Domain Generalization Using Maximum Mean Discrepancy Loss for Remaining Useful Life Prediction of Lithium-Ion Batteries
Abstract
1. Introduction
| Algorithm | Advantages | Challenges |
|---|---|---|
| Physical model [12] | Detailed aging mechanisms under different operating conditions are considered | Difficult parameterization, increasing parameter size and decreasing accuracy under complicated aging patterns [22,32] |
| Empirical model [13,14,16] | Consider various aging factors through curve fitting ignoring detailed degradation mechanisms | |
| Iterative data-driven model [24] | Use aging history data for degradation prediction under various working conditions | Accumulating prediction error during iterations [23] |
| Single-shot data-driven model [17] | Increasing deviation for long sequence prediction with early aging data [23] |
- (1)
- An incremental aging cycle sequence with fixed length is proposed as the input of the time series RUL prediction model. In this way, the RUL problem is transformed from a variable-length time series forecasting problem to a constant-length time series forecasting problem.
- (2)
- The original dataset is split into source domain and target domain through clustering based on the Euclidean distance metric. The split data within the same category show excellent homogeneity.
- (3)
- An autoencoder embedded with MMD loss is implemented for domain generalization to improve the adaptability of RUL prediction for batteries with divergent lifespans aged under various degradation impacts considering C-rate, DoD, temperature and storage SOC.
2. Methods
2.1. Data Pre-Processing
2.2. Extracting Aging Cycle Sequence
2.3. Domain Adaption in Autoencoder Framework
2.4. RUL Prediction in Encoder–Decoder Framework
3. Results and Discussion
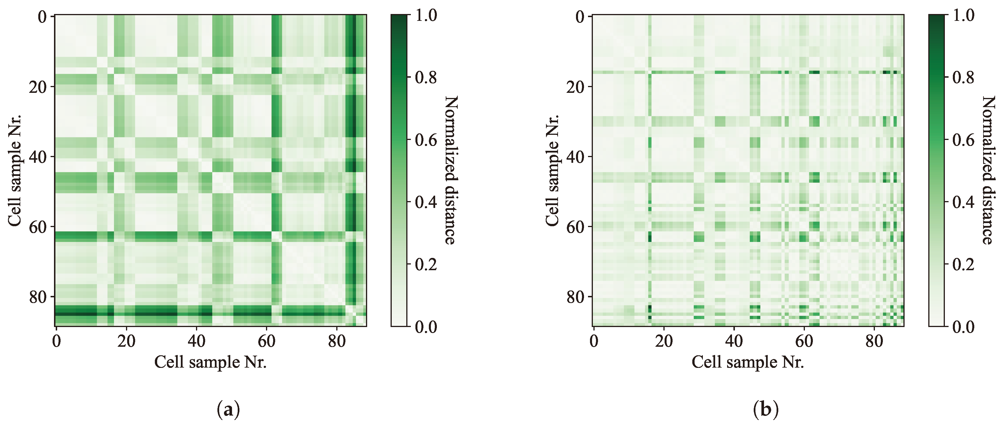
3.1. Classification of Different Aging Patterns
3.2. RUL Prediction Using Domain Adaption
4. Conclusions
- (1)
- The incremental aging cycle sequence is used as the input and output. Therefore, the Euclidean distance metric can be used to compare the similarity of degradation curves. According to the clustering results using DBSCAN and k-means algorithms, the Euclidean metric-based clustering using an incremental aging cycle sequence shows more homogenies of aging patterns within the same cluster than the DTW metric-based case using capacity fading curves.
- (2)
- The MMD is used as the extra loss term of encoder feature presentation for TL. The model with MMD loss shows better generalization to batteries with different lifespans with an R2 score of 0.982 than the one without MMD loss. Additionally, more densely distributed feature presentation can be observed in the MDS reconstruction figure for the model using MMD during training, indicating more homogeneous feature extraction and better generalization.
