Combining Operando Techniques for an Accurate Depiction of the SEI Formation in Lithium-Ion Batteries
Abstract
1. Introduction
2. Materials and Methods
2.1. The Electrochemical Cell
2.2. Electrolyte Evaporation Tests
2.3. The Setup Combining AFM with EIS and EQCM-D
2.4. Current Distribution on the Working Electrode
2.5. SEI Formation in the Combined Setup
3. Results and Discussion
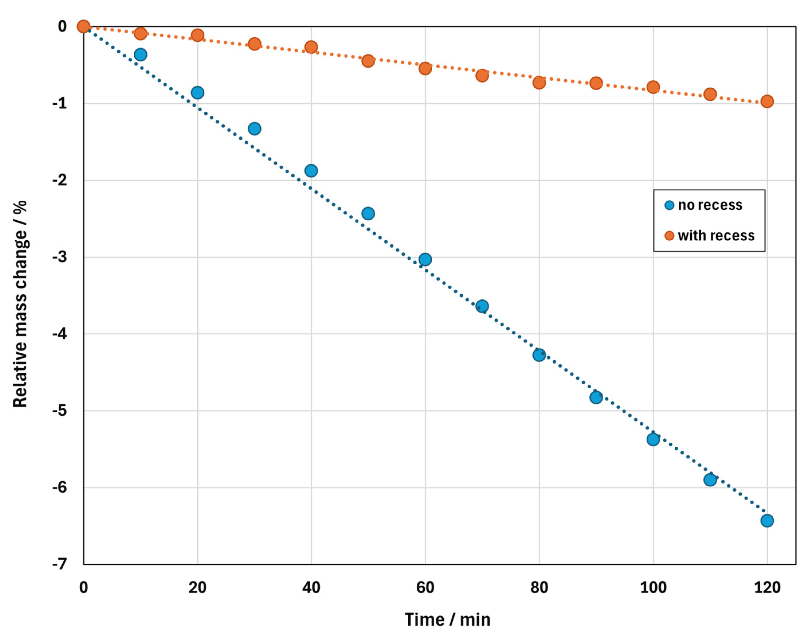
3.1. Electrolyte Evaporation Tests
3.2. The Setup Combining AFM with EIS and EQCM-D
3.2.1. Impedance
3.2.2. EQCM-D
3.2.3. AFM
3.2.4. Current Distribution on the Working Electrode
3.2.5. SEI Formation in the Combined Setup
4. Conclusions
Supplementary Materials
Author Contributions
Funding
Data Availability Statement
Acknowledgments
Conflicts of Interest
References
- Peled, E. The Electrochemical Behavior of Alkali and Alkaline Earth Metals in Nonaqueous Battery Systems—The Solid Electrolyte Interphase Model. J. Electrochem. Soc. 1979, 126, 2047. [Google Scholar] [CrossRef]
- Heiskanen, S.K.; Kim, J.; Lucht, B.L. Generation and Evolution of the Solid Electrolyte Interphase of Lithium-Ion Batteries. Joule 2019, 3, 2322–2333. [Google Scholar] [CrossRef]
- Veith, G.M.; Doucet, M.; Baldwin, J.K.; Sacci, R.L.; Fears, T.M.; Wang, Y.; Browning, J.F. Direct Determination of Solid-Electrolyte Interphase Thickness and Composition as a Function of State of Charge on a Silicon Anode. J. Phys. Chem. C 2015, 119, 20339–20349. [Google Scholar] [CrossRef]
- Edström, K.; Herstedt, M.; Abraham, D.P. A New Look at the Solid Electrolyte Interphase on Graphite Anodes in Li-Ion Batteries. J. Power Sources 2006, 153, 380–384. [Google Scholar] [CrossRef]
- von Kolzenberg, L.; Stadler, J.; Fath, J.; Ecker, M.; Horstmann, B.; Latz, A. A Four Parameter Model for the Solid-Electrolyte Interphase to Predict Battery Aging during Operation. J. Power Sources 2022, 539, 231560. [Google Scholar] [CrossRef]
- Michan, A.L.; Parimalam, B.S.; Leskes, M.; Kerber, R.N.; Yoon, T.; Grey, C.P.; Lucht, B.L. Fluoroethylene Carbonate and Vinylene Carbonate Reduction: Understanding Lithium-Ion Battery Electrolyte Additives and Solid Electrolyte Interphase Formation. Chem. Mater. 2016, 28, 8149–8159. [Google Scholar] [CrossRef]
- Baakes, F.; Witt, D.; Krewer, U. Impact of Electrolyte Impurities and SEI Composition on Battery Safety. Chem. Sci. 2023, 14, 13783–13798. [Google Scholar] [CrossRef]
- Malmgren, S.; Ciosek, K.; Lindblad, R.; Plogmaker, S.; Kühn, J.; Rensmo, H.; Edström, K.; Hahlin, M. Consequences of Air Exposure on the Lithiated Graphite SEI. Electrochim. Acta 2013, 105, 83–91. [Google Scholar] [CrossRef]
- Stich, M.; Göttlinger, M.; Kurniawan, M.; Schmidt, U.; Bund, A. Hydrolysis of LiPF6 in Carbonate-Based Electrolytes for Lithium-Ion Batteries and in Aqueous Media. J. Phys. Chem. C 2018, 122, 8836–8842. [Google Scholar] [CrossRef]
- Schroder, K.W.; Celio, H.; Webb, L.J.; Stevenson, K.J. Examining Solid Electrolyte Interphase Formation on Crystalline Silicon Electrodes: Influence of Electrochemical Preparation and Ambient Exposure Conditions. J. Phys. Chem. C 2012, 116, 19737–19747. [Google Scholar] [CrossRef]
