Magnetic Behaviour of Perovskite Compositions Derived from BiFeO3
Abstract
:1. Introduction
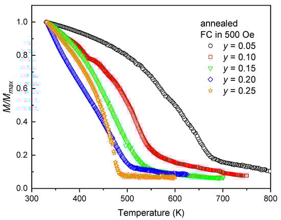
2. Results
3. Discussion
4. Materials and Methods
5. Conclusions
Author Contributions
Funding
Conflicts of Interest
References
- Khomskii, D. Classifying multiferroics: Mechanisms and effects. Physics 2009, 2, 20. [Google Scholar] [CrossRef] [Green Version]
- Catalan, G.; Scott, J.F. Physics and applications of bismuth ferrite. Adv. Mater. 2009, 21, 2463–2485. [Google Scholar] [CrossRef]
- Pyatakov, A.P.; Zvezdin, A.K. Magnetoelectric and multiferroic media. Phys.-Uspekhi 2012, 55, 557–581. [Google Scholar] [CrossRef]
- Sosnowska, I.; Peterlin-Neumaier, T.; Steichele, E. Spiral magnetic ordering in bismuth ferrite. J. Phys. C Solid State Phys. 1982, 15, 4835–4846. [Google Scholar] [CrossRef]
- Arnold, D.C. Composition-driven structural phase transitions in rare-earth-doped BiFeO3 ceramics: A review. IEEE Trans. Ultrason. Ferroelectr. Freq. Control. 2015, 62, 62–82. [Google Scholar] [CrossRef]
- Song, G.; Song, Y.; Su, J.; Song, X.; Zhang, N.; Wang, T.; Chang, F. Crystal structure refinement, ferroelectric and ferromagnetic properties of Ho3+ modified BiFeO3 multiferroic material. J. Alloys Compd. 2017, 696, 503–509. [Google Scholar] [CrossRef]
- Gebhardt, J.; Rappe, A.M. Doping of BiFeO3: A comprehensive study on substitutional doping. Phys. Rev. B 2018, 98, 125202. [Google Scholar] [CrossRef] [Green Version]
- Surdu, V.A.; Truşcă, R.; Vasile, B.S.; Oprea, O.; Tanasa, E.; Diamandescu, L.; Andronescu, E.; Ianculescu, A. Bi1-xEuxFeO3 powders: Synthesis, characterization, magnetic and photoluminescence properties. Nanomaterials 2019, 9, 1465. [Google Scholar] [CrossRef] [PubMed] [Green Version]
- Mumtaza, F.; Nasira, S.; Hassnain Jaffaria, G.; Ismat Shah, S. Chemical pressure exerted by rare earth substitution in BiFeO3: Effect on crystal symmetry, band structure and magnetism. J. Alloys Compd. 2021, 876, 160178. [Google Scholar] [CrossRef]
- Yang, C.-H.; Kan, D.; Takeuchi, I.; Nagarajan, V.; Seidel, J. Doping BiFeO3: Approaches and enhanced functionality. Phys. Chem. Chem. Phys. 2012, 14, 15953–15962. [Google Scholar] [CrossRef]
- Sosnowska, I.; Schäfer, W.; Kockelmann, W.; Andersen, K.H.; Troyanchuk, I.O. Crystal structure and spiral magnetic ordering of BiFeO3 doped with manganese. Appl. Phys. A 2002, 74, s1040–s1042. [Google Scholar] [CrossRef]
- Azuma, M.; Kanda, H.; Belik, A.A.; Shimakawa, Y.; Takano, M. Magnetic and structural properties of BiFe1−xMnxO3. J. Magn. Magn. Mater. 2007, 310, 1177–1179. [Google Scholar] [CrossRef]
- Suchomel, M.R.; Thomas, C.I.; Allix, M.; Rosseinsky, M.J.; Fogg, A.M.; Thomas, M.F. High pressure bulk synthesis and characterization of the predicted multiferroic Bi(Fe1/2Cr1/2)O3. Appl. Phys. Lett. 2007, 90, 112909. [Google Scholar] [CrossRef]
- Azuma, M.; Niitaka, S.; Hayashi, N.; Oka, K.; Takano, M.; Funakubo, H.; Shimakawa, Y. Rhombohedral–tetragonal phase boundary with high Curie temperature in (1-x)BiCoO3–xBiFeO3 solid solution. Jpn. J. Appl. Phys. 2008, 47, 7579–7581. [Google Scholar] [CrossRef]
- Oka, K.; Koyama, T.; Ozaaki, T.; Mori, S.; Shimakawa, Y.; Azuma, M. Polarization rotation in the monoclinic perovskite BiCo1−xFexO3. Angew. Chem. Int. Ed. 2012, 51, 7977–7980. [Google Scholar] [CrossRef]