- (3)
- The proposed single-shot framework model 5% aging data and shows RUL prediction with an RE between 7% and 11% for batteries with different life cycles between 80 and 3000 ECN. In comparison to the single-shot model without MMD and the iterative prediction model, the absolute deviation reduces by 250 and 650 ECNs and the RE reduces by 19%, from 29.7% to 10.4%.
Author Contributions
Funding
Data Availability Statement
Conflicts of Interest
Abbreviations
| Coefficient of Determination | |
| BOL | Beginning of Life |
| CC | Constant Current |
| DBSCAN | Density-Based Spatial Clustering of Applications with Noise |
| DOD | Depth of Discharge |
| DTW | Dynamic Time Wrapping |
| DWT | Discrete Wavelet Transform |
| ECN | Equivalent Cycle Number |
| EOL | End of Life |
| FT | Fine-Tuning |
| ICA | Incremental Capacity Analysis |
| LIB | Lithium-Ion Battery |
| LSTM | Long Short-Term Memory |
| MDS | Multi-Dimension Scaling |
| MMD | Maximum Mean Discrepancy |
| MSE | Mean Squared Error |
| NMC | Nickel Manganese Cobalt |
| RE | Relative Error |
| RUL | Remaining Useful Life |
| SEI | Solid Electrolyte Interface |
| SOC | State of Charge |
| SOH | State of Charge |
| TL | Transfer Learning |
References
- Hannan, M.A.; Hoque, M.M.; Hussain, A.; Yusof, Y.; Ker, P.J. State-of-the-Art and Energy Management System of Lithium-Ion Batteries in Electric Vehicle Applications: Issues and Recommendations. IEEE Access 2018, 6, 19362–19378. [Google Scholar] [CrossRef]
- Afshari, S.S.; Cui, S.; Xu, X.; Liang, X. Remaining Useful Life Early Prediction of Batteries Based on the Differential Voltage and Differential Capacity Curves. IEEE Trans. Instrum. Meas. 2022, 71, 6500709. [Google Scholar] [CrossRef]
- Joshi, B.; Samuel, E.; Kim, Y.I.; Lee, H.S.; Swihart, M.T.; Yoon, S.S. Exploring the potential of MIL-derived nanocomposites to enhance performance of lithium-ion batteries. Chem. Eng. J. 2023, 461, 141961. [Google Scholar] [CrossRef]
- Joshi, B.; Samuel, E.; il Kim, Y.; Yarin, A.L.; Swihart, M.T.; Yoon, S.S. Progress and potential of electrospinning-derived substrate-free and binder-free lithium-ion battery electrodes. Chem. Eng. J. 2022, 430, 132876. [Google Scholar] [CrossRef]
- Christensen, J.; Newman, J. Cyclable Lithium and Capacity Loss in Li-Ion Cells. J. Electrochem. Soc. 2005, 152, A818–A829. [Google Scholar] [CrossRef]
- Birkl, C.R.; Roberts, M.R.; McTurk, E.; Bruce, P.G.; Howey, D.A. Degradation diagnostics for lithium ion cells. J. Power Sources 2017, 341, 373–386. [Google Scholar] [CrossRef]
- Vetter, J.; Novák, P.; Wagner, M.R.; Veit, C.; Möller, K.C.; Besenhard, J.O.; Winter, M.; Wohlfahrt-Mehrens, M.; Vogler, C.; Hammouche, A. Ageing mechanisms in lithium-ion batteries. J. Power Sources 2005, 147, 269–281. [Google Scholar] [CrossRef]
- Wang, Z.; Zhao, Q.; Wang, S.; Song, Y.; Shi, B.; He, J. Aging and post-aging thermal safety of lithium-ion batteries under complex operating conditions: A comprehensive review. J. Power Sources 2024, 623, 235453. [Google Scholar] [CrossRef]
