Pyrrolidinium-Based Ionic Liquids as Advanced Non-Aqueous Electrolytes for Safer Next Generation Lithium Batteries
Abstract
1. Introduction
2. Materials and Methods
2.1. Chemicals
2.2. Differential Scanning Calorimetry
2.3. Ionic Conductivity
2.4. Toxicity
3. Results
3.1. DSC Results
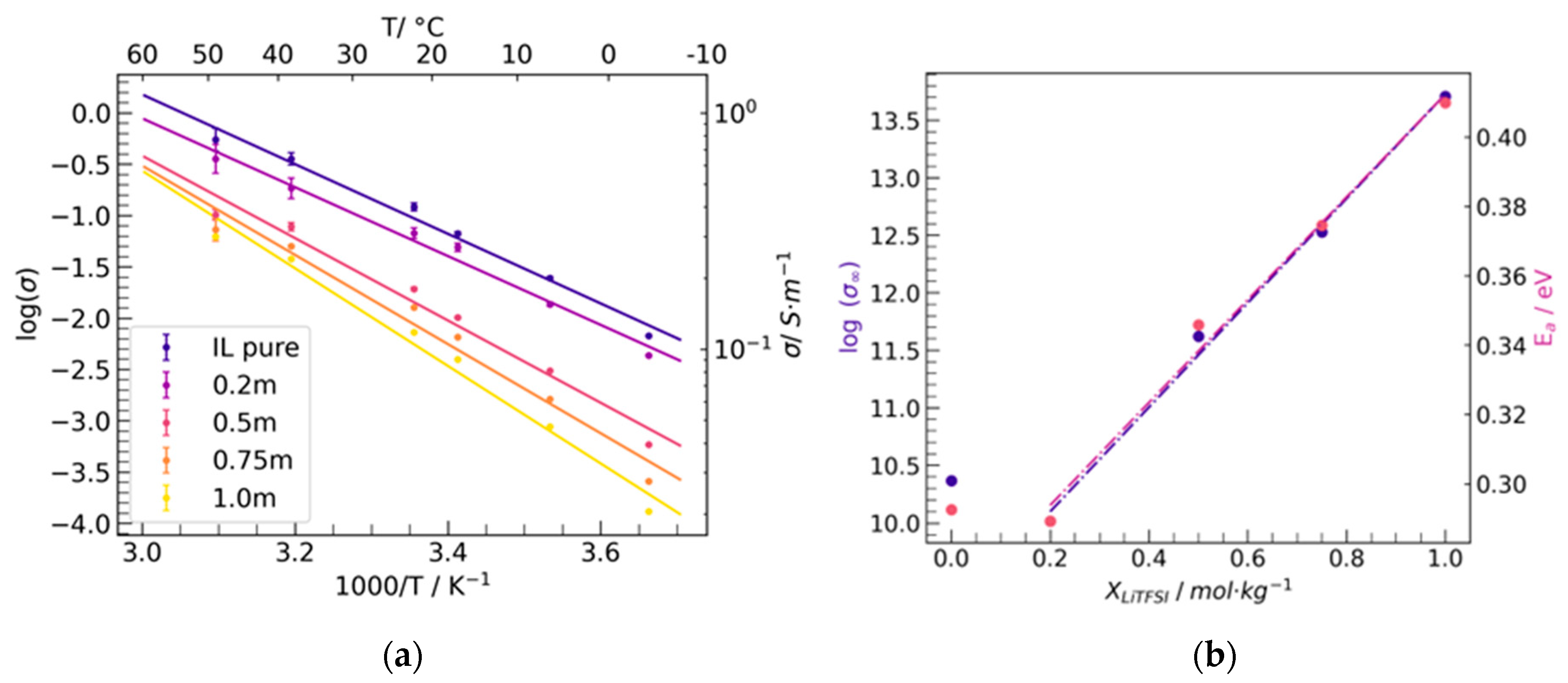
3.2. Ionic Conductivity Results
3.3. Toxicity Evaluation
4. Conclusions
- The increase in concentration of [Li][TFSI] makes the crystallization of the samples more challenging, particularly at highest scanning rate. This results in increased amorphous behaviour of the mixtures, evident from the broadening of the peaks and the appearance of the glass transition that takes place at higher temperatures when salt concentration is increased. Despite this, peaks related to crystalline behaviour (freezing and melting) remains observable for all the salt concentrations.
