Influence of Chemical Substitution and Light Element Insertion on the Magnetic Properties of Nanocrystalline Pr2Co7 Compound
Abstract
:1. Introduction
2. Synthesis Methods of PrCo, PrCoFe, PrCoC, and PrCoH Samples
3. Structural, Microstructural, and Magnetic Characterizations of the Samples
4. Structural Properties
4.1. Nanocrystalline PrCo Compound
4.2. Nanocrystalline PrCoFe (x = 0, 0.25, 0.5, 0.75, and 1) Compounds
4.3. Structural Analysis of Nanocrystalline PrCoFe Compounds with EXAFS
4.4. Nanocrystalline PrCoC (x = 0–1) Compounds
4.5. Nanocrystalline PrCoH (x = 0–10.8) Compounds
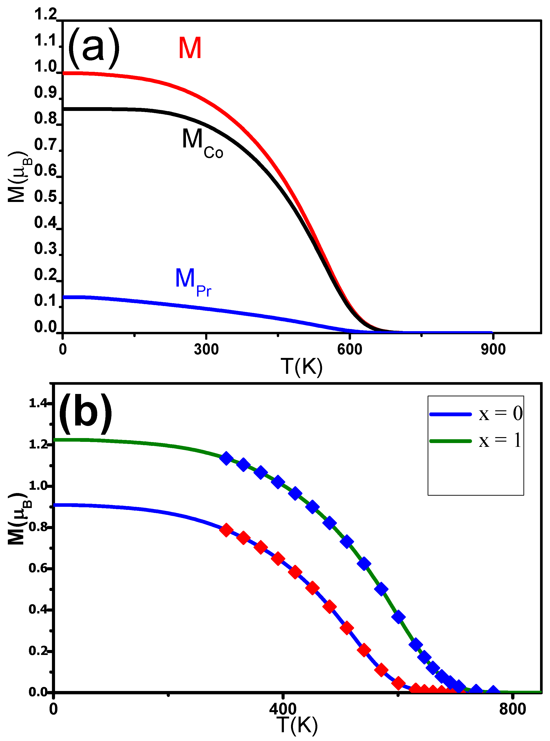
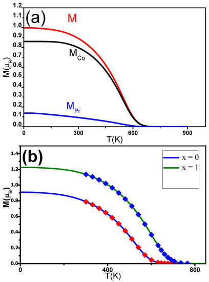
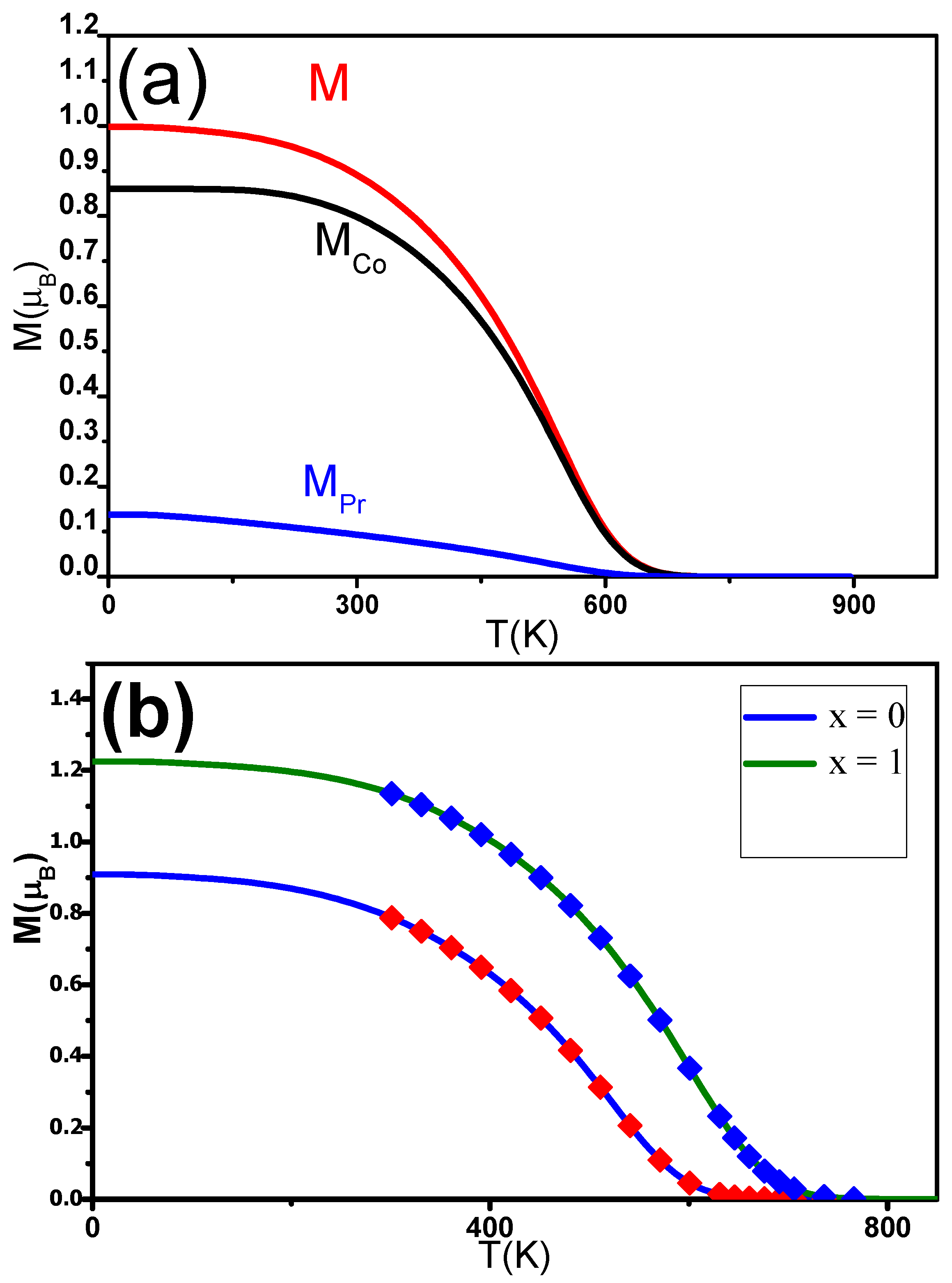
5. Intrinsic Magnetic Properties
5.1. Nanocrystalline PrCoFe (x = 0, 0.25, 0.5, 0.75, and 1) Compounds
5.2. Nanocrystalline PrCoC (x = 0–1) Compounds
5.3. Nanocrystalline PrCoH (x = 0–10.8) Hydrides
5.4. Mean Field Theory (MFT) and Random Magnetic Anisotropy (RMA) Analysis
5.4.1. Nanocrystalline PrCoC (x = 0–1) Compounds
5.4.2. Nanocrystalline PrCoH (x = 0–10.8) Hydrides
5.5. Magnetocaloric Effect of the Nanocrystalline PrCo Compound
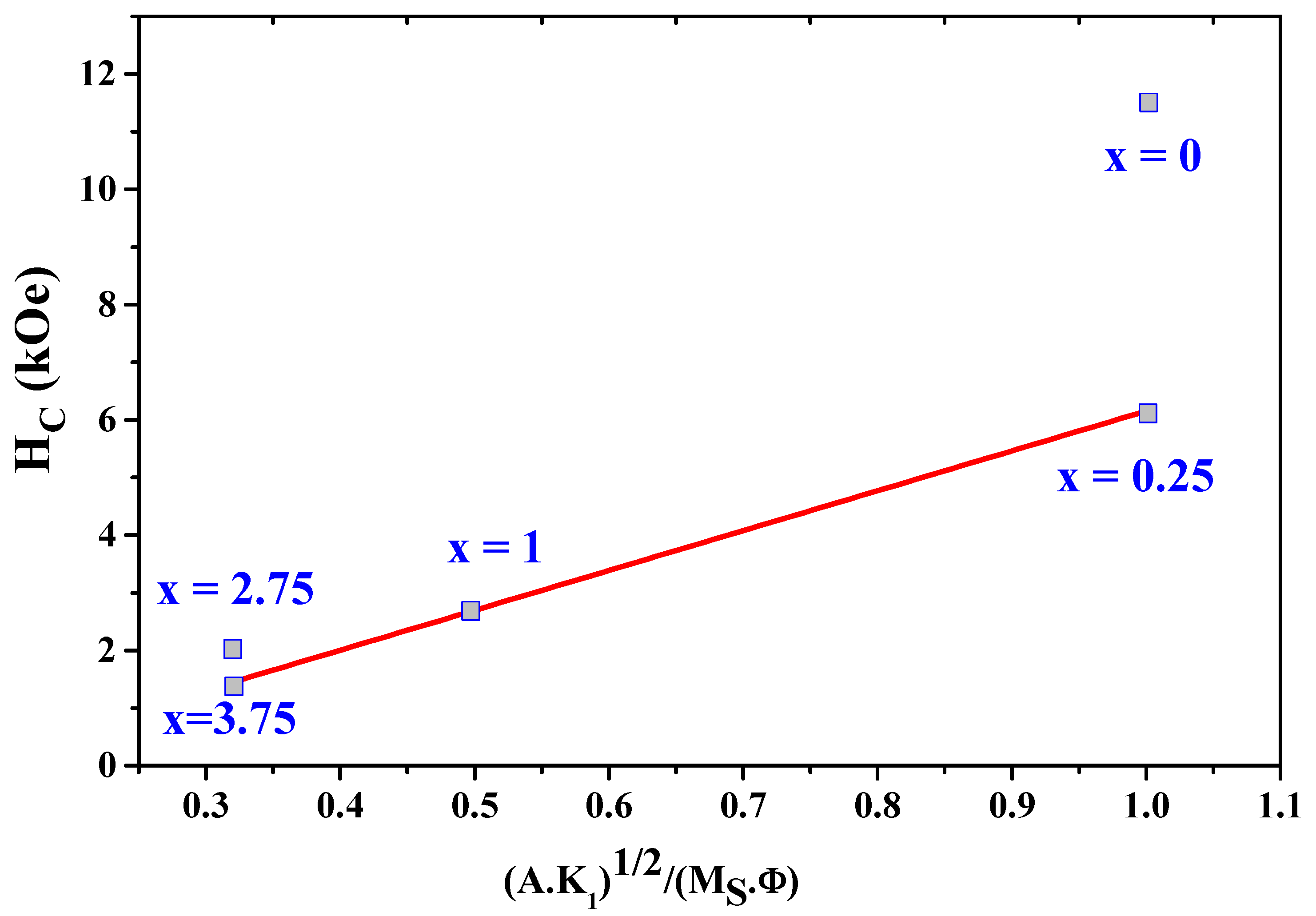
6. Extrinsic Magnetic Properties
6.1. Nanocrystalline PrCoFe (x = 0, 0.25, 0.5, 0.75, and 1) Compounds
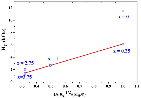
6.2. Nanocrystalline PrCoC (x = 0–1) Compounds
6.3. Nanocrystalline PrCoH (x = 0–10.8) Hydrides
7. Conclusions
Author Contributions
Funding
Institutional Review Board Statement
Informed Consent Statement
Data Availability Statement
Acknowledgments
Conflicts of Interest
Abbreviations
| EDS | Energy-Dispersive X-ray Spectroscopy |
| EXAFS | Extended X-Ray Absorption Fine Structure |
| Coercive Field | |
| HRTEM | High-Resolution Transmission Electron Microscopy |
| Remanent Magnetization | |
| STEM | Scanning Transmission Electron Microscopy |
| Curie Temperature | |
| MFT | Mean Field Theory |
| RMA | Random Magnetic Anisotropy |
| RCP | Relative Cooling Power |
References
- Burzo, E. Exchange Interactions and Transition Metal Moments in Rare-Earth Compounds. J. Synch. Investig. 2018, 12, 431–435. [Google Scholar] [CrossRef]
- Zhang, Y. Review of the structural, magnetic and magnetocaloric properties in ternary rare earth RE2T2X type intermetallic compounds. J. Alloys Compd. 2019, 787, 1173–1186. [Google Scholar] [CrossRef]
- Wang, Y.; Guo, D.; Wu, B.; Geng, S.; zhang, Y. Magnetocaloric effect and refrigeration performance in RE60Co20Ni20 (RE = Ho and Er) amorphous ribbons. J. Magn. Magn. Mater. 2020, 498, 166179. [Google Scholar] [CrossRef]
- Li, L.; Yan, M. Recent progresses in exploring the rare earth based intermetallic compounds for cryogenic magnetic refrigeration. J. Alloys Compd. 2020, 823, 153810. [Google Scholar] [CrossRef]
- Yin, L.; Parker, D.S. Effect of atom substitutions on the magnetic properties in Ce2Fe17: Toward permanent magnet applications. J. Appl. Phys. 2021, 129, 103902. [Google Scholar] [CrossRef]
