Ferrite Nanoparticles as Catalysts in Organic Reactions: A Mini Review
Abstract
1. Introduction
2. Synthesis
2.1. Synthesis of Nano-Ferrites
2.2. Synthesis of Metal-Doped Ferrites
| Methods | Example | Reaction Temp (°C) | pH | Particle Size (nm) | Advantages | Disadvantages | Reference |
|---|---|---|---|---|---|---|---|
| Co-precipitation Method | NiFe2O4 | 80 | 12 | ~8 | (1) Simple and easy method (2) The grain size and the homogeneity can be controlled | (1) High calcination temperature for better crystallinity (2) pH control for avoiding agglomeration (3) Broadly size distributed crystals obtained (4) Long reaction time | [74,75,76] |
| MnFe2O4 | 70 | 11 | 200–290 | ||||
| Hydrothermal Method | NiFe2O44 | 150 | 10 | 53 | (1) Easily accessible method (2) Particles with enhanced morphology (3) Better control of composition | (1) pH needs to be maintained around 9–12 (2) Stabilizing agents such as glycerol, sodium dodecyl sulfate, etc. required (3) Special equipment and high temperature required | [77,78] |
| CoFe2O | 180 | 9 | 34 | ||||
| Sono-chemical method | CuFe2O4 | 25 | 6 | 60 | (1) Controlled reaction conditions (2) MNPs with high crystallinity (3) Low working temperature | (1) Less controllable shapes and dispersity (2) Medium yield | [79] |
| Sol–gel microemulsion | CoFe2O4 | 110 | 7 | 77 | (1) Low temperature (2) Particles with controlled shape and size (3) Cheap (4) Homogenous and pure product | (1) Time-consuming (2) Large quantity of solvent required | [56,80] |
| CoMn0.2Fe1.8O4 | 60–70 | - | 20 | ||||
| Thermal decomposition | MnFe2O4 | 270 | - | 18.9 | (1) Monodispersed particles with smaller size (2) Better crystallinity (3) Suitable for large-scale production | (1) High temperature required (2) Toxic organic solvents required (3) Costly | [81] |
| Ball milling | MgFe2O4 | - | - | 12.3 | (1) Simple and convenient (2) Less impurities | (1) High sintering temperature (2) Long-time milling (3) Less control on unwanted phase formation | [82] |
| Microwave heating | CoFe2O4 | 100–200 | - | - | (1) Short period of time (2) High-quality yield with narrow size distribution (3) Better reproducibility at reasonable cost (4) Efficient heating | (1) Organic solvent (2) Medium yield | [83] |
3. Catalytic Activities of Spinel Ferrites
3.1. Heterogenous Catalysis of Ferrites in Organic Reactions
3.1.1. Copper Ferrite
3.1.2. Zinc Ferrite
3.1.3. Nickel Ferrite
3.1.4. Cobalt Ferrite
3.1.5. Manganese Ferrite
4. Magnetic Recovery and Reusability of MFe2O4 as an Environment-Friendly Green Catalyst
5. Conclusions
Author Contributions
Funding
Institutional Review Board Statement
Informed Consent Statement
Data Availability Statement
Conflicts of Interest
References
- Spaldin, N.A. Magnetic Materials; Cambridge University Press: Cambridge, UK, 2010; ISBN 9780521886697. [Google Scholar]
- Arcaro, S.; Venturini, J. Magnetic, Electrical, and Optical Properties of Ferrites. In Modern Ferrites in Engineering: Synthesis, Processing and Cutting-Edge Applications; Springer: Cham, Switzerland, 2021; pp. 25–47. [Google Scholar]
- Kharisov, B.I.; Dias, H.R.; Kharissova, O.V.; Jiménez-Pérez, V.M.; Pérez, B.O.; Flores, B.M. Iron-Containing Nanomaterials: Synthesis, Properties, and Environmental Applications. RSC Adv. 2012, 2, 9325. [Google Scholar] [CrossRef]
- Dhiman, P.; Rana, G.; Goyal, D.; Goyal, A. Basics of Ferrites: Types and Structures. In Ferrites and Multiferroics: Fundamentals to Applications; Springer: Cham, Switzerland, 2021; pp. 1–25. [Google Scholar]
- Singh, A.K.; Zaidi, M.G.H.; Sah, P.L.; Saxena, R. A review on classification of various ferrite particles on the basis of crystal structure. Eur. J. Adv. Eng. Technol. 2018, 5, 350–354. [Google Scholar]
- Chattopadhyay, S.; Bandyopadhyay, A.; Nath, M. Physics of Ferrite Ceramics. In Ceramic Science and Engineering; Elsevier: Amsterdam, The Netherlands, 2022; pp. 165–185. [Google Scholar]
- Okamoto, A. The Invention of Ferrites and Their Contribution to the Miniaturization of Radios. In Proceedings of the 2009 IEEE Globecom Workshops, Honolulu, HI, USA, 30 November–4 December 2009; pp. 1–6. [Google Scholar]
- Barakat, M.M.; Henaish, M.A.; Olofa, S.A.; Tawfik, A. Sintering Behaviour of the Spinel Ferrite System Ni0.65Zn0.35Fe2−xCuxO4. J. Therm. Anal. 1991, 37, 241–248. [Google Scholar] [CrossRef]
- Younes, A.; Kherrouba, N.; Bouamer, A. Magnetic, Optical, Structural and Thermal Properties of Copper Ferrite Nanostructured Synthesized by Mechanical Alloying. Micro Nano Lett. 2021, 16, 251–256. [Google Scholar] [CrossRef]
- Akther Hossain, A.K.M.; Biswas, T.S.; Yanagida, T.; Tanaka, H.; Tabata, H.; Kawai, T. Investigation of Structural and Magnetic Properties of Polycrystalline Ni0.50Zn0.50−xMgxFe2O4 Spinel Ferrites. Mater. Chem. Phys. 2010, 120, 461–467. [Google Scholar] [CrossRef]
- Kumar, R.; Kumar, R.; Kumar Sahoo, P.; Singh, M.; Soam, A. Synthesis of Nickel Ferrite for Supercapacitor Application. Mater. Today Proc. 2022, 67, 1001–1004. [Google Scholar] [CrossRef]
- Chen, G.; Chen, J.; Pei, W.; Lu, Y.; Zhang, Q.; Zhang, Q.; He, Y. Bismuth Ferrite Materials for Solar Cells: Current Status and Prospects. Mater. Res. Bull. 2019, 110, 39–49. [Google Scholar] [CrossRef]
- Tatarchuk, T.; Bououdina, M.; Judith Vijaya, J.; John Kennedy, L. Spinel Ferrite Nanoparticles: Synthesis, Crystal Structure, Properties, and Perspective Applications. In Nanophysics, Nanomaterials, Interface Studies, and Applications: Selected Proceedings of the 4th International Conference Nanotechnology and Nanomaterials (NANO2016), Lviv, Ukraine, 24–27 August 2016; Springer International Publishing: Berlin/Heidelberg, Germany, 2017; pp. 305–325. [Google Scholar]
- Pham, T.N.; Huy, T.Q.; Le, A.-T. Spinel Ferrite (AFe2O4)-Based Heterostructured Designs for Lithium-Ion Battery, Environmental Monitoring, and Biomedical Applications. RSC Adv. 2020, 10, 31622–31661. [Google Scholar] [CrossRef]
- Mou, X.; Ali, Z.; Li, S.; He, N. Applications of Magnetic Nanoparticles in Targeted Drug Delivery System. J. Nanosci. Nanotechnol. 2015, 15, 54–62. [Google Scholar] [CrossRef]
- Mattingly, S.J.; O’Toole, M.G.; James, K.T.; Clark, G.J.; Nantz, M.H. Magnetic Nanoparticle-Supported Lipid Bilayers for Drug Delivery. Langmuir 2015, 31, 3326–3332. [Google Scholar] [CrossRef]
- Mikhaylov, G.; Mikac, U.; Butinar, M.; Turk, V.; Turk, B.; Psakhie, S.; Vasiljeva, O. Theranostic Applications of an Ultra-Sensitive T1 and T2 Magnetic Resonance Contrast Agent Based on Cobalt Ferrite Spinel Nanoparticles. Cancers 2022, 14, 4026. [Google Scholar] [CrossRef]
