Experimental Analysis of Thermal Runaway in 18650 Cylindrical Li-Ion Cells Using an Accelerating Rate Calorimeter
Abstract
:1. Introduction
- (1)
- At T > T1, the solid-electrolyte interface (SEI) decomposes in an exothermic reaction;
- (2)
- At T > T2, an exothermic reaction between the intercalated Li-ions and the electrolyte starts;
- (3)
- At T > T3, an exothermic reaction between the positive material and the electrolyte takes place with the evolution of oxygen inside the cell;
- (4)
- At T > T4, the electrolyte decomposes.
2. Experimental
2.1. First Method (Only Temperature Measurement OT)
2.2. Second Method(External Pressure Measurement EP)
2.3. Third Method (Internal Pressure Measurement IP)
- (1)
- The hollow is big enough for inserting a 1/16-inch diameter capillary.
- (2)
- Inside the battery, the hollow section is located exactly in the center; nothing will be damaged when drilling a hole through the anode tab welding.
2.4. Fourth Method (Ramp Heating Method (Hotbox Test))
2.5. Cells Preparation
3. Results and Discussion
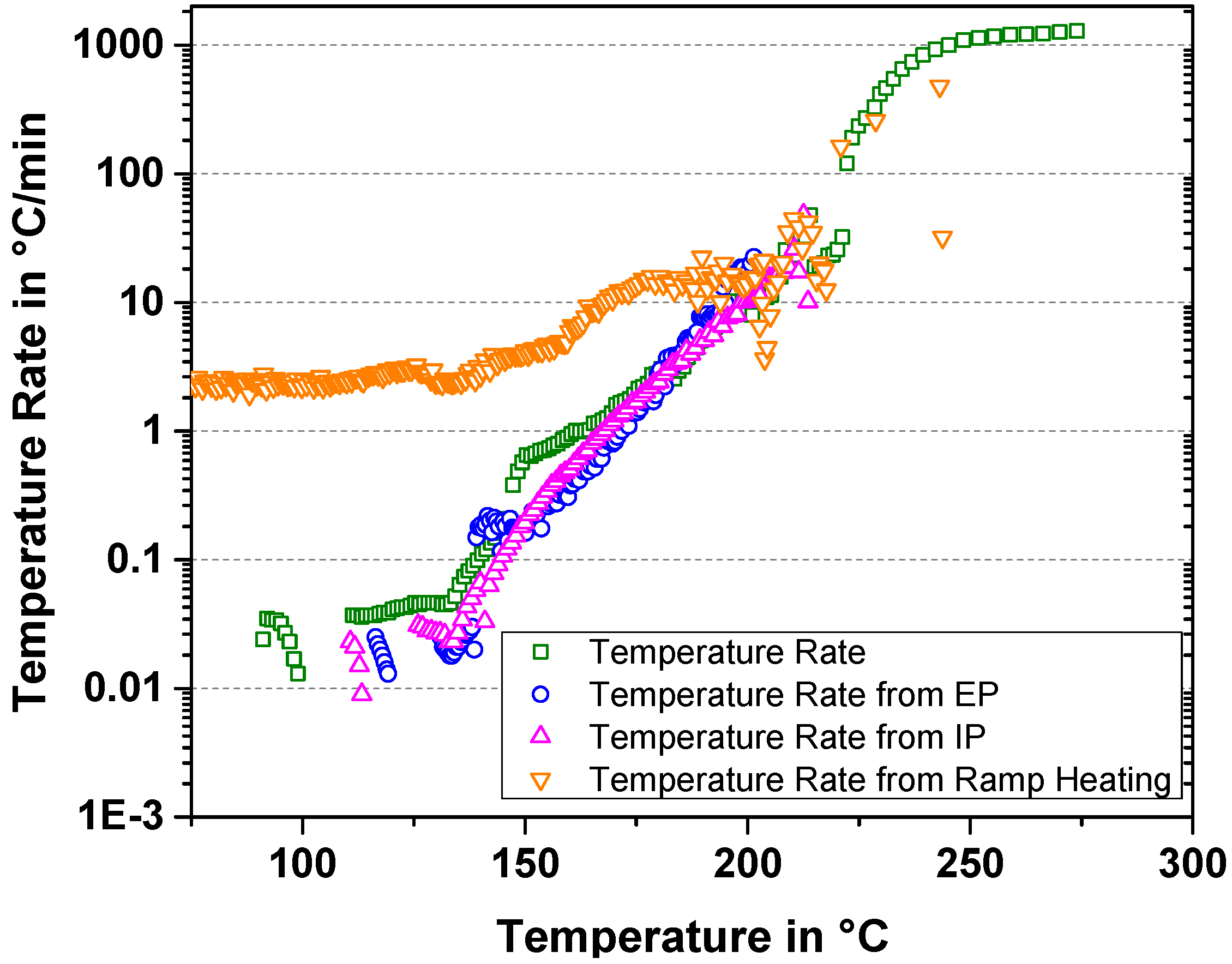
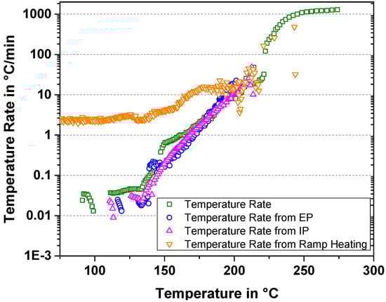
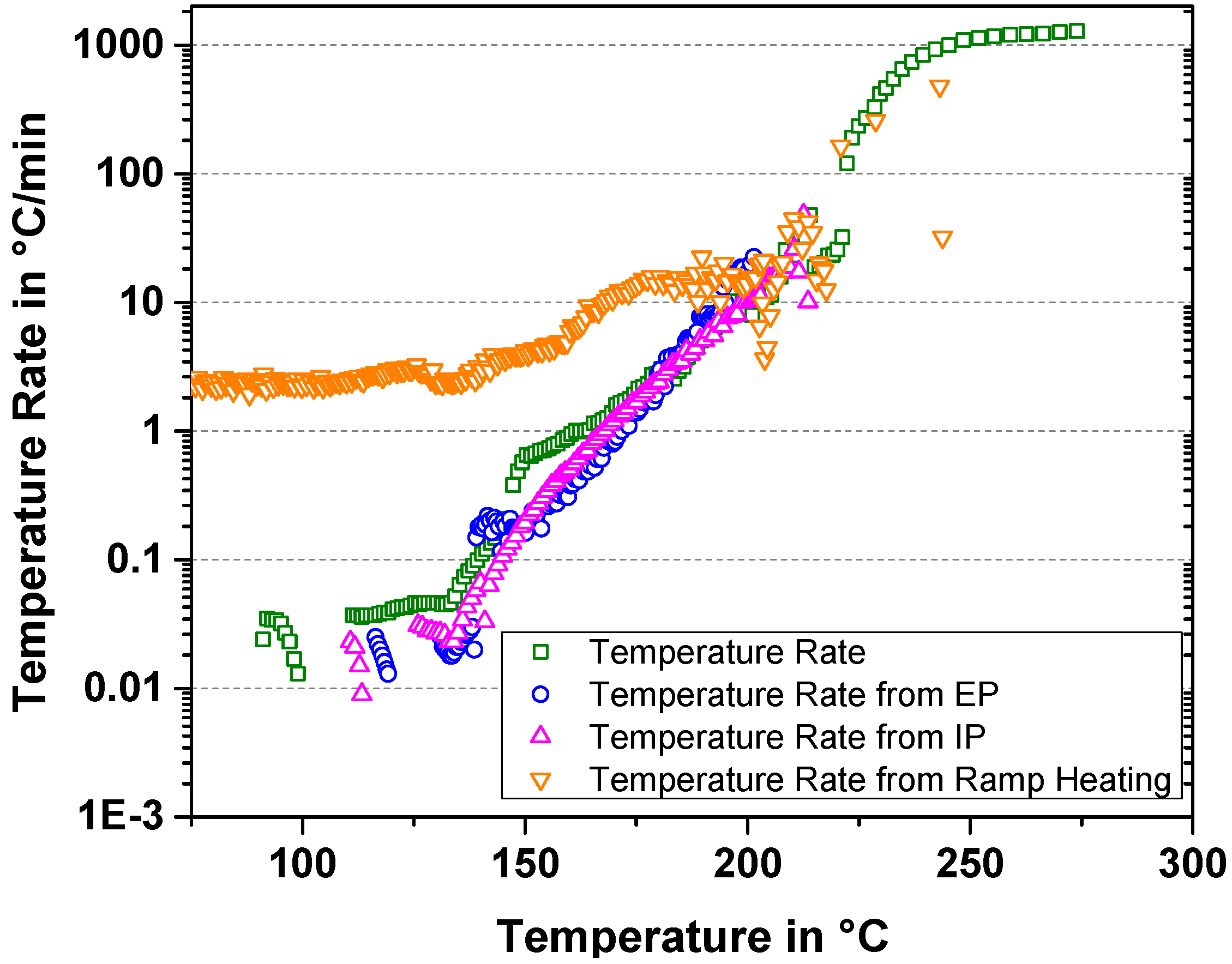
3.1. Results for 18650 Cells with LiMn2O4 Cathode by Using Different Methods
- (1)
- At about 90 °C, the SEI decomposed.
