Properties Comparison of Fe3O4 Particles with Different Morphologies as Mimetic Enzyme
Abstract
1. Introduction
2. Materials and Methods
2.1. Materials
2.2. Preparation of Fe3O4 Particles
2.3. Catalytic Activity Studies
2.4. Characterization
3. Results and Discussion
3.1. Component Analysis
3.2. Morphologies of Fe3O4 Particles
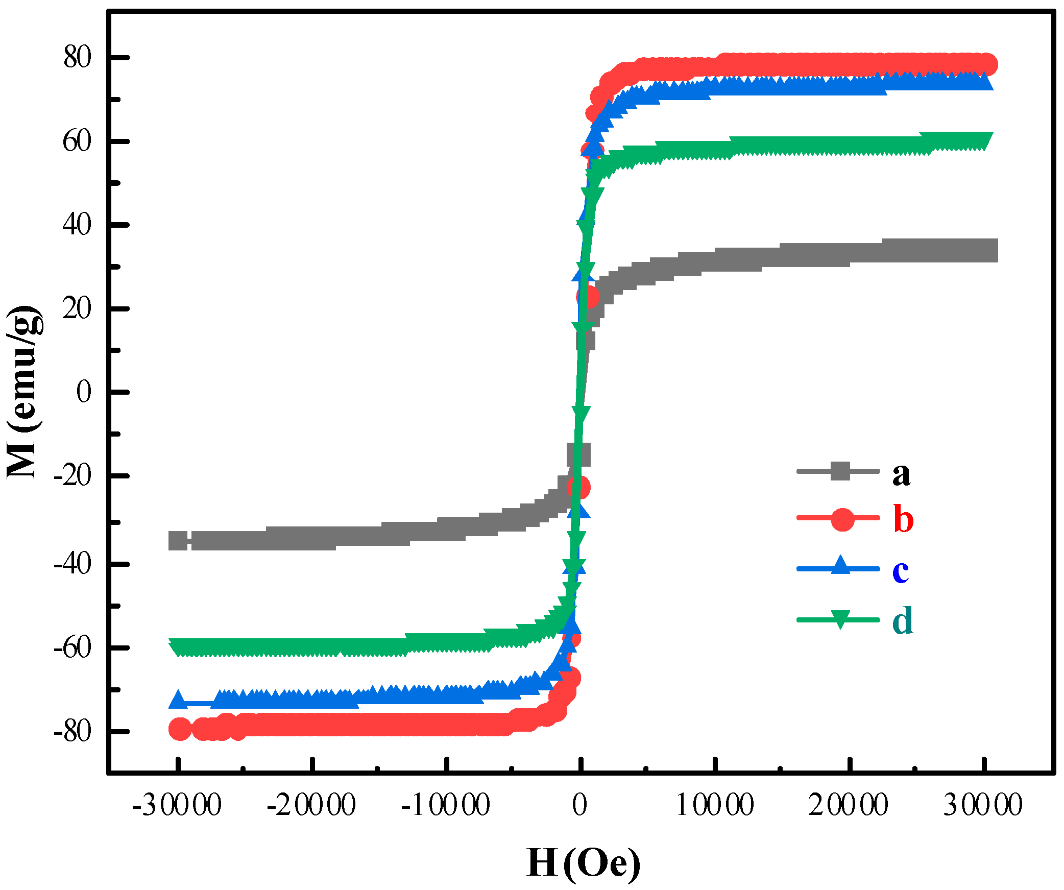
3.3. Magnetic Property Characterization
3.4. Surface Performances of Fe3O4 Particles
3.5. X-Ray Photoelectron Spectroscopy
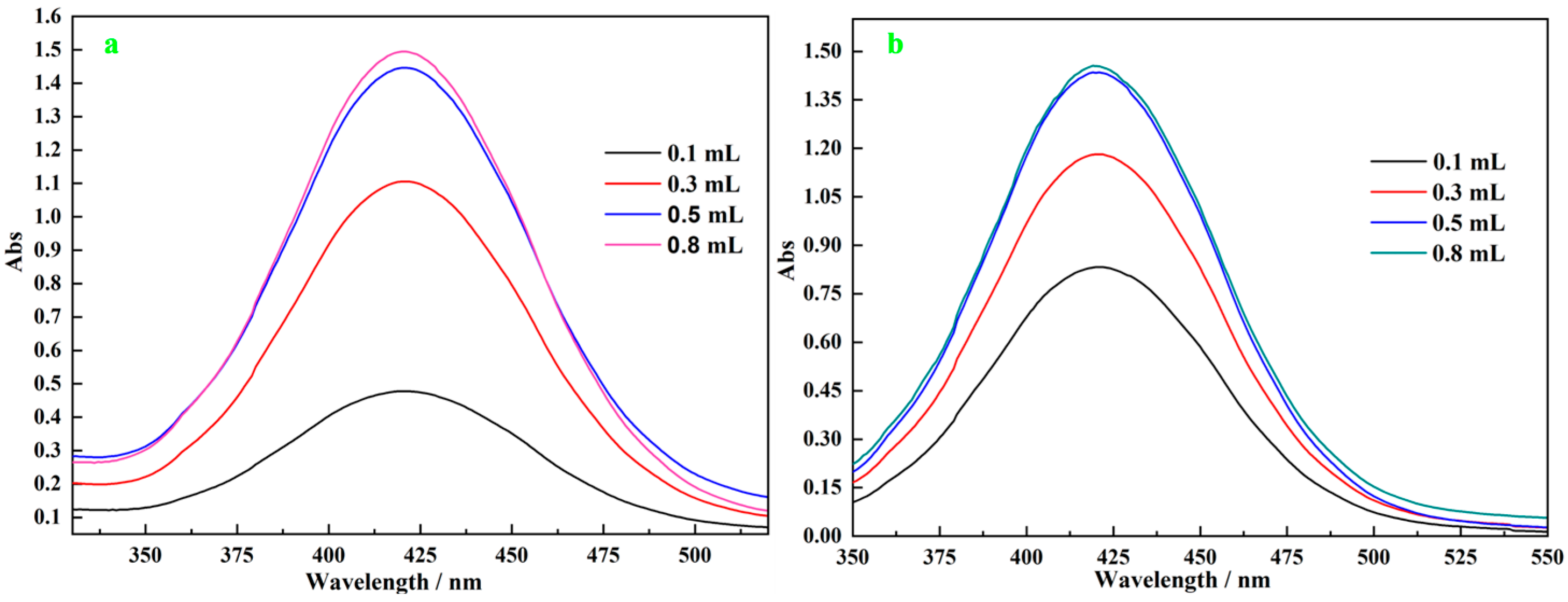
3.6. Comparison of Catalytic Activity
3.7. Catalytic Properties of HO-Fe3O4 Particles
4. Conclusions
Author Contributions
Funding
Data Availability Statement
Acknowledgments
Conflicts of Interest
References
- Zhang, R.; Jiang, B.; Fan, K.; Gao, L.; Yan, X. Designing nanozymes for in vivo applications. Nat. Rev. Bioeng. 2024, 2, 849–868. [Google Scholar] [CrossRef]
- Zhang, J.; Dou, T.; Shen, Y.; Wang, W.; Wang, L.; Wu, X.; Zhang, M.; Wang, D.; Yu, P. Application of nanozymes in problematic biofilm control: Progress, challenges and prospects. Front. Environ. Sci. Eng. 2024, 18, 136. [Google Scholar] [CrossRef]
- Luo, W.; Yuan, R.; Sun, J.; Zhou, L.; Luo, X.; Luo, Y. Metal-Organic Framework-Based Nanozymes for Clinical Applications. Prog. Chem. 2023, 35, 1389–1398. [Google Scholar] [CrossRef]
- Li, S.; Zhang, Y.; Wang, Q.; Lin, A.; Wei, H. Nanozyme-Enabled Analytical Chemistry. Anal. Chem. 2022, 94, 312–323. [Google Scholar] [CrossRef]
- Liu, Q.; Zhang, A.; Wang, R.; Zhang, Q.; Cui, D. A Review on Metal- and Metal Oxide-Based Nanozymes: Properties, Mechanisms, and Applications. Nano-Micro Lett. 2021, 13, 154. [Google Scholar] [CrossRef] [PubMed]
- He, H.; Long, M.; Duan, Y.; Gu, N. Prussian blue nanozymes: Progress, challenges, and opportunities. Nanoscale 2023, 15, 12818–12839. [Google Scholar] [CrossRef] [PubMed]
- Zhang, X.; Li, G.; Wu, D.; Li, X.; Hu, N.; Chen, J.; Chen, G.; Wu, Y. Recent progress in the design fabrication of metal-organic frameworks-based nanozymes and their applications to sensing and cancer therapy. Biosens. Bioelectron. 2019, 137, 178–198. [Google Scholar] [CrossRef]
- Zhang, R.; Yan, X.; Gao, L.; Fan, K. Nanozymes expanding the boundaries of biocatalysis. Nat. Commun. 2025, 16, 6817. [Google Scholar] [CrossRef]