- Lee, N.; Yoo, D.; Ling, D.; Cho, M.H.; Hyeon, T.; Cheon, J. Iron Oxide Based Nanoparticles for Multimodal Imaging and Magnetoresponsive Therapy. Chem. Rev. 2015, 115, 10637–10689. [Google Scholar] [CrossRef]
- Polla, M.B.; Montedo, O.R.K.; Arcaro, S. Nanomaterials for Magnetic Hyperthermia. In Technological Applications of Nanomaterials; Springer: Cham, Switzerland, 2022; pp. 165–183. [Google Scholar]
- Liu, X.; Zhang, H.; Zhang, T.; Wang, Y.; Jiao, W.; Lu, X.; Gao, X.; Xie, M.; Shan, Q.; Wen, N.; et al. Magnetic Nanomaterials-Mediated Cancer Diagnosis and Therapy. Prog. Biomed. Eng. 2022, 4, 012005. [Google Scholar] [CrossRef]
- White, R.J.; Luque, R.; Budarin, V.L.; Clark, J.H.; Macquarrie, D.J. Supported Metal Nanoparticles on Porous Materials. Methods and Applications. Chem. Soc. Rev. 2009, 38, 481–494. [Google Scholar] [CrossRef] [PubMed]
- Tandon, R.; Tandon, N.; Patil, S.M. Overview on Magnetically Recyclable Ferrite Nanoparticles: Synthesis and Their Applications in Coupling and Multicomponent Reactions. RSC Adv. 2021, 11, 29333–29353. [Google Scholar] [CrossRef] [PubMed]
- Qiao, S.; Zhang, N.; Wu, H.; Hanas, M. Based on MFe2O4 NPs Catalyzed Multicomponent Reactions: Green and Efficient Strategy in Synthesis of Heterocycles. Synth. Commun. 2021, 51, 2873–2891. [Google Scholar] [CrossRef]
- Lu, A.-H.; Salabas, E.L.; Schüth, F. Magnetic Nanoparticles: Synthesis, Protection, Functionalization, and Application. Angew. Chem. Int. Ed. 2007, 46, 1222–1244. [Google Scholar] [CrossRef] [PubMed]
- Anastas, P.T.; Bartlett, L.B.; Kirchhoff, M.M.; Williamson, T.C. The Role of Catalysis in the Design, Development, and Implementation of Green Chemistry. Catal. Today 2000, 55, 11–22. [Google Scholar] [CrossRef]
- Vaccari, A. Preparation and Catalytic Properties of Cationic and Anionic Clays. Catal. Today 1998, 41, 53–71. [Google Scholar] [CrossRef]
- Ingle, A.P.; Chandel, A.K.; Philippini, R.; Martiniano, S.E.; da Silva, S.S. Advances in Nanocatalysts Mediated Biodiesel Production: A Critical Appraisal. Symmetry 2020, 12, 256. [Google Scholar] [CrossRef]
- Zou, M.; Qi, Y.; Qu, R.; Al-Basher, G.; Pan, X.; Wang, Z.; Huo, Z.; Zhu, F. Effective Degradation of 2,4-Dihydroxybenzophenone by Zero–Valent Iron Powder (Fe0)-Activated Persulfate in Aqueous Solution: Kinetic Study, Product Identification and Theoretical Calculations. Sci. Total Environ. 2021, 771, 144743. [Google Scholar] [CrossRef] [PubMed]
- Corma, A.; Garcia, H. Supported Gold Nanoparticles as Catalysts for Organic Reactions. Chem. Soc. Rev. 2008, 37, 2096. [Google Scholar] [CrossRef] [PubMed]
- Davis, S.E.; Ide, M.S.; Davis, R.J. Selective Oxidation of Alcohols and Aldehydes over Supported Metal Nanoparticles. Green. Chem. 2013, 15, 17–45. [Google Scholar] [CrossRef]
- Lim, C.W.; Lee, I.S. Magnetically Recyclable Nanocatalyst Systems for the Organic Reactions. Nano Today 2010, 5, 412–434. [Google Scholar] [CrossRef]
- Amiri, M.; Eskandari, K.; Salavati-Niasari, M. Magnetically Retrievable Ferrite Nanoparticles in the Catalysis Application. Adv. Colloid. Interface Sci. 2019, 271, 101982. [Google Scholar] [CrossRef]
- Gawande, M.B.; Branco, P.S.; Varma, R.S. Nano-Magnetite (Fe3O4) as a Support for Recyclable Catalysts in the Development of Sustainable Methodologies. Chem. Soc. Rev. 2013, 42, 3371. [Google Scholar] [CrossRef] [PubMed]
- Patil, S.; Tandon, R.; Tandon, N. A Current Research on Silica Coated Ferrite Nanoparticle and Their Application: Review. Curr. Res. Green. Sustain. Chem. 2021, 4, 100063. [Google Scholar] [CrossRef]
- Zhang, S.; Zhang, Y.; Wang, Y.; Liu, S.; Deng, Y. Sono-chemical Formation of Iron Oxide Nanoparticles in Ionic Liquids for Magnetic Liquid Marble. Phys. Chem. Chem. Phys. 2012, 14, 5132. [Google Scholar] [CrossRef]
- Rashad, M.M.; Soltan, S.; Ramadan, A.A.; Bekheet, M.F.; Rayan, D.A. Investigation of the Structural, Optical and Magnetic Properties of CuO/CuFe2O4 Nanocomposites Synthesized via Simple Microemulsion Method. Ceram. Int. 2015, 41, 12237–12245. [Google Scholar] [CrossRef]
- Masthoff, I.-C.; Kraken, M.; Mauch, D.; Menzel, D.; Munevar, J.A.; Baggio Saitovitch, E.; Litterst, F.J.; Garnweitner, G. Study of the Growth Process of Magnetic Nanoparticles Obtained via the Non-Aqueous Sol–Gel Method. J. Mater. Sci. 2014, 49, 4705–4714. [Google Scholar] [CrossRef]
- Thakur, S.; Rai, R.; Sharma, S. Structural Characterization and Magnetic Study of NiFexO4 Synthesized by Co-Precipitation Method. Mater. Lett. 2015, 139, 368–372. [Google Scholar] [CrossRef]
- Zi, Z.; Sun, Y.; Zhu, X.; Yang, Z.; Dai, J.; Song, W. Synthesis and Magnetic Properties of CoFe2O4 Ferrite Nanoparticles. J. Magn. Magn. Mater. 2009, 321, 1251–1255. [Google Scholar] [CrossRef]
- Nabiyouni, G.; Julaee, M.; Ghanbari, D.; Aliabadi, P.C.; Safaie, N. Room Temperature Synthesis and Magnetic Property Studies of Fe3O4 Nanoparticles Prepared by a Simple Precipitation Method. J. Ind. Eng. Chem. 2015, 21, 599–603. [Google Scholar] [CrossRef]
- Mondal, A.K.; Chen, S.; Su, D.; Kretschmer, K.; Liu, H.; Wang, G. Microwave Synthesis of α-Fe2O3 Nanoparticles and Their Lithium Storage Properties: A Comparative Study. J. Alloys Compd. 2015, 648, 732–739. [Google Scholar] [CrossRef]
- Tadic, M.; Panjan, M.; Damnjanovic, V.; Milosevic, I. Magnetic Properties of Hematite (α-Fe2O3) Nanoparticles Prepared by Hydrothermal Synthesis Method. Appl. Surf. Sci. 2014, 320, 183–187. [Google Scholar] [CrossRef]
- Darezereshki, E.; Bakhtiari, F.; Alizadeh, M.; Behrad vakylabad, A.; Ranjbar, M. Direct Thermal Decomposition Synthesis and Characterization of Hematite (α-Fe2O3) Nanoparticles. Mater. Sci. Semicond. Process. 2012, 15, 91–97. [Google Scholar] [CrossRef]
- Zakiyah, L.B.; Saion, E.; Al-Hada, N.M.; Gharibshahi, E.; Salem, A.; Soltani, N.; Gene, S. Up-Scalable Synthesis of Size-Controlled Copper Ferrite Nanocrystals by Thermal Treatment Method. Mater. Sci. Semicond. Process. 2015, 40, 564–569. [Google Scholar] [CrossRef]
- Zhang, Z.; Yao, G.; Zhang, X.; Ma, J.; Lin, H. Synthesis and Characterization of Nickel Ferrite Nanoparticles via Planetary Ball Milling Assisted Solid-State Reaction. Ceram. Int. 2015, 41, 4523–4530. [Google Scholar] [CrossRef]