 - The ionic conductivity of [C3C1Pyrr][TFSI] + [Li][TFSI] mixtures, whose behaviour against temperature is well described by the Vogel-Fulcher-Tammann (VFT) equation, decreases with [Li][TFSI] concentration. A linear increase in activation energies with salt concentration was found when fitting to Arrhenius equation, indicating that ion conduction in the electrolyte requires more energy to take place.
 - The addition of salt significantly increases the toxicity of the mixture, as indicated by EC50 values. However, this increase does not change the toxicity classification according to the criteria used in this study.
 
Author Contributions
Funding
Data Availability Statement
Acknowledgments
Conflicts of Interest
References
- Chen, Y.; Kang, Y.; Zhao, Y.; Wang, L.; Liu, J.; Li, Y.; Liang, Z.; He, X.; Li, X.; Tavajohi, N.; et al. A Review of Lithium-Ion Battery Safety Concerns: The Issues, Strategies, and Testing Standards. J. Energy Chem. 2021, 59, 83–99. [Google Scholar] [CrossRef]
 - Xu, K. Nonaqueous Liquid Electrolytes for Lithium-Based Rechargeable Batteries. Chem. Rev. 2004, 104, 4303–4417. [Google Scholar] [CrossRef] [PubMed]
 - Lee, J.; Jeon, A.R.; Lee, H.J.; Shin, U.; Yoo, Y.; Lim, H.D.; Han, C.; Lee, H.; Kim, Y.J.; Baek, J.; et al. Molecularly Engineered Linear Organic Carbonates as Practically Viable Nonflammable Electrolytes for Safe Li-Ion Batteries. Energy Environ. Sci. 2023, 16, 2924–2933. [Google Scholar] [CrossRef]
 - Meng, T.; Young, K.H.; Wong, D.F.; Nei, J. Ionic Liquid-Based Non-Aqueous Electrolytes for Nickel/Metal Hydride Batteries. Batteries 2017, 3, 4. [Google Scholar] [CrossRef]
 - Balducci, A. Ionic Liquids in Lithium-Ion Batteries. Top. Curr. Chem. 2017, 375, 20. [Google Scholar] [CrossRef] [PubMed]
 - Parajó, J.J.; Villanueva, M.; Salgado, J. 1.Thermal Stability of Ionic Liquids. In Synthesis, Properties, Technologies and Applications; Fehrmann, R., Santini, C., Eds.; De Gruyter: Berlín, Germany, 2019; pp. 1–16. ISBN 9783110583632. [Google Scholar]
 - Parajó, J.J.; Otero-Mato, J.M.; Lobo Ferreira, A.I.M.C.; Varela, L.M.; Santos, L.M.N.B.F. Enthalpy of Solvation of Alkali Metal Salts in a Protic Ionic Liquid: Effect of Cation Charge and Size. J. Mol. Liq. 2022, 360, 119228. [Google Scholar] [CrossRef]
 - Kim, H.T.; Kang, J.; Mun, J.; Oh, S.M.; Yim, T.; Kim, Y.G. Pyrrolinium-Based Ionic Liquid as a Flame Retardant for Binary Electrolytes of Lithium Ion Batteries. ACS Sustain. Chem. Eng. 2016, 4, 497–505. [Google Scholar] [CrossRef]
 - Dupré, N.; Moreau, P.; De Vito, E.; Quazuguel, L.; Boniface, M.; Kren, H.; Bayle-Guillemaud, P.; Guyomard, D. Carbonate and Ionic Liquid Mixes as Electrolytes to Modify Interphases and Improve Cell Safety in Silicon-Based Li-Ion Batteries. Chem. Mater. 2017, 29, 8132–8146. [Google Scholar] [CrossRef]
 - Salvador, M.A.; Maji, R.; Rossella, F.; Degoli, E.; Ruini, A.; Magri, R. Structural and Dynamic Characterization of Li–Ionic Liquid Electrolyte Solutions for Application in Li-Ion Batteries: A Molecular Dynamics Approach. Batteries 2023, 9, 234. [Google Scholar] [CrossRef]
