Fin-Embedded PCM Tubes in BTMS: Heat Transfer Augmentation and Mass Minimization via Multi-Objective Surrogate Optimization
Abstract
1. Introduction
2. PCM-EST Structure and Parameter Design
2.1. PCM-EST Structure
2.2. PCM-EST Parameter Design
2.3. PCM-EST Model
2.3.1. Heat Transfer Model of PCM-EST
2.3.2. PCM-EST Heat Storage Model
2.4. Boundary Conditions and Parameter Settings
| Density [kg/m3] | Freezing Point [°C] | Boiling Point [°C] | Kinematic Viscosity [mm2/s] | Dynamic Viscosity [N·s/m2] | Specific Heat Capacity [J/kg·K] | Thermal Conductivity [W/m·K] |
|---|---|---|---|---|---|---|
| 1073.35 | −37.9 | 107.8 | 3.67 | 0.00394 | 3281 | 0.38 |
2.5. CFD Numerical Simulation
3. PCM-EST Parameter Sensitivity Analysis and Selection
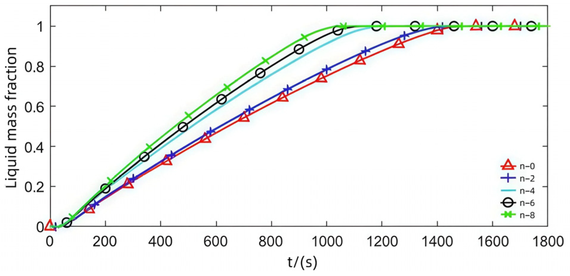
3.1. Impact of the Fins Number
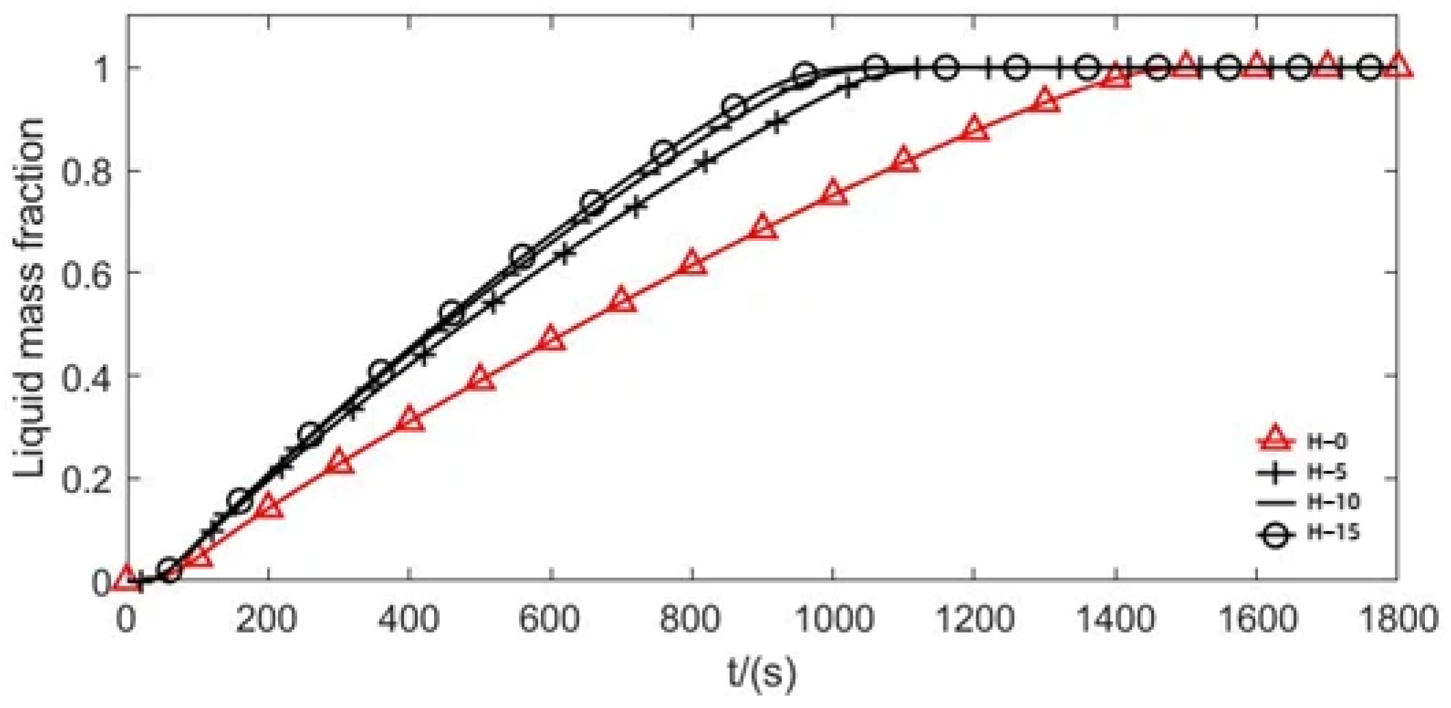
3.2. Impact of Fin Height Proportion
3.3. Impact of Tube Section Dimensions
4. Optimization of Energy Storage Tube Parameters Based on Particle Swarm Algorithm
4.1. Optimization Design of PCM-EST Structure Parameters
4.1.1. Optimization Process
4.1.2. Design Variables
4.1.3. Tube Heat Transfer and Pressure Drop Theory and Evaluation Indexes
4.2. Optimization Using Particle Swarm Algorithm Based on Kriging Surrogate Model
4.2.1. Sampling and Numerical Simulation
4.2.2. Establishment of the Surrogate Model
4.2.3. Analysis of the Influence of Multiple Variables on Y1(), Y2(m), Y3(), and Y4()
4.2.4. Multi-Objective Particle Swarm Optimization (MOPSO)
5. Conclusions
Author Contributions
Funding
Data Availability Statement
Conflicts of Interest
References
- Zhang, X.; Li, Y.; Wang, J. A review on phase change materials for vehicle battery thermal management. Renew. Sustain. Energy Rev. 2018, 82, 3155–3168. [Google Scholar]
- Wu, W.; Xu, X.; Zheng, Z. Thermal management of power battery packs with phase change materials: A comprehensive review. Energy Convers. Manag. 2019, 182, 262–281. [Google Scholar] [CrossRef]
- Huang, R.; Hong, W.; Yu, X. Experimental study on phase change cooling for lithium-ion power batteries. Exp. Technol. Manag. 2019, 36, 81–85. [Google Scholar]
- Verma, A.; Shashidhara, S.; Rakshit, D. A comparative study on battery thermal management using phase change material (PCM). Therm. Sci. Eng. Prog. 2019, 11, 74–83. [Google Scholar] [CrossRef]
- Maan, A.; Ibrahim, D.; Rosen, M.A. A novel approach for performance improvement of liquid-to-vapor based battery cooling systems. Energy Convers. Manag. 2019, 187, 191–204. [Google Scholar]
- Mehdi, M.; Ehsan, H.; Mehdi, A. A novel hybrid thermal management for Li-ion batteries using phase change materials embedded in copper foams combined with forced-air convection. Int. J. Therm. Sci. 2019, 141, 47–61. [Google Scholar]
- Gou, J.R.; Liu, W.; Luo, Y.Q. The thermal performance of a novel internal cooling method for the electric vehicle battery: An experimental study. Appl. Therm. Eng. 2019, 161, 114102. [Google Scholar] [CrossRef]