- Capone, F.G.; Sottmann, J.; Meunier, V.; Ramírez, L.P.; Grimaud, A.; Iadecola, A.; Scardamaglia, M.; Rueff, J.-P.; Dedryvère, R. Operando Observation of the Dynamic SEI Formation on a Carbonaceous Electrode by Near-Ambient Pressure XPS. Energy Environ. Sci. 2024, 17, 1509–1519. [Google Scholar] [CrossRef]
- Zhang, Z.; Smith, K.; Jervis, R.; Shearing, P.R.; Miller, T.S.; Brett, D.J.L. Operando Electrochemical Atomic Force Microscopy of Solid–Electrolyte Interphase Formation on Graphite Anodes: The Evolution of SEI Morphology and Mechanical Properties. ACS Appl. Mater. Interfaces 2020, 12, 35132–35141. [Google Scholar] [CrossRef] [PubMed]
- Bommier, C.; Chang, W.; Li, J.; Biswas, S.; Davies, G.; Nanda, J.; Steingart, D. Operando Acoustic Monitoring of SEI Formation and Long-Term Cycling in NMC/SiGr Composite Pouch Cells. J. Electrochem. Soc. 2020, 167, 020517. [Google Scholar] [CrossRef]
- Kawaura, H.; Harada, M.; Kondo, Y.; Kondo, H.; Suganuma, Y.; Takahashi, N.; Sugiyama, J.; Seno, Y.; Yamada, N.L. Operando Measurement of Solid Electrolyte Interphase Formation at Working Electrode of Li-Ion Battery by Time-Slicing Neutron Reflectometry. ACS Appl. Mater. Interfaces 2016, 8, 9540–9544. [Google Scholar] [CrossRef]
- Steinhauer, M.; Stich, M.; Kurniawan, M.; Seidlhofer, B.-K.; Trapp, M.; Bund, A.; Wagner, N.; Friedrich, K.A. In Situ Studies of Solid Electrolyte Interphase (SEI) Formation on Crystalline Carbon Surfaces by Neutron Reflectometry and Atomic Force Microscopy. ACS Appl. Mater. Interfaces 2017, 9, 35794–35801. [Google Scholar] [CrossRef]
- Kitz, P.G.; Lacey, M.J.; Novák, P.; Berg, E.J. Operando EQCM-D with Simultaneous in Situ EIS: New Insights into Interphase Formation in Li Ion Batteries. Anal. Chem. 2019, 91, 2296–2303. [Google Scholar] [CrossRef]
- Luchkin, S.Y.; Lipovskikh, S.A.; Katorova, N.S.; Savina, A.A.; Abakumov, A.M.; Stevenson, K.J. Solid-Electrolyte Interphase Nucleation and Growth on Carbonaceous Negative Electrodes for Li-Ion Batteries Visualized with in Situ Atomic Force Microscopy. Sci. Rep. 2020, 10, 8550. [Google Scholar] [CrossRef]
- Kitz, P.G. A New Perspective on Interphase Formation in Li-Ion Batteries by Combined EIS & EQCM-D. Ph.D. Thesis, ETH Zurich, Zürich, Switzerland, 2019. [Google Scholar]
- Pokorný, V.; Štejfa, V.; Fulem, M.; Červinka, C.; Růžička, K. Vapor Pressures and Thermophysical Properties of Ethylene Carbonate, Propylene Carbonate, γ-Valerolactone, and γ-Butyrolactone. J. Chem. Eng. Data 2017, 62, 4174–4186. [Google Scholar] [CrossRef]
- Pokorný, V.; Štejfa, V.; Fulem, M.; Červinka, C.; Růžička, K. Vapor Pressures and Thermophysical Properties of Dimethyl Carbonate, Diethyl Carbonate, and Dipropyl Carbonate. J. Chem. Eng. Data 2017, 62, 3206–3215. [Google Scholar] [CrossRef]
- Hess, S.; Wohlfahrt-Mehrens, M.; Wachtler, M. Flammability of Li-Ion Battery Electrolytes: Flash Point and Self-Extinguishing Time Measurements. J. Electrochem. Soc. 2015, 162, A3084. [Google Scholar] [CrossRef]
