharge pulse, is closely related to the effect of sample interval on parameter identification findings.
- High-order models can offer more reference data about the LIB’s internal performance, but when choosing an equivalent circuit model type for real-world applications, it is important to take into account a variety of factors, such as the facility’s conditions and the precision and robustness of parameter identification.
- Include the impact of ambient temperature, SOH, and LIB discharge time in the expanded range of data samples [33];
- Examine the impact rule in the context of various data fitting algorithms, particularly those new, improved algorithms that have been put forth recently [34];
- Characterize the impedance characteristics of the LIB [35] to provide a more thorough explanation of the influence mechanism of the sample interval.
Author Contributions
Funding
Data Availability Statement
Conflicts of Interest
References
- Arsalis, A.; Papanastasiou, P.; Georghiou, G.E. A comparative review of lithium-ion battery and regenerative hydrogen fuel cell technologies for integration with photovoltaic applications. Renew. Energy 2022, 191, 943–960. [Google Scholar] [CrossRef]
- Ghaeminezhad, N.; Monfared, M. Charging control strategies for lithium-ion battery packs: Review and recent developments. IET Power Electron. 2021, 15, 349–367. [Google Scholar] [CrossRef]
- Chang, C.; Wu, Y.T.; Jiang, J.C. Prognostics of the state of health for lithium-ion battery packs in energy storage applications. Energy 2022, 239, 122189. [Google Scholar] [CrossRef]
- Hou, J.; Li, T.; Zhou, F.; Zhao, D.; Zhong, Y.; Yao, L.; Zeng, L. A Review of Critical State Joint Estimation Methods of Lithium-Ion Batteries in Electric Vehicles. World Electr. Veh. J. 2022, 13, 159. [Google Scholar] [CrossRef]
- Newman, J.; Tiedemann, W. Porous-electrode theory with battery applications. Aiche J. 1975, 21, 25–41. [Google Scholar] [CrossRef]
- Srinivasan, V.; Newman, J. Discharge model for the lithium iron-phosphate electrode. J. Electrochem. Soc. 2004, 151, 1517–1529. [Google Scholar] [CrossRef]
- Kleiner, J. Real-time core temperature prediction of prismatic automotive lithium-ion battery cells based on artificial neural networks. J. Energy Storage 2021, 39, 102588. [Google Scholar] [CrossRef]
- Li, Y.D.; Wang, W.W.; Lin, C. Safety modeling and protection for lithium-ion batteries based on artificial neural networks method under mechanical abuse. Sci. China 2021, 64, 2373–2388. [Google Scholar] [CrossRef]
- Bampoulas, A.; Pallonetto, F.; Mangina, E. An ensemble learning-based framework for assessing the energy flexibility of esidential buildings with multicomponent energy systems. Appl. Energy 2022, 35, 118947. [Google Scholar] [CrossRef]
- Li, Q.; Miao, S.; Liu, S.A. Joint State Estimation Framework for Lithium-ion Batteries based on Hybrid Method. J. Phys. 2022, 2276, 012023. [Google Scholar] [CrossRef]
- Surya, S.; Williamson, S. Novel Technique for Estimation of Cell Parameters Using MATLAB/Simulink. Electronics 2021, 11, 117. [Google Scholar] [CrossRef]
- Lai, X.; Jin, C.; Yi, W. Mechanism, modeling, detection, and prevention of the internal short circuit in lithium-ion batteries: Recent advances and perspectives. Energy Storage Mater. 2021, 35, 470–499. [Google Scholar] [CrossRef]
- Zhao, T.; Zheng, Y.; Liu, J.; Zhou, X. A study on half-cell equivalent circuit model of lithium-ion battery based on reference electrode. nt. J. Energy Res. 2021, 45, 4155–4169. [Google Scholar] [CrossRef]
- Elvira, D.G.; Machado, R.; Plett, G.L. Simplified Li Ion Cell Model for BMS Coupling an Equivalent Circuit Dynamic Model with a Zero Dimensional Physics Based SEI Model. J. Electrochem. Soc. 2021, 168, 110526. [Google Scholar] [CrossRef]
- Zang, W.; Wang, F.; Li, Z. Battery State Estimation based on Dual Extended Kalman Filtering with Fixed Step. J. Phys. 2022, 2200, 012023. [Google Scholar] [CrossRef]
- Rezaei, O.; Habibifar, R.; Wang, Z. A Robust Kalman Filter-Based Approach for SoC Estimation of Lithium-Ion Batteries in Smart Homes. Energies 2022, 15, 3768. [Google Scholar] [CrossRef]
- Gandoman, F.H.; Joris, J.; Shovon, G. Concept of reliability and safety assessment of lithium-ion batteries in electric vehicles: Basics, progress, and challenges. Appl. Energy 2019, 251, 113343. [Google Scholar] [CrossRef]
- Rahmoun, A.; Biechl, H. Modelling of Li-ion batteries using equivalent circuit diagrams. Przegl. Elektrotech. 2012, 88, 152–156. [Google Scholar]
- Yu, Z.; Xiao, L.; Li, H. Model Parameter Identification for Lithium Batteries Using the Coevolutionary Particle Swarm Optimization Method. IRE Trans. Ind. Electron. 2017, 64, 5690–5700. [Google Scholar] [CrossRef]
- Mehmood, A.; Chaudhary, N.I.; Zameer, A. Novel computing paradigms for parameter estimation in Hammerstein controlled auto regressive auto regressive moving average systems. Appl. Soft Comput. 2019, 80, 263–284. [Google Scholar] [CrossRef]
- Idaho National Engineering&Environmental Laboratory. FreedomCAR Battery Test Manual for Power Assist Hybrid Electric Vehicles; Idaho Operations Office: St Idaho Falls, ID, USA, 2003.