- Ramandi, M.Y.; Dincer, I.; Naterer, G.F. Heat transfer and thermal management of electric vehicle batteries with phase change materials. Heat Mass Transf. 2011, 47, 777–788. [Google Scholar] [CrossRef]
- Park, S.; Jang, D.S.; Lee, D.; Hong, S.H.; Kim, Y. Simulation on cooling performance characteristics of a refrigerant-cooled active thermal management system for lithium-ion batteries. Int. J. Heat Mass Transf. 2019, 135, 131–141. [Google Scholar] [CrossRef]
- Fu, L.Q.; Cao, D.Y.; Song, Y.F. Battery thermal management system based on phase change heat dissipation and resistance wire heating. Sci. Technol. Innov. 2019, 99–100. [Google Scholar]
- Liu, Z.Q.; Huang, J.H.; Cao, M.; Jiang, G.W.; Yan, Q.H.; Hu, J. Experimental study on the thermal management of batteries based on the coupling of composite phase change materials and liquid cooling. Appl. Therm. Eng. 2021, 185, 116415. [Google Scholar] [CrossRef]
- Farid, M.M.; Khudhair, A.M.; Razack, S.A.K.; Al-Hallaj, S. A review on phase change energy storage: Materials and applications. Energy Convers. Manag. 2004, 45, 1597–1615. [Google Scholar] [CrossRef]
- Khateeb, S.; Amiruddin, S.; Farid, M.M.; Selman, J.R. Design and simulation of a lithium-ion battery with a phase change material thermal management system for an electric scooter. J. Power Sources 2004, 128, 292–307. [Google Scholar] [CrossRef]
- Song, Z.; Chen, H.; Guo, H.; Ye, F.; Zhang, W. Dynamic simulation of a fuel cell vehicle heating system assisted by a heat storage device. J. Automot. Saf. Energy 2024, 15, 54–62. [Google Scholar]
- Agyenim, F.; Eames, P.; Smyth, M. Heat transfer enhancement in medium temperature thermal energy storage system using a multitube heat transfer array. Renew. Energy 2010, 35, 198–207. [Google Scholar] [CrossRef]
- Ji, C.; Liu, D.; Waqas, H.; Sun, S.-L.; Jalili, B.; Abdelmohimen, M.A. Melting performance of molten salt with nanoparticles in a novel triple tube with leaf-shaped fins. Case Stud. Therm. Eng. 2024, 61, 105063. [Google Scholar] [CrossRef]
- Ji, C.; Waqas, H.; Liu, D.; Kang, C.; Muhammad, T. Melting performance improvement of phase change materials with thermal energy storage unit using nanoparticles. Case Stud. Therm. Eng. 2024, 61, 104892–104911. [Google Scholar] [CrossRef]
- Waqas, H.; Hussain, M.; Al-Mdallal, Q.M.; Ahammad, N.A.; Elseesy, I.E. The impact of nano-infused phase change materials and blossom-shaped fins on thermal energy storage. Case Stud. Therm. Eng. 2025, 65, 105623. [Google Scholar] [CrossRef]
- Al-Abidi, A.A.; Mat, S.; Sopian, K.; Sulaiman, M.Y.; Mohammad, A.T. Internal and external fin heat transfer enhancement technique for latent heat thermal energy storage in triplex tube heat exchangers. Appl. Therm. Eng. 2013, 53, 147–156. [Google Scholar] [CrossRef]
- Hosseini, M.J.; Rahimi, M.; Bahrampoury, R. Experimental and computational evolution of a shell and tube heat exchanger as a PCM thermal storage system. Int. Commun. Heat Mass Transf. 2014, 50, 128–136. [Google Scholar] [CrossRef]
- Yan, P.; Fan, W.; Yang, Y.; Ding, H.; Arshad, A.; Wen, C. Performance enhancement of phase change materials in triplex-tube latent heat energy storage system using novel fin configurations. Appl. Energy 2022, 327, 120064. [Google Scholar] [CrossRef]
