On the Size of Superconducting Islands on the Density-Wave Background in Organic Metals
Abstract
1. Introduction
2. The Model
2.1. Q1D Electron Dispersion and the Driving Parameters of DW–Metal/SC Phase Transitions in OSs
2.2. Mean Field Approach and the Landau–Ginzburg Expansion of DW Free Energy
3. Estimation of the Size of the SC Islands
3.1. Analytical Calculation of the Ginzburg–Landau Expansion Coefficients for
3.2. Relation between the Coherence Length and Nucleation Size during the First-Order Phase Transition
3.3. Estimates of Superconducting Island Size from Transport Measurements and the Numerical Calculation of the Current Percolation Threshold
4. Discussion and Conclusions
- (1)
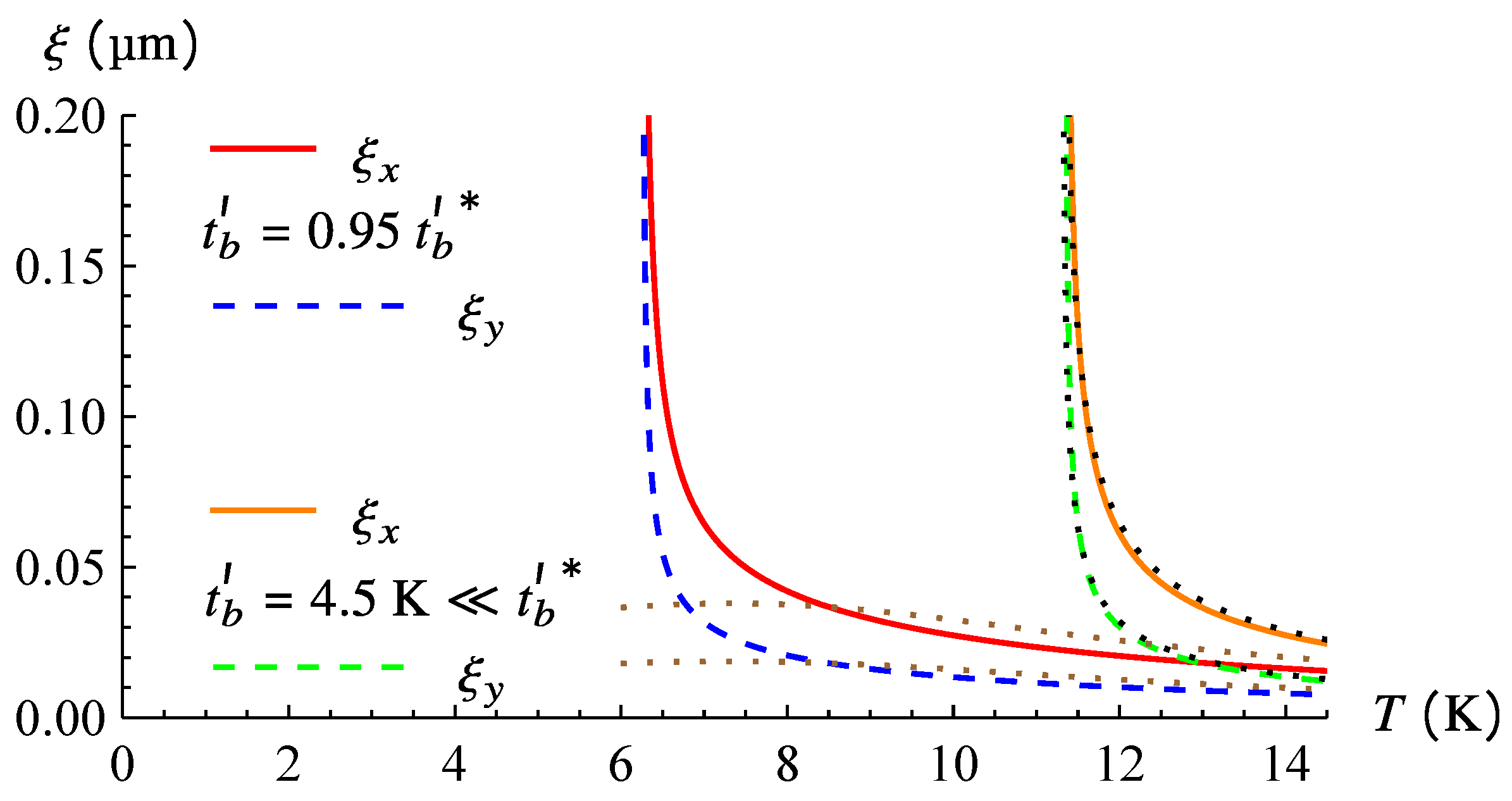
- The SC proximity effect [47]: The SC order parameter is nonzero not only in the SC domains themselves, but also in shells of width around these SC domains. The SC coherence length diverges near the SC transition temperature , and even far from K in organic superconductors µm. Hence, the resulting size of SC domains with this proximity effect shell is µm, which well agrees with experimental data.
