Improvement of Co3V2O8 Nanowire Driven by Morphology for Supercapacitor and Water Splitting Applications
Abstract
1. Introduction
2. Experimental
2.1. Chemicals
2.2. Preparation of Co3V2O8 (CVO) Nanowires
2.3. Characterizations
2.4. Electrode Preparation
2.5. Electrochemical Measurement
3. Result and Discussion
3.1. Physicochemical Properties of the Co3V2O8 Nanoparticles
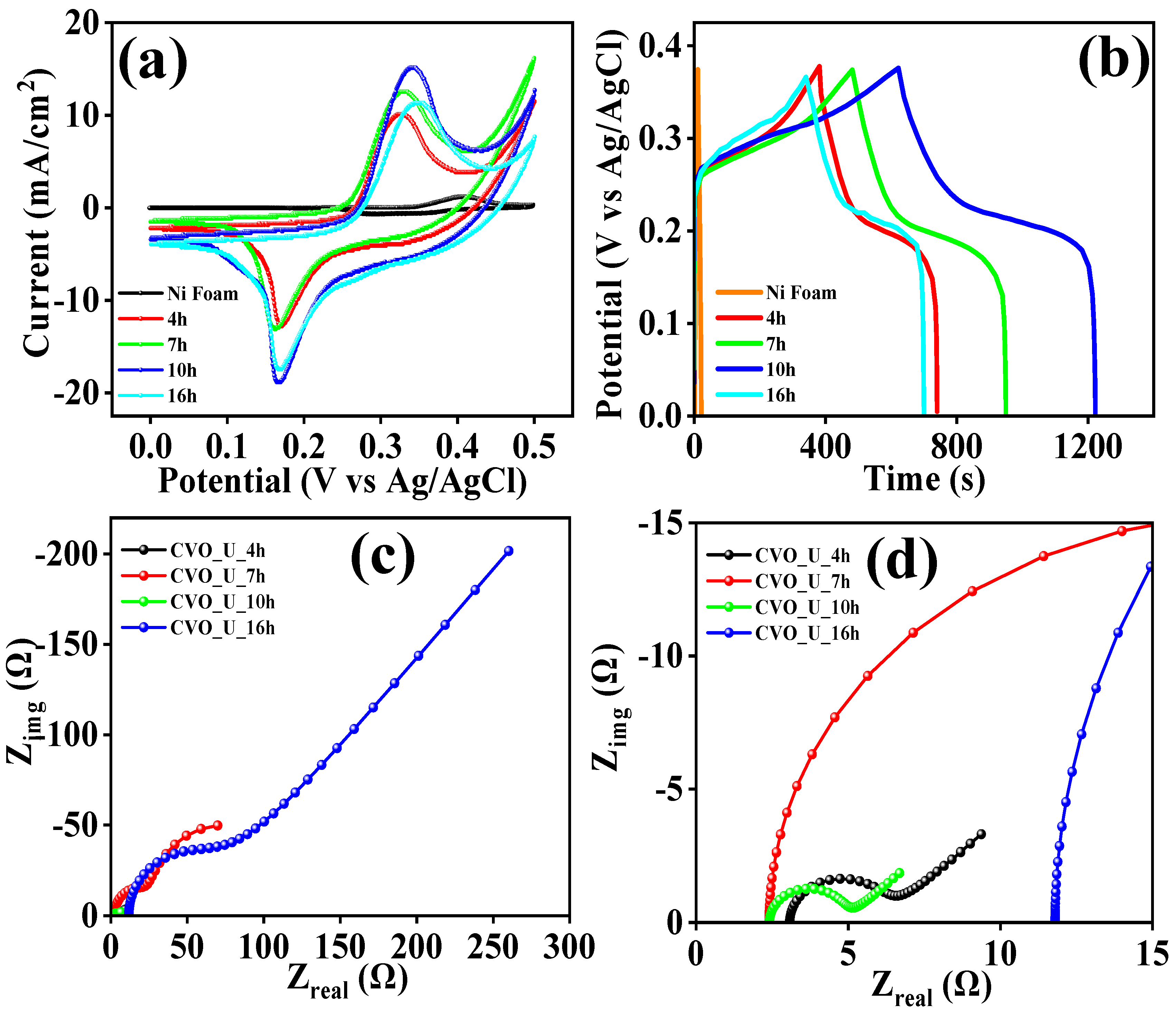
3.2. Electrochemical Performance and Kinetics Analyses of the Co3V2O8 Nanoparticles
3.3. Electrochemical Properties of the CVO_U_10h//AC ASC Device
3.4. Electrocatalysis Study of the CVO_U_10h Electrode
4. Conclusions
Supplementary Materials
Author Contributions
Funding
Data Availability Statement
Conflicts of Interest
References
- Lu, Z.; Hu, Z.; Xiao, L.; Xie, Y.; Li, N.; Xi, L.; Chen, W.; Xiao, J.; Zhu, Y. Battery-type Ni-Co-Se hollow microspheres cathode materials enabled by bifunctional N-doped carbon quantum dots with ultrafast electrochemical kinetics for hybrid supercapacitors. Chem. Eng. J. 2022, 450, 138347. [Google Scholar] [CrossRef]
- Wan, L.; Wang, Y.; Jiang, D.; Zhang, Y.; Xie, M.; Chen, J.; Du, C. Constructing nickel sulfide @ nickel boride hybrid nanosheet arrays with crystalline/amorphous interfaces for supercapacitors. J. Colloid Interface Sci. 2023, 649, 815–825. [Google Scholar] [CrossRef] [PubMed]
- Hu, L.; Li, M.; Wei, X.; Wang, H.; Wu, Y.; Wen, J.; Gu, W.; Zhu, C. Modulating interfacial electronic structure of CoNi LDH nanosheets with Ti3C2Tx MXene for enhancing water oxidation catalysis. Chem. Eng. J. 2020, 398, 125605. [Google Scholar] [CrossRef]
- Wu, H.; Zhang, X.; Xue, J.; Zhang, H.; Yang, L.; Li, S. Engineering active sites on hierarchical ZnNi layered double hydroxide architectures with rich Zn vacancies boosting battery-type supercapacitor performances. Electrochim. Acta 2021, 374, 137932. [Google Scholar] [CrossRef]
- Lv, X.W.; Tian, W.W.; Yuan, Z.Y. Recent Advances in High-Efficiency Electrocatalytic Water Splitting Systems. Electrochem. Energy Rev. 2023, 6, 23. [Google Scholar] [CrossRef]
- Liu, S.; Yang, J.; Chen, P.; Wang, M.; He, S.; Wang, L.; Qiu, J. Flexible Electrodes for Aqueous Hybrid Supercapacitors: Recent Advances and Future Prospects. Electrochem. Energy Rev. 2024, 7, 25. [Google Scholar] [CrossRef]
- Wang, G.; Zhang, L.; Zhang, J. A review of electrode materials for electrochemical supercapacitors. Chem. Soc. Rev. 2012, 41, 797–828. [Google Scholar] [CrossRef]
- Brousse, T.; Bélanger, D.; Long, J. To Be or Not To Be Pseudocapacitive? J. Electrochem. Soc. 2015, 162, A5185–A5189. [Google Scholar] [CrossRef]