 - Kerner, M.; Johansson, P. Pyrrolidinium Fsi and TFSI-Based Polymerized Ionic Liquids as Electrolytes for High-Temperature Lithium-Ion Batteries. Batteries 2018, 4, 10. [Google Scholar] [CrossRef]
 - McGrath, L.M.; Rohan, J.F. Pyrrolidinium Containing Ionic Liquid Electrolytes for Li-Based Batteries. Molecules 2020, 25, 6002. [Google Scholar] [CrossRef] [PubMed]
 - Ravi, M.; Kim, S.; Ran, F.; Kim, D.S.; Lee, Y.M.; Ryou, M.H. Hybrid Gel Polymer Electrolyte Based on 1-Methyl-1-Propylpyrrolidinium Bis(Trifluoromethanesulfonyl) Imide for Flexible and Shape-Variant Lithium Secondary Batteries. J. Memb. Sci. 2021, 621, 119018. [Google Scholar] [CrossRef]
 - Yang, B.; Li, C.; Zhou, J.; Liu, J.; Zhang, Q. Pyrrolidinium-Based Ionic Liquid Electrolyte with Organic Additive and LiTFSI for High-Safety Lithium-Ion Batteries. Electrochim. Acta 2014, 148, 39–45. [Google Scholar] [CrossRef]
 - Makino, T.; Kanakubo, M.; Umecky, T.; Suzuki, A.; Nishida, T.; Takano, J. Pressure–Volume–Temperature–Composition Relations for Carbon Dioxide+pyrrolidinium-Based Ionic Liquid Binary Systems. Fluid. Phase Equilib. 2013, 360, 253–259. [Google Scholar] [CrossRef]
 - Liu, Q.; Zhao, L.; Ma, L.; Chu, J.; Wang, J.; Zang, Y. Hydroxyethyl Group Effect on Properties of Bis[(Trifluoromethyl)Sulfonyl]Imide-Type Ionic Liquids. J. Chem. Eng. Data 2020, 65, 4780–4789. [Google Scholar] [CrossRef]
 - Huang, Q.; Lourenço, T.C.; Costa, L.T.; Zhang, Y.; Maginn, E.J.; Gurkan, B. Solvation Structure and Dynamics of Li+ in Ternary Ionic Liquid–Lithium Salt Electrolytes. J. Phys. Chem. B 2019, 123, 516–527. [Google Scholar] [CrossRef]
 - Villanueva, M.; Parajó, J.J.; Sánchez, P.B.; García, J.; Salgado, J. Liquid Range Temperature of Ionic Liquids as Potential Working Fluids for Absorption Heat Pumps. J. Chem. Thermodyn. 2015, 91, 127–135. [Google Scholar] [CrossRef]
 - Parajó, J.J.; Villanueva, M.; Sánchez, P.B.; Salgado, J. Liquid Window of Some Biologically-Active Ionic Liquids. J. Chem. Thermodyn. 2018, 126, 1–10. [Google Scholar] [CrossRef]
 - Salgado, J.; Parajó, J.J.; Villanueva, M.; Rodríguez, J.R.; Cabeza, O.; Varela, L.M. Liquid Range of Ionic Liquid–Metal Salt Mixtures for Electrochemical Applications. J. Chem. Thermodyn. 2019, 134, 164–174. [Google Scholar] [CrossRef]
 - Leys, J.; Wübbenhorst, M.; Preethy Menon, C.; Rajesh, R.; Thoen, J.; Glorieux, C.; Nockemann, P.; Thijs, B.; Binnemans, K.; Longuemart, S. Temperature Dependence of the Electrical Conductivity of Imidazolium Ionic Liquids. J. Chem. Phys. 2008, 128, 064509. [Google Scholar] [CrossRef]
 - Parajó, J.J.; Santiago-Alonso, A.; Vallet, P.; Teijeira, T.; Emeterio, R.S.; Villanueva, M.; Salgado, J. Comprehensive Analysis of the Acute Toxicity of Ionic Liquids Using Microtox® Bioassays. Appl. Sci. 2024, 14, 2480. [Google Scholar] [CrossRef]
 - Parajó, J.J.; Vallet, P.; Varela, L.M.; Villanueva, M.; Salgado, J. Ecotoxicity of Binary Mixtures of ILs and Inorganic Salts of Electrochemical Interest. Environ. Sci. Pollut. Res. 2022, 29, 24983–24994. [Google Scholar] [CrossRef] [PubMed]