- (2)
- The clusterization of superconducting islands with the formation of larger SC domains, glued by the Josephson junction: In current percolation and zero-frequency transport measurements, such a cluster is seen as a single SC domain. Since the SDW–SC transition is observed close to the SC percolation threshold (the SC volume fraction of ), the formation of such SC clusters is very probable. Note that such clusterization may also explain the small difference between the estimates of the SC domain size from AMRO data and from current percolation.
- (3)
- An oversimplified physical model: In our percolation calculations, we take all clusters of the same size, because the actual size distribution of superconducting islands is unknown. In addition, special types of disorder, such as local variations in (chemical) pressure, affect the SC–SDW balance.
Author Contributions
Funding
Institutional Review Board Statement
Informed Consent Statement
Data Availability Statement
Conflicts of Interest
Appendix A. Mean-Field Theory for DW
References
- Gabovich, A.M.; Voitenko, A.I.; Annett, J.F.; Ausloos, M. Charge- and spin-density-wave superconductors. Supercond. Sci. Technol. 2001, 14, R1–R27. [Google Scholar] [CrossRef]
- Gabovich, A.M.; Voitenko, A.I.; Ausloos, M. Charge- and spin-density waves in existing superconductors: Competition between Cooper pairing and Peierls or excitonic instabilities. Phys. Rep. 2002, 367, 583–709. [Google Scholar] [CrossRef]
- Monceau, P. Electronic crystals: An experimental overview. Adv. Phys. 2012, 61, 325–581. [Google Scholar] [CrossRef]
- Grüner, G. Density Waves in Solids; CRC Press: Boca Raton, FL, USA, 2000. [Google Scholar] [CrossRef]
- Chang, J.; Blackburn, E.; Holmes, A.; Christensen, N.; Larsen, J.; Mesot, J.; Liang, R.; Bonn, D.; Hardy, W.; Watenphul, A.; et al. Direct observation of competition between superconductivity and charge density wave order in YBa2Cu3O6.67. Nat. Phys. 2012, 8, 871–876. [Google Scholar] [CrossRef]
- Blanco-Canosa, S.; Frano, A.; Loew, T.; Lu, Y.; Porras, J.; Ghiringhelli, G.; Minola, M.; Mazzoli, C.; Braicovich, L.; Schierle, E.; et al. Momentum-Dependent Charge Correlations in YBa2Cu3O6+δ Superconductors Probed by Resonant X-ray Scattering: Evidence for Three Competing Phases. Phys. Rev. Lett. 2013, 110, 187001. [Google Scholar] [CrossRef]
- Tabis, W.; Yu, B.; Bialo, I.; Bluschke, M.; Kolodziej, T.; Kozlowski, A.; Blackburn, E.; Sen, K.; Forgan, E.; Zimmermann, M.; et al. Synchrotron x-ray scattering study of charge-density-wave order in HgBa2CuO4+δ. Phys. Rev. B 2017, 96, 134510. [Google Scholar] [CrossRef]
- Tabis, W.; Li, Y.; Tacon, M.L.; Braicovich, L.; Kreyssig, A.; Minola, M.; Dellea, G.; Weschke, E.; Veit, M.J.; Ramazanoglu, M.; et al. Charge order and its connection with Fermi-liquid charge transport in a pristine high-Tc cuprate. Nat. Commun. 2014, 5, 5875. [Google Scholar] [CrossRef]
- da Silva Neto, E.H.; Comin, R.; He, F.; Sutarto, R.; Jiang, Y.; Greene, R.L.; Sawatzky, G.A.; Damascelli, A. Charge ordering in the electron-doped superconductor Nd2−xCexCuO4. Science 2015, 347, 282–285. [Google Scholar] [CrossRef]