- Lan, Y.; Zhao, H.; Zong, Y.; Li, X.; Sun, Y.; Feng, J.; Wang, Y.; Zheng, X.; Du, Y. Phosphorization boosts the capacitance of mixed metal nanosheet arrays for high performance supercapacitor electrodes. Nanoscale 2018, 10, 11775–11781. [Google Scholar] [CrossRef]
- Teli, A.M.; Bhat, T.S.; Beknalkar, S.A.; Mane, S.M.; Chaudhary, L.S.; Patil, D.S.; Pawar, S.A.; Efstathiadis, H.; Cheol Shin, J. Bismuth manganese oxide based electrodes for asymmetric coin cell supercapacitor. Chem. Eng. J. 2022, 430, 133138. [Google Scholar] [CrossRef]
- Thirumal, V.; Yuvakkumar, R.; Senthil Kumar, P.; Ravi, G.; Velauthapillai, D. Direct growth of multilayered graphene nanofibers by chemical vapour deposition and their binder-free electrodes for symmetric supercapacitor devices. Prog. Org. Coat. 2021, 161, 106511. [Google Scholar] [CrossRef]
- Rawat, P.; Kumar Sharma, P.; Malik, V.; Umapathi, R.; Kaushik, N.; Rhyee, J.S. Emergence of high-performing and ultra-fast 2D-graphene nano-biosensing system. Mater. Lett. 2022, 308, 131241. [Google Scholar] [CrossRef]
- Tan, Y.B.; Lee, J.M. Graphene for supercapacitor applications. J. Mater. Chem. A 2013, 1, 14814–14843. [Google Scholar] [CrossRef]
- Mao, B.S.; Wen, Z.; Bo, Z.; Chang, J.; Huang, X.; Chen, J. Hierarchical nanohybrids with porous CNT-networks decorated crumpled graphene balls for supercapacitors. ACS Appl. Mater. Interfaces 2014, 6, 9881–9889. [Google Scholar] [CrossRef]
- Dubal, D.P.; Chodankar, N.R.; Kim, D.H.; Gomez-Romero, P. Towards flexible solid-state supercapacitors for smart and wearable electronics. Chem. Soc. Rev. 2018, 47, 2065–2129. [Google Scholar] [CrossRef]
- Lin, J.; Xu, Y.; Wang, J.; Zhang, B.; Li, L.; Wang, X.; He, S.; Zhu, J. A pH-Tailored Anodic Deposition of Hydrous RuO2 for Supercapacitors. ChemistrySelect 2019, 4, 8122–8128. [Google Scholar] [CrossRef]
- Snook, G.A.; Kao, P.; Best, A.S. Conducting-polymer-based supercapacitor devices and electrodes. J. Power Sources 2011, 196, 1–12. [Google Scholar] [CrossRef]
- Sethi, M.; Bhat, D.K. Facile solvothermal synthesis and high supercapacitor performance of NiCo2O4 nanorods. J. Alloys Compd. 2019, 781, 1013–1020. [Google Scholar] [CrossRef]
- Yewale, M.A.; Kadam, R.A.; Kaushik, N.K.; Vattikuti, S.V.P.; Lingamdinne, L.P.; Koduru, J.R.; Shin, D.K. Hydrothermally synthesized microrods and microballs of NiCo2O4 for supercapacitor application. Ceram. Int. 2022, 48, 22037–22046. [Google Scholar] [CrossRef]
- Deokate, R.J.; Kalubarme, R.S.; Park, C.J.; Lokhande, C.D. Simple Synthesis of NiCo2O4 thin films using Spray Pyrolysis for electrochemical supercapacitor application: A Novel approach. Electrochim. Acta 2017, 224, 378–385. [Google Scholar] [CrossRef]
