Spin Cross-Over (SCO) Anionic Fe(II) Complexes Based on the Tripodal Ligand Tris(2-pyridyl)ethoxymethane
Abstract
1. Introduction
2. Results and Discussion
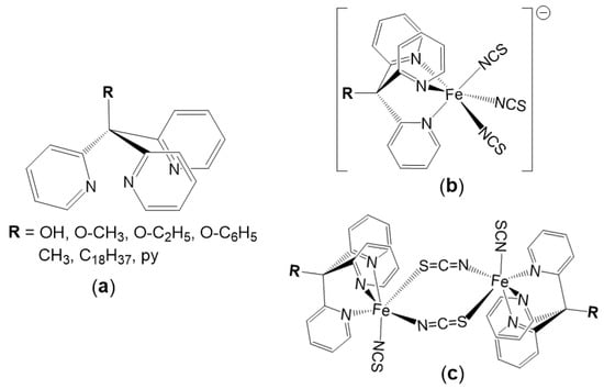
2.1. Syntheses
2.2. Description of the Structure
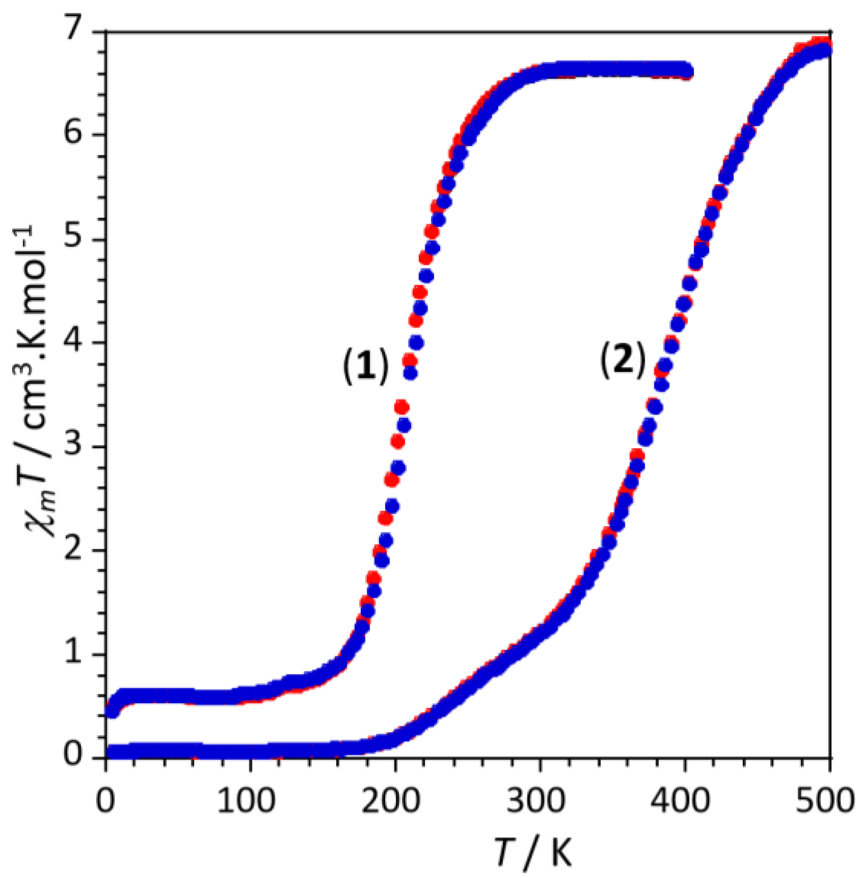
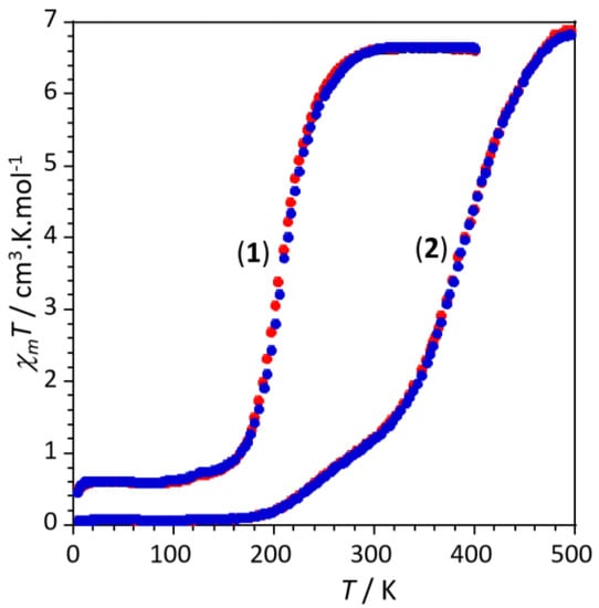
2.3. Variable Temperature Magnetic Properties and Infrared Spectroscopy
2.4. Magneto-Spectroscopic and Structural Relationships
3. Experimental Section
3.1. Starting Materials
3.2. Syntheses of Tris(pyridin-2-yl)methanol (py3C-OH) and Tris(pyridin-2-yl)ethoxymethane (py3C-OEt)
3.2.1. Synthesis of Tris(pyridin-2-yl)methanol (py3C-OH)
3.2.2. Synthesis Tris(pyridin-2-yl)ethoxymethane (py3C-OEt)
3.3. Synthesis of [Fe(py3C-OEt)2][Fe(py3C-OEt)(NCE)3]2·2CH3CN (E = S (1), NCBH3 (2))
3.4. Characterization of the Materials
3.5. Magnetic Measurements
3.6. Crystallographic Data Collection and Refinement
4. Conclusions
Supplementary Materials
Author Contributions
Funding
Conflicts of Interest
References
- Kumar, K.S.; Ruben, M. Emerging trends in spin crossover (SCO) based functional materials and devices. Coord. Chem. Rev. 2017, 346, 176–205. [Google Scholar] [CrossRef]
- Matsuda, M.; Isozaki, H.; Tajima, H. Reproducible on-off switching of the light emission from the electroluminescent device containing a spin crossover complex. Thin Solid Films 2008, 517, 1465–1467. [Google Scholar] [CrossRef]
- Benaicha, B.; Van Do, K.; Yangui, A.; Pittala, N.; Lusson, A.; Sy, M.; Bouchez, G.; Fourati, H.; Gómez-García, C.J.; Triki, S.; et al. Interplay between Spin-Crossover and Luminescence in a Multifunctional Single Crystal Iron (II) complex: Towards a New Generation of Molecular Sensors. Chem. Sci. 2019, 10, 6791–6798. [Google Scholar] [CrossRef] [PubMed]
- Paraïso, T.K.; Wouters, M.; Léger, Y.; Morier-Genoud, F.; Deveaud-Plédran, B. Multistability of a coherent spin ensemble in a semiconductor microcavity. Nat. Mater. 2010, 9, 655–660. [Google Scholar] [CrossRef] [PubMed]
- Coronado, E.; Galán-Mascarós, J.R.; Monrabal-Capilla, M.; García-Martínez, J.; Pardo-Ibáñez, P. Bistable Spin-Crossover Nanoparticles Showing Magnetic Thermal Hysteresis near Room Temperature. Adv. Mater. 2007, 19, 1359–1361. [Google Scholar] [CrossRef]