- Kurian, M.; Nair, D.S.; Rahnamol, A.M. Influence of the Synthesis Conditions on the Catalytic Efficiency of NiFe2O4 and ZnFe2O4 Nanoparticles towards the Wet Peroxide Oxidation of 4-Chlorophenol. React. Kinet. Mech. Catal. 2014, 111, 591–604. [Google Scholar] [CrossRef]
- Kang, Y.S.; Risbud, S.; Rabolt, J.F.; Stroeve, P. Synthesis and Characterization of Nanometer-Size Fe3O4 and γ-Fe2O3 Particles. Chem. Mater. 1996, 8, 2209–2211. [Google Scholar] [CrossRef]
- Hyeon, T.; Lee, S.S.; Park, J.; Chung, Y.; Na, H. Bin Synthesis of Highly Crystalline and Monodisperse Maghemite Nanocrystallites without a Size-Selection Process. J. Am. Chem. Soc. 2001, 123, 12798–12801. [Google Scholar] [CrossRef] [PubMed]
- Sun, S.; Zeng, H.; Robinson, D.B.; Raoux, S.; Rice, P.M.; Wang, S.X.; Li, G. Monodisperse MFe 2 O 4 (M = Fe, Co, Mn) Nanoparticles. J. Am. Chem. Soc. 2004, 126, 273–279. [Google Scholar] [CrossRef] [PubMed]
- Chin, A.B.; Yaacob, I.I. Synthesis and Characterization of Magnetic Iron Oxide Nanoparticles via w/o Microemulsion and Massart’s Procedure. J. Mater. Process. Technol. 2007, 191, 235–237. [Google Scholar] [CrossRef]
- Vidal-Vidal, J.; Rivas, J.; López-Quintela, M.A. Synthesis of Monodisperse Maghemite Nanoparticles by the Microemulsion Method. Colloids Surf. A Phys. Eng. Asp. 2006, 288, 44–51. [Google Scholar] [CrossRef]
- Wang, J.; Sun, J.; Sun, Q.; Chen, Q. One-Step Hydrothermal Process to Prepare Highly Crystalline Fe3O4 Nanoparticles with Improved Magnetic Properties. Mater. Res. Bull. 2003, 38, 1113–1118. [Google Scholar] [CrossRef]
- Bang, J.H.; Suslick, K.S. Sono-chemical Synthesis of Nanosized Hollow Hematite. J. Am. Chem. Soc. 2007, 129, 2242–2243. [Google Scholar] [CrossRef] [PubMed]
- Pinkas, J.; Reichlova, V.; Zboril, R.; Moravec, Z.; Bezdicka, P.; Matejkova, J. Sono-chemical Synthesis of Amorphous Nanoscopic Iron(III) Oxide from Fe(Acac)3. Ultrason. Sonochemistry 2008, 15, 257–264. [Google Scholar] [CrossRef] [PubMed]
- Vijayakumar, R.; Koltypin, Y.; Felner, I.; Gedanken, A. Sono-chemical Synthesis and Characterization of Pure Nanometer-Sized Fe3O4 Particles. Mater. Sci. Eng. A 2000, 286, 101–105. [Google Scholar] [CrossRef]
- Bhagwat, V.R.; Humbe, A.V.; More, S.D.; Jadhav, K.M. Sol–gel Auto Combustion Synthesis and Characterizations of Cobalt Ferrite Nanoparticles: Different Fuels Approach. Mater. Sci. Eng. B 2019, 248, 114388. [Google Scholar] [CrossRef]
- Sivakumar, P.; Ramesh, R.; Ramanand, A.; Ponnusamy, S.; Muthamizhchelvan, C. Preparation and Properties of Nickel Ferrite (NiFe2O4) Nanoparticles via Sol–Gel Auto-Combustion Method. Mater. Res. Bull. 2011, 46, 2204–2207. [Google Scholar] [CrossRef]
- Xu, J.; Yang, H.; Fu, W.; Du, K.; Sui, Y.; Chen, J.; Zeng, Y.; Li, M.; Zou, G. Preparation and Magnetic Properties of Magnetite Nanoparticles by Sol–Gel Method. J. Magn. Magn. Mater. 2007, 309, 307–311. [Google Scholar] [CrossRef]
- Almessiere, M.A.; Slimani, Y.; Auwal, I.A.; Shirsath, S.E.; Gondal, M.A.; Sertkol, M.; Baykal, A. Biosynthesis Effect of Moringa Oleifera Leaf Extract on Structural and Magnetic Properties of Zn Doped Ca-Mg Nano-Spinel Ferrites. Arab. J. Chem. 2021, 14, 103261. [Google Scholar] [CrossRef]
- Yulizar, Y.; Abdullah, I.; Marcony Surya, R.; Parwati, N.; Apriandanu, D.O.B. Two-Phase Synthesis of NiCo2O4 Nanoparticles Using Bryophyllum Pinnatum (Lam) Oken Leaf Extract with Superior Catalytic Reduction of 2,4,6-Trinitrophenol. Mater. Lett. 2022, 311, 131465. [Google Scholar] [CrossRef]
- Qin, H.; He, Y.; Xu, P.; Huang, D.; Wang, Z.; Wang, H.; Wang, Z.; Zhao, Y.; Tian, Q.; Wang, C. Spinel Ferrites (MFe2O4): Synthesis, Improvement and Catalytic Application in Environment and Energy Field. Adv. Colloid. Interface Sci. 2021, 294, 102486. [Google Scholar] [CrossRef]
- Cahyana, A.H.; Liandi, A.R.; Yulizar, Y.; Romdoni, Y.; Wendari, T.P. Green Synthesis of CuFe2O4 Nanoparticles Mediated by Morus alba L. Leaf Extract: Crystal Structure, Grain Morphology, Particle Size, Magnetic and Catalytic Properties in Mannich Reaction. Ceram. Int. 2021, 47, 21373–21380. [Google Scholar] [CrossRef]
- Meshkani, F.; Rezaei, M. Preparation of Nanocrystalline Metal (Cr, Al, Mn, Ce, Ni, Co and Cu) Modified Ferrite Catalysts for the High Temperature Water Gas Shift Reaction. Renew. Energy 2015, 74, 588–598. [Google Scholar] [CrossRef]
- Khan, A.; Chen, P.; Boolchand, P.; Smirniotis, P. Modified Nano-Crystalline Ferrites for High-Temperature WGS Membrane Reactor Applications. J. Catal. 2008, 253, 91–104. [Google Scholar] [CrossRef]
- Reddy, G.K.; Gunasekara, K.; Boolchand, P.; Smirniotis, P.G. Cr- and Ce-Doped Ferrite Catalysts for the High Temperature Water−Gas Shift Reaction: TPR and Mossbauer Spectroscopic Study. J. Phys. Chem. C. 2011, 115, 920–930. [Google Scholar] [CrossRef]
- Cai, T.; Huang, H.; Deng, W.; Dai, Q.; Liu, W.; Wang, X. Catalytic Combustion of 1,2-Dichlorobenzene at Low Temperature over Mn-Modified Co3O4 Catalysts. Appl. Catal. B 2015, 166–167, 393–405. [Google Scholar] [CrossRef]
- He, Q.; Wu, Z.; Zeng, L.; Huang, C. One-Pot Synthesis and Characterization of Platinum-Coated Magnetite Nanoparticles for Magnetosensitive Catalyst. Sens. Mater. 2012, 24, 233–244. [Google Scholar]
- Vaddula, B.R.; Saha, A.; Leazer, J.; Varma, R.S. A Simple and Facile Heck-Type Arylation of Alkenes with Diaryliodonium Salts Using Magnetically Recoverable Pd-Catalyst. Green. Chem. 2012, 14, 2133. [Google Scholar] [CrossRef]
- Neto, N.A.; Nascimento, L.E.D.; Correa, M.; Bohn, F.; Bomio, M.R.D.; Motta, F.V.D. Characterization and Photocatalytic Application of Ce4+, Co2+, Mn2+ and Ni2+ Doped Fe3O4 Magnetic Nanoparticles Obtained by the Co-Precipitation Method. Mater. Chem. Phys. 2020, 242, 122489. [Google Scholar] [CrossRef]
- Petrov, D.A.; Ivantsov, R.D.; Zharkov, S.M.; Velikanov, D.A.; Molokeev, M.S.; Lin, C.-R.; Tso, C.-T.; Hsu, H.-S.; Tseng, Y.-T.; Lin, E.-S.; et al. Magnetic and Magneto–optical Properties of Fe3O4 Nanoparticles Modified with Ag. J. Magn. Magn. Mater. 2020, 493, 165692. [Google Scholar] [CrossRef]
- Yang, Y.; Jiang, K.; Guo, J.; Li, J.; Peng, X.; Hong, B.; Wang, X.; Ge, H. Facile Fabrication of Au/Fe3O4 Nanocomposites as Excellent Nanocatalyst for Ultrafast Recyclable Reduction of 4-Nitropheol. Chem. Eng. J. 2020, 381, 122596. [Google Scholar] [CrossRef]
- ullah Rather, S.; Lemine, O.M. Effect of Al Doping in Zinc Ferrite Nanoparticles and Their Structural and Magnetic Properties. J. Alloys Compd. 2020, 812, 152058. [Google Scholar] [CrossRef]