 - Passino, D.R.M.; Smith, S.B. Acute Bioassays and Hazard Evaluation of Representative Contaminants Detected in Great Lakes Fish. Environ. Toxicol. Chem. 1987, 6, 901–907. [Google Scholar] [CrossRef]
 - Shi, B.; Wang, Z.; Wen, H. Research on the Strengths of Electrostatic and van Der Waals Interactions in Ionic Liquids. J. Mol. Liq. 2017, 241, 486–488. [Google Scholar] [CrossRef]
 - Salminen, J.; Papaiconomou, N.; Kumar, R.A.; Lee, J.-M.; Kerr, J.; Newman, J.; Prausnitz, J.M. Physicochemical Properties and Toxicities of Hydrophobic Piperidinium and Pyrrolidinium Ionic Liquids. Fluid. Phase Equilib. 2007, 261, 421–426. [Google Scholar] [CrossRef]
 - MacFarlane, D.R.; Meakin, P.; Sun, J.; Amini, N.; Forsyth, M. Pyrrolidinium Imides: A New Family of Molten Salts and Conductive Plastic Crystal Phases. J. Phys. Chem. B 1999, 103, 4164–4170. [Google Scholar] [CrossRef]
 - Huang, Q.; Lee, Y.-Y.; Gurkan, B. Pyrrolidinium Ionic Liquid Electrolyte with Bis(Trifluoromethylsulfonyl)Imide and Bis(Fluorosulfonyl)Imide Anions: Lithium Solvation and Mobility, and Performance in Lithium Metal–Lithium Iron Phosphate Batteries. Ind. Eng. Chem. Res. 2019, 58, 22587–22597. [Google Scholar] [CrossRef]
 - Henderson, W.A.; Passerini, S. Phase Behavior of Ionic Liquid−LiX Mixtures: Pyrrolidinium Cations and TFSI- Anions. Chem. Mater. 2004, 16, 2881–2885. [Google Scholar] [CrossRef]
 - Appetecchi, G.B.; Montanino, M.; Carewska, M.; Moreno, M.; Alessandrini, F.; Passerini, S. Chemical–Physical Properties of Bis(Perfluoroalkylsulfonyl)Imide-Based Ionic Liquids. Electrochim. Acta 2011, 56, 1300–1307. [Google Scholar] [CrossRef]
 - Gómez, E.; Calvar, N.; Domínguez, Á.; Macedo, E.A. Thermal Behavior and Heat Capacities of Pyrrolidinium-Based Ionic Liquids by DSC. Fluid. Phase Equilib. 2018, 470, 51–59. [Google Scholar] [CrossRef]
 - Annat, G.; Forsyth, M.; MacFarlane, D.R. Ionic Liquid Mixtures—Variations in Physical Properties and Their Origins in Molecular Structure. J. Phys. Chem. B 2012, 116, 8251–8258. [Google Scholar] [CrossRef] [PubMed]
 - González, B.; González, E.J. Physical Properties of the Pure 1-Methyl-1-Propylpyrrolidinium Bis(Trifluoromethylsulfonyl)Imide Ionic Liquid and Its Binary Mixtures with Alcohols. J. Chem. Thermodyn. 2014, 68, 109–116. [Google Scholar] [CrossRef]
 - Vallet, P.; Parajó, J.J.; Santiago-Alonso, A.; Villanueva, M.; Varela, L.M.; Salgado, J. Thermal Characterization of [C2Im][NO3] and Multivalent Nitrate Salts Mixtures. Crystals 2024, 14, 502. [Google Scholar] [CrossRef]
 - Parajó, J.J.; Vallet, P.; Villanueva, M.; Cabeza, O.; Fernández-Carretero, F.; García Luis, A.; Di Pietro, M.E.; Mele, A.; Castiglione, F.; Salgado, J.; et al. Ionogels Based on Protic Ionic Liquid-Lithium Salt Mixtures. J. Mol. Liq. 2024, 397, 124093. [Google Scholar] [CrossRef]
 - Martinelli, A.; Matic, A.; Jacobsson, P.; Börjesson, L.; Fernicola, A.; Scrosati, B. Phase Behavior and Ionic Conductivity in Lithium Bis(Trifluoromethanesulfonyl)Imide-Doped Ionic Liquids of the Pyrrolidinium Cation and Bis(Trifluoromethanesulfonyl)Imide Anion. J. Phys. Chem. B 2009, 113, 11247–11251. [Google Scholar] [CrossRef]
