Abstract
Tetranuclear hetero-metal MnIII2NiII2 complexes, [Mn2Ni2(L)4(OAc)2] (1) and [Mn2Ni2(L)4(NO3)2] (2) [H2L = N-(2-hydroxymethylphenyl)-5,6-benzosalicylideneimine], have been synthesized and characterized by X-ray crystal structure analyses, infrared spectra, and elemental analyses. The structure analyses revealed that the complexes have a defective double-cubane metal core connected by μ3-alkoxo bridges. Complexes consist of two bis-μ-alkoxo bridged MnIIINiII heteronuclear units making a dimer-of-dimers structure. The double-cubane cores are significantly distorted due to an effect of syn–syn mode acetato or nitrato bridges. Magnetic measurements indicate that weak antiferromagnetic interactions (Mn-Ni = −0.66 ~ −4.19 cm–1) are dominant in the hetero-metal core.
1. Introduction
Molecular magnetism of discrete complexes with a cubane-based metal core structure have been extensively studied over the past few decades [1,2,3,4]. The key focal points of the investigation on such molecular magnetism are the following: (i) understanding of the basic correlation of spin coupling and molecular structure based on the analyses of the concerned orbitals [5]; (ii) application of the correlations in polynuclear systems that have several exchange pathways [6,7,8]; (iii) development of magnetic materials that behave like single molecule magnets (SMMs) [1,2,3,4,9]. In the case of tetranuclear complexes, two types of cubane-based structures are well known: cubane and double-cubane structures. The cubane core structures are commonly obtained with homo-metal complexes, whereas double-cubane structures are often formed by hetero-metal or mixed-valence complexes. This is due to the difference of the coordination environments between the metal ions located on the diagonal positions and those on the central positions, in the double-cubane structure. The hetero-metal complexes that form such double-cubane structures are a very interesting research target because they can be expected the synergy of hetero-metal ions, which may show unusual properties, such as selective catalytic ability or a ferromagnetic ground state. The ONO-tridentate ligands are well-known as good ligands for assisting the formation of cubane-like structures, as a result of the ability of their terminal oxygen atoms to act as good bridging groups [10,11]. The tridentate Schiff base ligands obtained by a simple dehydration-condensation of salicylaldehyde and an aminoalcohol or aminophenol are useful for the preparation of cubane-based complexes [12,13]. In our previous research, we have reported that the Schiff base tridentate ligand, N-(2-hydroxymethylphenyl) salicylideneimine (H2L1-H) [14] and its derivatives, can be used to produce cubane-like tetranuclear complexes via simple one-pot reactions [15,16,17]. As expected, these ligands gave hetero-metal or mixed-valence complexes characterized by a double-cubane metal core structure with a large high-spin ground state; such complexes included, for instance, MnIII2NiII2 (ST = 6) and CoIII2CoII2 (ST = 3) systems [16,17]. During our research work aimed at obtaining hetero-metal complexes, we found that the similar Schiff-base ligand N-(2-hydroxymethylphenyl)-5,6-benzosalicylideneimine (H2L) produced novel MnIIINiII complexes comprising syn–syn bridging co-ligands as shown in Figure 1. We report here the syntheses, structures and magnetic properties of tetranuclear hetero-metal MnIII2NiII2 complexes.
Figure 1.
Chemical diagram of (a) ligand H2L and (b) [MnNi(L)2(OAc)]2 (1).
2. Results and Discussion
2.1. Synthesis and Characterization of [Mn2Ni2(L)4(OAc)2] ·H2O (1) and [Mn2Ni2(L)4(NO3)2]·2H2O (2)
Analytical data of the obtained complexes 1 and 2 gave 1:1:2:1 ratio of Mn, Ni, (L)2− ligand, and acetate/nitrate. In the infrared spectra (Figure S1 and Figure S2), these complexes show intense characteristic peaks at 1615 and 1619 cm−1. These peaks can be assigned ν(C=N) vibration which shifted from free ligand H2L (1620 cm−1). A symmetric vibration (νsym) and an asymmetric vibration (νasym) of the syn–syn bridging acetate were observed at 1456 and 1582 cm–1 in the spectrum of 1. For 2, corresponding two signals of bridging nitrate were observed at 1456 and 1575 cm–1.
2.2. Single Crystal X-ray Diffraction
Single-crystal X-ray diffraction measurements for 1 and 2 were performed at 293 K. The crystallographic data are summarized in Table S1. A molecular structure of 1 is shown in Figure 2 with atom numbering scheme. Additionally, selected bond distances and angles are summarized in Table 1 and Table S2.

Figure 2.