- Schafer, L.; Skokov, K.; Liu, J.; Maccari, F.; Braun, T.; Riegg, S.; Radulov, I.; Gassmann, J.; Merschroth, H.; Harbig, J.; et al. Design and Qualification of Pr-Fe-Cu-B Alloys for the Additive Manufacturing of Permanent Magnets. Adv. Funct. Mater. 2021, 31, 2102148. [Google Scholar] [CrossRef]
- Dirba, I.; Sepehri-Amin, H.; Skokov, K.; Skourski, Y.; Hono, K.; Gutfleisch, O. Magnetic properties and microstructure of Sm5Fe17-based composite magnets. Acta Mater. 2021, 212, 116912. [Google Scholar] [CrossRef]
- Jaballah, H.; Bouzidi, W.; Fersi, R.; Mliki, N.; Bessais, L. Structural, magnetic and magnetocaloric properties of (Pr,Sm)2Fe17 compound at room temperature. J. Phys. Chem. Solids 2022, 532, 110438. [Google Scholar] [CrossRef]
- Chrobak, A.; Bajorek, A.; Chełkowska, G.; Haneczok, G.; Kwiencien, M. Magnetic properties and magnetocaloric effect of the Gd(Ni1−xFex)3 crystalline compound and powder. Phys. Status Solidi 2009, 206, 731–737. [Google Scholar] [CrossRef]
- Bajorek, A.; Berger, C.; Pruzik, K.; Zubko, M.K.; Wojtyniak, M.; Chełkowska, G. Novel Ho(Ni0.8Co0.2)3 nanoflakes produced by high energy ball-milling. Mater. Charcterisation 2017, 128, 45–53. [Google Scholar]
- Lopadczak, P.; Bajorek, A.; Prusik, K.; Zubko, M.; Chełkowska, G. Magnetic hardening induced in RCo5 (R = Y, Gd, Sm) by short HEBM. Acta Phys. Pol. A 2018, 55, 2100904. [Google Scholar] [CrossRef]
- Bajorek, A.; Łopadczak, P.; Prusik, K.; Zubko, M.; Chełkowska, G. The comparison of magnetic properties at room temperature in RCo5 (R = Y, Sm, Gd) nanoflakes synthesized via time-staged HEBM. IEEE Trans. Magn. 2019, 55, 2100904. [Google Scholar] [CrossRef]
- Dahal, J.N.; Ali, K.S.S.; Mishra, S.R.; Neupane, D. Effect of Ga and Zr Substitution on the Properties of Dy2Fe17−xZrx and Dy2Fe16Ga1−xZrx (0 ≤ x ≤ 1) Intermetallic Compounds Prepared via Arc Melting Process. Magnetochemistry 2020, 6, 9. [Google Scholar] [CrossRef] [Green Version]
- Liu, K.; Wang, S.H.; Feng, Y.L.; Zhang, Y.K. Research on Phases and Morphology of Sm2Fe17 Melt-Spun Ribbon. Rare Met. Mater. Eng. 2020, 49, 3796–3802. [Google Scholar]
- Onoue, M.; Kobayashi, R.; Mitsui, Y.; Umetsu, R.Y.; Uwatoko, Y.; Koyama, K. Magnetic field-induced nitridation of Sm2Fe17. J. Alloys Compd. 2020, 835, 155193. [Google Scholar] [CrossRef]
- Veselova, S.; Tereshina, I.; Verbetsky, V.; Neznakhin, D.; Tereshina-Chitrova, E.; Kaminskaya, T.; Karpenkov, A.; Akimova, O.; Gorbunov, D.; Savchenko, A. Structure and magnetic properties of (Sm,Ho)2Fe17Nx (x = 0; 2.4). J. Magn. Magn. Mater. 2020, 502, 166549. [Google Scholar] [CrossRef]
- Kovacs, A.; Fischbacher, J.; Gusenbauer, M.; Oezelt, H.; Herper, H.C.; Vekilova, O.Y.; Nieves, P.; Arapan, S.; Schrefl, T. Computational Design of Rare-Earth Reduced Permanent Magnets. Engineering 2020, 6, 148–153. [Google Scholar] [CrossRef]
