Bipolar Nb3Cl8 Field Effect Transistors
Abstract
1. Introduction
2. Methods
2.1. Manufacture and Testing of FETs
2.2. Ionic Liquid Gating Method
2.3. Raman Spectra
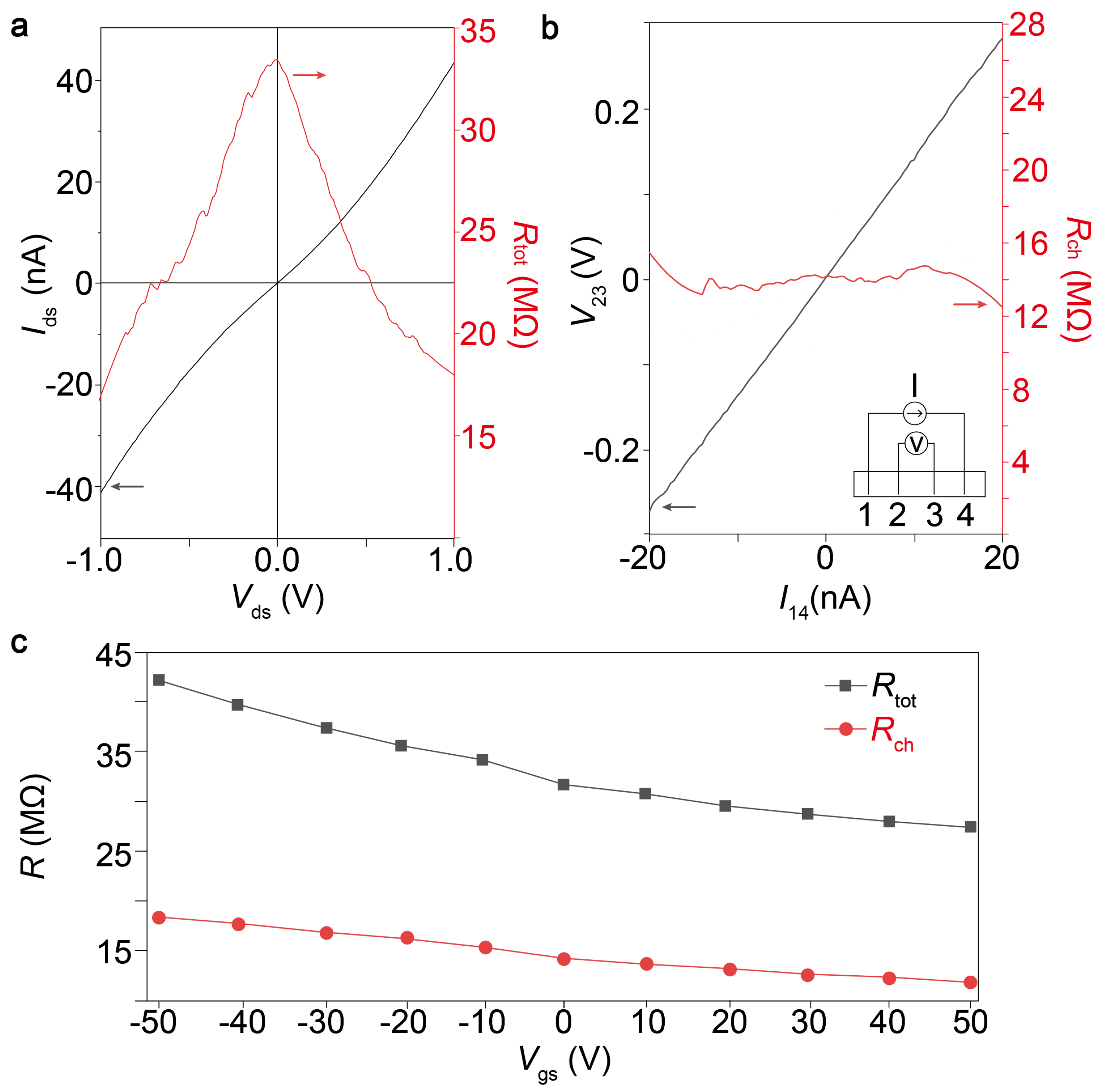
3. Results and Discussion
4. Conclusions
Author Contributions
Funding
Institutional Review Board Statement
Informed Consent Statement
Data Availability Statement
Acknowledgments
Conflicts of Interest
References
- Novoselov, K.S.; Geim, A.K.; Morozov, S.V.; Jiang, D.E.; Zhang, Y.; Dubonos, S.V.; Grigorieva, I.V.; Firsov, A.A. Electric field effect in atomically thin carbon films. Science 2004, 306, 666–669. [Google Scholar] [CrossRef] [PubMed]
- Bolotin, K.I.; Ghahari, F.; Shulman, M.D.; Stormer, H.L.; Kim, P. Observation of the fractional quantum Hall effect in graphene. Nature 2009, 462, 196–199. [Google Scholar] [CrossRef] [PubMed]
- Cao, Y.; Fatemi, V.; Fang, S.; Watanabe, K.; Taniguchi, T.; Kaxiras, E.; Jarillo-Herrero, P. Unconventional superconductivity in magic-angle graphene superlattices. Nature 2018, 556, 43–50. [Google Scholar] [CrossRef] [PubMed]
- Zhou, X.; Huang, X.; Qi, X.; Wu, S.; Xue, C.; Boey, F.Y.; Yan, Q.; Chen, P.; Zhang, H. In situ synthesis of metal nanoparticles on single-layer graphene oxide and reduced graphene oxide surfaces. J. Phys. Chem. C 2009, 113, 10842–10846. [Google Scholar] [CrossRef]
- Bonaccorso, F.; Sun, Z.; Hasan, T.; Ferrari, A.C. Graphene photonics and optoelectronics. Nat. Photonics 2010, 4, 611–622. [Google Scholar] [CrossRef]
- Balandin, A.A.; Ghosh, S.; Bao, W.; Calizo, I.; Teweldebrhan, D.; Miao, F.; Lau, C.N. Superior thermal conductivity of single-layer graphene. Nano Lett. 2008, 8, 902–907. [Google Scholar] [CrossRef] [PubMed]
- Wang, M.; Cai, S.; Pan, C.; Wang, C.; Lian, X.; Zhuo, Y.; Xu, K.; Cao, T.; Pan, X.; Wang, B.; et al. Robust memristors based on layered two-dimensional materials. Nat. Electron. 2018, 1, 130–136. [Google Scholar] [CrossRef]
- Cheng, P.; Sun, K.; Hu, Y.H. Memristive behavior and ideal memristor of 1T phase MoS2 nanosheets. Nano Lett. 2016, 16, 572–576. [Google Scholar] [CrossRef]
- Si, K.; Ma, J.; Lu, C.; Zhou, Y.; He, C.; Yang, D.; Wang, X.; Xu, X. A two-dimensional MoS2/WSe2 van der Waals heterostructure for enhanced photoelectric performance. Appl. Surf. Sci. 2020, 507, 145082. [Google Scholar] [CrossRef]