 - Vallet, P.; Bouzón-Capelo, S.; Méndez-Morales, T.; Gómez-González, V.; Arosa, Y.; de la Fuente, R.; López-Lago, E.; Rodríguez, J.R.; Gallego, L.J.; Parajó, J.J.; et al. On the Physical Properties of Mixtures of Nitrate Salts and Protic Ionic Liquids. J. Mol. Liq. 2022, 350, 118483. [Google Scholar] [CrossRef]
 - Tsamopoulos, A.J.; Wang, Z.-G. Ion Conductivity in Salt-Doped Polymers: Combined Effects of Temperature and Salt Concentration. ACS Macro Lett. 2024, 13, 322–327. [Google Scholar] [CrossRef]
 - Petrowsky, M.; Frech, R. Salt Concentration Dependence of the Compensated Arrhenius Equation for Alcohol-Based Electrolytes. Electrochim. Acta 2010, 55, 1285–1288. [Google Scholar] [CrossRef]
 - Abbas, M.; Adil, M.; Ehtisham-ul-Haque, S.; Munir, B.; Yameen, M.; Ghaffar, A.; Shar, G.A.; Asif Tahir, M.; Iqbal, M. Vibrio Fischeri Bioluminescence Inhibition Assay for Ecotoxicity Assessment: A Review. Sci. Total Environ. 2018, 626, 1295–1309. [Google Scholar] [CrossRef]
 - Silva, F.A.; Coutinho, J.A.P.; Ventura, S.P.M. Aquatic Toxicology of Ionic Liquids (ILs) in Encyclopedia of Ionic Liquids, 1st ed.; Springer Nature: Berlín, Germany, 2019. [Google Scholar]
 - Villanueva, M.; Vallet, P.; Teijeira, T.; Santiago-Alonso, A.; Amigo, A.; Tojo, E.; Varela, L.M.; Parajó, J.J.; Salgado, J. Effect of Alkyl Chain Length on the Thermal Properties and Toxicity of N-Alkyl-Ammonium Nitrate Ionic Liquids (n = 2, 3, 4, 5, 6, 8) for Energy Applications. J. Therm. Anal. Calorim. 2024. [Google Scholar] [CrossRef]
 - Viboud, S.; Papaiconomou, N.; Cortesi, A.; Chatel, G.; Draye, M.; Fontvieille, D. Correlating the Structure and Composition of Ionic Liquids with Their Toxicity on Vibrio Fischeri: A Systematic Study. J. Hazard. Mater. 2012, 215–216, 40–48. [Google Scholar] [CrossRef] [PubMed]
 






| Name | Molecular Mass (g·mol−1) | Structure | Short Name CAS Number  | 
|---|---|---|---|
| 1-Methyl-1-propylpyrrolidinium bis(trifluoromethylsulfonyl)imide | 408.38 | ![]()  | [C3C1Pyrr][TFSI] 223437-05-6  | 
| Lithium bis(trifluoromethylsulfonyl)imide  | 287.09 | ![]()  | [Li][TFSI] 90076-65-6  | 
| Molality/mol kg−1 | mLiTFSI/g | 
|---|---|
| 0.2 | 57.42 | 
| 0.5 | 143.55 | 
| 0.75 | 215.32 | 
| 1.0 | 287.10 | 
| Sample | tg/°C | tf/°C | tm,1/°C | tm,2/°C | tcc/°C | ΔccH/J g−1 | ΔfH/J g−1 | ΔfH/kJ mol−1 | ΔmH/J g−1 | ΔmH/kJ mol−1 | 
|---|---|---|---|---|---|---|---|---|---|---|
| [C3C1Pyrr][TFSI] | -- | −12 | 9 | -- | -- | -- | −33 | −13 | 36 | 15 | 
| 0.2 m | -- | −25 | 0.3 | 6 | −46 | −2.6 | −22 | −10 | 34 | 15 | 
| 0.5 m | −74 | −25 | 0.7 | 10 | −39 | −13.9 | −10 | −5 | 34 | 16 | 
| 0.75 m | −69 | −19 | −0.1 | 19 | -- | -- | −24 | −12 | 27 | 13 | 
| 1.0 m | -- | −15 | −1.4 | 19 | -- | -- | −24 | −13 | 23 | 12 | 
| Temperature/°C | IL Pure | 0.2 m | 0.5 m | 0.75 m | 1.0 m | 
|---|---|---|---|---|---|
| 0 | 0.1138(37) | 0.0936(71) | 0.0394(15) | 0.02764(17) | 0.020539(95) | 
| 10 | 0.200(11) | 0.155(20) | 0.0810(50) | 0.06148(62) | 0.04694(32) | 
| 20 | 0.308(21) | 0.267(41) | 0.1364(99) | 0.1125(19) | 0.0905(10) | 
| 25 | 0.397(38) | 0.305(48) | 0.180(15) | 0.1504(30) | 0.1180(16) | 
| 40 | 0.645(59) | 0.48(10) | 0.325(40) | 0.2726(89) | 0.2412(57) | 