- Shikha, P.; Kang, T.S.; Randhawa, B.S. Mn Doping Induced Physico-Chemical Changes in La Ce Ferrite Nanofabricated by Ionic Liquid Assisted Hydrothermal Route. J. Alloys Compd. 2017, 701, 788–796. [Google Scholar] [CrossRef]
- Maaz, K.; Karim, S.; Mumtaz, A.; Hasanain, S.K.; Liu, J.; Duan, J.L. Synthesis and Magnetic Characterization of Nickel Ferrite Nanoparticles Prepared by Co-Precipitation Route. J. Magn. Magn. Mater. 2009, 321, 1838–1842. [Google Scholar] [CrossRef]
- Yang, L.; Zhang, Y.; Liu, X.; Jiang, X.; Zhang, Z.; Zhang, T.; Zhang, L. The Investigation of Synergistic and Competitive Interaction between Dye Congo Red and Methyl Blue on Magnetic MnFe2O4. Chem. Eng. J. 2014, 246, 88–96. [Google Scholar] [CrossRef]
- Rahman, S.; Nadeem, K.; Anis-ur-Rehman, M.; Mumtaz, M.; Naeem, S.; Letofsky-Papst, I. Structural and Magnetic Properties of ZnMg-Ferrite Nanoparticles Prepared Using the Co-Precipitation Method. Ceram. Int. 2013, 39, 5235–5239. [Google Scholar] [CrossRef]
- Nejati, K.; Zabihi, R. Preparation and Magnetic Properties of Nano Size Nickel Ferrite Particles Using Hydrothermal Method. Chem. Cent. J. 2012, 6, 23. [Google Scholar] [CrossRef]
- Allaedini, G.; Tasirin, S.M.; Aminayi, P. Magnetic Properties of Cobalt Ferrite Synthesized by Hydrothermal Method. Int. Nano Lett. 2015, 5, 183–186. [Google Scholar] [CrossRef]
- Lv, W.; Liu, B.; Luo, Z.; Ren, X.; Zhang, P. XRD Studies on the Nanosized Copper Ferrite Powders Synthesized by Sono-chemical Method. J. Alloys Compd. 2008, 465, 261–264. [Google Scholar] [CrossRef]
- Goyal, A.; Bansal, S.; Samuel, P.; Kumar, V.; Singhal, S. CoMn0.2 Fe1.8O4 Ferrite Nanoparticles Engineered by Sol–Gel Technology: An Expert and Versatile Catalyst for the Reduction of Nitroaromatic Compounds. J. Mater. Chem. A 2014, 2, 18848–18860. [Google Scholar] [CrossRef]
- Singh, G.; Chandra, S. Electrochemical Performance of MnFe2O4 Nano-Ferrites Synthesized Using Thermal Decomposition Method. Int. J. Hydrogen Energy 2018, 43, 4058–4066. [Google Scholar] [CrossRef]
- Gangaswamy, D.R.S.; Varma, M.C.; Bharadwaj, S.; Sambasiva Rao, K.; Rao, K.H. Comparison Study of Structural and Magnetic Properties of Magnesium-Substituted Nickel–Zinc Ferrites Synthesized by Solid-State and Sol–Gel Routes. J. Supercond. Nov. Magn. 2015, 28, 3599–3606. [Google Scholar] [CrossRef]
- Manikandan, A.; Sridhar, R.; Arul Antony, S.; Ramakrishna, S. A Simple Aloe Vera Plant-Extracted Microwave and Conventional Combustion Synthesis: Morphological, Optical, Magnetic and Catalytic Properties of CoFe2O4 Nanostructures. J. Mol. Struct. 2014, 1076, 188–200. [Google Scholar] [CrossRef]
- Kooti, M.; Afshari, M. Magnetic Cobalt Ferrite Nanoparticles as an Efficient Catalyst for Oxidation of Alkenes. Sci. Iran. 2012, 19, 1991–1995. [Google Scholar] [CrossRef]
- Kharisov, B.I.; Dias, H.V.R.; Kharissova, O.V. Mini-Review: Ferrite Nanoparticles in the Catalysis. Arab. J. Chem. 2019, 12, 1234–1246. [Google Scholar] [CrossRef]
- Velinov, N.; Koleva, K.; Tsoncheva, T.; Manova, E.; Paneva, D.; Tenchev, K.; Kunev, B.; Mitov, I. Nanosized Cu0.5Co0.5Fe2O4 Ferrite as Catalyst for Methanol Decomposition: Effect of Preparation Procedure. Catal. Commun. 2013, 32, 41–46. [Google Scholar] [CrossRef]
- Lou, J.-C.; Chang, C.-K. Catalytic Oxidation of CO Over a Catalyst Produced in the Ferrite Process. Environ. Eng. Sci. 2006, 23, 1024–1032. [Google Scholar] [CrossRef]
- Murthy, Y.L.N.; Diwakar, B.S.; Govindh, B.; Nagalakshmi, K.; Viswanath, I.V.K.; Singh, R. Nano Copper Ferrite: A Reusable Catalyst for the Synthesis of β, γ-Unsaturated Ketones. J. Chem. Sci. 2012, 124, 639–645. [Google Scholar] [CrossRef]
- Hegedus, L.S.; Kendall, P.M.; Lo, S.M.; Sheats, J.R. Alkylation of Acid Chlorides by Alkylrhodium(I) Complexes. J. Am. Chem. Soc. 1975, 97, 5448–5452. [Google Scholar] [CrossRef]
- Kasatkin, A.N.; Kulak, A.N.; Tolstikov, G.A. Regioselective Condensation of (l-Alkoxy-2-Butenyl)Triisopropoxytitanium with Carbonyl Compounds. Bull. Acad. Sci. USSR Div. Chem. Sci. 1985, 34, 2238. [Google Scholar] [CrossRef]
- Yang, S.; Wu, C.; Zhou, H.; Yang, Y.; Zhao, Y.; Wang, C.; Yang, W.; Xu, J. An Ullmann C—O Coupling Reaction Catalyzed by Magnetic Copper Ferrite Nanoparticles. Adv. Synth. Catal. 2013, 355, 53–58. [Google Scholar] [CrossRef]
- Gharib, A.; Noroozi Pesyan, N.; Vojdani Fard, L.; Roshani, M. Catalytic Synthesis of α-Aminonitriles Using Nano Copper Ferrite (CuFe2O4) under Green Conditions. Org. Chem. Int. 2014, 2014, 169803. [Google Scholar] [CrossRef]
- Rahman, T.; Borah, G.; Gogoi, P.K. Spinel Structured Copper Ferrite Nanocatalyst with Magnetic Recyclability for Oxidative Decarboxylation of Phenyl Acetic Acids. Catal. Lett. 2020, 150, 2267–2272. [Google Scholar] [CrossRef]
- Al-Hunaiti, A.; Al-Said, N.; Halawani, L.; Haija, M.A.; Baqaien, R.; Taher, D. Synthesis of Magnetic CuFe2O4 Nanoparticles as Green Catalyst for Toluene Oxidation under Solvent-Free Conditions. Arab. J. Chem. 2020, 13, 4945–4953. [Google Scholar] [CrossRef]
- Tapsale, S.D.; Jadhav, K.M.; Mane, D.V.; Patil, S.G. Synthesis of Metal Spinel Type of Ferrite and Used as a Catalyst in Organic Reactions. J. Pharm. Innov. 2018, 7, 215–217. [Google Scholar]
- Dolgykh, L.Y.; Stolyarchuk, I.L.; Staraya, L.A.; Vasylenko, I.V.; Pyatnitsky, Y.I.; Strizhak, P.E. Catalytic Properties of CuFe2O4 in Steam Reforming of Ethanol. Theor. Exp. Chem. 2015, 51, 230–235. [Google Scholar] [CrossRef]
- Mitran, G.; Chen, S.; Seo, D.-K. Molybdenum Dopped Copper Ferrites as Active Catalysts for Alcohols Oxidative Coupling. Materials 2019, 12, 1871. [Google Scholar] [CrossRef]
- Hu, W.; Li, D.; Yang, Y.; Li, T.; Chen, H.; Liu, P. Copper Ferrite Supported Gold Nanoparticles as Efficient and Recyclable Catalyst for Liquid-Phase Ethanol Oxidation. J. Catal. 2018, 357, 108–117. [Google Scholar] [CrossRef]
- Zhu, X.; Yang, D.; Wei, W.; Jiang, M.; Li, L.; Zhu, X.; You, J.; Wang, H. Magnetic Copper Ferrite Nanoparticles/TEMPO Catalyzed Selective Oxidation of Activated Alcohols to Aldehydes under Ligand- and Base-Free Conditions in Water. RSC Adv. 2014, 4, 64930–64935. [Google Scholar] [CrossRef]
- Naghash-Hamed, S.; Arsalani, N.; Mousavi, S.B. Facile Copper Ferrite/Carbon Quantum Dot Magnetic Nanocomposite as an Effective Nanocatalyst for Reduction of Para-Nitroaniline and Ortho-Nitroaniline. Nano Futur. 2022, 6, 045003. [Google Scholar] [CrossRef]
