Reciprocating Thermal Behavior in Multichannel Relaxation of Cobalt(II) Based Single Ion Magnets
Abstract
1. Introduction
2. Spin-Lattice Relaxation
3. Phonon Bottleneck Effect
- (a)
- The Raman process with n = 5–9;
- (b)
- The direct process ;
- (c)
- The quantum tunneling process .
4. Experimental Part
4.1. Synthesis, Chemical Analysis, X-ray Structure, and DC-Magnetic Data
4.2. AC Susceptibility
5. Theoretical Part
5.1. Spin Hamiltonian
5.2. Griffith-Figgis Model
5.3. Crystal Field Calculations
5.4. Ab Initio Calculations
5.5. Fitting Procedures
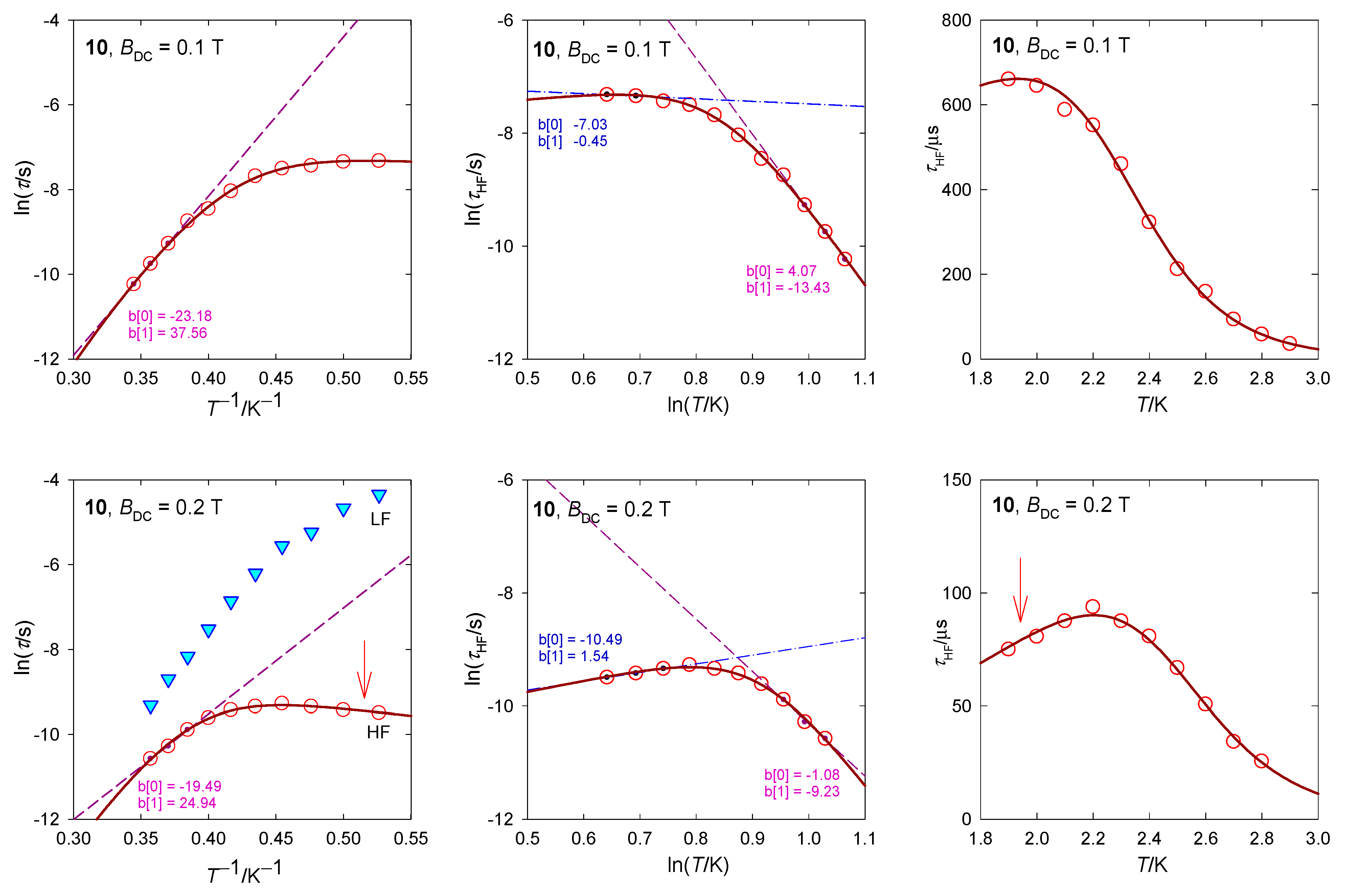
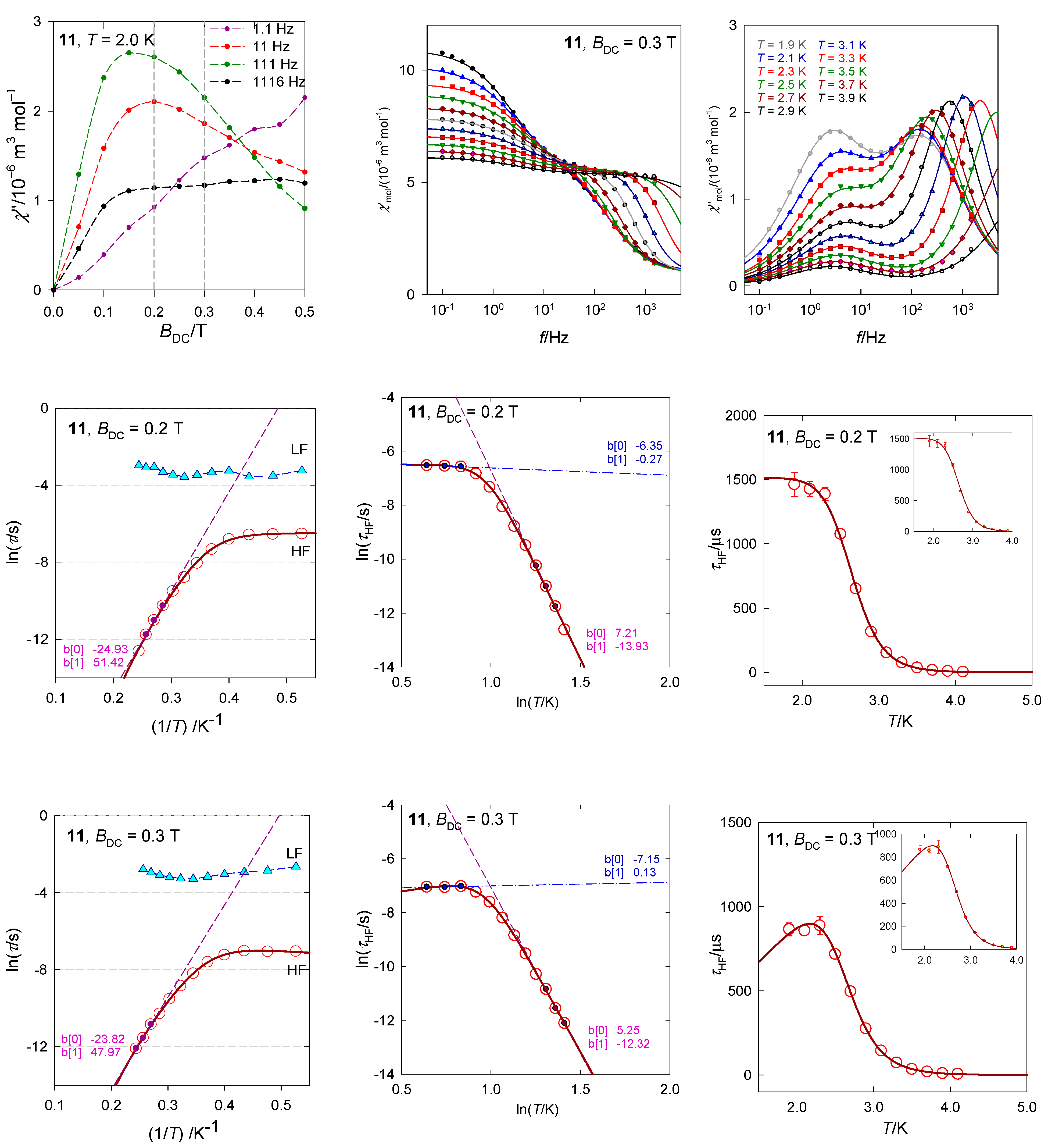
6. Data Analysis
6.1. DC Magnetic Data
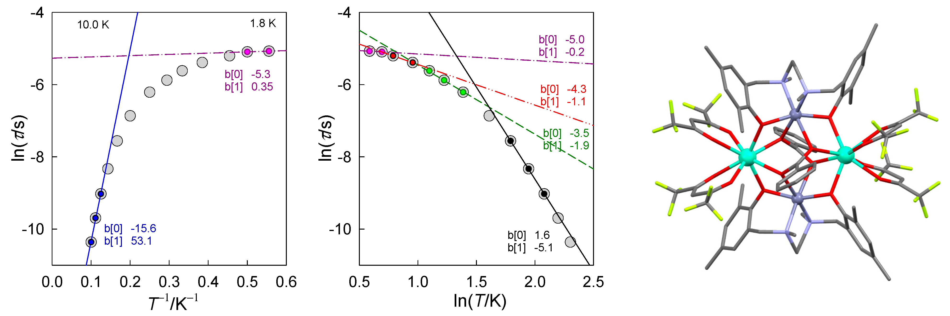
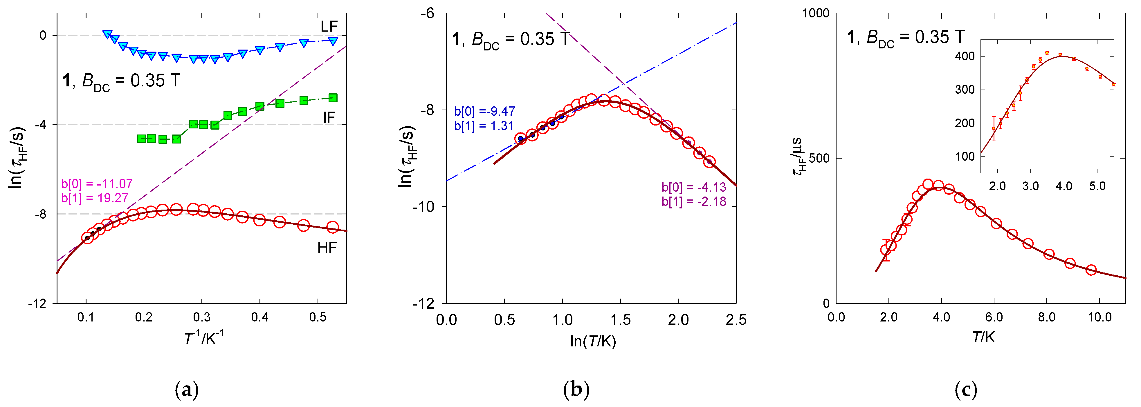
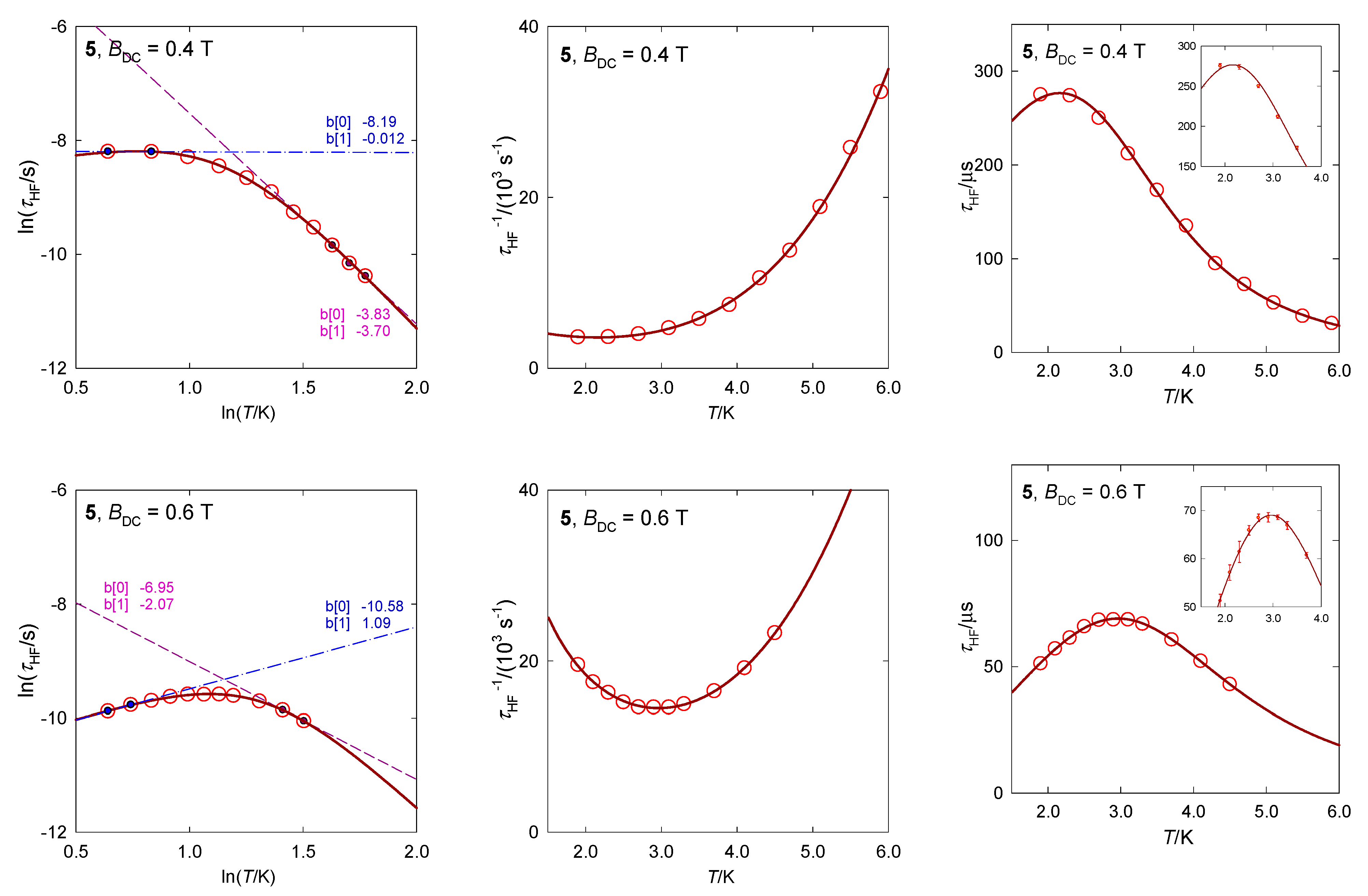
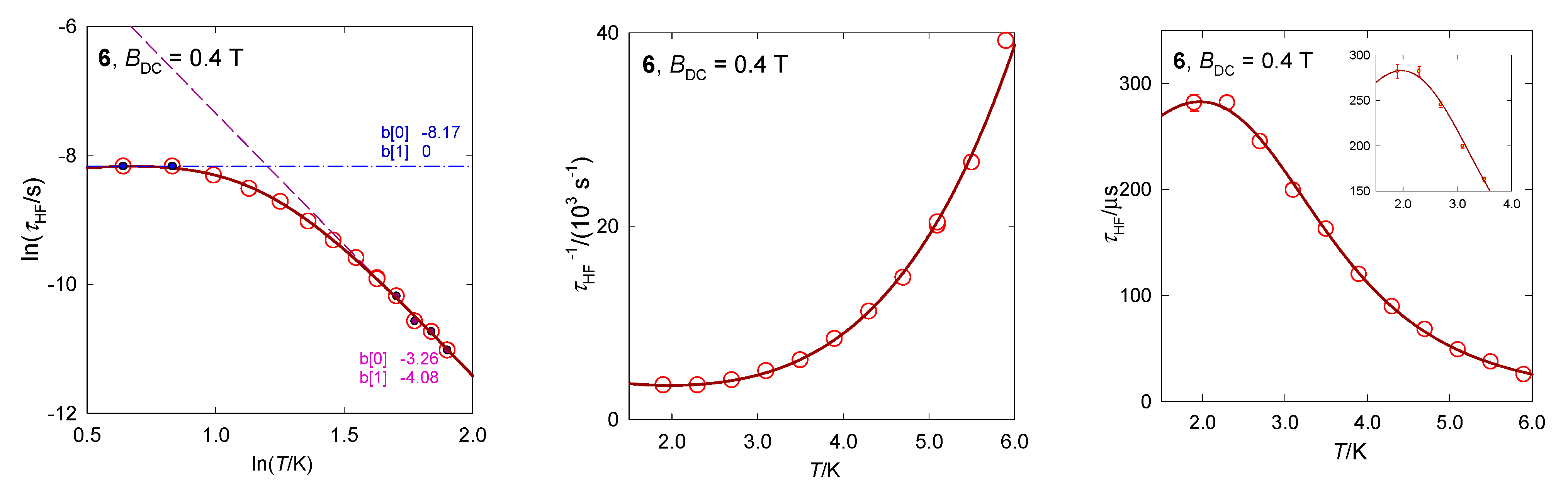
6.2. Example of Reciprocating Thermal Behavior
6.3. Cobalt(II) Complexes Showing RTB
7. Conclusions
Supplementary Materials
Author Contributions
Funding
Data Availability Statement
Conflicts of Interest
Abbreviations
| PPh3 | triphenylphosphine | 
| bcp | bathocuproine = 4,7-diphenyl-2,9-dimethyl-1,10-phenanthroline | 
| biq | 2,2′-biquinoline | 
| bzimpy | 2,6-bis(benzimidazol-2-yl)pyridine | 
| bzpy | 4-benzylpyridine | 
| dmpy | = pydm = 2,6-dimethanolpyridine | 
| dnbz | 3,5-dinitrobenzoato(1-) | 
| DPEphos | 2,20-bis(diphenylphosphino) diphenyl ether | 
| dppmO,O | bis(diphenylphosphanoxido)methane | 
| H2L | 2-{[(2-hydroxy-3-methoxyphenyl)-methylene]amino}-2-(hydroxymethyl)-1,3-propanediol(2-) | 
| HL | 2,6-bis((E)-((2-(diethylamino)ethyl)imino)methyl)-4-methylphenol | 
| LI | 4-iodo-2,6-di-pyrazol-1-yl-pyridine | 
| LC7 | 4-hept-1-ynyl-2,6-di-pyrazol-1-yl-pyridine | 
| LC10 | 4-dec-1-ynyl-2,6-di-pyrazol-1-yl-pyridine | 
| LC12 | 4-dodec-1-ynyl-2,6-di-pyrazol-1-yl-pyridine | 
| LC14 | 4-tetradec-1-ynyl-2,6-di-pyrazol-1-yl-pyridine | 
| Me6tren | tris[2-(dimethylamino)ethyl]amine | 
| nqu | 5-nitroquinoline | 
| pydca | pyridine-2,6-dicarboxylato(2-) | 
| qu | quinoline | 
| Xantphos | 9,9-dimethyl-4,5-bis(diphenylphosphino) xanthene | 
References
- Gatteschi, D.; Sessoli, R.; Villain, J. Molecular Nanomagnets; Oxford University Press: Oxford, UK, 2006; ISBN 13 9780198567530. [Google Scholar]
- Winpenny, R. (Ed.) Single-Molecule Magnets and Related Phenomena; Springer: Berlin/Heidelberg, Germany, 2006; Volume 122, ISBN 978-3-540-33239-8. [Google Scholar]
- Benelli, C.; Gatteschi, D. Introduction to Molecular Magnetism: From Transition Metals to Lanthanides; Wiley: Weinheim, Germany, 2015; ISBN 978-3-527-33540-4. [Google Scholar]
- Atanasov, M.; Zadrozny, J.M.; Long, J.R.; Neese, F. A theoretical analysis of chemical bonding, vibronic coupling, and magnetic anisotropy in linear iron(II) complexes with single-molecule magnet behavior. Chem. Sci. 2013, 4, 139–156. [Google Scholar] [CrossRef]
- Layfield, R.A. Organometallic Single-Molecule Magnets. Organometallics 2014, 33, 1084–1099. [Google Scholar] [CrossRef]