- Johannsmann, D.; Langhoff, A.; Leppin, C. Studying Soft Interfaces with Shear Waves: Principles and Applications of the Quartz Crystal Microbalance (QCM). Sensors 2021, 21, 3490. [Google Scholar] [CrossRef] [PubMed]
- Steinhauer, M.; Risse, S.; Wagner, N.; Friedrich, K.A. Investigation of the Solid Electrolyte Interphase Formation at Graphite Anodes in Lithium-Ion Batteries with Electrochemical Impedance Spectroscopy. Electrochim. Acta 2017, 228, 652–658. [Google Scholar] [CrossRef]
- Placke, T.; Siozios, V.; Schmitz, R.; Lux, S.F.; Bieker, P.; Colle, C.; Meyer, H.-W.; Passerini, S.; Winter, M. Influence of Graphite Surface Modifications on the Ratio of Basal Plane to “Non-Basal Plane” Surface Area and on the Anode Performance in Lithium Ion Batteries. J. Power Sources 2012, 200, 83–91. [Google Scholar] [CrossRef]
- Bard, A.J.; Faulkner, L.R.; White, H.S. Electrochemical Methods: Fundamentals and Applications, 3rd ed.; Wiley: Hoboken, NJ, USA, 2022. [Google Scholar]
- Kranz, S.; Kranz, T.; Graubner, T.; Yusim, Y.; Hellweg, L.; Roling, B. Influence of the Formation Current Density on the Transport Properties of Galvanostatically Formed Model-Type Solid Electrolyte Interphases. Batter. Supercaps 2019, 2, 1026–1036. [Google Scholar] [CrossRef]










| χ2/|Z|2/- | |
|---|---|
| Setup 1 | 3.55 × 10−4 |
| Setup 2 | 3.03 × 10−4 |
| Setup 3 | N/A |
| Setup 4 | 1.52 × 10−3 |
Disclaimer/Publisher’s Note: The statements, opinions and data contained in all publications are solely those of the individual author(s) and contributor(s) and not of MDPI and/or the editor(s). MDPI and/or the editor(s) disclaim responsibility for any injury to people or property resulting from any ideas, methods, instructions or products referred to in the content. |
© 2025 by the authors. Licensee MDPI, Basel, Switzerland. This article is an open access article distributed under the terms and conditions of the Creative Commons Attribution (CC BY) license (https://creativecommons.org/licenses/by/4.0/).
Share and Cite
Stich, M.; Valdes Landa, J.E.; Pantenburg, I.; Krauss, F.T.; Baumer, C.; Roling, B.; Bund, A. Combining Operando Techniques for an Accurate Depiction of the SEI Formation in Lithium-Ion Batteries. Batteries 2025, 11, 117. https://doi.org/10.3390/batteries11040117
Stich M, Valdes Landa JE, Pantenburg I, Krauss FT, Baumer C, Roling B, Bund A. Combining Operando Techniques for an Accurate Depiction of the SEI Formation in Lithium-Ion Batteries. Batteries. 2025; 11(4):117. https://doi.org/10.3390/batteries11040117
Chicago/Turabian StyleStich, Michael, Jesus Eduardo Valdes Landa, Isabel Pantenburg, Falk Thorsten Krauss, Christoph Baumer, Bernhard Roling, and Andreas Bund. 2025. "Combining Operando Techniques for an Accurate Depiction of the SEI Formation in Lithium-Ion Batteries" Batteries 11, no. 4: 117. https://doi.org/10.3390/batteries11040117
APA StyleStich, M., Valdes Landa, J. E., Pantenburg, I., Krauss, F. T., Baumer, C., Roling, B., & Bund, A. (2025). Combining Operando Techniques for an Accurate Depiction of the SEI Formation in Lithium-Ion Batteries. Batteries, 11(4), 117. https://doi.org/10.3390/batteries11040117