- Pinson, M.B.; Bazant, M.Z. Theory of SEI Formation in Rechargeable Batteries: Capacity Fade, Accelerated Aging and Lifetime Prediction. J. Electrochem. Soc. 2012, 160, A243–A250. [Google Scholar] [CrossRef]
- Yang, H.; Li, X.; Fu, K.; Shang, W.; Sun, K.; Yang, Z.; Hu, G.; Tan, P. Behavioral description of lithium-ion batteries by multiphysics modeling. DeCarbon 2024, 6, 100076. [Google Scholar] [CrossRef]
- Edge, J.S.; O’Kane, S.; Prosser, R.; Kirkaldy, N.D.; Patel, A.N.; Hales, A.; Ghosh, A.; Ai, W.; Chen, J.; Yang, J.; et al. Lithium ion battery degradation: What you need to know. Phys. Chem. Chem. Phys. 2021, 23, 8200–8221. [Google Scholar] [CrossRef]
- Prada, E.; Domenico, D.D.; Creff, Y.; Bernard, J.; Sauvant-Moynot, V.; Huet, F. A Simplified Electrochemical and Thermal Aging Model of LiFePO4-Graphite Li-ion Batteries: Power and Capacity Fade Simulations. J. Electrochem. Soc. 2013, 160, A616–A628. [Google Scholar] [CrossRef]
- Petit, M.; Prada, E.; Sauvant-Moynot, V. Development of an empirical aging model for Li-ion batteries and application to assess the impact of Vehicle-to-Grid strategies on battery lifetime. Appl. Energy 2016, 172, 398–407. [Google Scholar] [CrossRef]
- Fioriti, D.; Scarpelli, C.; Pellegrino, L.; Lutzemberger, G.; Micolano, E.; Salamone, S. Battery lifetime of electric vehicles by novel rainflow-counting algorithm with temperature and C-rate dynamics: Effects of fast charging, user habits, vehicle-to-grid and climate zones. J. Energy Storage 2023, 59, 106458. [Google Scholar] [CrossRef]
- Ali, M.A.; Da Silva, C.M.; Amon, C.H. Multiscale Modelling Methodologies of Lithium-Ion Battery Aging: A Review of Most Recent Developments. Battat 2023, 9, 434. [Google Scholar] [CrossRef]
- Xu, W.; Cao, H.; Lin, X.; Shu, F.; Du, J.; Wang, J.; Tang, J. Data-Driven Semi-Empirical Model Approximation Method for Capacity Degradation of Retired Lithium-Ion Battery Considering SOC Range. Appl. Sci. 2023, 13, 11943. [Google Scholar] [CrossRef]
- Li, W.; Sengupta, N.; Dechent, P.; Howey, D.; Annaswamy, A.; Sauer, D.U. One-shot battery degradation trajectory prediction with deep learning. J. Power Sources 2021, 506, 230024. [Google Scholar] [CrossRef]
- Guo, X.; Yang, Z.; Liu, Y.; Fang, Z.; Wei, Z. A Hybrid Approach Based on Gaussian Process Regression and LSTM for Remaining Useful Life Prediction of Lithium-ion Batteries. In Proceedings of the 2023 IEEE Transportation Electrification Conference & Expo (ITEC), Detroit, MI, USA, 21–23 June 2023; pp. 1–4. [Google Scholar] [CrossRef]
- Richardson, R.R.; Osborne, M.A.; Howey, D.A. Gaussian process regression for forecasting battery state of health. J. Power Sources 2017, 357, 209–219. [Google Scholar] [CrossRef]
- Lin, Y.H.; Tian, L.L.; Ding, Z.Q. Ensemble Remaining Useful Life Prediction for Lithium-Ion Batteries With the Fusion of Historical and Real-Time Degradation Data. IEEE Trans. Veh. Technol. 2023, 72, 5934–5947. [Google Scholar] [CrossRef]
- Li, Z.; Li, A.; Bai, F.; Zuo, H.; Zhang, Y. Remaining useful life prediction of lithium battery based on ACNN-Mogrifier LSTM-MMD. Meas. Sci. Technol. 2023, 35, 016101. [Google Scholar] [CrossRef]