- Wernsdorfer, W.; Sessoli, R. Quantum Phase Interference and Parity Effects in Magnetic Molecular Clusters. Science 1999, 284, 133–135. [Google Scholar] [CrossRef]
- Rinehart, J.D.; Long, J.R. Exploiting Single-Ion Anisotropy in the Design of f-element Single-Molecule Magnets. Chem. Sci. 2011, 2, 2078–2085. [Google Scholar] [CrossRef]
- Gatteschi, D.; Barra, A.L.; Caneschi, A.; Cornia, A.; Sessoli, R.; Sorace, L. EPR of Molecular Nanomagnets. Coord. Chem. Rev. 2006, 250, 1514–1529. [Google Scholar] [CrossRef]
- Meng, Y.-S.; Jiang, S.-D.; Wang, B.-W.; Gao, S. Understanding the Magnetic Anisotropy toward Single-Ion Magnets. Acc. Chem. Res. 2016, 49, 2381–2389. [Google Scholar] [CrossRef] [PubMed]
- Liddle, S.T.; van Slageren, J. Improving f-element single molecule magnets. J. Chem. Soc. Rev. 2015, 44, 6655–6669. [Google Scholar] [CrossRef]
- Woodruff, D.N.; Winpenny, R.E.P.; Layfield, R.A. Lanthanide Single-Molecule Magnets. Chem. Rev. 2013, 113, 5110–5148. [Google Scholar] [CrossRef]
- Coulon, C.; Miyasaka, H.; Clérac, R. Single-Chain Magnets: Theoretical Approach and Experimental Systems. Struct. Bonding 2006, 122, 163–206. [Google Scholar] [CrossRef]
- Craig, G.A.; Murrie, M. 3d single ion magnets. Chem. Soc. Rev. 2015, 44, 2135–2147. [Google Scholar] [CrossRef]
- Gómez-Coca, S.; Aravena, D.; Morales, R.; Ruiz, E. Large magnetic anisotropy in mononuclear metal complexes. Coord. Chem. Rev. 2015, 289–290, 379–392. [Google Scholar] [CrossRef]
- Frost, J.M.; Harriman, K.L.M.; Murugesu, M. The rise of 3-d single-ion magnets in molecular magnetism: Towards materials from molecules. Chem. Sci. 2016, 7, 2470–2491. [Google Scholar] [CrossRef]
- Boča, R.; Rajnák, C. Unexpected behavior of single ion magnets. Coord. Chem. Rev. 2021, 430, 213657. [Google Scholar] [CrossRef]
- Rajnák, C.; Boča, R. Reciprocating thermal behavior in the family of single ion magnets. Coord. Chem. Rev. 2021, 436, 213808. [Google Scholar] [CrossRef]
- Abragam, A.; Bleaney, B. Electron Paramagnetic Resonance of Transition Ions; Clarendon Press: Oxford, UK, 1970. [Google Scholar]
- Standley, K.J.; Vaughan, R.A. Electron Spin Relaxation Phenomena in Solids; Plenum Press: New York, NY, USA, 1969. [Google Scholar] [CrossRef]
- Van Vleck, J.H. Paramagnetic Relaxation Times for Titanium and Chrome Alum. Phys. Rev. 1940, 57, 426–447. [Google Scholar] [CrossRef]
- Zadrozny, J.M.; Atanasov, M.; Bryan, A.M.; Lin, C.-Y.; Rekken, B.D.; Power, P.P.; Neese, F.; Long, J.R. Slow magnetization dynamics in a series of two-coordinate iron(II) complexes. Chem. Sci. 2013, 4, 125–138. [Google Scholar] [CrossRef]
- Sato, H.; Kathirvelu, V.; Fielding, A.; Blinco, J.P.; Micallef, A.S.; Bottle, S.E.; Eaton, S.S.; Eaton, G.R. Impact of molecular size on electron spin relaxation rates of nitroxyl radicals in glassy solvents between 100 and 300K. Mol. Phys. 2007, 105, 2137–2151. [Google Scholar] [CrossRef]
- Abtab, S.M.T.; Majee, M.C.; Maity, M.; Titiš, J.; Boča, R.; Chaudhury, M. Tetranuclear Hetero-Metal [CoII2LnIII2] (Ln = Gd, Tb, Dy, Ho, La) Complexes Involving Carboxylato Bridge in a Rare µ4-η2:η2 Mode: Synthesis, Crystal Structures and Magnetic Properties. Inorg. Chem. 2014, 53, 1295–1306. [Google Scholar] [CrossRef] [PubMed]