- Rajasekhara Reddy, G.; Ramesh Reddy, N.; Dillip, G.R.; Joo, S.W. In Situ Construction of Binder-Free Stable Battery-Type Copper Cobaltite and Copper Oxide Composite Electrodes for All-Solid-State Asymmetric Supercapacitors: Cation Concentration and Morphology-Dependent Electrochemical Performance. Energy Fuels 2022, 36, 5965–5978. [Google Scholar] [CrossRef]
- Yewale, M.A.; Kadam, R.A.; Nakate, U.T.; Teli, A.M.; Kumar, V.; Beknalkar, S.A.; Jadhavar, A.A.; Kadam, S.L.; Shelke, N.T.; Shin, D.K. Sphere-shaped CuCo2O4 nanostructures battery type electrode for supercapacitor via hydrothermal synthesis approach. Colloids Surf. A Physicochem. Eng. Asp. 2023, 679, 132541. [Google Scholar] [CrossRef]
- Alqahtani, D.M.; Zequine, C.; Ranaweera, C.K.; Siam, K.; Kahol, P.K.; Poudel, T.P.; Mishra, S.R.; Gupta, R.K. Effect of metal ion substitution on electrochemical properties of cobalt oxide. J. Alloys Compd. 2019, 771, 951–959. [Google Scholar] [CrossRef]
- Yewale, M.A.; Jadhvar, A.A.; Kharade, R.B.; Kadam, R.A.; Kumar, V.; Nakate, U.T.; Shelke, P.B.; Bobade, D.H.; Teli, A.M.; Dhas, S.D.; et al. Hydrothermally synthesized Ni3V2O8 nanoparticles with horny surfaces for HER and supercapacitor application. Mater. Lett. 2023, 338, 134033. [Google Scholar] [CrossRef]
- Low, W.H.; Khiew, P.S.; Lim, S.S.; Siong, C.W.; Ezeigwe, E.R. Facile solvothermal designing of graphene/Ni3V2O8 nanocomposite as electrode for high performance symmetric supercapacitor. J. Alloys Compd. 2018, 768, 995–1005. [Google Scholar] [CrossRef]
- Liu, M.C.; Kong, L.B.; Kang, L.; Li, X.; Walsh, F.C.; Xing, M.; Lu, C.; Ma, X.J.; Luo, Y.C. Synthesis and characterization of M3V2O8 (M = Ni or Co) based nanostructures: A new family of high performance pseudocapacitive materials. J. Mater. Chem. A 2014, 2, 4919–4926. [Google Scholar] [CrossRef]
- Kadam, R.A.; Yewale, M.A.; Teli, A.M.; Annu; Nakate, U.T.; Kumar, V.; Kadam, S.L.; Shin, D.K. Bimetallic Co3V2O8 microstructure: A versatile bifunctional electrode for supercapacitor and electrocatalysis applications. Surf. Interfaces 2023, 41, 103267. [Google Scholar] [CrossRef]
- Luo, Z.; Liu, L.; Yang, X.; Luo, X.; Bi, P.; Fu, Z.; Pang, A.; Li, W.; Yi, Y. Revealing the Charge Storage Mechanism of Nickel Oxide Electrochromic Supercapacitors. ACS Appl. Mater. Interfaces 2020, 12, 39098–39107. [Google Scholar] [CrossRef]
- Jadhav, A.L.; Jadhav, S.L.; Mandlekar, B.K.; Kadam, A.V. Effects of various molarities of nickel oxide on the aggregate 1D–3D structure and its electrochemical activity. J. Alloys Compd. 2022, 925, 166716. [Google Scholar] [CrossRef]