- Coey, J.M.D. Perspective and Prospects for Rare Earth Permanent Magnets. Engineering 2020, 6, 119–131. [Google Scholar] [CrossRef]
- Bajorek, A.; Łopadczak, P.; Prusik, K.; Zubko, M. Correlation between Microstructure and Magnetism in Ball-Milled SmCo5/α-Fe (5%wt. α-Fe) Nanocomposite Magnets. Materials 2021, 14, 502. [Google Scholar] [CrossRef]
- Ener, S.; Skokov, K.P.; Palanisamy, D.; Devillers, T.; Fischbacher, J.; Eslava, G.G.; Maccari, F.; Schafer, L.; Diop, L.V.B.; Radulov, I.; et al. Twins—A weak link in the magnetic hardening of ThMn12-type permanent magnets. Acta Mater. 2021, 214, 116968. [Google Scholar] [CrossRef]
- Opelt, K.; Ahmad, T.; Diehl, O.; Schonfeldt, M.; Brouwer, E.; Vogel, I.; Rossa, J.D.; Gassmann, J.; Ener, S.; Gutfleisch, O. Upscaling the 2-Powder Method for the Manufacturing of Heavy Rare-Earth-Lean Sintered didymium-Based Magnets. Adv. Eng. Mater. 2021, 23, 2100459. [Google Scholar] [CrossRef]
- Galler, A.; Ener, S.; Maccari, F.; Dirba, I.; Skokov, K.P.; Gutfleisch, O.; Biermann, S.; Pourovskii, L.V. Intrinsically weak magnetic anisotropy of cerium in potential hard-magnetic intermetallics. NPJ Quantum Mater. 2021, 2, 6. [Google Scholar] [CrossRef]
- Hosokawa, A.; Suzuki, K.; Yamaguchi, W.; Takagi, K. Mechanism of anomalous α-Fe formation from stoichiometric Sm2Fe17 jet-milled powder during post-pulverization annealing. Acta Mater. 2021, 213, 116981. [Google Scholar] [CrossRef]
- Shen, B.G.; Liang, B.; Wang, F.W.; Cheng, Z.H.; Gong, H.Y.; Zhang, S.Y.; Zhang, J.X. Magnetic Properties of Sm2Fe17−xSix and Sm2Fe17−xSixC Compounds. J. Appl. Phys. 1995, 77, 2637. [Google Scholar] [CrossRef]
- Cao, L.; Handstein, A.; Gebel, B.; Schäfer, R.; Müller, K.H. Thermostability of Sm2(FeGa)17Cy prepared by gas-solid reaction (GSR). J. Appl. Phys. 1997, 81, 4539. [Google Scholar] [CrossRef]
- van Lier, J.; Kubis, M.; Grünberger, W.; Shultz, L.; Kronmüller, H. High performance Sm2+δFe15Ga2C2 permanent magnets made by melt spinning and hot pressing. J. Appl. Phys. 1998, 83, 5549. [Google Scholar] [CrossRef]
- Kubis, M.; Eckert, D.; Gebel, B.; Müller, K.H.; Schultz, L. Intrinsic magnetic properties of Sm2Fe17−xMxNy/Cy (M = Al, Ga or Si). J. Magn. Magn. Mater. 2000, 217, 14. [Google Scholar] [CrossRef]
- Zheng, C.; Yu, D.; Li, K.; Luo, Y.; Jin, J.; Lu, S.; Li, H.; Mao, Y.; Quan, N. Effect of boron additions on phase formation and magnetic properties of TbCu7-type melt spun SmFe ribbons. J. Magn. Magn. Mater. 2016, 412, 89–94. [Google Scholar] [CrossRef]
- Luo, Y.; Zhang, K.; Li, K.S.; Yu, D.B.; Ling, J.J.; Men, K.; Dou, Q.Y.; Yan, W.L.; Xie, J.J.; Yang, Y.F. Structure and magnetic behaviors of melt-spun SmFeSiB ribbons and their nitrides. J. Magn. Magn. Mater. 2018, 405, 214–218. [Google Scholar] [CrossRef]
- Yang, W.; Zha, L.; Lai, Y.; Qiao, G.; Du, H.; Liu, S.; Wang, C.; Han, J.; Yang, Y.; Hou, Y.; et al. Structural and magnetic properties of the R10Fe90−xSix alloys with R=Y, Ce,Pr, Nd, Sm, Gd, Tb, Dy, Ho, and Er. Intermetallics 2018, 90, 8–17. [Google Scholar] [CrossRef]