Crystal structure of 1. (a) molecular structure, (b) modeling view for the intramolecular π−π stacking between naphthyl groups, (c) modeling view for the distortion of (L)2− in coordination. Thermal ellipsoids of (a) are drawn with 50% probability, hydrogen atoms are omitted for clarity. Symmetry code: (*) −x + 1, −y, −z.
Table 1.
Selected bond lengths and angles of 1, 2,A, and 2B.
The obtained crystals of 1 were unstable and efflorescence due to the large voids with highly volatile dichloromethane molecules. Many solvent systems were tested for recrystallization, but our attempts were in vain. All measurements were terminated by the cracking of the single crystals. Though the analytical results are insufficient to make a crystallographically accurate discussion, they clearly reveal the molecular structures to confirm the geometries of metal ions. As shown in Figure 2a, 1 has a tetranuclear structure with an inversion center. The final refined structural model of 1 is characterized by an asymmetric unit containing a Mn(III) ion and a Ni(II) ion, two (L)2− ligands, and one acetate anion. The Mn and Ni ions in the asymmetric unit of 1 rest on a dinuclear plane defined by a [MnNi(L)2] unit with bis-μ-alkoxo bridges from two deprotonated tridentate (L)2− ligands. Furthermore, an acetate anion is also present that act as syn–syn bridging ligand coordinating the hetero-metals (Mn and Ni) at their axial positions. The symmetrically-related dinuclear units are linked to each other by two μ3-alkoxo (O1 and O1*) and two μ2-phenoxo (O4 and O4*) bridging atoms. Consequently, the tetranuclear hetero-metal core in 1 is best represented as a dimer-of-dimers. The metal atoms arrangement with bridging oxygen atoms in 1 can be viewed as the distorted defective double-cubane core structure. The valence states of the metal ions are confirmed by charge balance considerations, bond valence sum (BVS) calculations [18], and observations of Jahn-Teller elongations. The calculated BVS values are 3.25 and 2.22 for the Mn(III) and Ni(II) ions, respectively [19]. The coordination environment of Mn1 is a distorted octahedral geometry in which the equatorial positions are occupied by three oxygen atoms (O1, O2, and O3) and one nitrogen (N1) atom, whereas the axial positions are occupied by two oxygen atoms (O4* and O5). The bond distances in the equatorial plane of Mn1 are in 1.882(8)–1.981(9) Å range. The axial bond distances [2.135(7) and 2.410(7) Å] are longer than their counterparts in the equatorial plane, due to Jahn-Teller distortions that are typical for Mn(III) ions. The coordination geometry of Ni1 is also octahedral. The combination of atoms coordinating Ni1 is the same as that coordinating Mn1. However, the deviation of coordination bond distances [1.986(7)–2.141(7) Å] of Ni1 is within 0.155 Å, a substantially smaller value than in the case of Mn1. These distances are in the normal ranges for Mn(III) and Ni(II) complexes with Schiff-base ligands [16,20]. The syn–syn bridging acetate forces the structure to be folded with the value of the bent angle of the Mn(μ-O2)Ni bridging fragment being equal to 15.8(2)°. The intramolecular metal-to-metal distances between Mn1···Ni1, Mn1···Ni1*, Ni1···Ni1*, and Mn1···Mn1* are 2.928(2), 3.255(2), 3.253(2), and 5.286(3) Å, respectively. The bond angles subtended by the μ3-alkoxo are 91.5(3)° for Mn1–O1–Ni1, 106.1(3)° for Mn1–O1–Ni1*, and 99.3(3)° for Ni1−O1−Ni1*. The short Mn1···Ni1 distance and narrow Mn1−O1−Ni1 angle is a common feature of syn–syn carboxylato bridging dinuclear structures [21]. The interdimer Mn1···Ni1* is much longer than the intradimer Mn1···Ni1 counterpart; additionally the bond angles Mn1−O1−Ni1* and Ni1−O1−Ni1* are much larger than 90°. Hence, the defective double-cubane core of 1 is highly distorted in the rhombic direction. Notably, the distorted core structure might be stabilized by intramolecular π−π stacking interactions as shown in Figure 2b [C9···C36* = 3.197(15), C11···C28* = 3.565(18), C13···C32* = 3.88(2), and C15···C34* = 3.621(17) Å, (*) −x + 1, −y, −z] between naphthyl groups belonging to the two asymmetric dimer units.
The molecular structure of 1 is resembles quite closely the structure of [Mn2Ni2(L1-H)4(OAc)2] [H2L1-H = N-(2-hydroxymethylphenyl)salicylideneimine] [22]. In our previously reported complexes with L1-H ligand, the planarity of the ligand was considerably low because of the strain due to two adjacent 6-membered chelate rings [15,16,17,22]. For the present complex 1, the deprotonated ligand (L)2− is also distorted at the imino group connecting the benzyl and naphthyl groups as shown in Figure 2c. The torsion angle of the C=N bond (C7−N1−C8−C9 ) is 164.6(8)°. The C−N bond of the aminobenzyl moiety is twisted, giving rise to a large dihedral angle [50.1(3)°] between the phenyl and naphthyl groups. Due to such distortions and stacking interactions, the complex assumes a chair conformation like [Mn2Ni2(L1-H)4(OAc)2]. The crystal packing diagram of 1 is shown in Figure S3. Notably, the structural features of the complex indicate that there is no remarkable intermolecular interaction.