- Cheng, R.; Fan, X.; Wang, M.; Li, M.; Tian, J.; Zhang, L. Facile Construction of CuFe2O4/g-C3N4 Photocatalyst for Enhanced Visible-Light Hydrogen Evolution. RSC Adv. 2016, 6, 18990–18995. [Google Scholar] [CrossRef]
- Shi, F.; Shan, H.; Li, D.; Yin, X.; Yu, J.; Ding, B. A General Strategy to Fabricate Soft Magnetic CuFe2O4@SiO2 Nanofibrous Membranes as Efficient and Recyclable Fenton-such as Catalysts. J. Colloid. Interface Sci. 2019, 538, 620–629. [Google Scholar] [CrossRef] [PubMed]
- Jeddi, M.; Rabbani, M.; Tarlani, A. Fabrication of Novel Chlorophyll/CuFe2O4 Nanoparticles Exploiting as Photocatalyst for Dye-Scavenging under LED Light. Int. J. Environ. Sci. Technol. 2022, 19, 10547–10562. [Google Scholar] [CrossRef]
- Al-Musawi, T.J.; Mengelizadeh, N.; Taghavi, M.; Shehu, Z.; Balarak, D. Capability of Copper–Nickel Ferrite Nanoparticles Loaded onto Multi-Walled Carbon Nanotubes to Degrade Acid Blue 113 Dye in the Sonophotocatalytic Treatment Process. Environ. Sci. Pollut. Res. 2022, 29, 51703–51716. [Google Scholar] [CrossRef]
- Papa, F.; Patron, L.; Carp, O.; Paraschiv, C.; Ioan, B. Catalytic Activity of Neodymium Substituted Zinc Ferrites for Oxidative Conversion of Methane. J. Mol. Catal. A Chem. 2009, 299, 93–97. [Google Scholar] [CrossRef]
- Koleva, K.V.; Velinov, N.I.; Tsoncheva, T.S.; Mitov, I.G.; Kunev, B.N. Preparation, Structure and Catalytic Properties of ZnFe2O4. Bulg. Chem. Commun. 2013, 45, 434–439. [Google Scholar]
- Singh, A.S.; Patil, U.B.; Nagarkar, J.M. Palladium Supported on Zinc Ferrite: A Highly Active, Magnetically Separable Catalyst for Ligand Free Suzuki and Heck Coupling. Catal. Commun. 2013, 35, 11–16. [Google Scholar] [CrossRef]
- Lv, K.; Yan, G.; Wang, G.; Chen, Z.; Hu, J. Palladium-Decorated Covalent Organic Framework Supported on Zinc Ferrite as Magnetic Catalyst for Suzuki Reaction and p-Nitrophenol Reduction. Catal. Lett. 2022, 1–6. [Google Scholar] [CrossRef]
- Singh, A.S.; Shendage, S.S.; Nagarkar, J.M. Palladium Supported on Zinc Ferrite: An Efficient Catalyst for Ligand Free C–C and C–O Cross Coupling Reactions. Tetrahedron Lett. 2013, 54, 6319–6323. [Google Scholar] [CrossRef]
- Hareendran, A.; Dais, E.; Shinoy, D.; Srikripa, S.; Shibu, G.M.; Kurian, M. Nitrogen- and Sulfur-Doped Zinc Ferrite Nanoparticles as Efficient Heterogeneous Catalysts in Advanced Oxidation Processes. J. Phys. Chem. Solids 2022, 161, 110398. [Google Scholar] [CrossRef]
- Baynosa, M.L.; Mady, A.H.; Nguyen, V.Q.; Kumar, D.R.; Sayed, M.S.; Tuma, D.; Shim, J.-J. Eco-Friendly Synthesis of Recyclable Mesoporous Zinc Ferrite@reduced Graphene Oxide Nanocomposite for Efficient Photocatalytic Dye Degradation under Solar Radiation. J. Colloid. Interface Sci. 2020, 561, 459–469. [Google Scholar] [CrossRef] [PubMed]
- Charradi, K.; Ahmed, Z.; BenMoussa, M.A.; Beji, Z.; Brahmia, A.; Othman, I.; Haija, M.A.; Chtourou, R.; Keshk, S.M.A.S. A Facile Approach for the Synthesis of Spinel Zinc Ferrite/Cellulose as an Effective Photocatalyst for the Degradation of Methylene Blue in Aqueous Solution. Cellulose 2022, 29, 2565–2576. [Google Scholar] [CrossRef]
- Kumar, M.; Dosanjh, H.S.; Singh, H. Synthesis of Spinel ZnFe2O4 Modified with SDS via Low Temperature Combustion Method and Adsorption Behaviour of Crystal Violet Dye. Asian J. Chem. 2017, 29, 2057–2064. [Google Scholar] [CrossRef]
- Kumar, M.; Dosanjh, H.S.; Singh, H. Magnetic Zinc Ferrite–Chitosan Bio-Composite: Synthesis, Characterization and Adsorption Behavior Studies for Cationic Dyes in Single and Binary Systems. J. Inorg. Organomet. Polym. Mater. 2018, 28, 880–898. [Google Scholar] [CrossRef]
- Cai, C.; Liu, J.; Zhang, Z.; Zheng, Y.; Zhang, H. Visible Light Enhanced Heterogeneous Photo-Degradation of Orange II by Zinc Ferrite (ZnFe2O4) Catalyst with the Assistance of Persulfate. Sep. Purif. Technol. 2016, 165, 42–52. [Google Scholar] [CrossRef]
- Kumar, P.V.; Short, M.P.; Yip, S.; Yildiz, B.; Grossman, J.C. High Surface Reactivity and Water Adsorption on NiFe2O4(111) Surfaces. J. Phys. Chem. C 2013, 117, 5678–5683. [Google Scholar] [CrossRef]
- Dharanipragada, N.V.R.A.; Galvita, V.V.; Poelman, H.; Buelens, L.C.; Detavernier, C.; Marin, G.B. Bifunctional Co- and Ni- Ferrites for Catalyst-Assisted Chemical Looping with Alcohols. Appl. Catal. B Environ. 2018, 222, 59–72. [Google Scholar] [CrossRef]
- Urdă, A.; Herraïz, A.; Rédey, Á.; Marcu, I.-C. Co and Ni Ferrospinels as Catalysts for Propane Total Oxidation. Catal. Commun. 2009, 10, 1651–1655. [Google Scholar] [CrossRef]
- Keskin, S.; Çıtlakoğlu, M.; Akbayrak, S.; Kaya, S. Magnetically Separable Nickel Ferrite Supported Palladium Nanoparticles: Highly Reusable Catalyst in Sonogashira Cross-Coupling Reaction. J. Colloid. Interface Sci. 2022, 623, 574–583. [Google Scholar] [CrossRef]
- Moghaddam, F.M.; Tavakoli, G.; Rezvani, H.R. A Copper-Free Sonogashira Reaction Using Nickel Ferrite as Catalyst in Water. Catal. Commun. 2015, 60, 82–87. [Google Scholar] [CrossRef]
- Alinezhad, H.; Pakzad, K.; Nasrollahzadeh, M. Efficient Sonogashira and A3 coupling reactions catalyzed by biosynthesized magnetic Fe3O4@Ni nanoparticles from Euphorbia maculata extract. Appl. Organomet. Chem. 2020, 34, 945–951. [Google Scholar] [CrossRef]
- Gawande, M.B.; Rathi, A.K.; Branco, P.S.; Nogueira, I.D.; Velhinho, A.; Shrikhande, J.J.; Indulkar, U.U.; Jayaram, R.V.; Ghumman, C.A.A.; Bundaleski, N.; et al. Regio- and Chemoselective Reduction of Nitroarenes and Carbonyl Compounds over Recyclable Magnetic Ferrite—Nickel Nanoparticles (Fe3O4Ni) by Using Glycerol as a Hydrogen Source. Chem.-A Eur. J. 2012, 18, 12628–12632. [Google Scholar] [CrossRef] [PubMed]
- Abu-Dief, A.M.; Nassar, I.F.; Elsayed, W.H. Magnetic NiFe2O4 Nanoparticles: Efficient, Heterogeneous and Reusable Catalyst for Synthesis of Acetylferrocene Chalcones and Their Anti-Tumour Activity. Appl. Organomet. Chem. 2016, 30, 917–923. [Google Scholar] [CrossRef]
- Zeynizadeh, B.; Mohammadzadeh, I.; Shokri, Z.; Ali Hosseini, S. Synthesis and Characterization of NiFe2O4@Cu Nanoparticles as a Magnetically Recoverable Catalyst for Reduction of Nitroarenes to Arylamines with NaBH4. J. Colloid. Interface Sci. 2017, 500, 285–293. [Google Scholar] [CrossRef]
- Moghaddam, F.M.; Tavakoli, G.; Aliabadi, A. Application of Nickel Ferrite and Cobalt Ferrite Magnetic Nanoparticles in C–O Bond Formation: A Comparative Study between Their Catalytic Activities. RSC Adv. 2015, 5, 59142–59153. [Google Scholar] [CrossRef]