- Wen, J.J.; Huang, H.; Lee, S.J.; Jang, H.; Knight, J.; Lee, Y.S.; Fujita, M.; Suzuki, K.M.; Asano, S.; Kivelson, S.A.; et al. Observation of two types of charge-density-wave orders in superconducting La2−xSrxCuO4. Nat. Commun. 2019, 10, 3269. [Google Scholar] [CrossRef]
- Si, Q.; Yu, R.; Abrahams, E. High-temperature superconductivity in iron pnictides and chalcogenides. Nat. Rev. Mater. 2016, 1, 16017. [Google Scholar] [CrossRef]
- Liu, X.; Zhao, L.; He, S.; He, J.; Liu, D.; Mou, D.; Shen, B.; Hu, Y.; Huang, J.; Zhou, X.J. Electronic structure and superconductivity of FeSe-related superconductors. J. Phys. Condens. Matter 2015, 27, 183201. [Google Scholar] [CrossRef] [PubMed]
- Ishiguro, T.; Yamaji, K.; Saito, G. Organic Superconductors; Springer: Berlin/Heidelberg, Germany, 1998. [Google Scholar] [CrossRef]
- Lebed, A. (Ed.) The Physics of Organic Superconductors and Conductors; Springer: Berlin/Heidelberg, Germany, 2008. [Google Scholar] [CrossRef]
- Naito, T. Modern History of Organic Conductors: An Overview. Crystals 2021, 11, 838. [Google Scholar] [CrossRef]
- Yasuzuka, S.; Murata, K. Recent progress in high-pressure studies on organic conductors. Sci. Technol. Adv. Mater. 2009, 10, 024307. [Google Scholar] [CrossRef] [PubMed]
- Clay, R.; Mazumdar, S. From charge- and spin-ordering to superconductivity in the organic charge-transfer solids. Phys. Rep. 2019, 788, 1–89. [Google Scholar] [CrossRef]
- Lee, I.J.; Chaikin, P.M.; Naughton, M.J. Critical Field Enhancement near a Superconductor-Insulator Transition. Phys. Rev. Lett. 2002, 88, 207002. [Google Scholar] [CrossRef]
- Vuletić, T.; Auban-Senzier, P.; Pasquier, C.; Tomić, S.; Jérome, D.; Héritier, M.; Bechgaard, K. Coexistence of superconductivity and spin density wave orderings in the organic superconductor (TMTSF)2PF6. Eur. Phys. J. B 2002, 25, 319–331. [Google Scholar] [CrossRef]
- Kang, N.; Salameh, B.; Auban-Senzier, P.; Jerome, D.; Pasquier, C.R.; Brazovskii, S. Domain walls at the spin-density-wave endpoint of the organic superconductor (TMTSF)2PF6 under pressure. Phys. Rev. B 2010, 81, 100509(R). [Google Scholar] [CrossRef]
- Narayanan, A.; Kiswandhi, A.; Graf, D.; Brooks, J.; Chaikin, P. Coexistence of Spin Density Waves and Superconductivity in (TMTSF)2PF6. Phys. Rev. Lett. 2014, 112, 146402. [Google Scholar] [CrossRef]
- Lee, I.J.; Brown, S.E.; Yu, W.; Naughton, M.J.; Chaikin, P.M. Coexistence of Superconductivity and Antiferromagnetism Probed by Simultaneous Nuclear Magnetic Resonance and Electrical Transport in (TMTSF)2PF6 System. Phys. Rev. Lett. 2005, 94, 197001. [Google Scholar] [CrossRef]
- Lee, I.J.; Naughton, M.J.; Danner, G.M.; Chaikin, P.M. Anisotropy of the Upper Critical Field in (TMTSF)2PF6. Phys. Rev. Lett. 1997, 78, 3555–3558. [Google Scholar] [CrossRef]
- Lee, I.J.; Brown, S.E.; Clark, W.G.; Strouse, M.J.; Naughton, M.J.; Kang, W.; Chaikin, P.M. Triplet Superconductivity in an Organic Superconductor Probed by NMR Knight Shift. Phys. Rev. Lett. 2001, 88, 017004. [Google Scholar] [CrossRef] [PubMed]
- Andres, D.; Kartsovnik, M.V.; Biberacher, W.; Neumaier, K.; Schuberth, E.; Muller, H. Superconductivity in the charge-density-wave state of the organic metalα-(BEDT-TTF)2KHg(SCN)4. Phys. Rev. B 2005, 72, 174513. [Google Scholar] [CrossRef]