The crystal structure of 2 comprises two crystallographically independent molecules. These two molecules (2A and 2B) are shown in Figure 3, and selected bond distances and angles are summarized in Table 1. Each molecule in 2 has a similar tetranuclear structure with an inversion center. These complexes are comprised of two Mn and Ni ions, four (L)2− ligands, and two nitrate anions (instead of the acetate anions present in 1). The difference between 2A and 2B is the intramolecular π−π stacking between the naphthyl groups of H2L in each molecule. The molecular structure of 2A is almost the same as that of 1. The small dihedral angle 5.0(2)° of naphthyl groups suggests the existence of a π−π stacking interaction in 2A. The C···C distance between stacking naphthyl groups are C9A···C36A’ = 3.145(12), C11A···C28A’ = 3.249(12), C13A···C32A’ = 3.457(13), and C15A···C34A’ = 3.367(12) Å [(’) −x + 2, −y, −z + 1], respectively. On the other hand, the corresponding dihedral angle in 2B is very large [24.2(2)°] and the C···C distance between naphthyl groups are too distant [C9B···C36B’’ = 3.277(11), C11B···C28B’’ = 3.969(12), C13B···C32B’’ = 4.871(13), and C15B···C34B’’ = 3.898(12) Å; (’’) −x + 2, −y + 1, −z + 2]. The reason for this difference in π−π stacking between the naphthyl groups of 2A and those of 2B is assumed to have to do with crystal packing interactions. Figure 4 shows the crystal packing view of 2 along the a-axis. The oxygen atom O7A of bridging nitrate in 2A slightly overlapped at the gap between the naphthyl groups of 2B. Due to this steric hindrance, it seems that the π−π stacking of the naphthyl groups was inhibited in 2B. The crystal packing diagram for 2 is reported in Figure S4. As in the case of complex 1, there is no evidence of a remarkable intermolecular interaction.
Figure 3.
Perspective views of 2A (a) and 2B (b). Hydrogen atoms are omitted for clarity. Symmetry code: (’) −x + 2, −y, −z + 1; (’’) –x + 2, −y + 1, −z + 2.
Figure 4.
Packing view along the a-axis of 2. Crystal solvents are omitted for clarity. Complex 2A and 2B are color coded with blue and orange, respectively.
Similarly to 1, in 2 the metal ions have octahedral coordination geometries. The axial bond distances between the nitrate oxygens and the Mn(III) ions, 2.244(6) Å for Mn1A−O5A and 2.261(6) Å for Mn1B−O5B, are ~0.1 Å longer than their counterparts measured in 1. This evidence suggests that the magnetic exchange interaction between Mn(III) and Ni(II) in 2 might be smaller than corresponding parameter for 1. Hetero-metal complexes with a syn–syn nitrato bridge are rare, with only a few examples reported in the literature [23]. To the best of our knowledge, complex 2 is the first example of a hetero-metal MnIIINiII complex bridged by syn–syn nitrate anions. The coordination environment of Ni(II) in 2 is almost the same as that of the same metal ion in 1, and the bond distances around Ni(II) are in the 1.976(5)–2.156(5) Å range. The average intramolecular metal-to-metal distances within 2A and 2B are 2.946(2) Å for Mn···Ni, 3.188(2) Å for Mn···Ni*, 3.188(3) Å for Ni···Ni*, and 5.246(3) Å for Mn···Mn*, respectively. The average bond angles around the μ3-alkoxo group are 92.9(2)° for Mn−O−Ni, 103.6(2)° for Mn−O−Ni*, and 98.0(2)° for Ni−O−Ni*. Given the substantial Mn···Ni* distance and the wide bond angles around the μ3-O center, the double-cubane core of 2 is distorted, but the distortion is rather small compared to the case of 1.
2.3. Magnetic Property
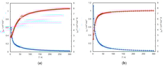
Magnetic susceptibility measurements for 1 and 2 were performed with a SQUID (superconducting quantum interference device) magnetometer within the 4.5–300 K temperature range for 1 and the 2–300 K range for 2. Figure 5 shows the temperature dependence of χm and χmT vs. T plots of 1 (a) and 2 (b).
Figure 5.
Temperature dependence of χm (blue triangles) and χmT (red circles) vs. T plots of 1 (a) and 2 (b). Solid lines are drawn with the best-fitted parameter values described in the text and in Table 2.