- Takagi, K.; Jinno, M.; Ozaki, K. Preparation of TbCu7-type Sm-Fe powders by low-temperature HDDR treatment. J. Magn. Magn. Mater. 2018, 454, 170–175. [Google Scholar] [CrossRef]
- Wu, G.; Li, H.; Yu, D.; Li, K.; Yan, W.; Yuan, C.; Sun, L.; Luo, Y.; Zhang, K. Effect of niobium substitution on microstructures and thermalstability of TbCu7-type Sm-Fe-N magnets. J. Rare Earths 2018, 36, 281–286. [Google Scholar] [CrossRef] [Green Version]
- Yan, W.; Quan, N.; Luo, Y.; Yu, D.; Wang, Z.; Wu, G.; Zhang, K. Structure and hard magnetic properties of TbCu7-type SmFe8.95−xGa0.26Nbx nitrides. J. Rare Earths 2018, 36, 165–169. [Google Scholar] [CrossRef] [Green Version]
- Buschow, K.H.J. Magnetic anisotropy of some rare earth-cobalt compounds (R2Co7). J. Less-Common. Met. 1973, 33, 311. [Google Scholar] [CrossRef]
- Givord, D.; Lemaire, R. Magnetic Tranition and Anomalous Thermal-Expansion in R2Fe17 Compounds. IEEE Trans. Magn. 1974, 10, 109–113. [Google Scholar] [CrossRef]
- Buschow, K.H.J. Intermetallic compounds of rare-earth and 3d transition metals. Rep. Prog. Phys. 1977, 40, 1179. [Google Scholar] [CrossRef]
- Kirchmayr, H.; Poldy, C. Magnetism in rare earth—3d intermetallics. J. Magn. Magn. Mater. 1978, 8, 1–42. [Google Scholar] [CrossRef]
- Street, R.; Day, R.K.; Dunlop, J.B. Magnetic viscosity in NdFeB and SmCo5 alloys. J. Magn. Magn. Mater. 1987, 69, 106. [Google Scholar] [CrossRef]
- Coehoorn, R.; Daalderop, G.H.O. Magnetocrystalline anisotropy in new magnetic materials. J. Magn. Magn. Mater. 1992, 104, 1081–1085. [Google Scholar] [CrossRef]
- Qi, Q.; Li, Y.P.; Coey, J.M.D. Gas-phase interstitially modified intermetallics R(Fe11Ti)Z1-δ. II. 3d magnetization of the compounds Y(Fe11Ti)Z1-δ (Z = N, C). J. Phys. Condens. Matter 1992, 4, 8209. [Google Scholar] [CrossRef]
- Fischer, R.; Kronmuller, H. Static computational micromagnetism of demagnetization processes in nanoscaled permanent magnets. Phys. Rev. B 1996, 54, 7284. [Google Scholar] [CrossRef] [PubMed]
- Margarian, A.; Li, H.S.; Dunlop, J.B.; Cadogan, J.M. Structural and magnetic properties of the novel compound Dy3(Fe,Ti)29. J. Alloys Compd. 1996, 239, 27. [Google Scholar] [CrossRef]
- Cataldo, L.; Lefevre, A.; Cohen-Adad, M. Elaboration et optimisation d’alliages magnetiques: Sm-Co-Cu-Fe-Zr. Etude par diagrammes de phases. J. Chim. Phys. 1997, A94, 1087–1093. [Google Scholar] [CrossRef]
- Hu, J. Volume expansion and Curie temperature enhancement in R2Fe17Cx compounds. J. Alloys Compd. 1999, 285, 51. [Google Scholar] [CrossRef]
- Fischer, R.; Kronmuller, H. The role of the exchange interaction in nanocrystalline isotropic Nd2Fe14B-magnets. J. Magn. Magn. Mater. 1999, 191, 225. [Google Scholar] [CrossRef]
- Bessais, L.; Dorolti, E.; Djega-Mariadassou, C. Correlation between Sm2(Fe,Ga)17 and its precursor Sm(Fe,Ga)9. J. Appl. Phys. 2005, 97, 013902. [Google Scholar] [CrossRef]