- Ahankar, H.; Ramazani, A.; Joo, S.W. Magnetic Nickel Ferrite Nanoparticles as an Efficient Catalyst for the Preparation of Polyhydroquinoline Derivatives under Microwave Irradiation in Solvent-Free Conditions. Res. Chem. Intermed. 2016, 42, 2487–2500. [Google Scholar] [CrossRef]
- Safaei-Ghomi, J.; Ghasemzadeh, M.A. Zinc Oxide Nanoparticle Promoted Highly Efficient One Pot Three-Component Synthesis of 2,3-Disubstituted Benzofurans. Arab. J. Chem. 2017, 10, S1774–S1780. [Google Scholar] [CrossRef]
- Joshi, V.M.; Pawar, R.P. Pawar microwave assisted expeditious synthesis of bioactive polyhydroquinoline derivatives. Eur. Chem. Bull. 2013, 2, 679–682. [Google Scholar]
- Wang, L.-M.; Sheng, J.; Zhang, L.; Han, J.-W.; Fan, Z.-Y.; Tian, H.; Qian, C.-T. Facile Yb(OTf)3 Promoted One-Pot Synthesis of Polyhydroquinoline Derivatives through Hantzsch Reaction. Tetrahedron 2005, 61, 1539–1543. [Google Scholar] [CrossRef]
- Katkar, S.S.; Mohite, P.H.; Gadekar, L.S.; Vidhate, K.N.; Lande, M.K. ZnO-Beta Zeolite: As an Effective and Eco-Friendly Heterogeneous Catalyst for the Synthesis of Benzothiazole Derivatives. Chin. Chem. Lett. 2010, 21, 421–425. [Google Scholar] [CrossRef]
- Kassaee, M.Z.; Masrouri, H.; Movahedi, F. ZnO-Nanoparticle-Promoted Synthesis of Polyhydroquinoline Derivatives via Multicomponent Hantzsch Reaction. Mon. Für Chem.-Chem. Mon. 2010, 141, 317–322. [Google Scholar] [CrossRef]
- Bhagat, A.; Kokkiripati, A.; Bhaduri, B. Synthesis of Silver Nanoparticles Anchored on Nickel Ferrite/Oxidized-Graphite Composite for the Efficient Reduction of Aqueous P-Nitrophenol. Inorg. Chem. Commun. 2022, 143, 109806. [Google Scholar] [CrossRef]
- Qu, J.; Che, T.; Shi, L.; Lu, Q.; Qi, S. A Novel Magnetic Silica Supported Spinel Ferrites NiFe2O4 Catalyst for Heterogeneous Fenton-such as Oxidation of Rhodamine B. Chin. Chem. Lett. 2019, 30, 1198–1203. [Google Scholar] [CrossRef]
- Jadhav, S.A.; Khedkar, M.V.; Somvanshi, S.B.; Jadhav, K.M. Magnetically Retrievable Nanoscale Nickel Ferrites: An Active Photocatalyst for Toxic Dye Removal Applications. Ceram. Int. 2021, 47, 28623–28633. [Google Scholar] [CrossRef]
- Arumugham, N.; Mariappan, A.; Eswaran, J.; Daniel, S.; Kanthapazham, R.; Kathirvel, P. Nickel Ferrite-Based Composites and Its Photocatalytic Application—A Review. J. Hazard. Mater. Adv. 2022, 8, 100156. [Google Scholar] [CrossRef]
- Kamal Senapati, K.; Phukan, P. Magnetically Separable CoFe2O4 Nanocatalyst for Aldol Condensations of Aldehydes and Ketones Magnetically Separable Cobalt Ferrite Nanocatalyst for Aldol Condensations of Aldehydes and Ketones. Bull. Catal. Soc. Indian 2011, 9, 1–8. [Google Scholar]
- Alharthi, A.I.; Din, I.U.; Alotaibi, M.A.; Centi, G. Application of Cobalt Ferrite Nanocatalysts for Methanol Synthesis by CO2 Hydrogenation: Deciphering the Role of Metals Cations Distribution. Ceram. Int. 2021, 47, 19234–19240. [Google Scholar] [CrossRef]
- Sadri, F.; Ramazani, A.; Massoudi, A.; Khoobi, M.; Azizkhani, V.; Tarasi, R.; Dolatyari, L.; Min, B.-K. Magnetic CoFe2O4 Nanoparticles as an Efficient Catalyst for the Oxidation of Alcohols to Carbonyl Compounds in the Presence of Oxone as an Oxidant. Bull. Korean Chem. Soc. 2014, 35, 2029–2032. [Google Scholar] [CrossRef]
- Bhat, P.B.; Inam, F.; Bhat, B.R. Nickel Hydroxide/Cobalt–Ferrite Magnetic Nanocatalyst for Alcohol Oxidation. ACS Comb. Sci. 2014, 16, 397–402. [Google Scholar] [CrossRef]
- Paul, B.; Purkayastha, D.D.; Dhar, S.S. One-Pot Hydrothermal Synthesis and Characterization of CoFe2O4 Nanoparticles and Its Application as Magnetically Recoverable Catalyst in Oxidation of Alcohols by Periodic Acid. Mater. Chem. Phys. 2016, 181, 99–105. [Google Scholar] [CrossRef]
- Shaabani, A.; Hezarkhani, Z.; Nejad, M.K. Cr- and Zn-Substituted Cobalt Ferrite Nanoparticles Supported on Guanidine–Modified Graphene Oxide as Efficient and Recyclable Catalysts. J. Mater. Sci. 2017, 52, 96–112. [Google Scholar] [CrossRef]
- Kooti, M.; Afshari, M. Molybdenum Schiff Base Complex Covalently Anchored to Silica-Coated Cobalt Ferrite Nanoparticles as a Novel Heterogeneous Catalyst for the Oxidation of Alkenes. Catal. Lett. 2012, 142, 319–325. [Google Scholar] [CrossRef]
- Senapati, K.K.; Roy, S.; Borgohain, C.; Phukan, P. Palladium Nanoparticle Supported on Cobalt Ferrite: An Efficient Magnetically Separable Catalyst for Ligand Free Suzuki Coupling. J. Mol. Catal. A Chem. 2012, 352, 128–134. [Google Scholar] [CrossRef]
- Tsvetkov, M.; Zaharieva, J.; Issa, G.; Cherkezova-Zheleva, Z.; Nedyalkov, M.; Paneva, D.; Tsoncheva, T.; Milanova, M. Cobalt Ferrite Modified with Hf(IV) as a Catalyst for Oxidation of Ethyl Acetate. Catal. Today 2020, 357, 541–546. [Google Scholar] [CrossRef]
- Zhao, X.-N.; Hu, H.-C.; Zhang, F.-J.; Zhang, Z.-H. Magnetic CoFe2O4 Nanoparticle Immobilized N-Propyl Diethylenetriamine Sulfamic Acid as an Efficient and Recyclable Catalyst for the Synthesis of Amides via the Ritter Reaction. Appl. Catal. A Gen. 2014, 482, 258–265. [Google Scholar] [CrossRef]
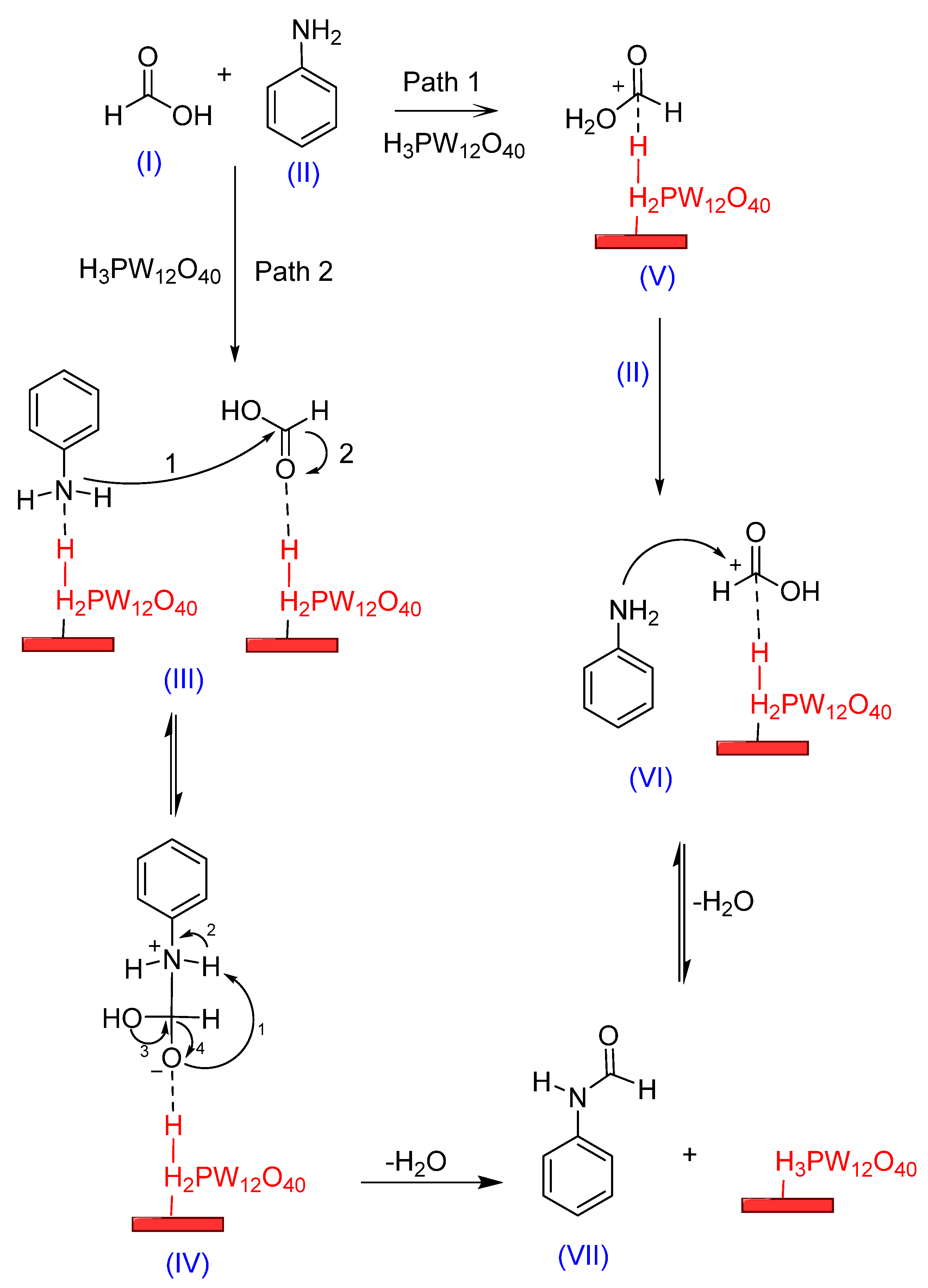
- Kooti, M.; Nasiri, E. Phosphotungstic Acid Supported on Silica-Coated CoFe2O4 Nanoparticles: An Efficient and Magnetically-Recoverable Catalyst for N-Formylation of Amines under Solvent-Free Conditions. J. Mol. Catal. A Chem. 2015, 406, 168–177. [Google Scholar] [CrossRef]
- Borade, R.M.; Kale, S.B.; Tekale, S.U.; Jadhav, K.M.; Pawar, R.P. Cobalt Ferrite Magnetic Nanoparticles as Highly Efficient Catalyst for the Mechanochemical Synthesis of 2-Aryl Benzimidazoles. Catal. Commun. 2021, 159, 106349. [Google Scholar] [CrossRef]
- Ali, N.; Said, A.; Ali, F.; Raziq, F.; Ali, Z.; Bilal, M.; Reinert, L.; Begum, T.; Iqbal, H.M.N. Photocatalytic Degradation of Congo Red Dye from Aqueous Environment Using Cobalt Ferrite Nanostructures: Development, Characterization, and Photocatalytic Performance. Water Air Soil. Pollut. 2020, 231, 50. [Google Scholar] [CrossRef]
- Ali, N.; Ali, F.; Said, A.; Begum, T.; Bilal, M.; Rab, A.; Sheikh, Z.A.; Iqbal, H.M.N.; Ahmad, I. Characterization and Deployment of Surface-Engineered Cobalt Ferrite Nanospheres as Photocatalyst for Highly Efficient Remediation of Alizarin Red S Dye from Aqueous Solution. J. Inorg. Organomet. Polym. Mater. 2020, 30, 5063–5073. [Google Scholar] [CrossRef]
- Naik, M.M.; Vinuth, M.; Karthik, K.; Suresha, B.; Nagaraju, G.; Sujatha, H.R. Photocatalytic Degradation of Dyes by Cobalt Ferrite Nanoparticles Synthesized by Sol–gel Method. AIP Conf. Proc. 2020, 2274, 040004. [Google Scholar] [CrossRef]