The χmT values at 300 K of 1 and 2 are, respectively, 7.98 and 7.55 cm3 mol−1 K, which are slightly smaller than the spin-only value of 8.00 cm3 mol–1 K expected for magnetically uncoupled two high-spin Mn(III) (S = 2) and two Ni(II) (S =1) system. With decreasing temperature, the χmT values for 1 gradually decrease to reach 2.71 cm3 mol–1 K at 4.5 K, which suggests an S = 2 ground state. This magnetic behavior closely resembles those previously reported for tetranuclear hetero-metal MnIII2NiII2 complexes with bis-μ-alkoxo and syn–syn acetato triple bridges [24]. The χmT values for 2 are virtually constant from 300 K to 80 K; they then start decreasing as the temperature decreases below 80 K to reach 2.26 cm3 mol−1 K at 2.0 K. These magnetic behaviors indicate that for both 1 and 2 antiferromagnetic interactions are dominant in the hetero-metal tetranuclear cores. The magnetic analyses for 1 and 2 were simulated using the PHI program [25]. The Hamiltonian is written as:
where JMnNi is the exchange integral between the Mn and Ni ions in the asymmetric unit bridged by acetate or nitrate, whereas JMnNi*, JNiNi*, and JMnMn* are the exchange integrals between the metal ions located in the asymmetric units as defined in Scheme 1.
Scheme 1.
Magnetic exchange coupling model for 1 and 2.
In complexes 1 and 2, the interaction JMnMn* can be ignored because the distance is too large to make a spin exchange [16,24]. The obtained J, g, and D parameters are the following: JMnNi = −4.19 cm−1, JMnNi* = −1.36 cm−1, JNiNi* = −4.03 cm−1, gMn = 2.14, gNi = 2.29, DMn = –0.22 cm−1, and DNi = 0.54 cm−1 for 1; JMnNi = −0.82 cm−1, JMnNi* = −0.66 cm−1, JNiNi* = 0.79 cm−1, gMn = 1.93, gNi = 2.01, DMn = –0.70 cm−1, and DNi = 0.37 cm−1 for 2. These results demonstrate that the magnetic interactions between Mn(III) and Ni(II) are antiferromagnetic in both complexes. In both cases, the absolute value |JMnNi| is larger than |JMnNi*|. The magnetic paths between Mn(III) and Ni(II) ions go through μ2-, μ3-alkoxo, and syn–syn acetato or nitrato bridges. Among them, the antiferromagnetic pathway through acetato bridges might be dominant. It is thought that the interaction JMnNi influence most strongly the magnetic behavior of the complex. The interaction JMnNi of 1 is much larger than its counterpart for 2. As mentioned in Section 2.2, one of the reasons for this observation is that the metal–nitrate bonds in 2 are longer than the metal–acetate bonds in 1. Results thus suggest that the acetato bridge is more effective than the nitrato bridge in assisting local spin-exchange interaction. The interactions JMnNi*, are relatively small due to the large bridging angles. The value of the metal‒O‒metal bridging angle is known to be one of the important parameters determining the magnitude of magnetic exchange interactions through phenoxo/hydroxo/alkoxo bridges. Typically, the cross-over angle in bridging 3d–3d systems lie in the 95–98° range [26,27]. The Mn−O−Ni* angles in 1 and 2 are large enough to assume the existence of antiferromagnetic interactions. For the interaction JNiNi*, the cross-over angle in dinickel(II) systems is 97.5° [28]. The Ni−O−Ni* angles in 1, 2a, and 2b are 99.6(3),98.0(2), and 98.0(2)°, respectively. The angle for 1 is larger than the cross-over angle known to afford an antiferromagnetic interaction. However, those for 2 are close to the mentioned value of 97.5°, leading to a weak ferromagnetic interaction. Hence, the difference in JNiNi* between 1 and 2 can be explained by the values of the Ni−O−Ni* angles.
The J values and μ3-O bridging angles of structurally related tetranuclear MnIII2NiII2 complexes are summarized in Table 2. Whether the overall magnetic behavior is ferromagnetic or antiferromagnetic is strongly influenced by the presence of syn–syn bridging ligands. The reported complexes without syn–syn bridging ligands (Type-I in Table 2) show totally ferromagnetic behavior, and in these complexes the Mn−O−Ni angles are in the 96–98° range. Those angles are nearly equal in size or smaller than the cross-over angle in phenoxo/alkoxo-bridged 3d–3d systems. In the case of complexes with syn–syn carboxylato bridges (Type-II), the Mn−O−Ni angles are much smaller than those of Type-I complexes. However, the bridging carboxylates provide a good magnetic exchange pathway. In addition, those complexes are characterized by a distortion of the double-cubane metal core that causes the large Mn−O−Ni* angles. These factors result in complexes 1 and 2 displaying antiferromagnetic properties. Finally, complex 2 is the first example of a Type-III complex, which is characterized by the presence of syn–syn nitrato bridges. Based on evidence gathered on other hetero-metal complexes [23], the magnetic pathway through the nitrate ligand is considered to have a small contribution to the magnetic exchange due to the weak coordination.