- Zhang, X.; Li, G.; Wu, D.; Zhang, B.; Hu, N.; Wang, H.; Liu, J.; Wu, Y. Recent advances in the construction of functionalized covalent organic frameworks and their applications to sensing. Biosens. Bioelectron. 2019, 145, 111699. [Google Scholar] [CrossRef]
- Wang, Z.; Hu, N.; Yang, L.; Wang, Q.; Liu, C.; Duan, W.; Lin, J.; Zhang, J.; Yu, X.; Huang, C.; et al. Immunotherapy strategy for treating inflammatory bowel disease based on a nanozyme/total glucosides of paeony hybrid materials. Adv. Compos. Hybrid Mater. 2025, 8, 160. [Google Scholar] [CrossRef]
- Ma, L.; Zheng, J.-J.; Zhou, N.; Zhang, R.; Fang, L.; Yang, Y.; Gao, X.; Chen, C.; Yan, X.; Fan, K. A natural biogenic nanozyme for scavenging superoxide radicals. Nat. Commun. 2024, 15, 233. [Google Scholar] [CrossRef]
- Sharma, M.V.; Ibeyaima, A.; Sharmah, B.; Afzal, N.U.; Manna, P. Natural Enzymes and Nanozymes: A Comparative Review of Structure, Mechanism and Kinetics. Top. Catal. 2025. [Google Scholar] [CrossRef]
- Yang, L.; Dong, S.; Gai, S.; Yang, D.; Ding, H.; Feng, L.; Yang, G.; Rehman, Z.; Yang, P. Deep Insight of Design, Mechanism, and Cancer Theranostic Strategy of Nanozymes. Nano-Micro Lett. 2023, 16, 28. [Google Scholar] [CrossRef]
- Wu, F.; Wan, L.; Wang, T.; Tariq, M.R.; Shah, T.; Liu, P.; Zhang, Q.; Zhang, B. Construction of binary assembled MOF-derived nanocages with dual-band microwave absorbing properties. J. Mater. Sci. Technol. 2022, 117, 36–48. [Google Scholar] [CrossRef]
- Wei, M.; Liu, K.; Wang, Y.; Zhang, G.; Liu, Q.; Zhang, Q.; Zhang, B. Hierarchical Magnetic Carbon Nanoflowers for Ultra-Efficient Electromagnetic Wave Absorption. Small 2024, 20, 2402632. [Google Scholar] [CrossRef]
- Rudravarapu, K.; Yarramuthi, V.; Munagapati, V.S.; Gutha, Y.; Wen, J.-C.; Prasad, C.; Pilla, V.A.R.; Gumma, L.; Won, J.S.; Choi, H.Y. Recent progresses in the development of magnetic Fe3O4 nanoparticles supported cellulose-based composites: A review. Inorg. Chem. Commun. 2025, 182, 115588. [Google Scholar] [CrossRef]
- Cui, Y.; Yang, K.; Wang, J.; Shah, T.; Zhang, Q.; Zhang, B. Preparation of pleated RGO/MXene/Fe3O4 microsphere and its absorption properties for electromagnetic wave. Carbon 2021, 172, 1–14. [Google Scholar] [CrossRef]