- Scott, P.L.; Jeffries, C.D. Spin-Lattice Relaxation in Some Rare-Earth Salts at Helium Temperatures; Observation of the Phonon Bottleneck. Phys. Rev. 1962, 127, 32–51. [Google Scholar] [CrossRef]
- Tesi, L.; Lunghi, A.; Atzori, M.; Lucaccini, E.; Sorace, L.; Totti, F.; Sessoli, R. Giant spin-phonon bottleneck effects in evaporable vanadylbased molecules with long spin coherence. Dalton Trans. 2016, 45, 16635–16643. [Google Scholar] [CrossRef]
- Boča, R.; Rajnák, C.; Moncoľ, J.; Titiš, J.; Valigura, D. Breaking the Magic Border of One Second for Slow Magnetic Relaxation of Cobalt-Based Single Ion Magnets. Inorg. Chem. 2018, 57, 14314–14321. [Google Scholar] [CrossRef]
- Valigura, D.; Rajnák, C.; Moncoľ, J.; Titiš, J.; Boča, R. A mononuclear Co(II) complex formed of pyridinedimethanol with manifold slow relaxation channels. Dalton Trans. 2017, 46, 10950–10956. [Google Scholar] [CrossRef]
- Casimir, H.B.G.; DuPre, F.K. Note on the thermodynamic interpretation of paramagnetic relaxation phenomena. Physica 1935, 5, 507–511. [Google Scholar] [CrossRef]
- Cole, K.S.; Cole, R.H. Dispersion and absorption in dielectrics I. Alternating current characteristics. J. Chem. Phys. 1941, 9, 341–352. [Google Scholar] [CrossRef]
- Boča, R. A Handbook of Magnetochemical Formulae; Elsevier: Amsterdam, The Netherlands, 2012. [Google Scholar] [CrossRef]
- Boča, R. Struct. Bonding; Springer: Berlin/Heidelberg, Germany, 2006; Volume 117. [Google Scholar] [CrossRef]
- Neese, F. The ORCA program system. WIREs Comput. Mol. Sci. 2012, 2, 73–78. [Google Scholar] [CrossRef]
- Smolko, L.; Černák, J.; Dušek, M.; Miklovič, J.; Titiš, J.; Boča, R. Three tetracoordinate Co(II) complexes [Co(biq)X2] (X = Cl, Br, I) with easy-plane magnetic anisotropy as field-induced single-molecule magnets. Dalton Trans. 2015, 44, 17565–17571. [Google Scholar] [CrossRef] [PubMed]
- Rajnák, C.; Titiš, J.; Moncoľ, J.; Renz, F.; Boča, R. Field-Supported Slow Magnetic Relaxation in Hexacoordinate CoII Complexes with Easy Plane Anisotropy. Eur. J. Inorg. Chem. 2017, 2017, 1520–1525. [Google Scholar] [CrossRef]
- Buvaylo, E.A.; Kokozay, V.N.; Vassilyeva, O.Y.; Skelton, B.W.; Ozarowski, A.; Titiš, J.; Vranovičová, B.; Boča, R. Field-Assisted Slow Magnetic Relaxation in a Six-Coordinate Co(II)–Co(III) Complex with Large Negative Anisotropy. Inorg. Chem. 2017, 56, 6999–7009. [Google Scholar] [CrossRef]
- Rajnák, C.; Varga, F.; Titiš, J.; Moncoľ, J.; Boča, R. Octahedral-tetrahedral systems [Co(dppmO,O)3]2+[CoX4]2− showing slow magnetic relaxation with two relaxation modes. Inorg. Chem. 2018, 57, 4352–4358. [Google Scholar] [CrossRef] [PubMed]
- Varga, F.; Rajnák, C.; Titiš, J.; Moncol’, J.; Boča, R. Slow magnetic relaxation in a Co(II) octahedral-tetrahedral system formed of a [CoL3]2+ core with L = bis(diphenylphosphanoxido) methane and tetrahedral [CoBr4]2− counter anions. Dalton Trans. 2017, 46, 4148–4151. [Google Scholar] [CrossRef]