Table 2.
Best fitting magnetic parameters and μ3-O bridging angles of 1, 2, and related complexes.
3. Materials and Methods
3.1. General
All chemicals were purchased and used as received, unless otherwise noted. Methanol was purified by distillation over magnesium turnings. The ligand H2L was obtained by the literature method [13]. Elemental analyses for C, H, and N were obtained at the Elemental Analysis Service Center, Kyushu University. Analyses of Mn and Ni were made on a Shimadzu ICPS-8100 (Shimadzu Co. Ltd., Kyoto, Japan) twin sequential high-frequency plasma emission spectrometer. Fluorescent X-ray analyses were obtained on a Shimadzu Rayny EDX-700HS energy dispersive X-ray spectrometer (Shimadzu Co. Ltd., Kyoto, Japan). Infrared spectra were recorded on a Bruker VERTEX70-S FT-IR spectrometer on ATR (Attenuated Total Reflection) method at the Instrumental Analysis Center, Saga University. Reflection spectra were recorded on a PERKIN ELMER Lambda19 UV/VIS/NIR Spectrometer (PerkinElmer, Inc., Waltham, MA, USA) and Ocean Optics USB2000+ fiber optic spectrometer (Ocean Optics, Inc., Dunedin, FL, USA). The magnetic susceptibilities were measured on a Quantum Design MPMS-XL5R SQUID susceptometer (Quantum Design, Inc., San Diego, CA, USA) under an applied magnetic field of 0.5 T in the temperature range 2–300 K. The susceptibilities were corrected for the diamagnetism of the constituent atoms using Pascal’s constant [30].
3.2. Single Crystal X-ray Diffraction
X-ray diffraction measurements were made on a Rigaku AFC5S automated four-circle diffractometer (Rigaku Corp, Tokyo, Japan) for 1 and a Rigaku Vari-Max Saturn CCD 724 diffractometer (Rigaku Corp, Tokyo, Japan) for 2 with graphite monochromated Mo Ka radiation (λ = 0.71069 Å). Data were collected and processed using CrystalClear [31]. An empirical absorption correction was applied. The data were corrected for Lorentz and polarization effects. The crystal data and experimental parameters are summarized in Table S1. The structures were solved by direct methods (SIR92) and expanded using Fourier techniques [32,33]. The nonhydrogen atoms were refined anisotropically. All the hydrogen atoms, except those of the water molecule in 1 as crystal solvents which were not included in the structural models because their positions could not be determined precisely, were located on the calculated positions, and refined using the riding model. The final cycle of full-matrix least-squares refinement on F2 using SHELXL-2016 [34] was based on observed reflections and variable parameters, and converged with unweighted and weighted agreement factors of R and Rw. All calculations were performed using the CrystalStructure [35] crystallographic software package of Molecular Structure Corporation except for refinement, which was performed using SHELXL-2016.
3.3. Synthesis of [Mn2Ni2(L)4(OAc)2] ·H2O (1)
A methanol solution (20 mL) of Mn(OAc)3·2H2O (0.133 g, 0.5 mmol) and H2L (0.278 g, 1.0 mmol) was added Et3N (0.210 g, 2.0 mmol) drop-by-drop with stirring for 60 min. To the resulted solution was added a solution of NiCl2·6H2O (0.066 g, 0.5 mmol) in 5 mL methanol. After 60 min, brown precipitate was obtained. The brown single crystals were obtained by recrystallization of CH2Cl2 /toluene mixed solvent (9:1, 10 mL). [Mn2Ni2(L)4(OAc)2]·H2O; Yield: 17.8%. Anal. Calc. for C76H60Mn2N4Ni2O13: C, 62.30; H, 4.13; N, 3.83; Mn, 7.50; Ni, 8.01. Found: C, 62.02; H, 4.07; N, 3.85; Mn, 7.60; Ni, 7.92%. IR data [/cm–1]: 3060 (w), 2857 (w), 1615 (m), 1603 (m), 1572 (m) 1531 (s) 1376 (s), 1025 (m), 860 (s), 779 (s), 710 (m) and 566 (s). UV–VIS [/103 cm–1]: 7.0sh, 12sh, 13sh, 16sh, 19sh, 22sh (sh = shoulder).