- Hong, Y.; Bai, D.; Huang, Y.; Du, J. Effect of T-shaped fin arrangements on the temperature control performance of a phase change material heat sink. Int. Commun. Heat Mass Transf. 2023, 148, 107073. [Google Scholar] [CrossRef]
- Peng, B.; Qiu, M.; Zhou, Y.; Xu, X.; Zhang, R.; Su, F. Collaborative optimization of intersectional angle and installation height of branched fin for ameliorating melting characteristics of lowly thermal conductive phase change materials (PCMs). Int. Commun. Heat Mass Transf. 2023, 147, 106999. [Google Scholar] [CrossRef]
- Masoumpour-Samakoush, M.; Miansari, M.; Ajarostaghi, S.S.M.; Arıcı, M. Impact of innovative fin combination of triangular and rectangular fins on melting process of phase change material in a cavity. J. Energy Storage 2022, 45, 103545. [Google Scholar] [CrossRef]
- Waqas, H.; Hasan, J.; Ji, C.; Liu, D.; Kang, C.; Muhammad, T. Melting performance of PCM with MoS2 and Fe3O4 nanoparticles using leaf-based fins with different orientations in a shell and tube-based TES system. Int. Commun. Heat Mass Transf. 2024, 158, 107944. [Google Scholar] [CrossRef]
- Yuwen, Z.; Faghri, A. Heat transfer enhancement in latent heat thermal energy storage system by using the internally finned tube. Int. J. Heat Mass Transf. 1996, 39, 3165–3173. [Google Scholar] [CrossRef]
- Qiao, H.; Wennan, Z. A study on latent heat storage exchangers with high-temperature phase-change material. Int. J. Energy Res. 2001, 25, 331–341. [Google Scholar]
- Jiang, G.; Huang, J.; Fu, Y.; Cao, M.; Liu, M. Thermal optimization of composite phase change material/expanded graphite for Li-ion battery thermal management. Appl. Therm. Eng. 2016, 108, 1119–1125. [Google Scholar] [CrossRef]
- Wang, W.; Wu, W.; Xu, X. Optimization of a phase change material-based thermal management system for lithium-ion battery modules using surrogate models and genetic algorithm. Appl. Energy 2020, 271, 115217. [Google Scholar]
- Yang, Y.; Li, S.; Zhang, H. Multi-objective optimization of phase change material heat sinks using particle swarm optimization and Kriging model. Appl. Therm. Eng. 2019, 152, 103–113. [Google Scholar]
- Bianco, N.; Fragnito, A.; Iasiello, M.; Mauro, G.M.; Mongibello, L. Multi-objective optimization of a phase change material-based shell-and-tube heat exchanger for cold thermal energy storage: Experiments and numerical modeling. Appl. Therm. Eng. 2022, 215, 119047. [Google Scholar] [CrossRef]
- Liu, Z.; Li, C. Optimizing the geometric parameters of double branched fins for improving the melting performance of PCM. J. Energy Storage 2025, 118, 116284. [Google Scholar] [CrossRef]
- Darzi, A.R.; Farhadi, M.; Sedighi, K. Numerical study of melting inside concentric and eccentric horizontal annulus. Appl. Math. Model. 2012, 36, 4080–4086. [Google Scholar] [CrossRef]
- Xia, T. Study on Heat Transfer Enhancement of Sleeve-Type Phase Change Energy Storage Unit with Fins. Master’s Thesis, Yangzhou University, Yangzhou, China, 2021. [Google Scholar]