- Ahmadi, Y.; Ramazani, A.; Mousavi, S.M. Recent advances in Fe3O4@MOF magnetic framework composites: Preparation methods and catalytic performance. J. Organomet. Chem. 2025, 1038, 123753. [Google Scholar] [CrossRef]
- Ahmad, M.; Al-Anazi, M.; Tariq, M.R.; Khan, I.; Zhang, B. Gold recovery through synergetic adsorption and reduction using acid–base additive-reinforced tubular carbon nanofibers. AlChE J. 2024, 70, e18581. [Google Scholar] [CrossRef]
- Almulaiky, Y.Q.; Al-Harbi, S.A. Innovative immobilization of β-glucosidase on amidoximated acrylic fabric integrated with magnetite Fe3O4 nanoparticles. Int. J. Biol. Macromol. 2025, 306, 141172. [Google Scholar] [CrossRef] [PubMed]
- Shah, S.I.A.; Ahmad, W.; Anwar, M.; Shah, R.; Khan, J.A.; Shah, N.S.; Al-Anazi, A.; Han, C. Synthesis, properties, and applications of Fe3O4 and Fe3O4-based nanocomposites: A review. Appl. Catal. O Open 2025, 203, 207049. [Google Scholar] [CrossRef]
- Wang, Q.; Chen, D.; Chen, J.; Lai, C.; Li, L.; Wang, C. Facile synthesis and electrochemical properties of Fe3O4 hexahedra for Li-ion battery anode. Mater. Lett. 2015, 141, 319–322. [Google Scholar] [CrossRef]
- Zeng, X.; Jiang, G.; Zhu, L.; Wang, C.; Chen, M.; Yu, R. Fe3O4 Nanoflower-Carbon Nanotube Composites for Microwave Shielding. ACS Appl. Nano Mater. 2019, 2, 5475–5482. [Google Scholar] [CrossRef]
- Wei, H.; Wang, E. Fe3O4 Magnetic Nanoparticles as Peroxidase Mimetics and Their Applications in H2O2 and Glucose Detection. Anal. Chem. 2008, 80, 2250–2254. [Google Scholar] [CrossRef]
- Zhang, B.; Zhang, H.; Tian, L.; Li, X.; Li, W.; Fan, X.; Ali, N.; Zhang, Q. Magnetic microcapsules with inner asymmetric structure: Controlled preparation, mechanism, and application to drug release. Chem. Eng. J. 2015, 275, 235–244. [Google Scholar] [CrossRef]
- He, H.Y.; Xin, X.D.; Qiu, W.; Li, D.; Liu, Z.C.; Ma, J. Role of nano-Fe3O4 particle on improving membrane bioreactor (MBR) performance: Alleviating membrane fouling and microbial mechanism. Water Res. 2022, 209, 117897. [Google Scholar] [CrossRef]
- Li, H.Y.; Li, X.X.; Wang, Y.; Zheng, D.M.; Tang, J. Adsorption of heavy metal ions from water by Fe3O4 nano-particles. Green Process. Synth. 2025, 14, 20250082. [Google Scholar] [CrossRef]