- Dam, D.T.; Lee, J.M. Three-dimensional cobalt oxide microstructures with brush-like morphology via surfactant-dependent assembly. ACS Appl. Mater. Interfaces 2014, 6, 20729–20737. [Google Scholar] [CrossRef]
- Ji, Y.; Fang, D.; Wang, C.; Zhou, Z.; Luo, Z.; Huang, J.; Yi, J. Cobalt-doped V2O5 nanowire arrays on Ti foil for enhanced lithium-ion storage. J. Alloys Compd. 2018, 742, 567–576. [Google Scholar] [CrossRef]
- Cao, Y.; Yan, L.; Gang, H.; Wu, B.; Wei, D.; Wang, H. Large gap cobalt-vanadium oxide structure encapsulated in porous carbon for high performance capacitive deionization. Sep. Purif. Technol. 2023, 306, 122709. [Google Scholar] [CrossRef]
- Saasa, V.; Malwela, T.; Lemmer, Y.; Beukes, M.; Mwakikunga, B. The hierarchical nanostructured Co-doped WO3/carbon and their improved acetone sensing perfomance. Mater. Sci. Semicond. Process. 2020, 117, 105157. [Google Scholar] [CrossRef]
- Liao, M.; Liu, Y.; Hu, Z.; Yu, Q. Novel morphologic Co3O4 of flower-like hierarchical microspheres as electrode material for electrochemical capacitors. J. Alloys Compd. 2013, 562, 106–110. [Google Scholar] [CrossRef]
- Chen, J.; Wu, X.; Selloni, A. Electronic structure and bonding properties of cobalt oxide in the spinel structure. Phys. Rev. B—Condens. Matter Mater. Phys. 2011, 83, 245204. [Google Scholar] [CrossRef]
- Gao, Z.; Yun, S.; Yang, C.; Zhang, Y.; Dang, J.; Yang, G.; Yang, T.; Qiao, D.; Wang, K. Niobium- and cobalt-modified dual-source-derived porous carbon with a honeycomb-like stable structure for supercapacitor and hydrogen evolution reaction. J. Colloid Interface Sci. 2023, 639, 33–48. [Google Scholar] [CrossRef]
- Laursen, A.B.; Kegnæs, S.; Dahl, S.; Chorkendorff, I. Molybdenum sulfides—Efficient and viable materials for electro—And photoelectrocatalytic hydrogen evolution. Energy Environ. Sci. 2012, 5, 5577–5591. [Google Scholar] [CrossRef]
- Simon, P.; Gogotsi, Y.; Dunn, B. Where do batteries end and supercapacitors begin? Science 2014, 343, 1210–1211. [Google Scholar] [CrossRef]
- Liu, C.; Li, F.; Lai-Peng, M.; Cheng, H.M. Advanced materials for energy storage. Adv. Mater. 2010, 22, 28–62. [Google Scholar] [CrossRef]
- Vrubel, H.; Moehl, T.; Grätzel, M.; Hu, X. Revealing and accelerating slow electron transport in amorphous molybdenum sulphide particles for hydrogen evolution reaction. Chem. Commun. 2013, 49, 8985–8987. [Google Scholar] [CrossRef]