- Sato, O. Dynamic molecular crystals with switchable physical properties. Nat. Chem. 2016, 8, 644–656. [Google Scholar] [CrossRef]
- Shalabaeva, V.; Ridier, K.; Rat, S.; Manrique-Juarez, M.D.; Salmon, L.; Séguy, I.; Rotaru, A.; Molnár, G.; Bousseksou, A. Room temperature current modulation in large area electronic junctions of spin crossover thin films. Appl. Phys. Lett. 2018, 112, 013301. [Google Scholar] [CrossRef]
- Dugay, J.; Giménez-Marqués, M.; Kozlova, T.; Zandbergen, H.W.; Coronado, E.; van der Zant, H.S.J. Spin Switching in Electronic Devices Based on 2D Assemblies of Spin-Crossover Nanoparticles. Adv. Mater. 2015, 27, 1288–1293. [Google Scholar] [CrossRef]
- Prins, F.; Monrabal-Capilla, M.; Osorio, E.A.; Coronado, E.; van der Zant, H.S.J. Room-Temperature Electrical Addressing of a Bistable Spin-Crossover Molecular System. Adv. Mater. 2011, 23, 1545–1549. [Google Scholar] [CrossRef]
- Rueckes, T.; Kim, K.; Joselevich, E.; Tseng, G.Y.; Cheung, C.-L.; Lieber, C.M. Carbon Nanotube-Based Nonvolatile Random Access Memory for Molecular Computing. Science 2000, 289, 94–97. [Google Scholar] [CrossRef]
- Halcrow, M.A. (Ed.) Spin-Crossover Materials, Properties and Applications; John Wiley & Sons Ltd.: Oxford, UK, 2013. [Google Scholar]
- Pittala, N.; Thétiot, F.; Triki, S.; Boukheddaden, K.; Chastanet, G.; Marchivie, M. Cooperative 1D Triazole-Based Spin Crossover FeII Material with Exceptional Mechanical Resilience. Chem. Mater. 2017, 29, 490–494. [Google Scholar] [CrossRef]
- Phan, H.; Hrudka, J.J.; Igimbayeva, D.; Lawson Daku, L.M.; Shatruk, M. A Simple Approach for Predicting the Spin State of Homoleptic Fe(II) Tris-diimine Complexes. J. Am. Chem. Soc. 2017, 139, 6437–6447. [Google Scholar] [CrossRef] [PubMed]
- Pittala, N.; Thétiot, F.; Charles, C.; Triki, S.; Boukheddaden, K.; Chastanet, G.; Marchivie, M. An unprecedented trinuclear FeII triazole-based complex exhibiting a concerted and complete sharp spin transition above room temperature. Chem. Commun. 2017, 53, 8356–8359. [Google Scholar] [CrossRef] [PubMed]
- Milin, E.; Patinec, V.; Triki, S.; Bendeif, E.-E.; Pillet, S.; Marchivie, M.; Chastanet, G.; Boukheddaden, K. Elastic Frustration Triggering Photoinduced Hidden Hysteresis and Multistability in a Two-Dimensional Photoswitchable Hofmann-Like Spin-Crossover Metal-Organic Framework. Inorg. Chem. 2016, 55, 11652–11661. [Google Scholar] [CrossRef] [PubMed]