- Wang, Q.; Zhang, X.; Huang, L.; Zhang, Z.; Dong, S. One-Pot Synthesis of Fe3O4 Nanoparticle Loaded 3D Porous Graphene Nanocomposites with Enhanced Nanozyme Activity for Glucose Detection. ACS Appl. Mat. Interfaces 2017, 9, 7465–7471. [Google Scholar] [CrossRef]










| Samples | BET (m2/g) | Average Pore Size (nm) | Pore Volume (cm3/g) |
|---|---|---|---|
| F-Fe3O4 | 30.19 | 18.16 | 0.1367 |
| S-Fe3O4 | 9.53 | 17.44 | 0.0387 |
| HO-Fe3O4 | 42.60 | 11.16 | 0.1553 |
| HE-Fe3O4 | 12.52 | 26.26 | 0.0346 |
| Sample Information | F-Fe3O4 | S-Fe3O4 | HO-Fe3O4 | HE-Fe3O4 |
|---|---|---|---|---|
| Fe2+/Fe3+ | 46.2% | 52.3% | 51.5% | 50.1% |
Disclaimer/Publisher’s Note: The statements, opinions and data contained in all publications are solely those of the individual author(s) and contributor(s) and not of MDPI and/or the editor(s). MDPI and/or the editor(s) disclaim responsibility for any injury to people or property resulting from any ideas, methods, instructions or products referred to in the content. |
© 2026 by the authors. Licensee MDPI, Basel, Switzerland. This article is an open access article distributed under the terms and conditions of the Creative Commons Attribution (CC BY) license.
Share and Cite
Li, X.; Wei, L.; Li, L.; Suo, J.; Li, S.; Jiang, H. Properties Comparison of Fe3O4 Particles with Different Morphologies as Mimetic Enzyme. Magnetochemistry 2026, 12, 18. https://doi.org/10.3390/magnetochemistry12020018
Li X, Wei L, Li L, Suo J, Li S, Jiang H. Properties Comparison of Fe3O4 Particles with Different Morphologies as Mimetic Enzyme. Magnetochemistry. 2026; 12(2):18. https://doi.org/10.3390/magnetochemistry12020018
Chicago/Turabian StyleLi, Xiaoying, Li Wei, Lianqi Li, Junying Suo, Shuai Li, and Honggang Jiang. 2026. "Properties Comparison of Fe3O4 Particles with Different Morphologies as Mimetic Enzyme" Magnetochemistry 12, no. 2: 18. https://doi.org/10.3390/magnetochemistry12020018
APA StyleLi, X., Wei, L., Li, L., Suo, J., Li, S., & Jiang, H. (2026). Properties Comparison of Fe3O4 Particles with Different Morphologies as Mimetic Enzyme. Magnetochemistry, 12(2), 18. https://doi.org/10.3390/magnetochemistry12020018