- Bessais, L.; Djega-Mariadassou, C.; Beaunier, P. Effect of nanocrystallization on the structure and the magnetic properties of Nd–Fe–Co–Al–B glassy alloy. J. App. Phys. 2006, 99, 093906. [Google Scholar] [CrossRef]
- Yartys, V.; Riabov, A.; Denys, R.; Sato, M.; Delaplane, R. Novel intermetallic hydrides. J. Alloys Compd. 2006, 408, 273. [Google Scholar] [CrossRef]
- Khazzan, S.; Mliki, N.; Bessais, L. Structure and magnetic properties of nanocrystalline Sm1-s(Fe,Mo)5+2s. J. Appl. Phys. 2009, 105, 103904. [Google Scholar] [CrossRef]
- Bessais, L.; Younsi, K.; Khazzan, S.; Mliki, N. X-ray and intrinsic magnetic properties of nanocrystalline Sm2 (Fe, M) 17 (M = Si, Ga, Co, Cr, Zr or Mo). Intermetallics 2011, 19, 997–1004. [Google Scholar] [CrossRef]
- Khazzan, S.; Mliki, N.; Bessais, L.; Djega-Mariadassou, C. Rare-earth iron-based intermetallic compounds and their carbides: Structure and magnetic behaviors. J. Magn. Magn. Mater. 2010, 322, 224–229. [Google Scholar] [CrossRef]
- Kowalczyk, A. The intrinsic magnetic properties of R2Co7B3 (R= rare earth) intermetallic compounds. J. Magn. Magn. Mater. 1997, 175, 279. [Google Scholar] [CrossRef]
- Apostolov, A.; Bozukov, L.; Stanev, N.; Mydlar, T. A change in magnetic properties of R2Co7 intermetallic compounds (R = Pr, Sm, Tb and Ho) upon hydrogen absorption. J. Magn. Magn. Mater. 1990, 83, 286. [Google Scholar] [CrossRef]
- Fersi, R.; Mliki, N.; Bessais, L.; Guetari, R.; Russier, V.; Cabie, M. Effect of annealing on structural and magnetic properties of Pr2Co7 compounds. J. Alloys Compd. 2012, 14, 522. [Google Scholar] [CrossRef]
- Deryagin, A.V. 3d-4f METALLIC COMPOUNDS. Magnetic moment, magnetic anisotropy and spin-reorientation phase transition in (4f-3d)-intermetallic compounds. J. Phys. 1979, C5, 165. [Google Scholar] [CrossRef]
- Chrobak, A.; Bajorek, A.; Chełkowska, G. Effect of Tb/Gd substitution on crystal structure and exchange interactions of Gd1−xTbxNi3 intermetallic compounds. Acta Phys. Pol. A 2012, 121, 1132. [Google Scholar] [CrossRef]
- Fersi, R.; Mliki, N.; Bessais, L. Hydrogenation and the effect of H absorption on structural and magnetic properties of nanocrystalline Pr2Co7 alloys. J. Magn. Magn. Mater. 2018, 465, 220–227. [Google Scholar] [CrossRef]
- Yamkane, Z.; Fersi, R.; Rachid, F.; Moubah, R.; Lassri, H.; Mliki, N.; Bessais, L. Random magnetic anisotropy studies in nanocrystalline Pr2Co7Hx (0 < x < 3.75) hydrides. J. Magn. Magn. Mater. 2018, 449, 461–466. [Google Scholar]
- Alouhmy, M.; Moubah, R.; Yamkane, Z.; Abid, M.; Lassri, H. Random magnetic anisotropy approach in amorphous Fe(88.4)Zr1(1.6) films: Effects of hydrogen implantation. J. Non-Cryst. Solids 2021, 566, 120879. [Google Scholar] [CrossRef]
- Dunlap, R.; Small, D.; MacKay, G.; O’Brien, J.W.; Dahn, J.R.; Cheng, Z.H. Materials preparation by ball milling. J. Can. Phys 2000, 78, 211. [Google Scholar] [CrossRef]