- Itoi, M.; Nakamura, T.; Uwatoko, Y. Pressure-Induced Superconductivity of the Quasi-One-Dimensional Organic Conductor (TMTTF)2TaF6. Materials 2022, 15, 4638. [Google Scholar] [CrossRef] [PubMed]
- Cho, K.; Kończykowski, M.; Teknowijoyo, S.; Tanatar, M.; Guss, J.; Gartin, P.; Wilde, J.; Kreyssig, A.; McQueeney, R.; Goldman, A.; et al. Using controlled disorder to probe the interplay between charge order and superconductivity in NbSe2. Nat. Commun. 2018, 9, 2796. [Google Scholar] [CrossRef]
- Gerasimenko, Y.A.; Sanduleanu, S.V.; Prudkoglyad, V.A.; Kornilov, A.V.; Yamada, J.; Qualls, J.S.; Pudalov, V.M. Coexistence of superconductivity and spin-density wave in(TMTSF)2ClO4: Spatial structure of the two-phase state. Phys. Rev. B 2014, 89, 054518. [Google Scholar] [CrossRef]
- Yonezawa, S.; Marrache-Kikuchi, C.A.; Bechgaard, K.; Jerome, D. Crossover from impurity-controlled to granular superconductivity in (TMTSF)2ClO4. Phys. Rev. B 2018, 97, 014521. [Google Scholar] [CrossRef]
- Gerasimenko, Y.A.; Prudkoglyad, V.A.; Kornilov, A.V.; Sanduleanu, S.V.; Qualls, J.S.; Pudalov, V.M. Role of anion ordering in the coexistence of spin-density-wave and superconductivity in (TMTSF)2ClO4. JETP Lett. 2013, 97, 419–424. [Google Scholar] [CrossRef]
- Wang, Y.; Chubukov, A.V. Enhancement of superconductivity at the onset of charge-density-wave order in a metal. Phys. Rev. B 2015, 92, 125108. [Google Scholar] [CrossRef]
- Armitage, N.P.; Fournier, P.; Greene, R.L. Progress and perspectives on electron-doped cuprates. Rev. Mod. Phys. 2010, 82, 2421–2487. [Google Scholar] [CrossRef]
- Helm, T.; Kartsovnik, M.V.; Proust, C.; Vignolle, B.; Putzke, C.; Kampert, E.; Sheikin, I.; Choi, E.S.; Brooks, J.S.; Bittner, N.; et al. Correlation between Fermi surface transformations and superconductivity in the electron-doped high-Tc superconductor Nd2−xCexCuO4. Phys. Rev. B 2015, 92, 094501. [Google Scholar] [CrossRef]
- Mukuda, H.; Fujii, T.; Ohara, T.; Harada, A.; Yashima, M.; Kitaoka, Y.; Okuda, Y.; Settai, R.; Onuki, Y. Enhancement of Superconducting Transition Temperature due to the Strong Antiferromagnetic Spin Fluctuations in the Noncentrosymmetric Heavy–Fermion Superconductor CeIrSi3: A 29Si NMR Study under Pressure. Phys. Rev. Lett. 2008, 100, 107003. [Google Scholar] [CrossRef] [PubMed]
- Manago, M.; Kitagawa, S.; Ishida, K.; Deguchi, K.; Sato, N.K.; Yamamura, T. Enhancement of superconductivity by pressure-induced critical ferromagnetic fluctuations in UCoGe. Phys. Rev. B 2019, 99, 020506. [Google Scholar] [CrossRef]
- Eckberg, C.; Campbell, D.J.; Metz, T.; Collini, J.; Hodovanets, H.; Drye, T.; Zavalij, P.; Christensen, M.H.; Fernandes, R.M.; Lee, S.; et al. Sixfold enhancement of superconductivity in a tunable electronic nematic system. Nat. Phys. 2020, 16, 346–350. [Google Scholar] [CrossRef] [PubMed]
- Mukasa, K.; Ishida, K.; Imajo, S.; Qiu, M.; Saito, M.; Matsuura, K.; Sugimura, Y.; Liu, S.; Uezono, Y.; Otsuka, T.; et al. Enhanced Superconducting Pairing Strength near a Pure Nematic Quantum Critical Point. Phys. Rev. X 2023, 13, 011032. [Google Scholar] [CrossRef]
- Tanaka, Y.; Kuroki, K. Microscopic theory of spin-triplet f-wave pairing in quasi-one-dimensional organic superconductors. Phys. Rev. B 2004, 70, 060502. [Google Scholar] [CrossRef]