- Packová, A.; Miklovič, J.; Boča, R. Manifold Relaxation Processes in a Mononuclear Co(II) Single-Molecule Magnet. Polyhedron 2015, 102, 88–93. [Google Scholar] [CrossRef]
- Ruamps, R.; Batchelor, L.J.; Guillot, R.; Zakhia, G.; Barra, A.L.; Wernsdorfer, W.; Guihery, N.; Mallah, T. Ising-type magnetic anisotropy and single molecule magnet behaviour in mononuclear trigonal bipyramidal Co(ii) complexes. Chem. Sci. 2014, 5, 3418–3424. [Google Scholar] [CrossRef]
- Rajnák, C.; Varga, F.; Titiš, J.; Moncoľ, J.; Boča, R. Field-Supported Single-Molecule Magnets of Type [Co(bzimpy)X2]. Eur. J. Inorg. Chem. 2017, 2017, 1915–1922. [Google Scholar] [CrossRef]
- Rajnák, C.; Titiš, J.; Miklovič, J.; Kostakis, G.E.; Fuhr, O.; Ruben, M.; Boča, R. Five mononuclear pentacoordinate Co(II) complexes as field-induced single molecule magnets. Polyhedron 2017, 126, 174–183. [Google Scholar] [CrossRef]
- Mandal, S.; Mondal, S.; Rajnák, C.; Titiš, J.; Boča, R.; Mohanta, S. Syntheses, crystal structures and magnetic properties of two mixed-valence Co(III)Co(II) compounds derived from Schiff base ligands: Field supported single-ion-magnet behaviour with easy plane anisotropy. Dalton Trans. 2017, 46, 13135–13144. [Google Scholar] [CrossRef]
- Rajnák, C.; Packová, A.; Titiš, J.; Miklovič, J.; Moncoľ, J.; Boča, R. A tetracoordinate Co(II) single molecule magnet based on triphenylphosphine and isothiocyanato group. Polyhedron 2016, 110, 85–92. [Google Scholar] [CrossRef]
- Yang, F.; Zhou, Q.; Zhang, Y.; Zeng, G.; Li, G.; Shi, Z.; Wang, B.; Feng, S. Inspiration from old molecules: Field-induced slow magnetic relaxation in three air-stable tetrahedral cobalt(ii) compounds. Chem. Commun. 2013, 49, 5289–5291. [Google Scholar] [CrossRef]
- Titiš, J.; Miklovič, J.; Boča, R. Magnetostructural study of tetracoordinate cobalt(II) complexes. Inorg. Chem. Commun. 2013, 35, 72–75. [Google Scholar] [CrossRef]
- Krzystek, J.; Zvyagin, S.A.; Ozarowski, A.; Fiedler, A.T.; Brunold, T.C.; Telser, J. Definitive Spectroscopic Determination of Zero-Field Splitting in High-Spin Cobalt(II). J. Am. Chem. Soc. 2004, 126, 2148. [Google Scholar] [CrossRef]
- Boča, R.; Miklovič, J.; Titiš, J. Simple Mononuclear Cobalt(II) Complex: A Single-Molecule Magnet Showing Two Slow Relaxation Processes. Inorg. Chem. 2014, 53, 2367–2369. [Google Scholar] [CrossRef] [PubMed]
- Saber, M.R.; Dunbar, K.R. Ligands effects on the magnetic anisotropy of tetrahedral cobalt complexes. Chem. Commun. 2014, 50, 12266–12269. [Google Scholar] [CrossRef]
- Smolko, L.; Černák, J.; Dušek, M.; Titiš, J.; Boča, R. Tetracoordinate Co(II) Complexes Containing Bathocuproine and Single Molecule Magnetism. New J. Chem. 2016, 40, 6593–6598. [Google Scholar] [CrossRef]
- Huang, W.; Liu, T.; Wu, D.; Cheng, J.; Ouyang, Z.W.; Duan, C. Field-induced slow relaxation of magnetization in a tetrahedral Co(ii) complex with easy plane anisotropy. Dalton Trans. 2013, 42, 15326–15331. [Google Scholar] [CrossRef]