- (2)
- At about 110 °C, an exothermic reaction between the embedded Lithium ions and electrolyte started, which resulted in the reduction of the electrolyte at the negative electrode.
- (3)
- At about 200 °C, an exothermic reaction between the active material and electrolyte at the positive electrode took place.
3.2. Results for 18650 Cells with Different Cathode Materials
4. Conclusions
Acknowledgments
Author Contributions
Conflicts of Interest
References
- Roth, E.P.; Doughty, D.H. Thermal abuse performance of high-power 18650 Li-ion cells. J. Power Sources 2004, 128, 308–318. [Google Scholar] [CrossRef]
- Spotnitz, R.; Franklin, J. Abuse behavior of high-power, lithium-ion cells. J. Power Sources 2003, 113, 81–100. [Google Scholar] [CrossRef]
- Abraham, D.P.; Roth, E.P.; Kostecki, R.; McCarthy, K.; MacLaren, S.; Doughty, D.H. Diagnostic examination of thermally abused high-power lithium-ion cells. J. Power Sources 2006, 161, 648–657. [Google Scholar] [CrossRef]
- Jhu, C.Y.; Wang, Y.W.; Wen, C.Y.; Shu, C.M. Thermal runaway potential of LiCoO2 and Li(Ni1/3Co1/3Mn1/3)O2 batteries determined with adiabatic calorimetry methodology. Appl. Energy 2012, 100, 127–131. [Google Scholar] [CrossRef]
- Jhu, C.Y.; Wang, Y.W.; Shu, C.M.; Chang, J.C.; Wu, H.C. Thermal explosion hazards on 18650 lithium ion batteries with a VSP2 adiabatic calorimeter. J. Hazard. Mater. 2011, 192, 99–107. [Google Scholar] [CrossRef] [PubMed]
- Chen, W.C.; Wang, Y.W.; Shu, C.M. Adiabatic calorimetry test of the reaction kinetics and self-heating model for 18650 Li-ion cells in various states of charge. J. Power Sources 2016, 318, 200–209. [Google Scholar] [CrossRef]
- Lu, T.; Chiang, C.; Wu, S.; Chen, K.; Lin, S.; Wen, C.; Shu, C. Thermal hazard evaluations of 18650 lithium-ion batteries by an adiabatic calorimeter. J Therm. Anal. Calorim. 2013, 114, 1083–1088. [Google Scholar] [CrossRef]
- Fleischhammer, M.; Waldmann, T.; Bisle, G.; Hogg, B.I. Wohlfahrt-Mehrens, M. Interaction of cyclic ageing at high-rate and low temperatures and safety in lithium-ion batteries. J. Power Sources 2015, 274, 432–439. [Google Scholar] [CrossRef]
- Mendoza-Hernandez, O.; Ishikawa, H.; Nishikawa, Y.; Maruyama, Y.; Umeda, M. Cathode material comparison of thermal runaway behavior of Li-ion cells at different state of charges including over charge. J. Power Sources 2105, 280, 499–504. [Google Scholar] [CrossRef]
- Orendorff, C.; Lamb, J.; Steele, L.A.; Spangler, S.W.; Langendorf, J. Quantification of Lithium-Ion Cell Thermal Runaway Energetics; SAND2016-0486; Sandia National Laboratories: Albuquerque, NM, USA, 2016. [Google Scholar]
- Selman, J.R.; Hallaj, S.A.; Uchida, I.; Hirano, Y. Cooperative research on safety fundamentals of lithium batteries. J. Power Sources 2001, 726, 97–98. [Google Scholar] [CrossRef]
- Golubkov, A.W.; Fuchs, D.; Wagner, J.; Wiltsche, H.; Stangl, C.; Fauler, G.; Voitic, G.; Thaler, A.; Hacker, V. Thermal-runaway experiments on consumer Li-ion batteries with metal-oxide and olivin-type cathodes. J. RSC Adv. 2014, 4, 3633–3642. [Google Scholar] [CrossRef]