- Belik, A.A.; Rusakov, D.A.; Furubayashi, T.; Takayama-Muromachi, E. BiGaO3-based perovskites: A large family of polar materials. Chem. Mater. 2012, 24, 3056–3064. [Google Scholar] [CrossRef]
- Khalyavin, D.D.; Salak, A.N.; Olekhnovich, N.M.; Pushkarev, A.V.; Radyush, Y.V.; Manuel, P.; Raevski, I.P.; Zheludkevich, M.L.; Ferreira, M.G.S. Polar and antipolar polymorphs of metastable perovskite BiFe0.5Sc0.5O3. Phys. Rev. B 2014, 89, 174414. [Google Scholar] [CrossRef]
- Pan, Z.; Chen, J.; Yu, R.; Yamamoto, H.; Rong, Y.; Hu, L.; Li, Q.; Lin, K.; You, L.; Zhao, K.; et al. Giant polarization and high temperature monoclinic phase in a lead-free perovskite of Bi(Zn0.5Ti0.5)O3-BiFeO3. Inorg. Chem. 2016, 55, 9513–9516. [Google Scholar] [CrossRef]
- Salak, A.N.; Khalyavin, D.D.; Pushkarev, A.V.; Radyush, Y.V.; Olekhnovich, N.M.; Shilin, A.D.; Rubanik, V.V. Phase formation in the (1-y)BiFeO3-yBiScO3 system under ambient and high pressure. J. Solid State Chem. 2017, 247, 90–96. [Google Scholar] [CrossRef]
- Raevski, I.P.; Kubrin, S.P.; Pushkarev, A.V.; Olekhnovich, N.M.; Radyush, Y.V.; Titov, V.V.; Malitskaya, M.A.; Raevskaya, S.I.; Chen, H. The effect of Cr substitution for Fe on the structure and magnetic properties of BiFeO3 multiferroic. Ferroelectrics 2018, 525, 1–10. [Google Scholar] [CrossRef]
- Rusakov, V.S.; Pokatilov, V.S.; Sigov, A.S.; Belik, A.A.; Matsnev, M.E. Changes in the magnetic structure of multiferroic BiFe0.80Cr0.20O3 with temperature. Phys. Solid State 2019, 61, 1030–1036. [Google Scholar] [CrossRef]
- Belik, A.A.; Abakumov, A.M.; Tsirlin, A.A.; Hadermann, J.; Kim, J.; Van Tandeloo, G.; Takayama-Muromachi, E. Structure and magnetic properties of BiFe0.75Mn0.25O3 perovskite prepared at ambient and high pressure. Chem. Mater. 2011, 42, 4505–4514. [Google Scholar] [CrossRef]
- Khalyavin, D.D.; Salak, A.N.; Fertman, E.L.; Kotlyar, O.V.; Eardley, E.; Olekhnovich, N.M.; Pushkarev, A.V.; Radyush, Y.V.; Fedorchenko, A.; Desnenko, V.A.; et al. The phenomenon of conversion polymorphism in Bi-containing metastable perovskites. Chem. Commun. 2019, 55, 4683–4686. [Google Scholar] [CrossRef]
- Fedorchenko, A.; Fertman, E.L.; Salak, A.N.; Desnenko, V.A.; Čižmár, E.; Feher, A.; Vaisburd, A.I.; Olekhnovich, N.M.; Pushkarev, A.V.; Radyush, Y.V.; et al. Unusual magnetic properties of the polar orthorhombic BiFe0.5Sc0.5O3 perovskite. J. Magn. Magn. Mater. 2018, 465, 328–332. [Google Scholar] [CrossRef]
- Fertman, E.L.; Fedorchenko, A.; Desnenko, V.A.; Shvartsman, V.V.; Lupascu, D.C.; Salamon, S.; Wende, H.; Vaisburd, A.I.; Stanulis, A.; Ramanauskas, R.; et al. Exchange bias effect in bulk multiferroic BiFe0.5Sc0.5O3. AIP Adv. 2020, 10, 045102. [Google Scholar] [CrossRef] [Green Version]
- Fertman, E.L.; Fedorchenko, A.V.; Čižmár, E.; Vorobiov, S.; Feher, A.; Radyush, Y.V.; Pushkarev, A.V.; Olekhnovich, N.M.; Stanulis, A.; Barron, A.R.; et al. Magnetic diagram of the high-pressure stabilized multiferroic perovskites of the BiFe1-yScyO3 series. Crystals 2020, 10, 950. [Google Scholar] [CrossRef]
- Shvartsman, V.V.; Khalyavin, D.D.; Olekhnovich, N.M.; Pushkarev, A.V.; Radyush, Y.V.; Salak, A.N. Spontaneous and induced ferroelectricity in the BiFe1-xScxO3 perovskite ceramics. Phys. Status Solidi A 2021, 218, 2100173. [Google Scholar] [CrossRef]