- Cheung, G.W.; Rensvold, R.B. Evaluating goodness-of-fit indexes for testing MI. Struct. Equ. Model. 2002, 9, 235–255. [Google Scholar] [CrossRef]
- Li, D.; Wang, L.; Duan, C. Temperature prediction of lithium-ion batteries based on electrochemical impedance spectrum: A review. Int. J. Energy Res. 2022, 46, 10372–10388. [Google Scholar] [CrossRef]
- Gao, Y.; Liu, C.; Chen, S. Development and parameterization of a control-oriented electrochemical model of lithium-ion batteries for battery-management-systems applications. Appl. Energy 2022, 309, 118521. [Google Scholar] [CrossRef]
- Oehler, F.F.; Nürnberger, K.; Sturm, J. Embedded real-time state observer implementation for lithium-ion cells using an electrochemical model and extended Kalman filter. J. Power Sources 2022, 525, 231018. [Google Scholar] [CrossRef]
- Wang, S.; Takyi, A.P.; Fan, Y. A novel feedback correction-adaptive Kalman filtering method for the whole-life-cycle state of charge and closed-circuit voltage prediction of lithium-ion batteries based on the second-order electrical equivalent circuit model. Int. J. Electr. Power Energy Syst. 2022, 139, 108020. [Google Scholar] [CrossRef]
- Wang, J.; Jia, Y.; Yang, N. Precise equivalent circuit model for Li-ion battery by experimental improvement and parameter optimization. J. Energy Storage 2022, 52, 104980. [Google Scholar] [CrossRef]
- Ates, M.; Chebil, A. Supercapacitor and battery performances of multi-component nanocomposites: Real circuit and equivalent circuit model analysis. J. Energy Storage 2022, 53, 105093. [Google Scholar] [CrossRef]
- Jiaqiang, E.; Zhang, B.; Zeng, Y. Effects analysis on active equalization control of lithium-ion batteries based on intelligent estimation of the state-of-charge. Energy 2022, 238, 121822. [Google Scholar]
- Kesen, F.; Wan, Y.M.; Jiang, B.B. State-of-charge dependent equivalent circuit model identification for batteries using sparse Gaussian process regression. J. Process. Control 2022, 112, 1–11. [Google Scholar]
- Braun, L.; Le, M.; Motz, J. Novel Approach to Ensure Safe Power Supply for Safety-Relevant Consumers. Batteries 2022, 8, 47. [Google Scholar] [CrossRef]
- Barletta, G.; DiPrima, P.; Papurello, D. Thévenin’s Battery Model Parameter Estimation Based on Simulink. Energies 2022, 15, 6207. [Google Scholar] [CrossRef]
- Akkinepally, B.; Reddy, I.; Manjunath, V.; Reddy, M.; Mishra, Y.; Ko, T.; Zaghib, K.; Shim, J. Temperature effect and kinetics, LiZr2(PO4)3 and Li1.2Al0.2Zr1.8(PO4)3 and electrochemical properties for rechargeable ion batteries. Int. J. Energy Res. 2022, 46, 14116–14132. [Google Scholar] [CrossRef]
- Ren, B.; Xie, C.; Sun, X.; Zhang, Q.; Yan, D. Parameter identification of a lithium-ion battery based on the improved recursive least square algorithm. IET Power Electron. 2020, 13, 2531–2537. [Google Scholar] [CrossRef]
- Jiang, B.; Zhu, J.; Wang, X.; Wei, X.; Shang, W.; Dai, H. A comparative study of different features extracted from electrochemical impedance spectroscopy in state of health estimation for lithium-ion batteries. Appl. Energy 2022, 322, 119502. [Google Scholar] [CrossRef]

















| Items | Parameters |
|---|---|
| Three-dimensional size | 240 × 170 × 22 mm |