- Gor’kov, L.P.; Grigoriev, P.D. Nature of the superconducting state in the new phase in (TMTSF)2PF6 under pressure. Phys. Rev. B 2007, 75, 020507(R). [Google Scholar] [CrossRef]
- Grigoriev, P.D. Properties of superconductivity on a density wave background with small ungapped Fermi surface parts. Phys. Rev. B 2008, 77, 224508. [Google Scholar] [CrossRef]
- Ramazashvili, R.; Grigoriev, P.D.; Helm, T.; Kollmannsberger, F.; Kunz, M.; Biberacher, W.; Kampert, E.; Fujiwara, H.; Erb, A.; Wosnitza, J.; et al. Experimental evidence for Zeeman spin–orbit coupling in layered antiferromagnetic conductors. Npj Quantum Mater. 2021, 6, 11. [Google Scholar] [CrossRef]
- Kartsovnik, M.V. High Magnetic Fields: A Tool for Studying Electronic Properties of Layered Organic Metals. Chem. Rev. 2004, 104, 5737–5782. [Google Scholar] [CrossRef]
- Brazovskii, S.; Kirova, N. Electron selflocalization and superstructures in quasi one-dimensional dielectrics. Sov. Sci. Rev. A 1984, 5, 99–166. [Google Scholar]
- Su, W.P.; Kivelson, S.; Schrieffer, J.R. Theory of Polymers Having Broken Symmetry Ground States. In Physics in One Dimension; Bernascony, J., Schneider, T., Eds.; Springer Series in Solid-State Sciences; Springer: Berlin/Heidelberg, Germany, 1981; pp. 201–211. [Google Scholar] [CrossRef]
- Grigoriev, P.D. Superconductivity on the density-wave background with soliton-wall structure. Phys. B 2009, 404, 513–516. [Google Scholar] [CrossRef]
- Gor’kov, L.P.; Grigoriev, P.D. Soliton phase near antiferromagnetic quantum critical point in Q1D conductors. Europhys. Lett. 2005, 71, 425–430. [Google Scholar] [CrossRef]
- Tinkham, M. Introduction to Superconductivity, 2nd ed.; International Series in Pure and Applied Physics; McGraw-Hill, Inc.: New York, NY, USA, 1996. [Google Scholar]
- Pratt, F.L.; Lancaster, T.; Blundell, S.J.; Baines, C. Low-Field Superconducting Phase of (TMTSF)2ClO4. Phys. Rev. Lett. 2013, 110, 107005. [Google Scholar] [CrossRef] [PubMed]
- Kochev, V.D.; Kesharpu, K.K.; Grigoriev, P.D. Anisotropic zero-resistance onset in organic superconductors. Phys. Rev. B 2021, 103, 014519. [Google Scholar] [CrossRef]
- Grigoriev, P.D.; Kochev, V.D.; Orlov, A.P.; Frolov, A.V.; Sinchenko, A.A. Inhomogeneous Superconductivity Onset in FeSe Studied by Transport Properties. Materials 2023, 16, 1840. [Google Scholar] [CrossRef]
- Seidov, S.S.; Kochev, V.D.; Grigoriev, P.D. First-order phase transition between superconductivity and charge/spin-density wave as the reason of their coexistence in organic metals. arXiv 2023, arXiv:2305.06957. [Google Scholar] [CrossRef]
- Valfells, S.; Brooks, J.S.; Wang, Z.; Takasaki, S.; Yamada, J.; Anzai, H.; Tokumoto, M. Quantum Hall transitions in (TMTSF)2PF6. Phys. Rev. B 1996, 54, 16413–16416. [Google Scholar] [CrossRef] [PubMed]
- Danner, G.M.; Chaikin, P.M.; Hannahs, S.T. Critical imperfect nesting in (TMTSF)2PF6. Phys. Rev. B 1996, 53, 2727–2731. [Google Scholar] [CrossRef] [PubMed]
- Araki, C.; Itoi, M.; Hedo, M.; Uwatoko, Y.; Mori, H. Electrical Resistivity of (TMTSF)2PF6 under High Pressure. J. Phys. Soc. Jpn. 2007, 76, 198–199. [Google Scholar] [CrossRef]