- Chahar, D.; Taneja, S.; Bisht, S.; Kesarwani, S.; Thakur, P.; Thakur, A.; Sharma, P.B. Photocatalytic Activity of Cobalt Substituted Zinc Ferrite for the Degradation of Methylene Blue Dye under Visible Light Irradiation. J. Alloys Compd. 2021, 851, 156878. [Google Scholar] [CrossRef]
- Jadhav, V.G.; Sarode, S.A.; Nagarkar, J.M. Palladium on Manganese Ferrite: An Efficient Catalyst for Ligand Free Decarboxylative Sonogashira Reaction with Arene Diazonium Tetrafluoroborate. Tetrahedron Lett. 2015, 56, 1771–1774. [Google Scholar] [CrossRef]
- Elmaci, G.; Ozer, D.; Zumreoglu-Karan, B. Liquid Phase Aerobic Oxidation of Benzyl Alcohol by Using Manganese Ferrite Supported-Manganese Oxide Nanocomposite Catalyst. Catal. Commun. 2017, 89, 56–59. [Google Scholar] [CrossRef]
- Deraz, N.M.; Shaban, S. Optimization of Catalytic, Surface and Magnetic Properties of Nanocrystalline Manganese Ferrite. J. Anal. Appl. Pyrolysis 2009, 86, 173–179. [Google Scholar] [CrossRef]
- Mateus, L.; Torres-Alcázar, A.; López-Ramón, M.V.; Álvarez, M.Á.; Moreno-Castilla, C. Manganese Ferrite Solid Nanospheres Solvothermally Synthesized as Catalyst for Peroxymonosulfate Activation to Degrade and Mineralize Para-Nitrophenol: Study of Operational Variables and Catalyst Reutilization. J. Environ. Chem. Eng. 2021, 9, 105192. [Google Scholar] [CrossRef]
- Hajdu, V.; Muránszky, G.; Nagy, M.; Kopcsik, E.; Kristály, F.; Fiser, B.; Viskolcz, B.; Vanyorek, L. Development of High-Efficiency, Magnetically Separable Palladium-Decorated Manganese-Ferrite Catalyst for Nitrobenzene Hydrogenation. Int. J. Mol. Sci. 2022, 23, 6535. [Google Scholar] [CrossRef]
- Nawi, M.A.; Sabar, S. Sheilatina Photocatalytic Decolourisation of Reactive Red 4 Dye by an Immobilised TiO2/Chitosan Layer by Layer System. J. Colloid. Interface Sci. 2012, 372, 80–87. [Google Scholar] [CrossRef]
- Saba, T.; Minhas, F.; Malik, M.I.; Talpur, F.N.; Jabbar, A.; Bhanger, M.I. Efficient Removal of Reactive Orange 107 Dye from Aqueous Media by Shrimp Shell Derived Chitosan Functionalized Magnetic Nanoparticles. Am. J. Anal. Chem. 2018, 09, 633–653. [Google Scholar] [CrossRef]
- Chaudhari, A.; Kaida, T.; Desai, H.B.; Ghosh, S.; Bhatt, R.P.; Tanna, A.R. Dye Degradation and Antimicrobial Applications of Manganese Ferrite Nanoparticles Synthesized by Plant Extracts. Chem. Phys. Impact 2022, 5, 100098. [Google Scholar] [CrossRef]
- Kour, S.; Jasrotia, R.; Puri, P.; Verma, A.; Sharma, B.; Singh, V.P.; Kumar, R.; Kalia, S. Improving Photocatalytic Efficiency of MnFe2O4 Ferrites via Doping with Zn2+/La3+ Ions: Photocatalytic Dye Degradation for Water Remediation. Environ. Sci. Pollut. Res. 2021, 30, 71527–71542. [Google Scholar] [CrossRef] [PubMed]
- Sun, L.-B.; Shen, J.; Lu, F.; Liu, X.-D.; Zhu, L.; Liu, X.-Q. Fabrication of Solid Strong Bases with a Molecular-Level Dispersion of Lithium Sites and High Basic Catalytic Activity. Chem. Commun. 2014, 50, 11299–11302. [Google Scholar] [CrossRef] [PubMed]
- Polshettiwar, V.; Varma, R.S. Green Chemistry by Nano-Catalysis. Green. Chem. 2010, 12, 743. [Google Scholar] [CrossRef]
- Monajjemifar, S.; Moeinpour, F.; Mohseni-Shahri, F.S. Investigation into the Catalytic Performance of Cu(II) Supported Graphene Quantum Dots Modified NiFe2O4 as a Proficient Nanocatalyst in the Synthesis of Propargylasmines. Catal. Lett. 2021, 151, 1444–1455. [Google Scholar] [CrossRef]
- Cahyana, A.H.; Liandi, A.R.; Maghdalena, M.; Yunarti, R.T.; Wendari, T.P. Magnetically Separable Fe3O4/Graphene Oxide Nanocomposite: An Efficient Heterogenous Catalyst for Spirooxindole Derivatives Synthesis. Ceram. Int. 2022, 48, 18316–18323. [Google Scholar] [CrossRef]























































| Recycle Runs | Conversion (%) | TOF (h−1) | |
|---|---|---|---|
| Suzuki reaction | 1st | 100 | 542 |
| 2nd | 100 | 542 | |
| 3rd | 99 | 528 | |
| 4th | 99 | 528 | |
| 5th | 98 | 516 | |
| Heck reaction | 1st | 100 | 1084 |
| 2nd | 100 | 1084 | |
| 3rd | 99 | 1073 | |
| 4th | 98 | 1063 | |
| 5th | 97 | 1051 |
| Number of Cycles | 4-CP Conversion (%) | Reduction of COD |
|---|---|---|
| 1 | 100 | 98.2 |
| 2 | 100 | 97.6 |
| 3 | 98.2 | 92.9 |
| 4 | 92.4 | 90.5 |
| 5 | 85.8 | 76.4 |
| Catalyst | Time (min) | Yield% | Reference |
|---|---|---|---|
| Nanocrystalline copper(II) oxide | 35 | 80 | [127] |
| ZnFe0.2Al1.8O4 | 32 | 86 | [128] |
| Yb(Otf)3 | 480 | 90 | [129] |
| Scolecite | 60 | 91 | [130] |
| ZnO Nps | 20 | 86 | [131] |
| NiFe2O4 MNPs | 4 | 94 | [126] |
| Entry | Time (min) | Yield% |
|---|---|---|
| 1 | 30 | 90 |
| 2 | 30 | 88 |
| 3 | 30 | 89 |
| 4 | 30 | 90 |
| 5 | 30 | 90 |
| 6 | 30 | 88 |
| Catalytic Composition | Process Description | Catalytic Activities | References |
|---|---|---|---|
| Copper ferrite CuFe2O4 | First β, γ -unsaturated ketones synthesis | Promising yield with reduced reaction time Reusable for three cycles | [88] |
| C–O coupling in the Ullmann reaction | High yields No protection to the sensitive functional groups (i.e., MeCO, CN, and NH2) | [91] | |
| One-pot synthesis of 𝛼-aminonitrile derivatives | Catalyst reusable and recyclable for four cycles. Benzaldehyde derivatives gave better yields compared to the ketone derivative | [92] | |
| Oxidative decarboxylation of phenylacetic acid | Simple, effective, and ligand-free production of aldehydes and ketones | [93] | |
| Oxidation of toluene to benzoic acid | Excellent yield | [94] | |
| Synthesis of biaryls from arylboronic acid | Catalyst recovered and reused up to five cycles 83–96% yield | [95] | |
| Degradation of ethanol to acetaldehyde | Excellent yield (97%) Higher temperature (400–500 °C) facilitates acetone production | [96] | |
| Oxidative coupling reaction of methanol and ethanol | Yield increased with temperature and molybdenum concentration | [97] | |
| Reduction of ortho and para nitroaniline | Showed excellent reduction profile for nitroanilines | [100] | |
| Photosensitive Fenton process | Degradation rate of 96% in 20 min with outstanding recyclability | [102] | |
| Sonophotocatalytic degradation process of the Acid Blue 113 (AB113) dye | Catalyst showed exceptional efficiency of dye removal (100%), total organic carbon (93%), and chemical oxygen demand (95%) | [104] | |
| Zinc ferrite ZnFe2O4 | Conversion of methanol to CO and H2 | Reaction temperature decreased Transformation of ferrite phase | [106] |