| Nominal capacity | 70 Ah |
| Nominal voltage | 3.64 V |
| Charge cut-off voltage | 4.2 V |
| Discharge cut-off voltage | 3.2 V |
| Nominal charge current | 1 C |
| Nominal discharge current | 1 C |
| Operation temperature range for charge | 0~40 °C |
| Operation temperature range for discharge | −10~50 °C |
| Time Interval | 1-RC Circuit Model | 2-RC Circuit Model | |||||||
|---|---|---|---|---|---|---|---|---|---|
| SOC | 0.1 s | 0.2 s | 0.5 s | 1.0 s | 0.1 s | 0.2 s | 0.5 s | 1.0 s | |
| 0.1 | 0.9975 | 0.9976 | 0.9992 | 0.9995 | 0.9998 | 0.9998 | 0.9996 | 0.9992 | |
| 0.2 | 0.9993 | 0.9993 | 0.9998 | 0.9997 | 0.9999 | 0.9999 | 0.9999 | 0.9995 | |
| 0.3 | 0.9995 | 0.9995 | 0.9998 | 0.9997 | 0.9999 | 0.9999 | 0.9999 | 0.9995 | |
| 0.4 | 0.9997 | 0.9997 | 0.9999 | 0.9997 | 0.9999 | 0.9999 | 0.9657 | 0.9516 | |
| 0.5 | 0.9996 | 0.9996 | 0.9999 | 0.9997 | 0.9999 | 0.9999 | 0.9998 | 0.9996 | |
| 0.6 | 0.9989 | 0.9989 | 0.9997 | 0.9995 | 0.9998 | 0.9998 | 0.9995 | 0.9607 | |
| 0.7 | 0.9991 | 0.9991 | 0.9997 | 0.9995 | 0.9999 | 0.9999 | 0.9994 | 0.9705 | |
| 0.8 | 0.9993 | 0.9993 | 0.9997 | 0.9996 | 0.9999 | 0.9999 | 0.9994 | 0.9992 | |
| 0.9 | 0.9990 | 0.9990 | 0.9998 | 0.9995 | 0.9999 | 0.9999 | 0.9992 | 0.9986 | |
| 1 | 0.9995 | 0.9995 | 0.9998 | 0.9996 | 0.9999 | 0.9999 | 0.9998 | 0.9993 | |
Disclaimer/Publisher’s Note: The statements, opinions and data contained in all publications are solely those of the individual author(s) and contributor(s) and not of MDPI and/or the editor(s). MDPI and/or the editor(s) disclaim responsibility for any injury to people or property resulting from any ideas, methods, instructions or products referred to in the content. |
© 2022 by the authors. Licensee MDPI, Basel, Switzerland. This article is an open access article distributed under the terms and conditions of the Creative Commons Attribution (CC BY) license (https://creativecommons.org/licenses/by/4.0/).
Share and Cite
Zhang, H.; Deng, C.; Zong, Y.; Zuo, Q.; Guo, H.; Song, S.; Jiang, L. Effect of Sample Interval on the Parameter Identification Results of RC Equivalent Circuit Models of Li-ion Battery: An Investigation Based on HPPC Test Data. Batteries 2023, 9, 1. https://doi.org/10.3390/batteries9010001
Zhang H, Deng C, Zong Y, Zuo Q, Guo H, Song S, Jiang L. Effect of Sample Interval on the Parameter Identification Results of RC Equivalent Circuit Models of Li-ion Battery: An Investigation Based on HPPC Test Data. Batteries. 2023; 9(1):1. https://doi.org/10.3390/batteries9010001
Chicago/Turabian StyleZhang, Hehui, Chang Deng, Yutong Zong, Qingsong Zuo, Haipeng Guo, Shuai Song, and Liangxing Jiang. 2023. "Effect of Sample Interval on the Parameter Identification Results of RC Equivalent Circuit Models of Li-ion Battery: An Investigation Based on HPPC Test Data" Batteries 9, no. 1: 1. https://doi.org/10.3390/batteries9010001
APA StyleZhang, H., Deng, C., Zong, Y., Zuo, Q., Guo, H., Song, S., & Jiang, L. (2023). Effect of Sample Interval on the Parameter Identification Results of RC Equivalent Circuit Models of Li-ion Battery: An Investigation Based on HPPC Test Data. Batteries, 9(1), 1. https://doi.org/10.3390/batteries9010001