- Smolko, L.; Černák, J.; Kuchár, J.; Rajnák, C.; Titiš, J.; Boča, R. Field-Induced Slow Magnetic Relaxation in Mononuclear Tetracoordinate Cobalt(II) Complexes Containing a Neocuproine Ligand. Eur. J. Inorg. Chem. 2017, 2017, 3080–3086. [Google Scholar] [CrossRef]
- Rajnák, C.; Titiš, J.; Moncol, J.; Mičová, R.; Boča, R. Field induced slow magnetic relaxation in a mononuclear Mn(II) complex. Inorg. Chem. 2019, 58, 991–994. [Google Scholar] [CrossRef] [PubMed]
- Boča, R.; Rajnák, C.; Titiš, J.; Valigura, D. Field Supported Slow Magnetic Relaxation in a Mononuclear Cu(II) Complex. Inorg. Chem. 2017, 56, 1478–1482. [Google Scholar] [CrossRef]
- Titiš, J.; Rajnák, C.; Valigura, D.; Boča, R. Field influence on the slow magnetic relaxation of nickel-based single ion magnets. Dalton Trans. 2018, 47, 7879–7882. [Google Scholar] [CrossRef]
- Atzori, M.; Tesi, L.; Morra, E.; Chiesa, M.; Sorace, L.; Sessol, R. Room-Temperature Quantum Coherence and Rabi Oscillations in Vanadyl Phthalocyanine: Toward Multifunctional Molecular Spin Qubits. J. Am. Chem. Soc. 2016, 138, 2154–2157. [Google Scholar] [CrossRef]
- Rousset, E.; Piccardo, M.; Boulon, M.E.; Gable, R.W.; Soncini, A.; Sorace, L.; Boskovic, C. Slow Magnetic Relaxation in Lanthanoid Crown Ether Complexes: Interplay of Raman and Anomalous Phonon Bottleneck Processes. Chem. A Eur. J. 2018, 24, 14768–14785. [Google Scholar] [CrossRef]
- Ray, R.; Avdoshenko, S.M. Insights in Magnetodynamics from a Simple Two-Level Model. ChemRxiv 2020. [Google Scholar] [CrossRef]
- Balanda, M. AC Susceptibility Studies of Phase Transitions and Magnetic Relaxation: Conventional, Molecular and Low-Dimensional Magnets. Acta Phys. Pol. 2013, 124, 964–976. [Google Scholar] [CrossRef]
- Freude, D.; Haase, J. Quadrupole Effects in Solid-State Nuclear Magnetic Resonance. In Special Applications; NMR Basic Principles and Progress Series; Pfeifer, H., Barker, P., Eds.; Springer: Berlin/Heidelberg, Germany, 1993; Volume 29. [Google Scholar] [CrossRef]
- Chiorescu, I.; Wernsdorfer, W.; Müller, A.; Bögge, H.; Barbara, B. Butterfly Hysteresis Loop and Dissipative Spin Reversal in the S = 1/2, V15 Molecular Complex. Phys. Rev. Lett. 2000, 84, 3454–3457. [Google Scholar] [CrossRef]
- Madsen, D.E.; Hansen, M.F.; Mørup, S. The correlation between superparamagnetic blocking temperatures and peak temperatures obtained from ac magnetization measurements. J. Phys. Condens. Matt. 2008, 20, 345209. [Google Scholar] [CrossRef]
























| Mechanism | Origin | Simplified Formulae for the Inverse Relaxation Time | 
|---|---|---|
| Orbach  | Double phonon process: (i) A phonon of energy is absorbed causing a transition of state |b> to the real excited state |c>; (ii) A phonon of energy is emitted causing a transition from |c> to |a>; Overall balance . | For , Field independent process. | 
| Raman | Double phonon process: (i) A phonon of energy is absorbed causing an excitation of the state |b> to the virtual state |c>; (ii) A phonon of energy is emitted causing a transition from |c> to |a>; Overall balance: . | In general: , n = 5, 7, 9 Field independent process. | 
| Raman-I  | Case of non-Kramers system. | For : | 