- Čižmár, E.; Vorobiov, S.; Kliuikov, A.; Radyush, Y.V.; Pushkarev, A.V.; Olekhnovich, N.M.; Cardoso, J.P.; Salak, A.N.; Feher, A. Structural and magnetic phase transitions in the Fe-rich compositional ranges of the multiferroic BiFe1-x[Zn0.5Ti0.5]xO3 perovskites. Integr. Ferroelectr. 2021. [Google Scholar] [CrossRef]
- Arafat, S.S. Structural transition and magnetic properties of high Cr-doped BiFeO3 ceramic. Cerâmica 2020, 66, 114–118. [Google Scholar] [CrossRef]
- Salak, A.N.; Shilin, A.D.; Bushinski, M.V.; Olekhnovich, N.M.; Vyshatko, N.P. Structural regularities and dielectric phenomena in the compound series PbB3+1/2Nb1/2O3. Mater. Res. Bull. 2000, 35, 1429–1438. [Google Scholar] [CrossRef]
- Suchomel, M.R.; Fogg, A.M.; Allix, M.; Niu, H.; Claridge, J.B.; Rosseinsky, M.J. Bi2ZnTiO6: a lead-free closed-shell polar perovskite with a calculated ionic polarization of 150 μC cm−2. Chem. Mater. 2006, 18, 4987–4989. [Google Scholar] [CrossRef]
- Salak, A.N.; Shvartsman, V.V.; Cardoso, J.P.; Pushkarev, A.V.; Radyush, Y.V.; Olekhnovich, N.M.; Khalyavin, D.D.; Vieira, J.M.; Čižmár, E.; Feher, A. The orthorhombic-tetragonal morphotropic phase boundary in high-pressure synthesized BiMg0.5Ti0.5O3-BiZn0.5Ti0.5O3 perovskite solid solutions. J. Phys. Chem. Solids 2022, 161, 110392. [Google Scholar] [CrossRef]
- Khalyavin, D.D.; Salak, A.N.; Vyshatko, N.P.; Lopes, A.B.; Olekhnovich, N.M.; Pushkarev, A.V.; Maroz, I.I.; Radyush, Y.V. Crystal structure of metastable perovskite Bi(Mg1/2Ti1/2)O3: Bi-based structural analogue of antiferroelectric PbZrO3. Chem. Mater. 2006, 18, 5104–5110. [Google Scholar] [CrossRef]
- Prosandeev, S.; Wang, D.; Ren, W.; Íñiguez, J.; Bellaiche, L. Novel nanoscale twinned phases in perovskite oxides. Adv. Funct. Mater. 2013, 23, 234–240. [Google Scholar] [CrossRef]
- Kubel, F.; Schmid, H. Structure of a ferroelectric and ferroelastic monodomain crystal of the perovskite BiFeO3. Acta Cryst. B 1990, 46, 698–702. [Google Scholar] [CrossRef] [Green Version]
- Popov, Y.F.; Zvezdin, A.K.; Vorob’ev, G.P.; Kadomtseva, A.M.; Murashev, V.A.; Rakov, D.N. Linear magnetoelectric effect and phase transitions in bismuth ferrite, BiFeO3. JETP Lett. 1993, 57, 69–73. [Google Scholar]
- Ruette, B.; Zvyagin, S.; Pyatakov, A.P.; Bush, A.; Li, J.F.; Belotelov, V.I.; Zvezdin, A.K.; Viehland, D. Magnetic-field-induced phase transition in BiFeO3 observed by high-field electron spin resonance: Cycloidal to homogeneous spin order. Phys. Rev. B. 2004, 69, 064114. [Google Scholar] [CrossRef] [Green Version]
- Belik, A.A. Polar and nonpolar phases of BiMO3: A review. J. Solid State Chem. 2012, 195, 32–40. [Google Scholar] [CrossRef]
- Belik, A.A.; Iikubo, S.; Kodama, K.; Igawa, N.; Shamoto, S.; Niitaka, S.; Azuma, M.; Shimakawa, Y.; Takano, M.; Izumi, F.; et al. Neutron powder diffraction study on the crystal and magnetic structures of BiCoO3. Chem. Mater. 2006, 18, 798–803. [Google Scholar] [CrossRef]
- Sharma, V.; Ghosh, R.K.; Kuanr, B.K. Investigation of room temperature ferromagnetism in transition metal doped BiFeO3. J. Phys. Condens. Matter 2019, 31, 395802. [Google Scholar] [CrossRef]