- Wang, H.; Zhang, H.; Zhang, D.; Chen, J.; Zhang, S.; Zhang, S.; Yu, J.; Wu, Q.; Li, Q. Toward Enhanced Electrochemical Performance by Investigation of the Electrochemical Reconstruction Mechanism in Co2V2O7 Hexagonal Nanosheets for Hybrid Supercapacitors. ACS Appl. Mater. Interfaces 2022, 14, 8106–8114. [Google Scholar] [CrossRef] [PubMed]
- Sun, H.; Chen, X.; Chai, H.; Wang, Y.; Jia, D.; Cao, Y.; Liu, A. 3D porous hydrated cobalt pyrovanadate microflowers with excellent cycling stability as cathode materials for asymmetric supercapacitor. Appl. Surf. Sci. 2019, 469, 118–124. [Google Scholar] [CrossRef]
- Sharma, G.P.; Gupta, P.K.; Sharma, S.K.; Pala, R.G.S.; Sivakumar, S. Chalcogenide Dopant-Induced Lattice Expansion in Cobalt Vanadium Oxide Nanosheets for Enhanced Supercapacitor Performance. ACS Appl. Energy Mater. 2021, 4, 4758–4771. [Google Scholar] [CrossRef]
- Thorat, G.M.; Jadhav, H.S.; Roy, A.; Chung, W.J.; Seo, J.G. Dual Role of Deep Eutectic Solvent as a Solvent and Template for the Synthesis of Octahedral Cobalt Vanadate for an Oxygen Evolution Reaction. ACS Sustain. Chem. Eng. 2018, 6, 16255–16266. [Google Scholar] [CrossRef]
- Singh, D.K.; Yadav, M.; Ganesan, V.; Bhobe, P.A. Cox(VO)yOzNanocrystal-Integrated Covalent Organic Polymers as a Highly Active and Durable Catalyst for Electrochemical Water Oxidation: An Untold Role of the VO2+/VO2+ Redox Couple. ACS Appl. Energy Mater. 2022, 5, 2805–2816. [Google Scholar] [CrossRef]
- Han, J.; Liu, X.; Wan, H.; Wu, D.; Chen, G.; Li, J.; Cao, Y.; Ma, R. Composition Tuning of Ultrafine Cobalt-Based Spinel Nanoparticles for Efficient Oxygen Evolution. ACS Sustain. Chem. Eng. 2020, 8, 5534–5543. [Google Scholar] [CrossRef]
- Fahimi, Z.; Moradlou, O. High-performance solid-state asymmetric supercapacitor based on Co3V2O8/carbon nanotube nanocomposite and gel polymer electrolyte. J. Energy Storage 2022, 50, 104697. [Google Scholar] [CrossRef]
- Mushtaq, M.W.; Imran, M.; Bashir, S.; Kanwal, F.; Mitu, L. Synthesis, structural and biological studies of cobalt ferrite nanoparticles. Bulg. Chem. Commun. 2016, 48, 565–570. [Google Scholar]
- Samuel, V.; Navale, S.C.; Jadhav, A.D.; Gaikwad, A.B.; Ravi, V. Synthesis of ultrafine BiMnO3 particles at 100 °C. Mater. Lett. 2007, 61, 1050–1051. [Google Scholar] [CrossRef]
- Zhang, Q.; Pei, J.; Chen, G.; Bie, C.; Chen, D.; Jiao, Y.; Rao, J. Co3V2O8 Hexagonal Pyramid with Tunable Inner Structure as High Performance Anode Materials for Lithium Ion Battery. Electrochim. Acta 2017, 238, 227–236. [Google Scholar] [CrossRef]
- Teng, Y.; Li, Y.; Yu, D.; Meng, Y.; Wu, Y.; Zhao, X.; Liu, X. The Microwave-Assisted Hydrothermal Synthesis of CoV2O6 and Co3V2O8 with Morphology Tuning by pH Adjustments for Supercapacitor Applications. ChemistrySelect 2019, 4, 956–962. [Google Scholar] [CrossRef]