- Su, C.; Chen, H.J. A review on prognostics approaches for remaining useful life of lithium-ion battery. IOP Conf. Ser. Earth Environ. Sci. 2017, 93, 012040. [Google Scholar] [CrossRef]
- Hu, X.; Xu, L.; Lin, X.; Pecht, M. Battery Lifetime Prognostics. Joule 2020, 4, 310–346. [Google Scholar] [CrossRef]
- Mou, J.; Yang, Q.; Tang, Y.; Liu, Y.; Li, J.; Yu, C. Prediction of the Remaining Useful Life of Lithium-Ion Batteries Based on the 1D CNN-BLSTM Neural Network. Battat 2024, 10, 152. [Google Scholar] [CrossRef]
- Saha, B.; Goebel, K. Battery Data Set; NASA Prognostics Data Repository; NASA Ames Research Center: Moffett Field, CA, USA, 2007. [Google Scholar]
- Xing, Y.; Ma, E.W.; Tsui, K.L.; Pecht, M. An ensemble model for predicting the remaining useful performance of lithium-ion batteries. Microelectron. Reliab. 2013, 53, 811–820. [Google Scholar] [CrossRef]
- Luh, M.; Blank, T. Comprehensive battery aging dataset: Capacity and impedance fade measurements of a lithium-ion NMC/C-SiO cell. Sci. Data 2024, 11, 1004. [Google Scholar] [CrossRef]
- Che, Y.; Deng, Z.; Lin, X.; Hu, L.; Hu, X. Predictive Battery Health Management With Transfer Learning and Online Model Correction. IEEE Trans. Veh. Technol. 2021, 70, 1269–1277. [Google Scholar] [CrossRef]
- Chen, X.; Liu, Z.; Sheng, H.; Wu, K.; Mi, J.; Li, Q. Transfer learning based remaining useful life prediction of lithium-ion battery considering capacity regeneration phenomenon. J. Energy Storage 2024, 76, 109798. [Google Scholar] [CrossRef]
- Chou, J.H.; Wang, F.K.; Lo, S.C. A Novel Fine-Tuning Model Based on Transfer Learning for Future Capacity Prediction of Lithium-Ion Batteries. Batteries 2023, 9, 325. [Google Scholar] [CrossRef]
- Du, J.; Zhang, C.; Li, S.; Zhang, L.; Zhang, W. Two-stage prediction method for capacity aging trajectories of lithium-ion batteries based on Siamese-convolutional neural network. Energy 2024, 295, 130947. [Google Scholar] [CrossRef]
- Severson, K.A.; Attia, P.M.; Jin, N.; Perkins, N.; Jiang, B.; Yang, Z.; Chen, M.H.; Aykol, M.; Herring, P.K.; Fraggedakis, D.; et al. Data-driven prediction of battery cycle life before capacity degradation. Nature Energy 2019, 4, 383–391. [Google Scholar] [CrossRef]
- Huang, Y.; Zhang, P.; Lu, J.; Xiong, R.; Cai, Z. A transferable long-term lithium-ion battery aging trajectory prediction model considering internal resistance and capacity regeneration phenomenon. Appl. Energy 2024, 360, 122825. [Google Scholar] [CrossRef]
- Meng, H.; Geng, M.; Xing, J.; Zio, E. A hybrid method for prognostics of lithium-ion batteries capacity considering regeneration phenomena. Energy 2022, 261, 125278. [Google Scholar] [CrossRef]
- Bodnár, D.; Mouli, G.R.C.; Ďurovský, F.; Bauer, P.; Qin, Z. Semi-Empirical Model of Nickel Manganese Cobalt (NMC) Lithium-Ion Batteries Including Capacity Regeneration Phenomenon. IEEE Trans. Transport. Electrific. 2024, 11, 797. [Google Scholar] [CrossRef]
- Zhang, S.; Wu, S.; Cao, G.; Chen, S.; Wang, Z.; Wang, N. Aging trajectory and end-of-life prediction for lithium-ion battery via similar fragment extraction of capacity degradation curves. J. Clean. Prod. 2024, 436, 140686. [Google Scholar] [CrossRef]