- Fersi, R.; Cabie, M.; Mliki, N.; Bessais, L. Impact of carbon insertion on the microstructure and magnetic properties of nanocrystalline Pr2Co7 alloys. J. Alloys Compd. 2013, 576, 415–423. [Google Scholar] [CrossRef]
- Gal, L.; Charbonnier, V.; Zhang, J.; Goubault, L.; Bernard, P.; Latroche, M. Optimization of the La substitution by Mg in the La2Ni7 hydride-forming system for use as negative electrode in Ni-MH battery. Int. J. Hydrogen Energy 2015, 40, 17017–17020. [Google Scholar] [CrossRef]
- Fersi, R.; Cabie, M.; Mliki, N.; Bessais, L. Effect of annealing temperature on the microstructure of Pr2Co7 alloys and its hydrogen aborption-desorption kinetics. Int. J. Hydrogen Energy 2019, 44, 22011–22021. [Google Scholar] [CrossRef]
- Rosetti, I.; Ramis, G. Quantification of delivered H2 by a volumetric method to test H2 storage materials. Int J Hydrogen Energy 2013, 38, 13309. [Google Scholar] [CrossRef]
- Zhang, J.; Charbonnier, V.; Madern, N.; Monnier, J.; Latroche, M. Improvement of reversible H storage capacity by fine tuning of the composition in the pseudo-binary systems A2−xLaxNi7 (A = Gd, Sm, Y, Mg). J. Alloys Compd. 2021, 852, 157008. [Google Scholar] [CrossRef]
- Rietveld, H. Line profiles of neutron powder-diffraction peaks for structure refinement. Acta Crystallogr. 1967, 22, 151–152. [Google Scholar] [CrossRef]
- Rietveld, H. A profile refinement method for nuclear and magnetic structures. J. Appl. Crystallogr. 1969, 2, 65–71. [Google Scholar] [CrossRef]
- Michalowicz, A.; Moscovici, J.; Muller-Bouvet, D.; Provost, K. Max: Multiplatform applications for xafs. J. Phys. Conf. Ser. 2009, 190, 012034. [Google Scholar]
- Bez, R.; Fersi, R.; Zehani, K.; Moscovici, J.; Bessais, L.; Mliki, N.; Fonda, E.; Michalowicz, A. Phase stability, EXAFS investigation and correlation between nanostructure and extrinsic magnetic properties of nanocrystalline Pr2(Co,Fe)7. J. Alloys Compd. 2016, 666, 317. [Google Scholar] [CrossRef]
- Ankudinov, A.; Ravel, B.; Rehr, J.; Conradson, S. Real-space multiplescattering calculation and interpretation of x-ray-absorption near-edge structure. Phys. Rev. B 1998, 58, 7565. [Google Scholar] [CrossRef] [Green Version]
- Fersi, R.; Mliki, N.; Cabié, M.; Bessais, L. Intrinsic and extrinsic magnetic properties of nanocrystalline Pr2(Co,Fe)7. Phys. Status Solidi 2014, 211, 910. [Google Scholar] [CrossRef]
- Charbonnier, V.; Zhang, J.; Monnier, J.; Goubault, L.; Bernard, P.; Magén, C.; Serin, V.; Latroche, M. Structural and Hydrogen Storage Properties of Y2Ni7 Deuterides Studied by Neutron Powder Diffraction. J. Phys. Chem. C 2015, 119, 12218–12225. [Google Scholar] [CrossRef]
- Paul-Boncour, V.; Crivello, J.; Madern, N.; Zhang, J.; Diop, L.; Charbonnier, V.; Monnier, J.; Latroche, M. Correlations between stacked structures and weak itinerant magnetic properties of La2-xYxNi7 compounds. J. Phys. Condens. Matter 2020, 32, 415804. [Google Scholar] [CrossRef] [PubMed]