- Auban-Senzier, P.; Pasquier, C.; Jérome, D.; Carcel, C.; Fabre, J. From Mott insulator to superconductivity in (TMTTF)2BF4: High pressure transport measurements. Synth. Met. 2003, 133–134, 11–14. [Google Scholar] [CrossRef]
- Horovitz, B.; Gutfreund, H.; Weger, M. Interchain coupling and the Peierls transition in linear-chain systems. Phys. Rev. B 1975, 12, 3174–3185. [Google Scholar] [CrossRef]
- McKenzie, R.H. Microscopic theory of the pseudogap and Peierls transition in quasi-one-dimensional materials. Phys. Rev. B 1995, 52, 16428–16442. [Google Scholar] [CrossRef] [PubMed]
- Grigoriev, P.D.; Lyubshin, D.S. Phase diagram and structure of the charge-density-wave state in a high magnetic field in quasi-one-dimensional materials: A mean-field approach. Phys. Rev. B 2005, 72, 195106. [Google Scholar] [CrossRef]
- Kim, J.; Yun, M.; Jeong, D.W.; Kim, J.J.; Lee, I. Structural and Electrical Properties of the Single-crystal Organic Semiconductor Tetramethyltetraselenafulvalene (TMTSF). J. Korean Phys. Soc. 2009, 55, 212–216. [Google Scholar] [CrossRef]
- Oxtoby, D.W. Nucleation of First-Order Phase Transitions. Acc. Chem. Res. 1998, 31, 91–97. [Google Scholar] [CrossRef]
- Umantsev, A. Field Theoretic Method in Phase Transformations; Lecture Notes in Physics; Springer: New York, NY, USA, 2012. [Google Scholar] [CrossRef]
- Kalikmanov, V. Nucleation Theory; Lecture Notes in Physics; Springer: Dordrecht, The Netherlands, 2012. [Google Scholar]
- Karthika, S.; Radhakrishnan, T.K.; Kalaichelvi, P. A Review of Classical and Nonclassical Nucleation Theories. Cryst. Growth Des. 2016, 16, 6663–6681. [Google Scholar] [CrossRef]
- Efros, A.L. Physics and Geometry of Disorder: Percolation Theory; Science for Everyone; Mir Publishers: Moscow, Russia, 1987. [Google Scholar]
- Torquato, S. Random Heterogeneous Materials; Springer: New York, NY, USA, 2002. [Google Scholar] [CrossRef]
- Sinchenko, A.A.; Grigoriev, P.D.; Orlov, A.P.; Frolov, A.V.; Shakin, A.; Chareev, D.A.; Volkova, O.S.; Vasiliev, A.N. Gossamer high-temperature bulk superconductivity in FeSe. Phys. Rev. B 2017, 95, 165120. [Google Scholar] [CrossRef]
- Grigoriev, P.D.; Sinchenko, A.A.; Kesharpu, K.K.; Shakin, A.; Mogilyuk, T.I.; Orlov, A.P.; Frolov, A.V.; Lyubshin, D.S.; Chareev, D.A.; Volkova, O.S.; et al. Anisotropic effect of appearing superconductivity on the electron transport in FeSe. JETP Lett. 2017, 105, 786–791. [Google Scholar] [CrossRef]
- Seidov, S.S.; Kesharpu, K.K.; Karpov, P.I.; Grigoriev, P.D. Conductivity of anisotropic inhomogeneous superconductors above the critical temperature. Phys. Rev. B 2018, 98, 014515. [Google Scholar] [CrossRef]
- Miyagawa, K.; Kawamoto, A.; Kanoda, K. Proximity of Pseudogapped Superconductor and Commensurate Antiferromagnet in a Quasi-Two-Dimensional Organic System. Phys. Rev. Lett. 2002, 89, 017003. [Google Scholar] [CrossRef]
- Sasaki, T.; Yoneyama, N. Spatial mapping of electronic states in κ-(BEDT-TTF)2X using infrared reflectivity. Sci. Technol. Adv. Mater. 2009, 10, 024306. [Google Scholar] [CrossRef]
- Zverev, V.N.; Biberacher, W.; Oberbauer, S.; Sheikin, I.; Alemany, P.; Canadell, E.; Kartsovnik, M.V. Fermi surface properties of the bifunctional organic metal κ-(BETS)2Mn[N(CN)2]3 near the metal-insulator transition. Phys. Rev. B 2019, 99, 125136. [Google Scholar] [CrossRef]