- Zheng, L.; Xiao, Z.; Wang, X.; Xi, Y.; Zhai, S.; Fu, X.; Hao, J.; An, Q.; Yang, D. Biomass-Assisted Construction of Carbon-Supported Fe–Co–Cu Trimetallic Oxides/Sulfides for Supercapacitors with Excellent Performance. ACS Appl. Energy Mater. 2023, 6, 10862–10873. [Google Scholar] [CrossRef]
- Chu, W.; Shi, Z.; Hou, Y.; Ma, D.; Bai, X.; Gao, Y.; Yang, N. Trifunctional of Phosphorus-Doped NiCo2O4 Nanowire Materials for Asymmetric Supercapacitor, Oxygen Evolution Reaction, and Hydrogen Evolution Reaction. ACS Appl. Mater. Interfaces 2020, 12, 2763–2772. [Google Scholar] [CrossRef] [PubMed]
- Kulurumotlakatla, D.K.; Raghavendra, K.V.G.; Vinodh, R.; Saeed, G.; Muralee Gopi, C.V.V. Facile hydrothermal synthesis of copper oxide microspheres decorated with nickel sulfide nanoparticles battery-type electrode materials for high-energy-density hybrid supercapacitors. J. Energy Storage 2025, 110, 115327. [Google Scholar] [CrossRef]
- Patil, A.M.; Moon, S.; Jadhav, A.A.; Hong, J.; Kang, K.; Jun, S.C. Modifying Electronic Structure of Cation-Exchanged Bimetallic Sulfide/Metal Oxide Heterostructure through In Situ Inclusion of Silver (Ag) Nanoparticles for Extrinsic Pseudocapacitor. Adv. Funct. Mater. 2023, 33, 2305264. [Google Scholar] [CrossRef]
- Patil, A.M.; Wang, J.; Li, S.; Hao, X.; Du, X.; Wang, Z.; Hao, X.; Abudula, A.; Guan, G. Bilateral growth of monoclinic WO3 and 2D Ti3C2Tx on 3D free-standing hollow graphene foam for all-solid-state supercapacitor. Chem. Eng. J. 2021, 421, 127883. [Google Scholar] [CrossRef]
- Cai, D.; Du, J.; Zhu, C.; Cao, Q.; Huang, L.; Wu, J.; Zhou, D.; Xia, Q.; Chen, T.; Guan, C.; et al. Iron Oxide Nanoneedles Anchored on N-Doped Carbon Nanoarrays as an Electrode for High-Performance Hybrid Supercapacitor. ACS Appl. Energy Mater. 2020, 3, 12162–12171. [Google Scholar] [CrossRef]
- Islam, M.R.; Afroj, S.; Karim, N. Scalable Production of 2D Material Heterostructure Textiles for High-Performance Wearable Supercapacitors. ACS Nano 2023, 17, 18481–18493. [Google Scholar] [CrossRef]
- Balamurugan, K.; Velmurugan, R.; Subramanian, B. Effect of in situ annealing on pulsed laser ablated mixed metal oxide (BixMyOz; M=Mn, Mo) thin film electrodes for flexible hybrid supercapacitor devices. Mater. Today Chem. 2024, 35, 101908. [Google Scholar] [CrossRef]
- Zhou, H.; Zheng, S.; Guo, X.; Gao, Y.; Li, H.; Pang, H. Ordered porous and uniform electric-field-strength micro-supercapacitors by 3D printing based on liquid-crystal V2O5 nanowires compositing carbon nanomaterials. J. Colloid Interface Sci. 2022, 628, 24–32. [Google Scholar] [CrossRef]
