Theoretical Equations of Zeeman Energy Levels for Distorted Metal Complexes with 3T1 Ground Terms
Abstract
:1. Introduction
2. Results
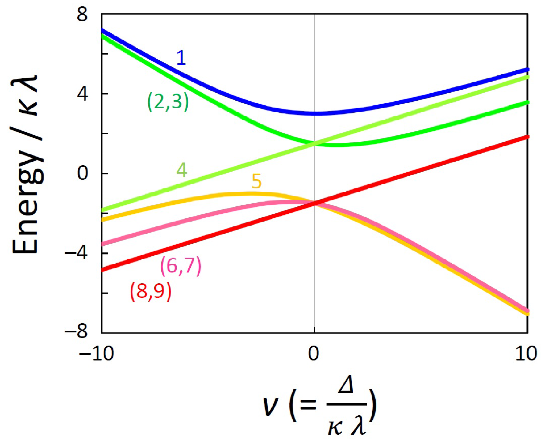
2.1. Zero-Field Energies and Zeeman Coefficients
| 0 | ||
| 0 |
2.2. Magnetic Susceptibility and Magnetization Equations
2.3. Magnetic Simulation
3. Discussion
4. Materials and Methods
5. Conclusions
Funding
Acknowledgments
Conflicts of Interest
References
- Figgis, B.N. The magnetic properties of transition metal ions in asymmetric ligand fields. Part 2.—Cubic field 3T2 terms. Trans. Faraday Soc. 1961, 57, 198–203. [Google Scholar] [CrossRef]
- Lines, M.E. Magnetic Properties of CoCl2 and NiCl2. Phys. Rev. 1963, 131, 546–555. [Google Scholar] [CrossRef]
- Figgis, B.N.; Lewis, J.; Mabbs, F.E.; Webb, G.A. The magnetic behaviour of cubic field 3T1g terms. J. Chem. Soc. A 1966, 1411–1421. [Google Scholar] [CrossRef]
- Figgis, B.N.; Lewis, J.; Mabbs, F.E.; Webb, G.A. The magnetic behaviour of cubic field 5T2g terms in lower symmetry. J. Chem. Soc. A 1967, 442–447. [Google Scholar] [CrossRef]
- Sakiyama, H.; Ito, R.; Kumagai, H.; Inoue, K.; Sakamoto, M.; Nishida, Y.; Yamasaki, M. Dinuclear Cobalt(II) Complexes of an Acyclic Phenol-Based Dinucleating Ligand with Four Methoxyethyl Chelating Arms—First Magnetic Analyses in an Axially Distorted Octahedral Field. Eur. J. Inorg. Chem. 2001, 2001, 2027–2032. [Google Scholar] [CrossRef]
- Sakiyama, H.; Adams, H.; Fenton, D.E.; Cummings, L.R.; McHugh, P.E.; Ōkawa, H. Magnetic analyses of isosceles tricobalt(II) complexes containing two types of octahedral high-spin cobalt(II) ions. Open J. Inorg. Chem. 2011, 1, 33–38. [Google Scholar] [CrossRef]
- Sakiyama, H.; Powell, A.K. Magnetic analysis of a tetranuclear octahedral high-spin cobalt(II) complex based on a newly derived magnetic susceptibility equation. Dalton Trans. 2014, 43, 14542–14545. [Google Scholar] [CrossRef] [PubMed]
- Mabbs, F.E.; Machin, D.J. Magnetism and Transition Metal Complexes; Chapman and Hall: London, UK, 1973; pp. 165–167. [Google Scholar]
- Sakiyama, H. Theoretical equations of Zeeman energy levels for distorted metal complexes with 5T2g ground terms. J. Math. Chem. 2018. [Google Scholar] [CrossRef]
- Griffith, J.S. The Theory of Transition-Metal Ions; Cambridge University Press: Cambridge, UK, 1961; pp. 340–374. [Google Scholar]
- Kahn, O. Molecular Magnetism; VCH: New York, NY, USA, 1993; pp. 38–43. [Google Scholar]
- Van Vleck, J.H. Theory of Electric and Magnetic Susceptibilities; Oxford University Press: Oxford, UK, 1932; pp. 181–202. [Google Scholar]
- REAL Software, Inc. 1996–2006. Available online: http://www.realsoftware.com/ (accessed on 25 February 2019).



© 2019 by the author. Licensee MDPI, Basel, Switzerland. This article is an open access article distributed under the terms and conditions of the Creative Commons Attribution (CC BY) license (http://creativecommons.org/licenses/by/4.0/).
Share and Cite
Sakiyama, H. Theoretical Equations of Zeeman Energy Levels for Distorted Metal Complexes with 3T1 Ground Terms. Magnetochemistry 2019, 5, 17. https://doi.org/10.3390/magnetochemistry5010017
Sakiyama H. Theoretical Equations of Zeeman Energy Levels for Distorted Metal Complexes with 3T1 Ground Terms. Magnetochemistry. 2019; 5(1):17. https://doi.org/10.3390/magnetochemistry5010017
Chicago/Turabian StyleSakiyama, Hiroshi. 2019. "Theoretical Equations of Zeeman Energy Levels for Distorted Metal Complexes with 3T1 Ground Terms" Magnetochemistry 5, no. 1: 17. https://doi.org/10.3390/magnetochemistry5010017
APA StyleSakiyama, H. (2019). Theoretical Equations of Zeeman Energy Levels for Distorted Metal Complexes with 3T1 Ground Terms. Magnetochemistry, 5(1), 17. https://doi.org/10.3390/magnetochemistry5010017