- Gulbinska, M.K. Lithium-ion Battery Materials and Engineering; Springer: London, UK, 2014; p. 3. [Google Scholar]
- Schuster, E.; Ziebert, C.; Melcher, A.; Rohde, M.; Seifert, H.J. Thermal behavior and electrochemical heat generation in a commercial 40 Ah lithium ion pouch cell. J. Power Sources 2015, 286, 580–589. [Google Scholar] [CrossRef]
- Xiang, H.F.; Wang, H.; Chen, C.H.; Ge, X.W.; Guo, S.; Sun, J.H.; Hu, W.Q. Thermal stability of LiPF6-based electrolyte and effect of contact with various delithiated cathodes of Li-ion batteries. J. Power Sources 2009, 191, 575–581. [Google Scholar] [CrossRef]
- Melcher, A.; Ziebert, C.; Rohde, M.; Seifert, H.J. Modeling and simulation of the thermal runaway behavior of cylindrical Li-ion cells—Computing of critical parameters. Energies 2016, 9, 292. [Google Scholar] [CrossRef]
- Newman, J.; Tiedemann, W. Temperature rise in a battery module with constant heat generation. J. Electrochem. Soc. 1995, 142, 1054–1057. [Google Scholar] [CrossRef]












| Author | Cell Type | Calorimeter Type | SOC in % or Voltage in V | Onset Temperature of Self-Heating in °C | Maximum Temperature Tmax in °C | Heat of Reaction ∆H in kJ | TVent in °C | Maximum pressure Pmax in Bar | ||||
|---|---|---|---|---|---|---|---|---|---|---|---|---|
| Manufacturer/Name | Capacity in Ah | Dimensions | Weight in g | Materials (Cathode/Anode) | ||||||||
| Abraham [3] | Quallion LLC, Sylmar, CA, USA/- | 1 | Cylindrical 18650 | - | NCA/graphite | ARC | 100 | 84 | - | - | 124 | - |
| Jhu [4] | - | 2.6 | Cylindrical 18650 | 44.9 | LCO/- | VSP2 | 100 | 131.5 | 708.8 | 18.9 | - | 18.6 |
| - | 2 | Cylindrical 18650 | 41.7 | NMC/- | 100 | 175.4 | 665.6 | 14.9 | - | 11.3 | ||
| Jhu [5] | Sanyo Electric Co. Ltd., Osaka, Japan/UR18650F | 2.6 | Cylindrical 18650 | 45.5 | LCO/- | VSP2 | 4.2 | 131.3 | 708.7 | 19.2 | - | 13.5 |
| 3.7 | 172.8 | 402.6 | 7.7 | 3.6 | ||||||||
| Sony Energy Devices Corporation, Fukushima, Japan/SE US18650GR | 44.5 | 4.2 | 125.2 | 654.3 | 17.9 | - | 24.5 | |||||
| 3.7 | 154.8 | 517.2 | 12.3 | 3.1 | ||||||||
| Samsung SDI Co Ltd, Yongin, Korea/ICR 18650-26D | 44.8 | 4.2 | 116.5 | 683.2 | 18.6 | - | 18.1 | |||||
| 3.7 | 152.8 | 454.8 | 10.2 | 4.0 | ||||||||
| LG Chem Ltd, Seoul, Korea/LGDB218650 | 46.5 | 4.2 | 142.5 | 691.9 | 18.4 | - | 15.8 | |||||
| 3.7 | 168.0 | 407.1 | 8.0 | 3.3 | ||||||||
| Chen [6] | Sony Energy Device, s. Jhu [5]/SE US18650GR | 2.6 | Cylindrical 18650 | 46.5 | LCO/graphite | VSP2 | 0 | - | - | - | 200 | - |
| 30 | 175 | 241 | 2.5 | 175 | 2.9 | |||||||
| 50 | 174 | 441 | 10.2 | 175 | 4.0 | |||||||
| 80 | 140 | 638 | 19.0 | 175 | 5.9 | |||||||
| 100 | 122 | 660 | 20.6 | 160 | 16 | |||||||
| Lu [7] | - | Cylindrical 18650 | 38.15 | LFP/- | VSP2 | 3.3 | 200.5 | 217.75 | 0.47 | - | 17.2 | |
| 32.84 | 3.6 | 199.94 | 243.23 | 1.02 | 17.89 | |||||||
| 44.8 | LCO/- | 3.7 | 160.45 | 280.10 | 3.91 | 34.34 | ||||||
| 44.89 | 4.2 | 130.54 | 370.03 | 7.85 | 116.44 | |||||||
| Fleisch- hammer [8] | - | 1.5 | Cylindrical 18650 | - | NCM/LMO | ARC | Un-aged | 97.9 | - | - | - | - |
| carbon/graphite | High-rate aged | 80.5 | ||||||||||
| Low temp. aged | 42.1 | |||||||||||