- Mohanty, R.I.; Mukherjee, A.; Bhanja, P.; Jena, B.K. Novel microporous manganese phosphonate-derived metal oxides as prospective cathode materials for superior flexible asymmetric micro-supercapacitor device. J. Energy Storage 2023, 72, 108730. [Google Scholar] [CrossRef]
- Wang, L.; Shu, T.; Guo, S.; Lu, Y.; Li, M.; Nzabahimana, J.; Hu, X. Fabricating strongly coupled V2O5@PEDOT nanobelts/graphene hybrid films with high areal capacitance and facile transferability for transparent solid-state supercapacitors. Energy Storage Mater. 2020, 27, 150–158. [Google Scholar] [CrossRef]
- Gyanprakash, D.M.; Gupta, P.K.; Sharma, G.P.; Pala, R.G.S. Surface-enhanced OER activity in Co3V2O8 using cyclic charge-discharge to balance electrocatalytic active site generation and degradation. Electrochim. Acta 2021, 367, 137538. [Google Scholar] [CrossRef]
- Yang, Z.; Chen, H.; Xiang, M.; Yu, C.; Hui, J.; Dong, S. Coral reef structured cobalt-doped vanadate oxometalate nanoparticle for a high-performance electrocatalyst in water splitting. Int. J. Hydrogen Energy 2022, 47, 31566–31574. [Google Scholar] [CrossRef]
- Fang, W.; Dang, J.; Hu, Y.; Wu, Y.; Xin, S.; Chen, B.; Zhao, H.; Li, Z. Electronic distribution tuning of vanadium-cobalt bimetallic MOFs for highly efficient hydrazine-assisted energy-saving hydrogen production. Electrochim. Acta 2023, 439, 141682. [Google Scholar] [CrossRef]
- Xing, M.; Kong, L.B.; Liu, M.C.; Liu, L.Y.; Kang, L.; Luo, Y.C. Cobalt vanadate as highly active, stable, noble metal-free oxygen evolution electrocatalyst. J. Mater. Chem. A 2014, 2, 18435–18443. [Google Scholar] [CrossRef]










| Sample Code | Transfer Coefficient (α) | Diffusion Coefficient (cm2/S) × 10−7 | Standard Rate Constant (k0) (cm/S) × 10−5 | |||
|---|---|---|---|---|---|---|
| Reduction | Oxidation | Reduction | Oxidation | Reduction | Oxidation | |
| CVO_U_4h | 0.30 | 0.27 | 1.98 | 2.30 | 7.49 | 6.58 |
| CVO_U_7h | 0.27 | 0.24 | 1.67 | 2.54 | 12.9 | 11.2 |
| CVO_U_10h | 0.25 | 0.22 | 4.26 | 4.51 | 18.6 | 14.2 |
| CVO_U_16h | 0.26 | 0.22 | 3.14 | 3.38 | 18.6 | 10.8 |
| Sample Code | Areal Capacitance (Ca) F/cm2 | Areal Energy Density (EDa) μWh/cm2 | Areal Power Density (PDa) μW/cm2 | Rs (Ω) | Rct (Ω) |
|---|---|---|---|---|---|
| CVO_U_4h | 2.86 | 56 | 567 | 3.01 | 3.91 |
| CVO_U_7h | 3.82 | 77 | 570 | 2.07 | 8.98 |
| CVO_U_10h | 4.67 | 94 | 573 | 2.02 | 2.21 |
| CVO_U_16h | 2.76 | 56 | 570 | 11.8 | 53 |