| Raman-II  | Case of “isolated doublets” for Kramers system, wide multiplets. | For : | 
| Raman-III, Orbach-Blume  | Case of various doublets: Energy difference between the doublets is small compared to kBT, narrow multiplets. | For : | 
| Direct-I  | Single phonon process: A phonon of the energy is emitted when the system relaxes from the higher energy level |b> to |a>. | For non-Kramers system: (integral spin) , m = 2 Field and temperature dependent process. | 
| Direct-II | As above, magnetic energy levels are doubly degenerate in the absence of the magnetic field. The field removes the degeneracy. | For Kramers system: (half integral spin, e.g., S = 3/2) , m = 4 | 
| Quantum tunneling of magnetization  | Temperature independent process via the energy barrier; Aqtm—zero-field relaxation rate, γ—concentration, and β = b/C is parameter proportional to the square of the internal field generated by dipole-dipole, hyperfine, and exchange interactions; b—coefficient of the magnetic specific heat (cM = b/T2); C—the Curie constant. | Brons-van Vleck formula [20]: Simplified formula [21]: Field dependent, temperature independent process. | 
| Phonon bottleneck I  | The direct process is hindered by the insufficient heat capacity of the phonon system. | Simplified solution: , l = 2 | 
| Phonon bottleneck II | Ignored as too fast. | Predicted in low temperature regime: , k = 1 | 
| Local vibrational process | Δloc—energy of the local mode. | [22] | 
| Thermally activated process | Ea—activation energy, ω—electron spin Larmor frequency. | correlation time | 
| Complex | No. | SMR a | RTB b | Channels c | Jd | D(MS&M) e | D(Ab Initio) e | Ref. | 
|---|---|---|---|---|---|---|---|---|
| Hexa-coordination | ||||||||
| [Co(pydca)(dmpy)]·0.5H2O | 2 | Y | Y | 3 | 55 | (−67.2) (−121) | [26] | |
| [Co(bzpy)4Cl2] | 5 | Y | Y | 3 | 106 | 88.6 124 | [34] | |
| [Co(bzpy)4(NCS)2] | 6 | Y | Y | 2 | 90.5 | 88.6 90.8 | [34] | |
| [CoIIICoII(H2L)2(ac) (H2O)] (H2O)3 | 7 | Y | Y | 2 | (145) | (−99.6) | [35] | |
| [Co(dmpy)2](dnbz)2 | Y | 3 | (43.6) | (−94.8) | [27] | |||
| [Co(dppmO,O)3] [Co(NCS)4] | N | - | - | O 83, T −5.0 | O 102, T −3.5 | [36] | ||
| [Co(dppmO,O)3] [CoCl4] | Y | N | 2 | O 77, T 4.6 | O 157, T −1.9 | [36] | ||
| [Co(dppmO,O)3] [CoBr4] | Y | N | 2 | O 122, T 15.0 | O 129, T −2.5, T 6.6 | [36,37] | ||
| [Co(dppmO,O)3] [CoI4] | Y | N | 2 | O 99, T 19.3 | O 107, T 14.9 | [36] | ||
| Penta-coordination | ||||||||
| [Co(Me6tren)Cl]ClO4, sim | Y | 2 | −4.9, −6.2 | −9.73, epr −8.12 | [38,39] | |||
| [Co(Me6tren)Br]Br | Y | na | −2.5 | −2.12, epr −2.40 | [39] | |||
| [Co(bzimpy)Cl2]·DMF | 8 | Y | 2 | 58.4 | (−87) | [40] | ||
| [Co(bzimpy)Br2]·DMF | 9 | Y | Y | 2 | 47.0 | 63.7 | [40] | |
| [Co(bzimpy)I2] | Y | 2 | 40.0 | [40] | ||||
| [Co(LI)Cl2] | Y | 2 | 61.9 | (−62) | [41] | |||
| [Co(LC7)Cl2] | Y | 2 | 1.54 | 153 | (−119) | [41] | ||
| [Co(LC10)Cl2] | Y | 2 | 1.42 | 70.1 | 44.2 | [41] | ||
| [Co(LC12)Cl2] | Y | 2 | 46.8 | 43.4 | [41] | |||
| [Co(LC14)Cl2] | Y | 2 | 1.06 | 87.5 | (−58) | [41] | ||