| Suzuki cross-coupling reactions | Doping with Pd showed excellent catalytic activity No ligand needed in aerobic condition | [22,107] | |
| Carbon–oxygen cross-coupling reactions such as Heck–Matsuda reaction | Enhanced catalytic activity | [108] | |
| Sonogashira coupling reaction | Without the catalyst reaction not possible | [109] | |
| Photodegradation of MB dye in aqueous solution | Catalyst efficiently degraded the MD dye | [111] | |
| Removed crystal violet and brilliant green dyes | Excellent catalytic activity under ambient condition | [114] | |
| Decolorization of Orange II dye | Showed high activity and stability with very low iron and zinc leaching throughout the various cycles of the experiments | [115] | |
| Nickel Ferrite NiFe2O4 | Water gas shift reaction | Showed excellent output | [116] |
| Chemical looping reaction with methanol | The catalyst further deoxidized CO2 to CO | [117] | |
| Sonogashira cross-coupling reactions | Catalyst highly active and reusable up to tenth run Reduced reaction time | [118,119,120,121] | |
| Hydrogen-transfer reactions in the reduction of nitro and carbonyl compounds | Effective reduction of nitro compounds to aniline | [122] | |
| Claisen–Schmidt condensation | Excellent yield of acetylferrocene chalcones More electronegative and conjugated phenyl groups yielded better products with reduced time | [123] | |
| Reducing nitroarenes to arylamines | Cu incorporation enhanced the activity | [124] | |
| C–O coupling reaction | Coupling of phenol derivatives and several aromatic halides successfully conducted | [125] | |
| Producing polyhydroquinoline | Easy method with microwave irradiation Electron-donating groups in the ring increased the reaction time Excellent yield and reusability | [126] | |
| Heterogeneous Fenton, such as oxidation of rhodamine B | Degraded the dye effectively | [133] | |
| Degradation of MB as a water contaminant | Good photocatalytic activity against dye degradation and showed reusability up to four cycles | [134] | |
| Water treatment as a photocatalyst with organic pollutants (MO, MB, RB, CR, phenol, antibiotics | Maximum removal of dyes | [135] | |
| Cobalt ferrite CoFe2O4 | Aldol condensation | A good yield of α, β-unsaturated ketone obtained | [136] |
| Hydrogenation of CO2 to methanol | The catalyst effectively recovered and reused | [137] | |
| Oxidation of primary as well as secondary aliphatic alcohols and benzylic alcohols | Enhanced activity with increase in calcination temperature | [138,139,140] | |
| One photosynthesis of 2-phenylbenzo [d]oxazole derivatives | Easy method with great yield | [141] | |
| Oxidation of alkenes | Excellent yield of alkenes to their related aldehydes or epoxides | [142] | |
| Suzuki coupling reaction | Good catalytic recovery and reusability for multiple cycles Less catalyst loading | [143] | |
| Conversion of ethyl acetate to CO2 | Activity increased with specific surface area | [144] | |
| Production of amides by Ritter reaction | No solvent required Catalyst recycled for several cycles retaining the catalytic activity | [145] | |
| N-formylation reaction | Good percentage yield Less reaction time | [146] | |
| Formation of derivatives of 2-aryl benzimidazole | Rapid reaction in short span of time for aldehydes bearing electron-withdrawing substituents | [147] | |
| Chemical looping reduction of methanol | Excellent catalytic activity | [117] | |
| Photocatalytic degradation Congo red dye and Alizarin Red S | A 91% of degradation of dyes took place, and activity increased with annealing temperature | [148,149] | |
| Photocatalytic degradation of MB dye and Evans Blue (EB) dye under visible light irradiation | Excellent degradation of the dyes without any hazardous effect on the environmental | [150] | |
| Manganese Ferrite MnFe2O4 | Decarboxylative Sonogashira reaction | Symmetrical and unsymmetrical diaryl acetylenes were synthesized without any ligands | [152] |
| Oxidation reaction of benzyl alcohol | Nanocatalyst activity moderate but showed 100% selectivity towards benzaldehyde A 100% removal of PNP in 7 h | [153] | |
| Catalyse potassium peroxymonosulfate(PNP) | Excellent catalytic activity with 96% aniline yield and no by-products | [155] | |
| Hydrogenation of nitrobenzene to aniline | Catalyst reusable up to four cycles without loss in catalytic performance | [156] | |
| Synergistic process of photocatalysis and adsorption for the degradation of Reactive Red 4 (RR4) dye | High catalytic efficiencies for the degradation of RR4 with easy recovery from the reaction mixture maintaining high catalytic activity over many cycles of extended usage without losing efficiency | [157] | |
| Removal of Reactive Orange 107 dye (RO 107) and MB dye from wastewater | Removed more than 90% of the pollutant from the wastewater under visible light | [158,159] | |
| Degradation of organic textile Malachite Green Dye (MGD) under natural solar radiation | A total of 96% of MGD degraded after 60 min of irradiation Activity increased with doping concentration | [160] |
Disclaimer/Publisher’s Note: The statements, opinions and data contained in all publications are solely those of the individual author(s) and contributor(s) and not of MDPI and/or the editor(s). MDPI and/or the editor(s) disclaim responsibility for any injury to people or property resulting from any ideas, methods, instructions or products referred to in the content. |
© 2023 by the authors. Licensee MDPI, Basel, Switzerland. This article is an open access article distributed under the terms and conditions of the Creative Commons Attribution (CC BY) license (https://creativecommons.org/licenses/by/4.0/).
Share and Cite
Maji, N.; Dosanjh, H.S. Ferrite Nanoparticles as Catalysts in Organic Reactions: A Mini Review. Magnetochemistry 2023, 9, 156. https://doi.org/10.3390/magnetochemistry9060156
Maji N, Dosanjh HS. Ferrite Nanoparticles as Catalysts in Organic Reactions: A Mini Review. Magnetochemistry. 2023; 9(6):156. https://doi.org/10.3390/magnetochemistry9060156
Chicago/Turabian StyleMaji, Nilima, and Harmanjit Singh Dosanjh. 2023. "Ferrite Nanoparticles as Catalysts in Organic Reactions: A Mini Review" Magnetochemistry 9, no. 6: 156. https://doi.org/10.3390/magnetochemistry9060156
APA StyleMaji, N., & Dosanjh, H. S. (2023). Ferrite Nanoparticles as Catalysts in Organic Reactions: A Mini Review. Magnetochemistry, 9(6), 156. https://doi.org/10.3390/magnetochemistry9060156