- Shatruk, M.; Phan, H.; Chrisostomo, B.A.; Suleimenova, A. Symmetry-breaking structural phase transitions in spin crossover complexes. Coord. Chem. Rev. 2015, 289–290, 62–73. [Google Scholar] [CrossRef]
- Atmani, A.; El Hajj, F.; Benmansour, S.; Marchivie, M.; Triki, S.; Conan, F.; Patinec, V.; Handel, H.; Dupouy, G.; Gómez-García, C.J. Guidelines to design new spin crossover materials. Coord. Chem. Rev. 2010, 254, 1559–1569. [Google Scholar] [CrossRef]
- Phonsri, W.; Macedo, D.S.; Lewis, B.A.I.; Wain, D.F.; Murray, K.S. Iron(III) Azadiphenolate Compounds in a New Family of Spin Crossover Iron(II)–Iron(III) Mixed-Valent Complexes. Magnetochemistry 2019, 5, 37. [Google Scholar] [CrossRef]
- Floquet, S.; Boillot, M.-L.; Rivière, E.; Varret, F.; Boukheddaden, K.; Morineau, D.; Négrier, P. Spin transition with a large thermal hysteresis near room temperature in a water solvate of an iron(III) thiosemicarbazone complex. New J. Chem. 2003, 27, 341–348. [Google Scholar] [CrossRef]
- Floquet, S.; Guillou, N.; Négrier, P.; Rivière, E.; Boillot, M.-L. The crystallographic phase transition for a ferric thiosemicarbazone spin crossover complex studied by X-ray powder diffraction. New J. Chem. 2006, 30, 1621–1627. [Google Scholar] [CrossRef]
- Cook, C.; Habib, F.; Aharen, T.; Clérac, R.; Hu, A.; Murugesu, M. High-Temperature Spin Crossover Behavior in a Nitrogen-Rich FeIII Based System. Inorg. Chem. 2013, 52, 1825–1831. [Google Scholar] [CrossRef]
- Takahashi, K.; Kawamukai, K.; Okai, M.; Mochida, T.; Sakurai, T.; Ohta, H.; Yamamoto, T.; Einaga, Y.; Shiota, Y.; Yoshizawa, K. A New Family of Anionic FeIII Spin Crossover Complexes Featuring a Weak-Field N2O4 Coordination Octahedron. Chem. Eur. J. 2016, 22, 1253–1257. [Google Scholar] [CrossRef] [PubMed]
- Phonsri, W.; Lewis, B.A.I.; Jameson, G.N.L.; Murray, K.S. Double spin crossovers: A new double salt strategy to improve magnetic and memory properties. Chem. Commun. 2019, 55, 14031–14034. [Google Scholar] [CrossRef] [PubMed]