3.4. Synthesis of [Mn2Ni2(L)4(NO3)2]⋅2H2O (2)
A methanol solution (20 mL) of Mn(NO3)2·6H2O (0.080 g, 0.278 mmol) and H2L (0.278 g, 1.0 mmol) was added Et3N (0.101g, 1.00 mmol) drop-by-drop and refluxed for two hours. The mixture was added a methanol solution (5 mL) of Ni(NO3)2·6H2O (0.073 g, 0.250 mmol) further refluxed for two hours. The resulting dark brown solution was evaporated to dryness under reduced pressure. The obtained oily substance was dissolved in 10 mL of CH2Cl2 including small amount of Na2SO4 with stirring. The dehydrated solution was filtered and left at room temperature. Dark brown crystals suitable for X-ray crystallography were obtained after two weeks. [Mn2Ni2(L)4(NO3)2]·2H2O; Yield: 67.2%. Anal. Calc. for C72H56Mn2N6Ni2O16: C, 58.10; H, 3.79; N, 5.65; Mn, 7.38; Ni, 7.89. Found: C, 57.76; H, 3.61; N, 5.65; Mn, 7.02; Ni, 7.93%. IR data [/cm–1]: 3056 (w), 2926 (w), 2852 (w), 1619 (m), 1601 (m), 1575 (m), 1540 (s), 1436 (m), 1387 (s), 1361 (w), 1284 (m), 1030 (m), 829 (s), 758 (s), 654 (w) and 577 (m). UV-VIS [/103 cm–1]: 12sh, 13sh, 16sh, 19sh, 22sh.
5. Conclusions
New tetranuclear hetero-metal MnIII2NiII2 complexes, [Mn2Ni2(L)4(OAc)2] and [Mn2Ni2(L)4(NO3)2], were prepared by the simple one-pot reaction of metal sources with Schiff base ligand. Single crystal X-ray analyses reveal that these complexes adopt defective double-cubane metal cores with syn–syn bridging acetate or nitrate. The temperature dependent magnetic susceptibility measurements showed that both complexes have antiferromagnetic behaviors and S = 2 ground state. The obtained magnetic parameters indicate that all magnetic pathway in the hetero-metal core are weak antiferromagnetic.
Supplementary Materials
The following are available online at http://www.mdpi.com/2312-7481/5/1/14/s1, Figure S1. IR spectrum of 1 (ATR). Figure S2. IR spectrum of 2 (ATR). Figure S3. Molecular packing diagram of 1. Figure S4. Molecular packing diagram of 2. Table S1. Crystallographic data of 1 and 2. Table S2. Bond angles in the coordination spheres of 1, 2A, and 2B.
Author Contributions
Conceptualization: M.K. and T.T.; syntheses: R.M. and T.T.; crystallographic measurements and characterization: R.M., Y.Y., and M.K.; spectroscopic measurements: Y.S., R.M. and T.T.; magnetic measurements: M.M.; magnetic analyses: Y.S.; writing—original draft preparation: Y.S.; writing—review and editing: M.K.; project administration: M.K.; funding acquisition: M.K.
Funding
This research was partially supported by JSPS KAKENHI Grant Number JP23550080 and 26410075 from Japan Society for the Promotion of Science.
Conflicts of Interest
The authors declare no conflicts of interest.
References
- Ma, X.-F.; Wang, Z.; Chen, X.-L.; Kurmoo, M.; Zeng, M.-H. Ligand effect on the single-molecule magnetism of tetranuclear Co(II) cubane. Inorg. Chem. 2017, 56, 15178–15186. [Google Scholar] [CrossRef] [PubMed]
- Das, S.; Dey, A.; Biswas, S.; Calacio, E.; Chandrasekhar, V. Hydroxide-free cubane-shaped tetranuclear [Ln4] complexes. Inorg. Chem. 2014, 53, 3417–3426. [Google Scholar] [CrossRef]
- Nayak, S.; Aromi, G.; Teat, S.J.; Ribas-Ariño, J.; Gamez, P.; Reedijk, J. Hydrogen bond assisted co-crystallization of a bimetallic MnIII2NiII2 cluster and a NiII2 cluster unit: Synthesis, structure, spectroscopy and magnetism. Dalton Trans. 2010, 39, 4986–4990. [Google Scholar] [CrossRef] [PubMed]
- Oshio, H.; Hoshino, N.; Ito, T.; Nakano, M. Single-molecule of ferrous cubes: Structurally controlled magnetic anisotropy. J. Am. Chem. Soc. 2004, 126, 8805–8812. [Google Scholar] [CrossRef]