| Mendoza- Hernandez [9] | - | 0.8 | Cylindrical 18650 | - | LCO/graphite | ARC | 0 | 165.3 | - | - | - | - |
| 25 | 159.8 | |||||||||||
| 50 | 155.1 | |||||||||||
| 75 | 140.1 | |||||||||||
| 100 | 124.9 | |||||||||||
| 120 | 116.5 | |||||||||||
| - | 0.72 | Cylindrical 18650 | - | LMO/graphite | 0 | - | - | - | - | - | ||
| 25 | 109.9 | |||||||||||
| 50 | 104.9 | |||||||||||
| 75 | 104.9 | |||||||||||
| 100 | 104.9 | |||||||||||
| 120 | 99.8 | |||||||||||
| Orendorff [10] | - | 2.6 | Cylindrical | - | LFP | ARC BTPV | - | 175 | - | 19.4 | - | 0.16 |
| 3.4 | NCA | 160 | 31.1 | 0.45 | ||||||||
| 20 | LFP | 235 | 150 | 1.3 | ||||||||
| 27 | NCA | 110 | 254 | 4.1 | ||||||||
| 30 | LFP | 250 | 272 | - | ||||||||
| 38 | LFP | 233-246 | 289 | 1.8 | ||||||||
| Selman [11] | Sony Energy Device, s. Jhu [5]/US18650 | Cylindrical 18650 | - | LCO/ | ARC | 2.8 | 144 | - | - | - | - | |
| carbon | 4.06 | 104 | ||||||||||
| This work | - | 1.65 | Cylindrical 18650 | 43.4 | LMO | ARC | 100 | 91 | 303 | 7.8 | - | |
| 1.1 | 39.7 | LFP | 90 | 259 | 7.3 | |||||||
| 2.2 | 41.7 | NMC | 91 | 731 | 24.9 | |||||||
| Cathode Material | LiMn2O4 | LiFePO4 | Li(Ni0.33Mn0.33Co0.33)O2 |
|---|---|---|---|
| Umin–Umax in V | 2.5–4.2 | 2.0–3.6 | 2.75–4.2 |
| Nominal capacity in mAh | 1650 | 1100 | 2200 |
| Cycle life | 1000 | >1000 | >300 |
| Weight in g | 43.4 | 39.7 | 41.7 |
| Operating temperature in °C | −20–60 | −30–60 | −20–60 |
| Cathode Material | LiMn2O4 | LiFePO4 | Li(Ni0.33Mn0.33Co0.33)O2 |
|---|---|---|---|
| Onset temperature of self-heating in °C | 91 | 90 | 91 |
| Tmax in °C | 581 | 259 | 731 |
| (dT/dt)max in °C/min | 1285 | 3 | 7577 |
| cp at 60 °C SOC 100 in J/g·K | 0.83 | 1.19 | 0.95 |
| Ea in eV | 1.24 | 0.56 | 1.37 |
| Reaction heat in J/g | 391 | 184 | 597 |
| Reaction heat in J/g | 350–640 [2,15] | 260 [15] | 600 [15] |
© 2017 by the authors. Licensee MDPI, Basel, Switzerland. This article is an open access article distributed under the terms and conditions of the Creative Commons Attribution (CC BY) license (http://creativecommons.org/licenses/by/4.0/).
Share and Cite
Lei, B.; Zhao, W.; Ziebert, C.; Uhlmann, N.; Rohde, M.; Seifert, H.J. Experimental Analysis of Thermal Runaway in 18650 Cylindrical Li-Ion Cells Using an Accelerating Rate Calorimeter. Batteries 2017, 3, 14. https://doi.org/10.3390/batteries3020014
Lei B, Zhao W, Ziebert C, Uhlmann N, Rohde M, Seifert HJ. Experimental Analysis of Thermal Runaway in 18650 Cylindrical Li-Ion Cells Using an Accelerating Rate Calorimeter. Batteries. 2017; 3(2):14. https://doi.org/10.3390/batteries3020014
Chicago/Turabian StyleLei, Boxia, Wenjiao Zhao, Carlos Ziebert, Nils Uhlmann, Magnus Rohde, and Hans Jürgen Seifert. 2017. "Experimental Analysis of Thermal Runaway in 18650 Cylindrical Li-Ion Cells Using an Accelerating Rate Calorimeter" Batteries 3, no. 2: 14. https://doi.org/10.3390/batteries3020014
APA StyleLei, B., Zhao, W., Ziebert, C., Uhlmann, N., Rohde, M., & Seifert, H. J. (2017). Experimental Analysis of Thermal Runaway in 18650 Cylindrical Li-Ion Cells Using an Accelerating Rate Calorimeter. Batteries, 3(2), 14. https://doi.org/10.3390/batteries3020014