- Yamada, M.; Ooidemizu, M.; Ikuta, Y.; Osa, S.; Matsumoto, N.; Iijima, S.; Kojima, M.; Dahan, F.; Tuchagues, J.-P. Interlayer Interaction of Two-Dimensional Layered Spin Crossover Complexes [FeIIH3LMe][FeIILMe]X (X− = ClO4−, BF4−, PF6−, AsF6−, and SbF6−; H3LMe = Tris[2-(((2-methylimidazol-4-yl)methylidene)amino)ethyl]amine). Inorg. Chem. 2003, 42, 8406–8416. [Google Scholar] [CrossRef] [PubMed]
- Gómez, V.; Sáenz de Pipaón, C.; Maldonado-Illescas, P.; Waerenborgh, J.C.; Martin, E.; Benet-Buchholz, J.; Galán-Mascarós, J.-R. Easy Excited-State Trapping and Record High TTIESST in a Spin-Crossover Polyanionic Fe(II) Trimer. J. Am. Chem. Soc. 2015, 137, 11924–11927. [Google Scholar] [CrossRef]
- Hirosawa, N.; Oso, Y.; Ishida, T. Spin crossover and light-induced excited spin-state trapping observed for an iron (II) complex chelated with tripodal tetrakis (2-pyridyl) methane. Chem. Lett. 2012, 41, 716–718. [Google Scholar] [CrossRef]
- Yamasaki, M.; Ishida, T. Spin-crossover thermal hysteresis and light-induced effect on iron (II) complexes with tripodal tris (2-pyridyl) methanol. Polyhedron 2015, 85, 795–799. [Google Scholar] [CrossRef]
- Yamasaki, M.; Ishida, T. Heating-rate dependence of spin-crossover hysteresis observed in an iron (II) complex having tris (2-pyridyl) methanol. J. Mater. Chem. C 2015, 3, 7784–7787. [Google Scholar] [CrossRef]
- Ishida, T.; Kaneto, T.; Yamasaki, M. An iron(II) complex tripodally chelated with 1,1,1-tris(pyridine-2-yl)ethane showing room-temperature spin-crosssover behaviour. Acta Cryst. 2016, C72, 797–801. [Google Scholar]
- Kashiro, A.; Some, K.; Kobayashi, Y.; Ishida, T. Iron(II) and 1,1,1-Tris(2-pyridyl)nonadecane Complex Showing an Order–Disorder-Type Structural Transition and Spin-Crossover Synchronized over Both Conformers. Inorg. Chem. 2019, 58, 7672–7676. [Google Scholar] [CrossRef]
- Yamasaki, M.; Ishida, T. First Iron(II) Spin-crossover Complex with an N5S Coordination Sphere. Chem. Lett. 2015, 44, 920–921. [Google Scholar] [CrossRef]
- Mekuimemba, C.D.; Conan, F.; Mota, A.J.; Palacios, M.A.; Colacio, E.; Triki, S. On the Magnetic Coupling and Spin Crossover Behavior in Complexes Containing the Head-to-Tail [FeII2(μ-SCN)2] Bridging Unit: A Magnetostructural Experimental and Theoretical Study. Inorg. Chem. 2018, 57, 2184–2192. [Google Scholar] [CrossRef] [PubMed]