- Mahapatra, P.; Drew, G.B.M.; Ghosh, A. Ni(II) Complex of N2O3 donor unsymmetrical ligand and its use for the synthesis of NiII−MnII complexes of diverse nuclearity: Structures, magnetic properties, and catalytic oxidase activities. Inorg. Chem. 2018, 57, 8338–8353. [Google Scholar] [CrossRef] [PubMed]
- Marino, N.; Armentano, D.; Mastropietro, T.F.; Julve, M.; Munno, G.D.; Martínez-Lillo, J. Cubane-type CuII4 and MnII2MnIII2 complexes based on pyridoxine: A versatile ligand for metal assembling. Inorg. Chem. 2013, 52, 11934–11943. [Google Scholar] [CrossRef] [PubMed]
- Wang, H.-S.; Song, Y. Conversion of tetranuclear Ni complexes from a defect dicubane core to a [Ni4O4] cubane-like core via addition of 2-hydroxymethylpyridine: Synthesis, crystal structures, and magnetic properties. Inorg. Chem. Comm. 2013, 35, 86–88. [Google Scholar] [CrossRef]
- Nayak, S.; Novitchi, G.; Muche, S.; Luneau, D.; Dehnen, S. Tetranuclear homo- and heterometallic manganese(III) and nickel(II) complexes: Synthesis, structure, and magnetic studies. Zeitschrift für Anorganische und Allgemeine Chemie 2012, 638, 1127–1133. [Google Scholar] [CrossRef]
- Brechin, E.K.; Soler, M.; Christou, G.; Davidson, J.; Hendrickson, D.N.; Parson, S.; Wernsdorfer, W. Magnetization tunneling in an enneanuclear manganese cage. Polyhedron 2003, 22, 1771–1775. [Google Scholar] [CrossRef]
- Nakajima, T.; Seto, K.; Scheurer, A.; Kure, B.; Kajiwara, T.; Tanase, T.; Mikuriya, M.; Sakiyama, H. Tetranuclear nickel and cobalt complexes with an incomplete double-cubane structure—Homo- and heterometallic complexes and their 1D coordination polymers. Eur. J. Inorg. Chem. 2014, 5021–5033. [Google Scholar] [CrossRef]
- Yamashita, H.; Koikawa, M.; Tokii, T. Synthesis, structure, and magnetic properties of tetranuclear copper(II) complexes of tridentate dianionic ligands with an ONO donor set. Mol. Cryst. Liq. Cryst. 2000, 342, 63–68. [Google Scholar] [CrossRef]
- Oshio, H.; Nihei, M.; Koizumi, S.; Shiga, T.; Nojiri, H.; Nakano, M.; Shirakawa, N.; Akatsu, M. A heterometal single-molecule magnet of [MnIII2NiII2Cl2(salpa)2]. J. Am. Chem. Soc. 2005, 127, 4568–4569. [Google Scholar] [CrossRef] [PubMed]
- Modak, R.; Sikdar, Y.; Thuijs, A.E.; Christou, G.; Goswami, S. CoII4, CoII7, and a series of CoII2LnIII (LnIII = NdIII, SmIII, GdIII, TbIII, DyIII) coordination clusters: Search for single molecule magnets. Inorg. Chem. 2016, 55, 10192–10202. [Google Scholar] [CrossRef]
- Nath, M.; Yadav, R. Synthesis, spectral and thermal studies of Fe(III), Co(II), Ni(II), Cu(II) and Zn(II) complexes of Schiff bases derived from o-aminobenzyl alcohol. Synth. React. Inorg. Met. Org. Chem. 1995, 25, 1529–1547. [Google Scholar] [CrossRef]
- Koikawa, M.; Yamashita, H.; Tokii, T. Crystal structures and magnetic properties of tetranuclear copper(II) complexes of N-(2-hydroxymethylphenyl)salicylideneimine with a defective double-cubane core. Inorg. Chim. Acta 2004, 357, 2635–2642. [Google Scholar] [CrossRef]
- Koikawa, M.; Ohba, M.; Tokii, T. Syntheses, structures, and magnetic properties of tetranuclear NiII4 and NiII2MnIII2 complexes with ONO tridentate ligands. Polyhedron 2005, 24, 2257–2262. [Google Scholar] [CrossRef]
- Yoshitake, M.; Nishihashi, M.; Ogata, Y.; Yoneda, K.; Yamada, Y.; Sakiyama, H.; Mishima, A.; Ohba, M.; Koikawa, M. Syntheses, structures, and magnetic properties of cubane-based cobalt and nickel complexes with ONO-tridentate ligands. Polyhedron 2017, 136, 136–142. [Google Scholar] [CrossRef]
- Brown, I.D. The Chemical Bond in Inorganic Chemistry: The Bond Valence Model, 2nd ed.; Oxford University Press: Oxford, UK, 2002; ISBN 9780198742951. [Google Scholar]
- Brown, I.D. Accumulated Table of Bond Valence Parameters. 2016. Available online: http://www.iucr.org/resources/data/datasets/bond-valence-parameters/ (accessed on 18 March 2016).