| [(N3)2CoIII(L)(μ-N3)CoII(N3)]·2MeOH | Y | 2 | 38.7 | 42.4 | [42] | |||
| Tetra-coordination | ||||||||
| [Co(PPh3)2(NCS)2] | Y | 2 | −9.44 | −12.2 | [43] | |||
| [Co(DPEphos)Cl2] | Y | 1 | −14.4 | [44] | ||||
| [Co(Xantphos)Cl2] | Y | 1 | −15.4 | [44] | ||||
| [Co(PPh3)2Cl2] | Y | 1 (2) | −11.6 | −16.2, epr −14.8 | [44,45,46] | |||
| [Co(PPh3)2Br2] | 10 | Y | Y | 2 | −12.5 | [47] | ||
| [Co(PPh3)2I2] | Y | 1 | −36.9 | [48] | ||||
| [Co(AsPh3)2I2] | Y | 1 | −74.7 | [48] | ||||
| [Co(qu)2I2] | N | − | 9.2 | [48] | ||||
| [Co(bcp)Cl2] | Y | 1 | 0.24 | −6.62 | [49] | |||
| [Co(bcp)Br2] | N | − | −0.023 | −6.72 | [49] | |||
| [Co(bcp)I2] | N | − | −0.63 | −7.03 | [49] | |||
| [Co(dmphen)Br2] | Y | 2 | 10.6 | epr 11.7 | [50] | |||
| [Co(dmphen)Cl2] | N | − | −1.00 | 11.9 | 15.6 | [51] | ||
| [Co(dmphen)Br2] | N | 2, 3 | 13.8 | 13.8 | [51] | |||
| [Co(dmphen)I2] | Y | 2, 3 | 16.6 | 11.4 | [51] | |||
| [Co(biq)Cl2] | 11 | Y | Y | 2 | 10.5 | 16.1 | [33] | |
| [Co(biq)Br2] | Y | 2 | 12.5 | 14.7 | [33] | |||
| [Co(biq)I2] | Y | 2 | 10.3 | 13.7 | [33] | 
| No. | Chromophore | BDC/T | G /K−l s−1 C /K−n s−1 | l or n | F /Kk s−1 | k | Ref. | 
|---|---|---|---|---|---|---|---|
| 1 [Mn(bzpy)4Cl2] | MnN4Cl2 | 0.35 | 57(13) | 2.20(10) | 20.1(2) | 1.98(12) | [52] | 
| 2 [Co(pydca)(dmpy)]·0.5H2O | CoN2O4 | 0.40 | 0.13(1) | 5.93(4) | 3.7(1) × 103 | 0.78(3) | [26] | 
| 3 [Cu(pydca)(dmpy)]·0.5H2O | CuN2O4 | 0.5 | 46(13) | 1.9(1) | 2.5(4) × 103 | 0.73(18) | [53] | 
| 1.0 | 5.6(42) | 2.6(3) | 4.2(6) × 103 | 0.79(17) | |||
| 4 [Ni(pydca)(dmpy)]·H2O | NiN2O4 | 0.4 | 10.3(2) | 4.7 | 3.4(1) × 103 | 0.58 | [54] | 
| 0.6 | 6.4(3) | 4.76 | 8.0(3) × 103 | 0.84 | |||
| 5 [Co(bzpy)4Cl2] | CoN4Cl4 | 0.4 | 19(5) | 4.17(16) | 5.1(7) × 103 | 0.63(19) | [34] | 
| 0.6 | 68(19) | 3.66(18) | 40.9(17) × 103 | 1.22(7) | |||
| 6 [Co(bzpy)4(NCS)2] | CoN4N2 | 0.4 | 18(5) | 4.26(14) | 4.3(6) × 103 | 0.42(22) | [34] | 
| 7 [CoIIICoII(LH2)2(ac)(H2O)] (H2O)3 | CoO4OO | 0.4 | 33(9) | 4.10(14) | 9.1(12) × 103 | 0.75(19) | [35] | 
| 8 [Co(bzimpy)Cl2]·DMF | CoN3Cl2 | 0.4 | 3.4(8) | 5.36(14) | 7.3(1) × 103 | [0] | [40] | 
| 9 [Co(bzimpy)Br2]·DMF | CoN3Br2 | 0.2 | 48(19) | 4.00(25) | 10.2(12) × 103 | 0.75(21) | [40] | 
| CoN3Br2 | 0.4 | 12.1(45) | 5.08(24) | 28(1) × 103 | 0.56(6) | ||
| 10 [Co(PPh3)2Br2] | CoP2Br2 | 0.2 | 0.098(82) | 12.4(8) | 67(18) | 2.53(41) | [47] | 
| 11 [Co(biq)Cl2] | CoN2Cl2 | 0.3 | 0.0083(17) | 12.0(2) | 2.3(4) × 103 | 1.0(3) | [33] | 
| T/K | R(χ′)/% | R(χ″)/% | τLF/s | τIF /10−3 s | τHF/10−6 s | xLF | xHF | 
|---|---|---|---|---|---|---|---|
| 1.9 | 0.46 | 1.9 | 0.798(32 | 60(15) | 183(37) | 0.49 | 0.07 | 
| 2.1 | 0.28 | 1.3 | 0.738(22) | 54(6) | 198(15) | 0.42 | 0.10 | 
| 2.3 | 0.35 | 1.7 | 0.612(26) | 48(9) | 229(13) | 0.38 | 0.15 | 
| 2.5 | 0.43 | 2.4 | 0.533(27) | 42(20) | 252(14) | 0.34 | 0.19 | 
| 2.7 | 0.78 | 2.4 | 0.456(35) | 33(39) | 289(22) | 0.32 | 0.25 | 
| 2.9 | 0.38 | 1.9 | 0.389(14) | 27(26) | 328(9) | 0.30 | 0.32 | 
| 3.1 | 0.29 | 1.6 | 0.360(17) | 18(5) | 368(8) | 0.34 | 0.45 | 
| 3.3 | 0.26 | 1.3 | 0.363(16) | 18(6) | 388(7) | 0.27 | 0.53 | 