- Nebbali, K.; Mekuimemba, C.D.; Charles, C.; Yefsah, S.; Chastanet, G.; Mota, A.J.; Colacio, E.; Triki, S. One-Dimensional Thiocyanato-Bridged Fe(II) Spin Crossover Cooperative Polymer With Unusual FeN5S Coordination Sphere. Inorg. Chem. 2018, 57, 12338–12346. [Google Scholar] [CrossRef] [PubMed]
- White, D.L.; Faller, J.W. Preparation and Reactions of the C3v Ligand Tris(2-pyridyl)methane and Its Derivatives. Inorg. Chem. 1982, 21, 3119–3122. [Google Scholar] [CrossRef]
- Jonas, R.T.; Stack, T.D.P. Synthesis and Characterization of a Family of Systematically Varied Tris(2-pyridyl)methoxymethane Ligands: Copper(I) and Copper(II) Complexes. Inorg. Chem. 1998, 37, 6615–6629. [Google Scholar] [CrossRef] [PubMed]
- Guionneau, P.; Marchivie, M.; Bravic, G.; Létard, J.-F.; Chasseau, D. Structural Aspects of Spin Crossover. Example of the [FeIILn(NCS)2] Complexes. Top. Curr. Chem. 2004, 234, 97–128. [Google Scholar]
- Sorai, M.; Seki, S. Phonon coupled cooperative low-spin 1A1 ↔ high-spin 5T2 transition in [Fe(phen)2(NCS)2] and [Fe(phen)2(NCSe)2] crystals. J. Pbys. Chm. Solids 1974, 35, 555–570. [Google Scholar] [CrossRef]
- Brehm, G.; Reiher, M.; Le Guennic, B.; Leibold, M.; Schindler, S.; Heinemann, F.W.; Schneider, S. Investigation of the low-spin to high-spin transition in a novel [Fe(pmea)(NCS)2] complex by IR and Raman spectroscopy and DFT calculations. J. Raman Spectrosc. 2006, 37, 108–122. [Google Scholar] [CrossRef]
- Park, Y.; Jung, Y.M.; Sarker, S.; Lee, J.-J.; Lee, Y.; Lee, K.; Oh, J.J.; Joo, S.-W. Temperature-dependent infrared spectrum of (Bu4N)2[Ru(dcbpyH)2(NCS)2] on nanocrystalline TiO2 surfaces. Sol. Energy Mater. Sol. Cells 2010, 94, 857–864. [Google Scholar] [CrossRef]
- Varma, V.V.; Fernandes, J.-R. An Infrared Spectroscopic Study of the Low-Spin-High-spin transition in in FexMn1-x(Phen)2(NCS)2: A Composition-Induced Change in the Order of the Spin-State Transition. Chem. Phys. Lett. 1990, 167, 367–370. [Google Scholar] [CrossRef]
- Sankar, G.; Thomas, J.M.; Varma, V.; Kulkani, G.U.; Rao, C.N.R. An investigation of the first-order spin-state transition in the Fe(Phen)2(NCS)2 EXAFS and infrared spectroscopy. Chem. Phys. Lett. 1996, 251, 79–83. [Google Scholar] [CrossRef]
- Smit, E.; de Waal, D.; Heyns, A.M. The spin-transition complexes [Fe(Htrz)3](ClO4)2 and [Fe(NH2trz)3](ClO4)2 I. FT-IR spectra of a low pressure and a low temperature phase transition. Mater. Res. Bull. 2000, 35, 1697–1707. [Google Scholar] [CrossRef]