- Provost, K.; Beret, E.C.; Muller, D.; ans, A. Michalowicz, E.S.M. Impact of the number of fitted Debye-waller factors on exafs fitting. J. Phys. Conf. Ser. 2013, 430, 012015. [Google Scholar] [CrossRef] [Green Version]
- Mimault, J.; Fontaine, A.; Lagarde, P.; Raoux, D.; Sadoc, A.; Spanjaard, D. Elastic core effect and clustering tendency by EXAFS in as-quenched Al-Zn alloys. J. Phys. F Met. Phys. 1981, 11, 1311. [Google Scholar] [CrossRef]
- Iwase, K.; Mashii, S.; Mori, K. Hydrogenation characteristics of Ce2Ni7-type La2Co7 and its phase transformation during hydrogen absorption-desorption processes. J. Solid State Chem. 2021, 299, 122201. [Google Scholar] [CrossRef]
- Néel, L. Relation entre la constante d’anisotropie et la loi d’approche à la saturation des ferromagnétiques. Rep. Prog. Phys. 1948, 9, 148. [Google Scholar] [CrossRef]
- Masrour, R.; Jabar, A.; Khlif, H.; Jemaa, F.B.; Ellouze, M.; Hlil, E.K. Experiment, mean field theory and Monte Carlo simulations of the magnetocaloric effect in La0.67Ba0.22Sr0.11MnO3 compound. Solid State Commun. 2017, 268, 64. [Google Scholar] [CrossRef]
- Herzer, G. Grain Size Dependence of Coercivity and Permeability in Nanocrystalline Ferromagnets. IEEE Trans. Magn. 2020, 1397, 26. [Google Scholar]
- Bouzidi, W.; Mliki, N.; Bessais, L. Second-order magnetic transition and low field magnetocaloric effect in nanocrystalline Pr5Co19 compound. J. Electron. Mater. 2018, 47, 2776–2781. [Google Scholar] [CrossRef]















| x | 0.0 | 0.25 | 0.5 | 0.75 | 1 |
|---|---|---|---|---|---|
| a (Å) | 5.068(3) | 5.068(2) | 5.076(3) | 5.078(1) | 5.102(2) |
| c (Å) | 24.458(2) | 24.462(4) | 24.473(5) | 24.474(3) | 24.475(4) |
| c/a | 4.826 | 4.827 | 4.822 | 4.826 | 4.785 |
| V(Å) | 544.02 | 544.08 | 546.09 | 546.56 | 550.18 |
| 3.2 | 2.7 | 1.7 | 2.865 | 2.437 | |
| 3.80 | 3.72 | 3.58 | 3.52 | 3.68 |
| Number | Shell | N | R(Å) |
|---|---|---|---|
| Fe in-12k | |||
| 1 | Fe-Co | 7 | 2.50 |
| 2 | Fe-Pr | 3 | 2.91 |
| 3 | Fe-Pr | 2 | 3.29 |
| Fe in 6h-site | |||
| 1 | Fe-Co | 8 | 2.49 |
| 2 | Fe-Pr | 4 | 3.17 |
| x = 0.5 | x = 0.75 | x = 1 | ||||||||||
|---|---|---|---|---|---|---|---|---|---|---|---|---|
| N | (Å) | R(Å) | QF | N | (Å) | R(Å) | QF | N | (Å) | R(Å) | QF | |
| Model 1 (12) | ||||||||||||
| Fe-Co | 7 | 0.008(1) | 2.48(1) | 0.71 | 7 | 0.010(1) | 2.49(1) | 1.13 | 7 | 0.011(1) | 2.50(1) | 1.21 |
| Fe-Pr | 3 | 0.010(1) | 2.96(2) | 3 | 0.011(3) | 2.95(2) | 3 | 0.012(4) | 2.94(3) | |||
| Fe-Pr | 2 | 0.010(1) | 3.21(4) | 2 | 0.011(3) | 3.18(5) | 2 | 0.012(4) | 3.14(4) | |||
| Model 4 (6h) | ||||||||||||
| Fe-Co | 8 | 0.010(1) | 2.49(1) | 2.43 | 8 | 0.012(1) | 2.49(1) | 2.65 | 8 | 0.012(1) | 2.49(1) | 3.90 |
| Fe-Pr | 4 | 0.017(6) | 3.01(4) | 4 | 0.016(4) | 3.02(3) | 4 | 0.024(3) | 3.04(4) | |||
| () | () | |
|---|---|---|
| Model 1 | 1.2/4.9 | 0.18/2.3 |
| Model 4 | 2.91/12.3 | 5.8 / 70.1 |