- Modak, R.; Sikdar, Y.; Mandal, S.; Gómez-García, C.J.; Benmansour, S.; Chatterjee, S.; Goswami, S. Homo and heterometallic rhomb-like Ni4 and Mn2Ni2 complexes. Polyhedron 2014, 70, 155–163. [Google Scholar] [CrossRef]
- Daier, V.; Biava, H.; Palopoli, C.; Shova, S.; Tuchagues, J.-P.; Signorella, S. Synthesis, characterization and catalase-like activity of dimanganese(III) complexes of 1,5-bis(5-X-salicylidenamino)pentan-3-ol (X = nitro and chloro). J. Inorg. Biochem. 2004, 98, 1806–1817. [Google Scholar] [CrossRef] [PubMed]
- Yoshitake, M.; Yoneda, K.; Yamada, Y.; Koikawa, M. Synthesis and crystal structure of a tetranuclear Mn(III)-Ni(II) heterometal complex of N-(2-oxymethylphenyl)salicylideneimine. X-ray Struct. Anal. Online 2016, 32, 1–2. [Google Scholar] [CrossRef]
- Colacio, E.; Ruiz-Sanchez, J.; White, F.J.; Brechin, E.K. Strategy for the rational design of asymmetric triply bridged dinuclear 3d-4f single-molecule magnets. Inorg. Chem. 2011, 50, 7268–7273. [Google Scholar] [CrossRef]
- Nihei, M.; Yoshida, A.; Koizumi, S.; Oshio, H. Hetero-metal Mn–Cu and Mn–Ni clusters with tridentate Schiff-base ligands. Polyhedron 2007, 26, 1997–2007. [Google Scholar] [CrossRef]
- Chilton, N.F.; Anderson, R.P.; Turner, L.D.; Soncini, A.; Murray, K.S. PHI: A powerful new program for the analysis of anisotropic monomeric and exchange-coupled polynuclear d- and f-block complexes. J. Comput. Chem. 2013, 34, 1164–1175. [Google Scholar] [CrossRef] [PubMed]
- Kahn, O. Molecular Magnetism; VCH Publications: New York, NY, USA, 1993; pp. 145–210. ISBN 1-56081-566-3. [Google Scholar]
- Sasmal, S.; Roy, S.; Carrella, L.; Jana, A.; Rentschler, E.; Mohanta, S. Structures and magnetic properties of bis(μ-phenoxido), bis(μ-phenoxido)-μ-carboxylato and bis(μ-phenoxido)bis(μ-carboxylato) FeIIINiII compounds—Magnetostructural correlations. Eur. J. Inorg. Chem. 2015, 680–689. [Google Scholar] [CrossRef]
- Nanda, K.K.; Thompson, L.K.; Bridson, J.N.; Nag, K. Linear dependence of spin exchange coupling constant on bridge angle in phenoxy-bridged dinickel(II) complexes. J. Chem. Soc. Chem. Commun. 1994, 1337–1338. [Google Scholar] [CrossRef]
- Ding, Y.; Xu, J.; Pan, Z.; Zhou, H.; Lou, X. Structure, magnetic property and DNA cleavage ability of heterometal MnIII2NiII2 complex with ONO tridentate ligands Inorg. Chem. Comm. 2012, 22, 40–43. [Google Scholar] [CrossRef]
- Selwood, P.W. Magnetochemistry; Interscience Publishers: New York, NY, USA, 1956; pp. 78–91. [Google Scholar]
- Rigaku Corporation. CrystalClear: Data Collection and Processing Software; Rigaku Corporation: Tokyo, Japan, 1998. [Google Scholar]
- Altomare, A.; Cascarano, G.; Giacovazzo, C.; Guagliardi, A. Completion and refinement of crystal structures with SIR92. J. Appl. Cryst. 1993, 26, 343–350. [Google Scholar] [CrossRef]
- Beurskens, P.T.; Admiraal, G.; Beurskens, G.; Bosman, W.P.; Gelder, R.; Israel, R.; Smits, J.M.M. DIRDIF99. Master’s Thesis, Crystallography Laboratory University of Nijmegen, Nijmegen, The Netherlands, 1999. [Google Scholar]
- Sheldrick, G.M. Crystal structure refinement with SHELXL. Acta Crystallogr. 2015, C71, 3–8. [Google Scholar] [CrossRef]
- Rigaku Corporation. CrystalStructure: Crystal Structure Analysis Package (Version 4.3); Rigaku Corporation: Tokyo, Japan, 2000. [Google Scholar]
© 2019 by the authors. Licensee MDPI, Basel, Switzerland. This article is an open access article distributed under the terms and conditions of the Creative Commons Attribution (CC BY) license (http://creativecommons.org/licenses/by/4.0/).