- Durand, P.; Pillet, S.; Bendeif, E.-E.; Carteret, C.; Bouazaoui, M.; El Hamzaoui, H.; Capoen, B.; Salmon, L.; Hébert, S.; Ghanbaja, J.; et al. Room temperature bistability with wide thermal hysteresis in a spin crossover silica nanocomposite. J. Mater. Chem. C 2013, 1, 1933–1942. [Google Scholar] [CrossRef]
- Arroyave, A.; Lennartson, A.; Dragulescu-Andrasi, A.; Pedersen, K.S.; Piligkos, S.; Stoian, S.A.; Greer, S.M.; Pak, C.; Hietsoi, O.; Phan, H.; et al. Spin Crossover in Fe(II) Complexes with N4S2 Coordination. Inorg. Chem. 2016, 55, 5904–5913. [Google Scholar] [CrossRef] [PubMed]
- Bain, G.A.; Berry, J.F. Diamagnetic corrections and Pascal’s constants. J. Chem. Educ. 2008, 85, 532–536. [Google Scholar] [CrossRef]
- CRYSALIS-CCD 170, CRYSALIS-RED 170; Oxford-Diffraction: Oxfordshire, UK, 2002.
- Sheldrick, A. SHELX97. Program for Crystal Structure Analysis; University of Gottingen: Gottingen, Germany, 1997. [Google Scholar]
- Dolomanov, O.V.; Bourhis, L.J.; Gildea, R.J.; Howard, J.A.K.; Puschmann, H. OLEX2: A complete structure, refinement and analysis program. J. Appl. Crystallogr. 2009, 42, 339–341. [Google Scholar] [CrossRef]







| 1 | 2 | ||
|---|---|---|---|
| Temperature/K | 293 | 100 | 200 |
| Color | Orange | Red | Red |
| Formula | C82H74Fe3N20O4S6 | C82H92Fe3N20O4B6 | |
| F. Wt. | 1763.52 | 1654.16 | |
| Space group | P-1 | P-1 | |
| Crystal system | Triclinic | Triclinic | |
| A/Å | 11.6683(5) | 11.432(5) | 11.6827(8) |
| B/Å | 11.9026(7) | 11.829(5) | 12.0204(10) |
| C/Å | 17.1711(9) | 16.857(5) | 16.9162(11) |
| A/° | 78.192(5) | 78.072(5) | 78.389(6) |
| Β/° | 88.279(4) | 88.037(5) | 87.805(6) |
| Γ/° | 66.544(5) | 65.879(5) | 65.767(7) |
| V/Å3 | 2137.9(2) | 2032.4(14) | 2119.3(3) |
| Z | 1 | 1 | 1 |
| ρcalc/g cm−3 | 1.370 | 1.441 | 1.296 |
| 2θ range (deg) | 6.834–58.856 | 6.527–58.824 | 6.508–58.484 |
| Total reflections | 18,918 | 26,672 | 15,809 |
| Unique reflections/Rint | 9830/0.0458 | 9534/0.0722 | 9657/0.0701 |
| Data with I > 2σ(I) | 5988 | 6916 | 5051 |
| Nvar | 523 | 523 | 550 |
| R1 a on I > 2σ(I)/wR2 b (all) | 0.0692/0.2053 | 0.0605/0.1752 | 0.0823/0.2752 |
| GooF c on F2 | 1.028 | 1.066 | 0.997 |
| Δρmax (eÅ−3)/Δρmin (eÅ−3) | 0.892/−0.703 | 2.110/−1.047 | 1.177/−1.490 |