| x | 0.0 | 0.25 | 0.5 | 0.75 | 1 |
|---|---|---|---|---|---|
| a (Å) | 5.068(1) | 5.070(3) | 5.076(1) | 5.079(11) | 5.080(2) |
| c (Å) | 24.456(2) | 24.509(5) | 25.009(3) | 25.576(4) | 26.981(2) |
| c/a | 4.825 | 4.832 | 4.841 | 5.035 | 5.311 |
| V(Å) | 544.02 | 547 | 555 | 567.4 | 598.9 |
| 3.1 | 2.43 | 1.31 | 2.76 | 2.42 | |
| 3.80 | 3.28 | 3.60 | 3.38 | 3.36 |
| M | H | H | H | d | ||||
|---|---|---|---|---|---|---|---|---|
| 0 | 55 | 3450 | 12.5 | 227.48 | −37.12 | 42.39 | 1.15 | 15 |
| 0.25 | 60 | 3000 | 9 | 212.13 | −43.38 | 48.07 | 1.81 | 22 |
| 0.50 | 65 | 2600 | 8 | 197.48 | −44.17 | 47.27 | 2.05 | 35 |
| 0.75 | 70 | 2300 | 7 | 185.74 | −45.25 | 47.61 | 2.57 | 60 |
| 1 | 73 | 1900 | 5 | 168.81 | −51.41 | 52.46 | 3.04 | 134 |
| M | H | H | H | d | ||||
|---|---|---|---|---|---|---|---|---|
| 0 | 55 | 3450 | 12.5 | 227.48 | −3.712 | 42.39 | 1.15 | 15 |
| 0.25 | 65 | 2500 | 9 | 212.13 | −4.009 | 48.07 | 1.45 | 21 |
| 2.50 | 77 | 3100 | 8.92 | 197.48 | −4.817 | 47.27 | 2.04 | 31 |
| 3.75 | 74 | 2200 | 6.91 | 197.48 | −5.122 | 47.27 | 2.05 | 33 |
| 6.10 | 70.63 | 2108 | 6.02 | 185.74 | −5.253 | 47.61 | 2.56 | 56 |
| 10.8 | 56.57 | 1957 | 5.23 | 168.81 | −5.495 | 52.46 | 3.07 | 112 |
| x | H | M | (BH) |
|---|---|---|---|
| 0.25 | 12 | 48 | 9.1 |
| 0.5 | 11.5 | 43 | 9 |
| 0.75 | 6.5 | 41 | 5.5 |
| 1.00 | 2 | 40 | 1.3 |
| x | 0 | 0.25 | 0.50 | 0.75 | 1 |
|---|---|---|---|---|---|
| (kOe) | 11 | 17.5 | 6.1 | 1.5 | 0.95 |
| (emu/g) | 36 | 43 | 41 | 41 | 40 |
| (BH) (MGOe) | 11.8 | 12.5 | 5.3 | 3.1 | 1.1 |
Publisher’s Note: MDPI stays neutral with regard to jurisdictional claims in published maps and institutional affiliations. |
© 2022 by the authors. Licensee MDPI, Basel, Switzerland. This article is an open access article distributed under the terms and conditions of the Creative Commons Attribution (CC BY) license (https://creativecommons.org/licenses/by/4.0/).
Share and Cite
Fersi, R.; Mliki, N.; Bessais, L. Influence of Chemical Substitution and Light Element Insertion on the Magnetic Properties of Nanocrystalline Pr2Co7 Compound. Magnetochemistry 2022, 8, 20. https://doi.org/10.3390/magnetochemistry8020020
Fersi R, Mliki N, Bessais L. Influence of Chemical Substitution and Light Element Insertion on the Magnetic Properties of Nanocrystalline Pr2Co7 Compound. Magnetochemistry. 2022; 8(2):20. https://doi.org/10.3390/magnetochemistry8020020
Chicago/Turabian StyleFersi, Riadh, Najeh Mliki, and Lotfi Bessais. 2022. "Influence of Chemical Substitution and Light Element Insertion on the Magnetic Properties of Nanocrystalline Pr2Co7 Compound" Magnetochemistry 8, no. 2: 20. https://doi.org/10.3390/magnetochemistry8020020
APA StyleFersi, R., Mliki, N., & Bessais, L. (2022). Influence of Chemical Substitution and Light Element Insertion on the Magnetic Properties of Nanocrystalline Pr2Co7 Compound. Magnetochemistry, 8(2), 20. https://doi.org/10.3390/magnetochemistry8020020