- Liu, C. Experimental Study on Phase Change Heat Storage and Heat Exchanger for Waste Heat Recovery. Master’s Thesis, Beijing University of Civil Engineering and Architecture, Beijing, China, 2020. [Google Scholar]
- Ye, S.; Diao, Y.; Zhao, Y. Heat storage and release performance analysis of a novel flat heat pipe phase change heat storage unit. Electr. Power Constr. 2014, 35, 136–140. [Google Scholar]
- Yang, Y.; Liang, Y.N.; Zhou, J.M.; Wu, Y. Study on heat transfer efficiency of shell-and-tube phase change thermal storage device. Therm. Sci. Technol. 2011, 10, 226–230. [Google Scholar]
- Niu, F.X.; Ni, L.; Yao, Y.; Ma, Z.L. Study on heat storage characteristics of a triple-tube energy storage heat exchanger. J. Hunan Univ. (Nat. Sci.) 2011, 38, 69–72. [Google Scholar]
- Zhu, B.; Du, R.H.; Yao, M.Y.; Zhao, Y.Y.; Zhang, Y. Research on battery thermal management of pure electric vehicles based on PCM. Power Supply Technol. 2020, 44, 1666–1670. [Google Scholar]
- Ma, Y.J. Design and Simulation of Phase-Change-Based Power Battery Cooling. Master’s Thesis, Tsinghua University, Beijing, China, 2019. [Google Scholar]
- Du, R.H. Research on Integrated Thermal Management System of Pure Electric Vehicles Based on PCM. Ph.D. Thesis, Hefei University of Technology, Hefei, China, 2021. [Google Scholar]
- Cao, X.L. Study on Heat Transfer Characteristics and Optimization Design of a Sleeve-Type Phase Change Heat Storage Device. Master’s Thesis, Southwest Jiaotong University, Chengdu, China, 2019. [Google Scholar]
- Wang, F.J. Computational Fluid Dynamics Analysis: Principles and Applications of CFD Software; Tsinghua University Press: Beijing, China, 2004. [Google Scholar]
- Karaipekli, A.; Sari, A.; Kaygusuz, K. Thermal conductivity improvement of stearic acid using expanded graphite and carbon fiber for energy storage applications. Renew. Energy 2007, 32, 2201–2210. [Google Scholar] [CrossRef]
- Lophaven, S.N.; Nielsen, H.B.; Søndergaard, J. DACE—A Matlab Kriging Toolbox, Version 2.0; Informatics and Mathematical Modelling, Technical University of Denmark, DTU: Kongens Lyngby, Denmark, 2002; IMM-TR-2002-12. [Google Scholar]
- Yang, Y.Z.; Wang, S.H.; Chen, F.; Yin, S.L.; Song, Y.P.; Yu, J.Y. Optimization design of CW-type original surface heat exchange unit based on Kriging model. J. Eng. Thermophys. 2022, 43, 3244–3251. [Google Scholar]
- Hao, Q.B.; Gao, H.; Wan, S.J. A local support vector machine based on PSO feature weighting. Intell. Comput. Appl. 2018, 8, 61–63+68. [Google Scholar]





















| Composition | Phase-Transition Temperature (°C) | Latent Heat (kJ/kg) | Thermal Conductivity (W∙m−1∙K−1) | Specific Heat Capacity (kJ∙kg−1∙K−1) | Density (kg∙m−3) |
|---|---|---|---|---|---|
| Expanded graphite/paraffin wax | 38.6–45.9 | 164 | 10.5 | 2.15 | 910 |
| Geometric Parameters | Symbol | Numerical Value |
|---|---|---|
| Heat transfer tube | 67 mm | |
| Insulation layer diameter | 28 mm | |
| Tube length | 1000 mm | |
| Number of fins | n | 0 |
| PCM volume | Vpcm1 | 2.5 L |
| Time (s) | n = 0 | n = 2 | n = 4 | n = 6 | n = 8 | |
|---|---|---|---|---|---|---|
| 300 | ![]() | ![]() | ![]() | ![]() | ![]() | ![]() |
| 600 | ![]() | ![]() | ![]() | ![]() | ![]() | |
| 900 | ![]() | ![]() | ![]() | ![]() | ![]() | |
| 1200 | ![]() | ![]() | ![]() | ![]() | ![]() |
| Time (s) | = 0 | = 5 | = 10 | = 15 | |
|---|---|---|---|---|---|
| 300 | ![]() | ![]() | ![]() | ![]() | ![]() |
| 600 | ![]() | ![]() | ![]() | ![]() | |
| 900 | ![]() | ![]() | ![]() | ![]() | |
| 1200 | ![]() | ![]() | ![]() | ![]() |
| Parameter | Structure Parameters | ||||
|---|---|---|---|---|---|
| Model 1 | Model 2 | Model 3 | Model 4 | Model 5 | |
| (mm) | 18 | 28 | 34 | 39 | 41 |
| (mm) | 900 | 1000 | 1200 | 1400 | 1500 |
| (mm) | 16 | 12 | 8 | 6 | 5 |
| Design Variables | Lower Limit Value | Upper Limit Value |
|---|---|---|
| Length () | 900 | 1500 |
| Number of fins (n) | 0 | 8 |
| Proportion of fin height () | 0 | 1 |
| Goodness of Fit R2 | regpoly0 | regpoly1 | regpoly2 | Equation (25) |
|---|---|---|---|---|
| R2 () | 0.0072 | 0.8235 | 0 | 0.9156 |
| R2 () | 0.9912 | 0.9800 | 0.9986 | \ |
| R2 () | 0.9153 | 0.6472 | 0 | \ |
| R2 ) | 0.9778 | 0.9189 | 0.1494 | \ |
| Parameters | m | |||
|---|---|---|---|---|
| Particle swarm results | 956.5919 | 0.8684 | 1.3546 | 4.3882 |
| CFD results | 932.60439 | 0.941006 | 1.3345 | 4.416 |
| Initial design parameters | 714.38 | 0.49 | 1.2702 | 5.148 |
Disclaimer/Publisher’s Note: The statements, opinions and data contained in all publications are solely those of the individual author(s) and contributor(s) and not of MDPI and/or the editor(s). MDPI and/or the editor(s) disclaim responsibility for any injury to people or property resulting from any ideas, methods, instructions or products referred to in the content. |
© 2025 by the authors. Licensee MDPI, Basel, Switzerland. This article is an open access article distributed under the terms and conditions of the Creative Commons Attribution (CC BY) license (https://creativecommons.org/licenses/by/4.0/).
Share and Cite
Zhu, B.; Zhang, Y.; Yan, Z. Fin-Embedded PCM Tubes in BTMS: Heat Transfer Augmentation and Mass Minimization via Multi-Objective Surrogate Optimization. Batteries 2025, 11, 387. https://doi.org/10.3390/batteries11100387
Zhu B, Zhang Y, Yan Z. Fin-Embedded PCM Tubes in BTMS: Heat Transfer Augmentation and Mass Minimization via Multi-Objective Surrogate Optimization. Batteries. 2025; 11(10):387. https://doi.org/10.3390/batteries11100387
Chicago/Turabian StyleZhu, Bo, Yi Zhang, and Zhengfeng Yan. 2025. "Fin-Embedded PCM Tubes in BTMS: Heat Transfer Augmentation and Mass Minimization via Multi-Objective Surrogate Optimization" Batteries 11, no. 10: 387. https://doi.org/10.3390/batteries11100387
APA StyleZhu, B., Zhang, Y., & Yan, Z. (2025). Fin-Embedded PCM Tubes in BTMS: Heat Transfer Augmentation and Mass Minimization via Multi-Objective Surrogate Optimization. Batteries, 11(10), 387. https://doi.org/10.3390/batteries11100387







