| 3.5 | 0.18 | 1.3 | 0.357(15) | 19(6) | 409(5) | 0.24 | 0.61 | 
| 3.9 | 0.29 | 1.4 | 0.381(34) | 9(12) | 404(5) | 0.18 | 0.71 | 
| 4.3 | 0.23 | 0.98 | 0.410(44) | 9(9) | 392(5) | 0.13 | 0.81 | 
| 4.7 | 0.35 | 3.1 | 0.416(80) | 9(9) | 362(6) | 0.09 | 0.89 | 
| 5.1 | 0.34 | 1.7 | 0.451(90) | 9 | 338(4) | 0.06 | 0.93 | 
| 5.5 | 0.41 | 2.3 | 0.521(147) | - | 315(4) | 0.04 | 0.96 | 
| 6.1 | 0.14 | 0.74 | 0.635(111) | 273(1) | 0.03 | 0.97 | |
| 6.7 | 0.20 | 1.4 | 0.867(402) | 237(2) | 0.02 | 0.98 | |
| 7.3 | 0.16 | 0.99 | 1.086(593) | 204(1) | 0.01 | 0.99 | |
| 8.1 | 0.24 | 1.7 | - | 168(2) | - | 1 | |
| 8.9 | 0.39 | 2.2 | 136(3) | 1 | |||
| 9.7 | 0.35 | 1.9 | 113(2) | 1 | 
| T/K | R(χ′)/% | R(χ″)/% | τLF/s | τIF/10−3 s | τHF/10−6 s | xLF | xHF | 
|---|---|---|---|---|---|---|---|
| 1.9 | 0.28 | 0.73 | 1.34(5) | 107(11) | 456(8) | 0.28 | 0.14 | 
| 2.1 | 0.32 | 1.1 | 1.08(2) | 89(10) | 474(8) | 0.23 | 0.16 | 
| 2.3 | 0.55 | 1.2 | 0.79(2) | 74(21) | 502(12) | 0.21 | 0.19 | 
| 2.5 | 0.57 | 1.5 | 0.67(3) | 56(17) | 533(14) | 0.22 | 0.21 | 
| 2.7 | 0.63 | 1.1 | 0.65(3) | 56(23) | 556(13) | 0.14 | 0.25 | 
| 2.9 | 0.31 | 1.3 | 0.55(2) | 44(11) | 579(8) | 0.14 | 0.31 | 
| 3.3 | 0.42 | 0.85 | 0.37(1) | 30(11) | 631(10) | 0.20 | 0.46 | 
| 3.7 | 0.21 | 0.92 | 0.31(1) | 24(8) | 615(5) | 0.17 | 0.59 | 
| 4.1 | 0.23 | 0.86 | 0.30(1) | 18(10) | 544(4) | 0.14 | 0.69 | 
| 4.5 | 0.19 | 0.93 | 0.31(1) | 11(6) | 500(3) | 0.11 | 0.76 | 
| 5.3 | 0.22 | 0.84 | 0.35(2) | 7.4 | 267(1) | 0.06 | 0.88 | 
| 6.1 | 0.29 | 0.86 | 0.40(5) | 3.0 | 144(1) | 0.04 | 0.93 | 
| 7.0 | 0.24 | 0.66 | - | - | 69(1) | 1 | |
| 8.0 | 0.14 | 1.7 | 32(1) | 1 | |||
| 9.0 | 0.18 | 2.4 | 16(1) | 1 | |||
| 10.0 | 0.31 | 5.3 | 8.4(7) | 1 | 
| Publisher’s Note: MDPI stays neutral with regard to jurisdictional claims in published maps and institutional affiliations. | 
© 2021 by the authors. Licensee MDPI, Basel, Switzerland. This article is an open access article distributed under the terms and conditions of the Creative Commons Attribution (CC BY) license (https://creativecommons.org/licenses/by/4.0/).
Share and Cite
Rajnák, C.; Titiš, J.; Boča, R. Reciprocating Thermal Behavior in Multichannel Relaxation of Cobalt(II) Based Single Ion Magnets. Magnetochemistry 2021, 7, 76. https://doi.org/10.3390/magnetochemistry7060076
Rajnák C, Titiš J, Boča R. Reciprocating Thermal Behavior in Multichannel Relaxation of Cobalt(II) Based Single Ion Magnets. Magnetochemistry. 2021; 7(6):76. https://doi.org/10.3390/magnetochemistry7060076
Chicago/Turabian StyleRajnák, Cyril, Ján Titiš, and Roman Boča. 2021. "Reciprocating Thermal Behavior in Multichannel Relaxation of Cobalt(II) Based Single Ion Magnets" Magnetochemistry 7, no. 6: 76. https://doi.org/10.3390/magnetochemistry7060076
APA StyleRajnák, C., Titiš, J., & Boča, R. (2021). Reciprocating Thermal Behavior in Multichannel Relaxation of Cobalt(II) Based Single Ion Magnets. Magnetochemistry, 7(6), 76. https://doi.org/10.3390/magnetochemistry7060076
 
         
                                                



 
       