| Sr. No. | Electrode Material | Areal Capacitance | Areal Energy Density | Areal Power Density | Reference |
|---|---|---|---|---|---|
| 1. | CVO-U-10h//AC | 230 mF/cm2 | 81 μWh/cm2 | 6.4 μW/cm2 | Present work |
| 2. | NiO@N-C/CC//Fe2O3@ N-C/CC | 127.1 mF/cm2 | 32 μWh/cm2 | 0.8 μW/cm2 | [57] |
| 3. | MoS2-graphene bilayer/textile | 63.73 mF/cm2 | 35.40 μWh/cm2 | 8.4 μW/cm2 | [58] |
| 4. | BiMnxOy∥PVA-KOH∥Bi2MoO6 | 52 mF/cm2 | 18.5 μWh/cm2 | 978.7 μW/cm2 | [59] |
| 5. | V2O5//C | 34.68 mF/cm2 | 1.73 μWh/cm2 | 0.072 μW/cm2 | [60] |
| 6. | NP/MnO2700//AC | 32.8 mF/cm2 | 18.2 μWh/cm2 | 65.6 μW/cm2 | [61] |
| 7. | V2O5@PEDOT/graphene | 22.4 mF/cm2 | 0.18 μWh/cm2 | 11.0 μW/cm2 | [62] |
| Electrode | Overpotential mV (HER) | Tafel mV/dec (HER) | Overpotential mV (OER) | Tafel mV/dec (OER) | Reference |
|---|---|---|---|---|---|
| Co3V2O8 | - | - | 190 | 85 | [63] |
| CoO-V2O5 | 297 | 159 | 429 | 175 | [64] |
| V8.3-Co-MOF | 293 | 156 | 435 | 78 | [65] |
| Co3V2O8 | 278 | 180 | 318 | 130 | [64] |
| Co3V2O8 | - | - | 359 | 65 | [66] |
| V16.7-Co-MOF | 271 | 146 | 413 | 77 | [65] |
| CVO_U_10h | 259 | 176 | 578 (30 mA/cm2) | 389 | Present work |
Disclaimer/Publisher’s Note: The statements, opinions and data contained in all publications are solely those of the individual author(s) and contributor(s) and not of MDPI and/or the editor(s). MDPI and/or the editor(s) disclaim responsibility for any injury to people or property resulting from any ideas, methods, instructions or products referred to in the content. |
© 2025 by the authors. Licensee MDPI, Basel, Switzerland. This article is an open access article distributed under the terms and conditions of the Creative Commons Attribution (CC BY) license (https://creativecommons.org/licenses/by/4.0/).
Share and Cite
Yewale, M.A.; Shin, D.K. Improvement of Co3V2O8 Nanowire Driven by Morphology for Supercapacitor and Water Splitting Applications. Batteries 2025, 11, 118. https://doi.org/10.3390/batteries11040118
Yewale MA, Shin DK. Improvement of Co3V2O8 Nanowire Driven by Morphology for Supercapacitor and Water Splitting Applications. Batteries. 2025; 11(4):118. https://doi.org/10.3390/batteries11040118
Chicago/Turabian StyleYewale, Manesh Ashok, and Dong Kil Shin. 2025. "Improvement of Co3V2O8 Nanowire Driven by Morphology for Supercapacitor and Water Splitting Applications" Batteries 11, no. 4: 118. https://doi.org/10.3390/batteries11040118
APA StyleYewale, M. A., & Shin, D. K. (2025). Improvement of Co3V2O8 Nanowire Driven by Morphology for Supercapacitor and Water Splitting Applications. Batteries, 11(4), 118. https://doi.org/10.3390/batteries11040118