- Oberbauer, S.; Erkenov, S.; Biberacher, W.; Kushch, N.D.; Gross, R.; Kartsovnik, M.V. Coherent heavy charge carriers in an organic conductor near the bandwidth-controlled Mott transition. Phys. Rev. B 2023, 107, 075139. [Google Scholar] [CrossRef]
- Lang, K.M.; Madhavan, V.; Hoffman, J.E.; Hudson, E.W.; Eisaki, H.; Uchida, S.; Davis, J.C. Imaging the granular structure of high-Tc superconductivity in underdoped Bi2Sr2CaCu2O8+δ. Nature 2002, 415, 412–416. [Google Scholar] [CrossRef] [PubMed]
- Wise, W.D.; Chatterjee, K.; Boyer, M.C.; Kondo, T.; Takeuchi, T.; Ikuta, H.; Xu, Z.; Wen, J.; Gu, G.D.; Wang, Y.; et al. Imaging nanoscale Fermi-surface variations in an inhomogeneous superconductor. Nat. Phys 2009, 5, 213–216. [Google Scholar] [CrossRef]
- Kresin, V.; Ovchinnikov, Y.; Wolf, S. Inhomogeneous superconductivity and the “pseudogap” state of novel superconductors. Phys. Rep. 2006, 431, 231–259. [Google Scholar] [CrossRef]
- Campi, G.; Bianconi, A.; Poccia, N.; Bianconi, G.; Barba, L.; Arrighetti, G.; Innocenti, D.; Karpinski, J.; Zhigadlo, N.D.; Kazakov, S.M.; et al. Inhomogeneity of charge-density-wave order and quenched disorder in a high-Tc superconductor. Nature 2015, 525, 359–362. [Google Scholar] [CrossRef]
- Mogilyuk, T.I.; Grigoriev, P.D.; Kesharpu, K.K.; Kolesnikov, I.A.; Sinchenko, A.A.; Frolov, A.V.; Orlov, A.P. Excess Conductivity of Anisotropic Inhomogeneous Superconductors Above the Critical Temperature. Phys. Solid State 2019, 61, 1549–1552. [Google Scholar] [CrossRef]
- Kresin, V.Z.; Ovchinnikov, Y.N. Nano-based Josephson Tunneling Networks and High Temperature Superconductivity. J. Supercond. Nov. Magn. 2021, 34, 1705–1708. [Google Scholar] [CrossRef]



Disclaimer/Publisher’s Note: The statements, opinions and data contained in all publications are solely those of the individual author(s) and contributor(s) and not of MDPI and/or the editor(s). MDPI and/or the editor(s) disclaim responsibility for any injury to people or property resulting from any ideas, methods, instructions or products referred to in the content. |
© 2023 by the authors. Licensee MDPI, Basel, Switzerland. This article is an open access article distributed under the terms and conditions of the Creative Commons Attribution (CC BY) license (https://creativecommons.org/licenses/by/4.0/).
Share and Cite
Kochev, V.D.; Seidov, S.S.; Grigoriev, P.D. On the Size of Superconducting Islands on the Density-Wave Background in Organic Metals. Magnetochemistry 2023, 9, 173. https://doi.org/10.3390/magnetochemistry9070173
Kochev VD, Seidov SS, Grigoriev PD. On the Size of Superconducting Islands on the Density-Wave Background in Organic Metals. Magnetochemistry. 2023; 9(7):173. https://doi.org/10.3390/magnetochemistry9070173
Chicago/Turabian StyleKochev, Vladislav D., Seidali S. Seidov, and Pavel D. Grigoriev. 2023. "On the Size of Superconducting Islands on the Density-Wave Background in Organic Metals" Magnetochemistry 9, no. 7: 173. https://doi.org/10.3390/magnetochemistry9070173
APA StyleKochev, V. D., Seidov, S. S., & Grigoriev, P. D. (2023). On the Size of Superconducting Islands on the Density-Wave Background in Organic Metals. Magnetochemistry, 9(7), 173. https://doi.org/10.3390/magnetochemistry9070173