| 50 | 0.77(11) | 0.64(14) | 0.373(49) | 0.32(11) | 0.2998(79) | 
| Sample | VFT-Equation | Arrhenius Equation | ||||
|---|---|---|---|---|---|---|
| B/K−1 | T0/K | Ea (10−1)/eV | R2 | |||
| IL pure | 2.49(54) | 326(98) | 203(13) | 10.36(71) | 2.93(18) | 0.98 | 
| 0.2 m | 2.38(72) | 351(95) | 199(21) | 10.01(69) | 2.89(17) | 0.98 | 
| 0.5 m | 1.66(69) | 274(87) | 217(11) | 11.6(11) | 3.46(28) | 0.97 | 
| 0.75 m | 1.40(47) | 246(64) | 223.3(86) | 12.5(12) | 3.75(33) | 0.96 | 
| 1.0 m | 2.19(54) | 372(89) | 211.8(94) | 13.7(11) | 4.10(29) | 0.98 | 
| [C3C1Pyrr][TFSI] | |||
|---|---|---|---|
| Exposure Time/min | EC50/mg L−1 | EC20/mg L−1 | EC10/mg L−1 | 
| 5 | 925.88 (741.93; 1109.83) | 400.03 (258.09; 541.96) | 244.70 (123.27; 366.13) | 
| 15 | 629.53 (423.12; 835.94) | 291.98 (123.92; 460.04) | 186.18 (39.69; 332.68) | 
| 30 | 516.32 (299.31; 733.32) | 246.77 (63.47; 430.07) | 160.13 (15.24; 312.40) | 
| [C3C1Pyrr][TFSI] + [Li][TFSI] 0.5 m | |||
|---|---|---|---|
| Exposure Time/min | EC50/mg L−1 | EC20/mg L−1 | EC10/mg L−1 | 
| 5 | 178.72 (152.97; 204.48) | 79.19 (59.39; 98.98) | 49.16 (32.62; 65.70) | 
| 15 | 129.34 (107.09; 151.59) | 56.92 (39.86; 73.97) | 35.19 (21.04; 49.33) | 
| 30 | 109.88 (85.34; 134.42) | 47.19 (28.78; 65.61) | 28.77 (13.75; 43.79) | 
Disclaimer/Publisher’s Note: The statements, opinions and data contained in all publications are solely those of the individual author(s) and contributor(s) and not of MDPI and/or the editor(s). MDPI and/or the editor(s) disclaim responsibility for any injury to people or property resulting from any ideas, methods, instructions or products referred to in the content.  | 
© 2024 by the authors. Licensee MDPI, Basel, Switzerland. This article is an open access article distributed under the terms and conditions of the Creative Commons Attribution (CC BY) license (https://creativecommons.org/licenses/by/4.0/).
Share and Cite
Santiago-Alonso, A.; Sánchez-Pico, J.M.; Emeterio, R.S.; Villanueva, M.; Salgado, J.; Parajó, J.J. Pyrrolidinium-Based Ionic Liquids as Advanced Non-Aqueous Electrolytes for Safer Next Generation Lithium Batteries. Batteries 2024, 10, 319. https://doi.org/10.3390/batteries10090319
Santiago-Alonso A, Sánchez-Pico JM, Emeterio RS, Villanueva M, Salgado J, Parajó JJ. Pyrrolidinium-Based Ionic Liquids as Advanced Non-Aqueous Electrolytes for Safer Next Generation Lithium Batteries. Batteries. 2024; 10(9):319. https://doi.org/10.3390/batteries10090319
Chicago/Turabian StyleSantiago-Alonso, Antía, José Manuel Sánchez-Pico, Raquel San Emeterio, María Villanueva, Josefa Salgado, and Juan José Parajó. 2024. "Pyrrolidinium-Based Ionic Liquids as Advanced Non-Aqueous Electrolytes for Safer Next Generation Lithium Batteries" Batteries 10, no. 9: 319. https://doi.org/10.3390/batteries10090319
APA StyleSantiago-Alonso, A., Sánchez-Pico, J. M., Emeterio, R. S., Villanueva, M., Salgado, J., & Parajó, J. J. (2024). Pyrrolidinium-Based Ionic Liquids as Advanced Non-Aqueous Electrolytes for Safer Next Generation Lithium Batteries. Batteries, 10(9), 319. https://doi.org/10.3390/batteries10090319
        

       