- Freitas, V.F.; Bonadio, T.G.M.; Dias, G.S.; Protzek, O.A.; Medina, A.N.; Cótica, L.F.; Santos, I.A.; Garcia, D.; Eiras, J.A. On the microscopic mechanism for the stabilization of structural and ferroic states in displacive multiferroics. J. Appl. Phys. 2013, 113, 114105. [Google Scholar] [CrossRef]
- Sánchez-De Jesús, F.; Bolarín-Miró, A.M.; Cortés-Escobedo, C.A.; Barba-Pingarrón, A.; Pedro-García, F. Enhanced ferromagnetic and electric properties of multiferroic BiFeO3 by doping with Ca. J. Alloys Compd. 2020, 824, 153944. [Google Scholar] [CrossRef]
- Huang, F.; Wang, Z.; Lu, X.; Zhang, J.; Min, K.; Lin, W.; Ti, R.; Xu, T.; He, J.; Yue, C.; et al. Peculiar magnetism of BiFeO3 nanoparticles with size approaching the period of the spiral spin structure. Sci. Rep. 2013, 3, 2907. [Google Scholar] [CrossRef] [Green Version]
- Da Silva, K.L.; Menzel, D.; Feldhoff, A.; Kubel, C.; Bruns, M.; Paesano, A., Jr.; Duvel, A.; Wilkening, M.; Ghafari, M.; Hahn, H.; et al. Mechanosynthesized BiFeO3 nanoparticles with highly reactive surface and enhanced magnetization. J. Phys. Chem. C 2011, 115, 7209–7217. [Google Scholar] [CrossRef]
- Da Silva, K.L.; Trautwein, R.S.; Da Silva, R.B.; Fabián, M.; Čižmár, E.; Holub, M.; Skurikhina, O.; Harničárová, M.; Girman, V.; Menzel, D.; et al. Suppression of the cycloidal spin arrangement in BiFeO3 caused by the mechanically induced structural distortion and its effect on magnetism. Front. Matter. 2021. [Google Scholar] [CrossRef]
- Rodriguez-Carvajal, J. Recent advances in magnetic structure determination by neutron powder diffraction. Phys. B Phys. Condens. Matter 1993, 192, 55–69. [Google Scholar] [CrossRef]






Publisher’s Note: MDPI stays neutral with regard to jurisdictional claims in published maps and institutional affiliations. |
© 2021 by the authors. Licensee MDPI, Basel, Switzerland. This article is an open access article distributed under the terms and conditions of the Creative Commons Attribution (CC BY) license (https://creativecommons.org/licenses/by/4.0/).
Share and Cite
Salak, A.N.; Cardoso, J.P.V.; Vieira, J.M.; Shvartsman, V.V.; Khalyavin, D.D.; Fertman, E.L.; Fedorchenko, A.V.; Pushkarev, A.V.; Radyush, Y.V.; Olekhnovich, N.M.; et al. Magnetic Behaviour of Perovskite Compositions Derived from BiFeO3. Magnetochemistry 2021, 7, 151. https://doi.org/10.3390/magnetochemistry7110151
Salak AN, Cardoso JPV, Vieira JM, Shvartsman VV, Khalyavin DD, Fertman EL, Fedorchenko AV, Pushkarev AV, Radyush YV, Olekhnovich NM, et al. Magnetic Behaviour of Perovskite Compositions Derived from BiFeO3. Magnetochemistry. 2021; 7(11):151. https://doi.org/10.3390/magnetochemistry7110151
Chicago/Turabian StyleSalak, Andrei N., João Pedro V. Cardoso, Joaquim M. Vieira, Vladimir V. Shvartsman, Dmitry D. Khalyavin, Elena L. Fertman, Alexey V. Fedorchenko, Anatoli V. Pushkarev, Yury V. Radyush, Nikolai M. Olekhnovich, and et al. 2021. "Magnetic Behaviour of Perovskite Compositions Derived from BiFeO3" Magnetochemistry 7, no. 11: 151. https://doi.org/10.3390/magnetochemistry7110151
APA StyleSalak, A. N., Cardoso, J. P. V., Vieira, J. M., Shvartsman, V. V., Khalyavin, D. D., Fertman, E. L., Fedorchenko, A. V., Pushkarev, A. V., Radyush, Y. V., Olekhnovich, N. M., Tarasenko, R., Feher, A., & Čižmár, E. (2021). Magnetic Behaviour of Perovskite Compositions Derived from BiFeO3. Magnetochemistry, 7(11), 151. https://doi.org/10.3390/magnetochemistry7110151