| 1 | 2 | ||
|---|---|---|---|
| 293 K | 100 K | 200 K | |
| Fe1-N1 | 2.083(4) | 1.949(3) | 1.944(4) |
| Fe1-N2 | 2.086(4) | 1.956(3) | 1.954(4) |
| Fe1-N3 | 2.110(4) | 1.965(3) | 1.943(5) |
| Fe1-N4 | 2.237(3) | 1.987(3) | 1.978(4) |
| Fe1-N5 | 2.180(3) | 1.948(3) | 1.943(4) |
| Fe1-N6 | 2.191(3) | 1.952(3) | 1.945(4) |
| <d(Fe-N)> | 2.148(4) | 1.959(3) | 1.951(5) |
| ∑ | 62.2 | 15.4 | 16.2 |
| θ | 111.0 | 40.5 | 44.6 |
| Fe2-N7 | 2.003(3) | 1.989(3) | 1.998(4) |
| Fe2-N8 | 1.962(3) | 1.960(3) | 1.947(4) |
| Fe2-N9 | 1.957(3) | 1.954(3) | 1.963(4) |
| <d(Fe-N)> | 1.974(3) | 1.968(3) | 1.969(4) |
| ∑ | 18.4 | 17.4 | 19.7 |
| θ | 43.4 | 43.4 | 46.0 |
| 1 | 2 | ||
|---|---|---|---|
| 293 K | 100 K | 200 K | |
| Fe1-N1-C1 | 165.7(4) | 171.0(3) | 172.5(4) |
| Fe1-N2-C2 | 159.7(4) | 168.5(3) | 174.1(4) |
| Fe1-N3-C3 | 174.7(4) | 175.7(3) | 175.3(4) |
© 2020 by the authors. Licensee MDPI, Basel, Switzerland. This article is an open access article distributed under the terms and conditions of the Creative Commons Attribution (CC BY) license (http://creativecommons.org/licenses/by/4.0/).
Share and Cite
Cuza, E.; Benmansour, S.; Cosquer, N.; Conan, F.; Pillet, S.; Gómez-García, C.J.; Triki, S. Spin Cross-Over (SCO) Anionic Fe(II) Complexes Based on the Tripodal Ligand Tris(2-pyridyl)ethoxymethane. Magnetochemistry 2020, 6, 26. https://doi.org/10.3390/magnetochemistry6020026
Cuza E, Benmansour S, Cosquer N, Conan F, Pillet S, Gómez-García CJ, Triki S. Spin Cross-Over (SCO) Anionic Fe(II) Complexes Based on the Tripodal Ligand Tris(2-pyridyl)ethoxymethane. Magnetochemistry. 2020; 6(2):26. https://doi.org/10.3390/magnetochemistry6020026
Chicago/Turabian StyleCuza, Emmelyne, Samia Benmansour, Nathalie Cosquer, Françoise Conan, Sébastien Pillet, Carlos J. Gómez-García, and Smail Triki. 2020. "Spin Cross-Over (SCO) Anionic Fe(II) Complexes Based on the Tripodal Ligand Tris(2-pyridyl)ethoxymethane" Magnetochemistry 6, no. 2: 26. https://doi.org/10.3390/magnetochemistry6020026
APA StyleCuza, E., Benmansour, S., Cosquer, N., Conan, F., Pillet, S., Gómez-García, C. J., & Triki, S. (2020). Spin Cross-Over (SCO) Anionic Fe(II) Complexes Based on the Tripodal Ligand Tris(2-pyridyl)ethoxymethane. Magnetochemistry, 6(2), 26. https://doi.org/10.3390/magnetochemistry6020026