- Klein, D.R.; MacNeill, D.; Lado, J.L.; Soriano, D.; Navarro-Moratalla, E.; Watanabe, K.; Taniguchi, T.; Manni, S.; Canfield, P.; Fernández-Rossier, J.; et al. Probing magnetism in 2D van der Waals crystalline insulators via electron tunneling. Science 2018, 360, 1218–1222. [Google Scholar] [CrossRef]
- Li, H.; Lu, G.; Wang, Y.; Yin, Z.; Cong, C.; He, Q.; Wang, L.; Ding, F.; Yu, T.; Zhang, H. Mechanical exfoliation and characterization of single-and few-layer nanosheets of WSe2, TaS2, and TaSe2. Small 2013, 9, 1974–1981. [Google Scholar] [CrossRef] [PubMed]
- Cao, Y.; Fatemi, V.; Demir, A.; Fang, S.; Tomarken, S.L.; Luo, J.Y.; Sanchez-Yamagishi, J.D.; Watanabe, K.; Taniguchi, T.; Kaxiras, E.; et al. Correlated insulator behaviour at half-filling in magic-angle graphene superlattices. Nature 2018, 556, 80–84. [Google Scholar] [CrossRef] [PubMed]
- Jiang, T.; Liu, H.; Huang, D.; Zhang, S.; Li, Y.; Gong, X.; Shen, Y.R.; Liu, W.T.; Wu, S. Valley and band structure engineering of folded MoS2 bilayers. Nat. Nanotechnol. 2014, 9, 825–829. [Google Scholar] [CrossRef] [PubMed]
- Li, H.; Wu, J.; Yin, Z.; Zhang, H. Preparation and applications of mechanically exfoliated single-layer and multilayer MoS2 and WSe2 nanosheets. Accounts Chem. Res. 2014, 47, 1067–1075. [Google Scholar] [CrossRef] [PubMed]
- Liu, W.; Kang, J.; Sarkar, D.; Khatami, Y.; Jena, D.; Banerjee, K. Role of metal contacts in designing high-performance monolayer n-type WSe2 field effect transistors. Nano Lett. 2013, 13, 1983–1990. [Google Scholar] [CrossRef] [PubMed]
- McGuire, M.A.; Clark, G.; Santosh, K.; Chance, W.M.; Jellison, G.E., Jr.; Cooper, V.R.; Xu, X.; Sales, B.C. Magnetic behavior and spin-lattice coupling in cleavable van der Waals layered CrCl3 crystals. Phys. Rev. Mater. 2017, 1, 014001. [Google Scholar] [CrossRef]
- Oh, S.; Choi, K.H.; Chae, S.; Kim, B.J.; Jeong, B.J.; Lee, S.H.; Jeon, J.; Kim, Y.; Nanda, S.S.; Shi, L.; et al. Large-area synthesis of van der Waals two-dimensional material Nb3I8 and its infrared detection applications. J. Alloys Compd. 2020, 831, 154877. [Google Scholar] [CrossRef]
- Huang, B.; Clark, G.; Navarro-Moratalla, E.; Klein, D.R.; Cheng, R.; Seyler, K.L.; Zhong, D.; Schmidgall, E.; McGuire, M.A.; Cobden, D.H.; et al. Layer-dependent ferromagnetism in a van der Waals crystal down to the monolayer limit. Nature 2017, 546, 270–273. [Google Scholar] [CrossRef]
- Wang, H.; Eyert, V.; Schwingenschlögl, U. