Research on the Fast Charging Strategy of Power Lithium-Ion Batteries Based on the High Environmental Temperature in Southeast Asia
Abstract
1. Introduction
2. Models and Methods
2.1. Physical Model and Parameters
2.2. Battery Model
2.2.1. Coolant Model
2.2.2. Heat Generation Model
- Heat conductionThe heat transfer within the battery presents a regularity: it flows from the high-temperature zone to the low-temperature zone until the temperature is balanced. During the heat transfer process, the component structures inside the battery are stable, and the macroscopic displacement can be neglected. It can be regarded that the microscopic particles within transfer energy during their movement. The expression is as follows [26]:where represents the heat exchange area, and is the temperature gradient.
- Heat convectionThe thermal energy within a LIB is conducted to the exterior through a fluid medium, and the energy transfer of this process can be computed in accordance with Newton’s law of cooling:where is the heat transfer coefficient, and denotes the temperature difference between the battery and the fluid.
2.3. The Calculation Method of Battery Heat Generation
- Battery Discharge: When the battery temperature is left to stabilize at 25 °C, it is discharged to SOC = 0% at a rate of 0.33 C.
- Standstill: The battery is left in standstill for 1 h after discharging to ensure it reaches an equilibrium state.
- Constant Current Pulse Test: A constant charging pulse current is imposed on the battery for a duration of 10 s, with the pulse current implemented in accordance with Table 3. Subsequently, the battery is left at rest for 30 s. Next, a constant discharging current pulse is applied to the battery for 10 s, and the pulse current is executed as per Table 3.
- SOC Node: After each pulse, the battery is charged at 0.33 C to the next SOC node, and the operations of steps 1 and 3 are repeated. The interval between each SOC node is 10%.
- Stop: Charging ceases when the SOC is charged to 100% at a rate of 0.33 C.
2.4. Numerical Methods
- Inlet: Flow inlet. The coolant flow rate is 12 L/min, and the coolant temperature at the inlet is 22 °C;
- Outlet: Pressure outlet. Pout = 0 Pa.
- Ambient temperature: 40 °C.
2.5. Fast Charging Strategy
2.6. Cooling Strategy
- The liquid cooling system is activated: The maximum battery temperature is ≥38 °C; inlet coolant temperature: 22 °C; coolant flow rate: 12 L/min;
- The liquid cooling system is deactivated: The maximum battery temperature is ≤33 °C.
3. Results and Discussion
3.1. Charging Performance
- Urban Areas and Workday Utilization: A large number of charging piles are available, and the majority of users opt to charge their batteries when the SOC is 10%.
- Highways and Long-Distance Utilization: The number of service areas equipped with charging facilities is scarce and the distances between adjacent ones are considerable. Users would choose to charge when the SOC is 30%.
3.1.1. Charging Time
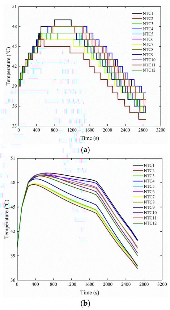
3.1.2. Battery Temperature
3.2. The Influence of Cooling Strategies on Charging Performance
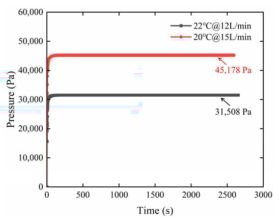
3.2.1. The Influence of Inlet Flow Rate
3.2.2. The Influence of the Inlet Coolant Temperature
3.3. The Optimization of the Fast Charging Strategy
3.3.1. Comparison of Charging Performance
3.3.2. Experimental Validation
- Connect the charge and discharge equipment and the acquisition equipment to ensure normal data acquisition. The high- and low-temperature control box adjusts the temperature to 25 °C, and the battery pack temperature is left to stabilize at 25 °C ± 2 °C.
- Discharge at a 1/3 C discharge rate until the SOC reaches 0%.
- Adjust the temperature of the high- and low-temperature control box to 40 °C. When the temperature of the battery pack reaches 40 °C ± 2 °C and the temperature difference is no more than 2 °C, charge it to 100% SOC in accordance with the rapid charging strategy.
- Record data such as the charging time, the temperature of the coolant, the current, the SOC, and the temperatures at each monitoring point.
4. Conclusions
Author Contributions
Funding
Data Availability Statement
Conflicts of Interest
References
- Potiwan, P.; Pothiwan, M.; Yuan, X.M.; Bamroongboon, K. Next generation vehicles: Status quo in Southeast Asia. Int. J. Global Warm. 2022, 28, 60–80. [Google Scholar] [CrossRef]
- Witsarut, A.; Pana, S.; Sarunnoud, P.; Yuttana, M.; Ramnarong, W.; Panuwat, P. Potential reductions of CO2 emissions from the transition to electric vehicles: Thailand’s scenarios towards 2030. Energy Rep. 2023, 9, 124–130. [Google Scholar]
- Veza, I.; Abas, M.A.; Djamari, D.W.; Tamaldin, N.; Endrasari, F.; Budiman, B.A.; Idris, M.; Opia, A.C.; Juangsa, F.B.; Aziz, M. Electric Vehicles in Malaysia and Indonesia: Opportunities and Challenges. Energies 2022, 15, 2564. [Google Scholar] [CrossRef]
- Ahmad, A.; Roger, D.; Ariel, L.; Gawler, R. Integration of Electric Vehicles and Renewable Energy in Indonesia’s Electrical Grid. Energies 2024, 17, 2037. [Google Scholar] [CrossRef]
- Roy, N.; Kumar, K.S.; Raju, B.D.; Karami, A.M.; Reddy, G.R.; Barai, H.R.; Joo, S.W. Influence of metal cations on 3D MCoMnO4 microstructures (M = Ni and Zn) for battery-type supercapacitors: A comprehensive study. Colloid. Surface A 2024, 685, 133240. [Google Scholar] [CrossRef]
- Steinhardt, M.; Barreras, J.V.; Ruan, H.J.; Wu, B.; Offer, G.J.; Jossen, A. Meta-analysis of experimental results for heat capacity and thermal conductivity in lithium-ion batteries: A critical review. J. Power Sources 2022, 522, 230829. [Google Scholar] [CrossRef]
- Liu, Z.; Wang, B.; Chen, S.; Li, P. Lithium-ion battery pack thermal management under high ambient temperature and cyclic charging-discharging strategy design. J. Energy Storage 2024, 80, 110391. [Google Scholar] [CrossRef]
- Yu, C.; Huang, S.; Xu, H.; Yan, J.; Rong, K.; Sun, M. Optimal charging of lithium-ion batteries based on lithium precipitation suppression. J. Energy Storage 2024, 82, 110580. [Google Scholar] [CrossRef]
- Chavan, S.; Venkateswarlu, B.; Salman, M.; Liu, J.; Pawar, P.; Choi, G.S.; Kim, S.C. Thermal management strategies for lithium-ion batteries in electric vehicles: Fundamentals, recent advances, thermal models, and cooling techniques. Int. J. Heat. Mass. Tran. 2024, 232, 125918. [Google Scholar] [CrossRef]
- Tang, A.K.; Yang, J.Z.; Yang, P.; Zhang, H.; Cai, T. Optimization and working performance analysis of liquid cooling plates in refrigerant direct cooling power battery systems. Int. J. Heat. Mass. Tran. 2024, 231, 125899. [Google Scholar] [CrossRef]
- Zhang, B.X.; Yuan, N.L.; Kong, B.B.; Zou, Y.T.; Shi, H. Simulation of hybrid air-cooled and liquid-cooled systems for optimal lithium-ion battery performance and condensation prevention in high-humidity environments. Appl. Therm. Eng. 2024, 257, 124455. [Google Scholar] [CrossRef]
- Kang, Y.J.; Hu, Y.P.; Zhang, C.H.; Yang, K.; Zhang, Q. Experimental study on charge amount of low-GWP refrigerants in electric vehicle thermal management system. Appl. Therm. Eng. 2024, 256, 124059. [Google Scholar] [CrossRef]
- Zhao, G.; Wang, X.L.; Negnevitsky, M.; Li, C.J. An up-to-date review on the design improvement and optimization of the liquid-cooling battery thermal management system for electric vehicles. Appl. Therm. Eng. 2024, 219, 119626. [Google Scholar] [CrossRef]
- Guo, R.; Li, L. Heat dissipation analysis and optimization of lithium-ion batteries with a novel parallel-spiral serpentine channel liquid cooling plate. Int. J. Heat. Mass. Tran. 2022, 189, 122706. [Google Scholar] [CrossRef]
- Zhao, D.; Lei, Z.; An, C. Research on battery thermal management system based on liquid cooling plate with honeycomb-like flow channel. Appl. Therm. Eng. 2023, 218, 119324. [Google Scholar] [CrossRef]
- Kewalramani, G.V.; Agrawal, A.; Saha, S.K. Modeling of microchannel heat sinks for electronic cooling applications using volume averaging approach. Int. J. Heat. Mass. Tran. 2017, 115, 395–409. [Google Scholar] [CrossRef]
- Fan, Y.; Wang, Z.; Fu, T.; Wu, H. Numerical investigation on lithium-ion battery thermal management utilizing a novel tree-like channel liquid cooling plate exchanger. Int. J. Heat. Mass. Tran. 2022, 183, 122143. [Google Scholar] [CrossRef]
- Luo, T.; Wang, Q.; Dai, L.; Dang, X.; He, Z.; Ji, H. Numerical studies on topological design of cold plate for a cell-to-pack battery system. Appl. Therm. Eng. 2024, 244, 122715. [Google Scholar] [CrossRef]
- He, P.; Lu, H.; Fan, Y.; Ruan, H.; Wang, C.; Zhu, Y. Numerical investigation on a lithium-ion battery thermal management system utilizing a double-layered I-shaped channel liquid cooling plate exchanger. Int. J. Therm. Sci. 2023, 187, 108200. [Google Scholar] [CrossRef]
- Mao, S.; Han, M.; Han, X.; Lu, L.; Feng, X.; Su, A.; Wang, D.; Chen, Z.; Lu, Y.; Ouyang, M. An Electrical–Thermal Coupling Model with Artificial Intelligence for State of Charge and Residual Available Energy Co-Estimation of LiFePO4 Battery System under Various Temperatures. Batteries 2022, 8, 140. [Google Scholar] [CrossRef]
- Gao, T.F.; Bai, J.L.; Ouyang, D.X.; Wang, Z.R.; Bai, W.; Mao, N.; Zhu, Y. Effect of aging temperature on thermal stability of lithium-ion batteries: Part A-High-temperature aging. Renew. Energy 2023, 203, 592–600. [Google Scholar] [CrossRef]
- Sheng, L.; Zhang, C.F.; Xu, J.; Zhang, X.J.; Wang, X.Y.; Zhang, Z.D. In-situ characterization approach for heat-generating performances of a pouch lithium-ion battery. Appl. Therm. Eng. 2024, 256, 124081. [Google Scholar] [CrossRef]
- Same, J.S.; El-Tayeb, A.; Moukhtar, I.; Abdelhameed, E.H.; El-Dein, A.Z. Effect of Thermal Parameters on Behaviour of a Lithium-Ion Battery: Simulation Study. Int. J. Electrochem. Sc. 2022, 17, 220951. [Google Scholar] [CrossRef]
- Hwang, S.; Choi, R.; Kim, S.; Song, M.; Kim, T. Numerical analysis of LiFePo4 battery thermal management system using cold plate. J. Mech. Sci. Technol. 2023, 37, 3163–3171. [Google Scholar] [CrossRef]
- de Parga-Regalado, A.M.A. Analytical approximation of optimal thermoeconomic efficiencies for a Novikov engine with a Stefan–Boltzmann heat transfer law. Results Phys. 2023, 54, 107059. [Google Scholar] [CrossRef]
- Zhao, J.; Chu, D.; Yang, X.; Zhang, W.; Kang, B. Study on thermal model of thermal battery. Chin. J. Power Sources 2008, 32, 614–616. [Google Scholar]
- Shen, K.; Chen, L.; Feng, X.; Zheng, Y.; Sun, Y.; Xu, C.; Wang, H.; Jin, C.; Han, X.; Lai, X.; et al. Non-destructive battery fast charging constrained by lithium plating and high temperature limit based on simulation. J. Energy Storage 2024, 84, 110896. [Google Scholar] [CrossRef]
- Landini, S.; O’Donovan, T.S. Novel experimental approach for the characterisation of Lithium-Ion cellsperformance in isothermal conditions. Energy 2021, 214, 118965. [Google Scholar] [CrossRef]
- Xie, W.; Guo, P.; Gao, X. Elucidating the rate limitation of lithium-ion batteries under different charging conditions through polarization analysis. J. Energy Storage 2024, 82, 110554. [Google Scholar] [CrossRef]
- Trinuruk, P.; Onnuam, W.; Senanuch, N.; Sawatdeejui, C.; Jenyongsak, P.; Wongwises, S. Experimental and Numerical Studies on the Effect of Lithium-Ion Batteries’ Shape and Chemistry on Heat Generation. Energies 2023, 16, 264. [Google Scholar] [CrossRef]
- Lin, B.Q.; Yang, M.Q. Changes in consumer satisfaction with electric vehicle charging infrastructure: Evidence from two cross-sectional surveys in 2019 and 2023. Energ Policy 2024, 185, 113924. [Google Scholar] [CrossRef]


















| Structure | Material | Density (kg/m3) | Specific Heat Capacity (J/kg·K) | Thermal Conductivity (W/m·K) |
|---|---|---|---|---|
| Upper part housing | steel | 7800 | 480 | 58 |
| Thermal pad | mixtures | 2200 | 2100 | 1.5 |
| Pipe | nylon | 1030 | 1800 | 0.16 |
| Liquid cooling plate | Al | 2730 | 893 | 167 |
| Gasket | silica gel | 360 | 920 | 0.07 |
| Battery housing | Al | 2730 | 893 | 167 |
| Cell | mixtures | 2165 | 966 | 12.3/3.2/10.1(x/y/z-direction) |
| Side panel | Al | 2730 | 893 | 167 |
| Insulating frame | silica gel | 433 | 1175 | 0.04 |
| Insulating sheet | PP + PET | 1200 | 1170 | 0.2 |
| End panel | Al | 2730 | 893 | 167 |
| Item | Specification | Notes |
|---|---|---|
| Rated capacity | 120 Ah | 25 °C & 1/3 C |
| Rated voltage | 3.22 V | 25 °C & 1/3 C |
| Mass | 2.05 kg | / |
| Operating temperature | Discharge: −30~55 °C Charge: −20~55 °C | / |
| Maximum current allowed for continuous charging | 384 A | 3.2 C |
| Dimensions | 44.0 × 194.5 × 114.5 mm | Thickness × Width × Height |
| SOC (%) | 3 | 5 | 10 | 20 | 30 | 40 | 50 | 60 | 70 | 80 | 90 | 95 | 100 |
|---|---|---|---|---|---|---|---|---|---|---|---|---|---|
| Charging rate (C) | / | 4.26 | 4.26 | 3.6 | 3.25 | 2.79 | 2.35 | 2.13 | 1.87 | 1.70 | 1.45 | 1.29 | / |
| Discharging rate (C) | 2.20 | 2.86 | 4.25 | 5.26 | 5.26 | 5.26 | 5.26 | 5.26 | 5.26 | 5.26 | 5.26 | / | 5.26 |
Disclaimer/Publisher’s Note: The statements, opinions and data contained in all publications are solely those of the individual author(s) and contributor(s) and not of MDPI and/or the editor(s). MDPI and/or the editor(s) disclaim responsibility for any injury to people or property resulting from any ideas, methods, instructions or products referred to in the content. |
© 2024 by the authors. Licensee MDPI, Basel, Switzerland. This article is an open access article distributed under the terms and conditions of the Creative Commons Attribution (CC BY) license (https://creativecommons.org/licenses/by/4.0/).
Share and Cite
Zhang, Q.; Yu, Y. Research on the Fast Charging Strategy of Power Lithium-Ion Batteries Based on the High Environmental Temperature in Southeast Asia. Batteries 2025, 11, 5. https://doi.org/10.3390/batteries11010005
Zhang Q, Yu Y. Research on the Fast Charging Strategy of Power Lithium-Ion Batteries Based on the High Environmental Temperature in Southeast Asia. Batteries. 2025; 11(1):5. https://doi.org/10.3390/batteries11010005
Chicago/Turabian StyleZhang, Qin, and Yuyang Yu. 2025. "Research on the Fast Charging Strategy of Power Lithium-Ion Batteries Based on the High Environmental Temperature in Southeast Asia" Batteries 11, no. 1: 5. https://doi.org/10.3390/batteries11010005
APA StyleZhang, Q., & Yu, Y. (2025). Research on the Fast Charging Strategy of Power Lithium-Ion Batteries Based on the High Environmental Temperature in Southeast Asia. Batteries, 11(1), 5. https://doi.org/10.3390/batteries11010005