- Ester, M.; Kriegel, H.P.; Sander, J.; Xu, X. A density-based algorithm for discovering clusters in large spatial databases with noise. In Proceedings of the Second International Conference on Knowledge Discovery and Data Mining(KDD-96), Portland, OR, USA, 2–4 August 1996; pp. 226–231. [Google Scholar]
- Chen, D.; Hong, W.; Zhou, X. Transformer Network for Remaining Useful Life Prediction of Lithium-Ion Batteries. IEEE Access 2022, 10, 19621–19628. [Google Scholar] [CrossRef]
- Wei, Y.; Wu, D. State of health and remaining useful life prediction of lithium-ion batteries with conditional graph convolutional network. Expert Syst. Appl. 2024, 238, 122041. [Google Scholar] [CrossRef]











| Model | Actual RUL | Predicted RUL | RE (%) |
|---|---|---|---|
| Single-shot with MMD | 87 | 94 | 8.4 |
| 1629 | 1748 | 7.3 | |
| 2964 | 3272 | 10.4 | |
| Iterative with MMD | 87 | 100 | 16.5 |
| 1629 | 1176 | −27.7 | |
| 2964 | 3844 | 29.7 | |
| Single-shot without MMD | 87 | 100 | 15.3 |
| 1629 | 1944 | 19.3 | |
| 2964 | 3433 | 15.8 |
| Model Type | Dataset | Prediction Start Point | R2/Mean RE (%) |
|---|---|---|---|
| LSTM-FT [28] | / | ≤90% SOH | RE: 7.38% |
| LSTM-FT [29] | NASA [25] | ≥20% total lifespan | RE: 9% to 12.7% |
| LSTM-FT with attention [30] | / | <89% SOH | RE: 4.66% to 14.89% |
| Transformer [38] | NASA [25] and CALCE [26] | 16 to 64 ECN (Aprox. 90% SOH) | RE: 7.6% to 22.5% |
| Graph Neural Network [39] | NASA [25] | 90% to 95% SOH | R2: 0.92 to 0.982 |
Disclaimer/Publisher’s Note: The statements, opinions and data contained in all publications are solely those of the individual author(s) and contributor(s) and not of MDPI and/or the editor(s). MDPI and/or the editor(s) disclaim responsibility for any injury to people or property resulting from any ideas, methods, instructions or products referred to in the content. |
© 2025 by the authors. Licensee MDPI, Basel, Switzerland. This article is an open access article distributed under the terms and conditions of the Creative Commons Attribution (CC BY) license (https://creativecommons.org/licenses/by/4.0/).
Share and Cite
Li, W.; Yang, Y.; Pischinger, S. Domain Generalization Using Maximum Mean Discrepancy Loss for Remaining Useful Life Prediction of Lithium-Ion Batteries. Batteries 2025, 11, 194. https://doi.org/10.3390/batteries11050194
Li W, Yang Y, Pischinger S. Domain Generalization Using Maximum Mean Discrepancy Loss for Remaining Useful Life Prediction of Lithium-Ion Batteries. Batteries. 2025; 11(5):194. https://doi.org/10.3390/batteries11050194
Chicago/Turabian StyleLi, Wenbin, Yue Yang, and Stefan Pischinger. 2025. "Domain Generalization Using Maximum Mean Discrepancy Loss for Remaining Useful Life Prediction of Lithium-Ion Batteries" Batteries 11, no. 5: 194. https://doi.org/10.3390/batteries11050194
APA StyleLi, W., Yang, Y., & Pischinger, S. (2025). Domain Generalization Using Maximum Mean Discrepancy Loss for Remaining Useful Life Prediction of Lithium-Ion Batteries. Batteries, 11(5), 194. https://doi.org/10.3390/batteries11050194

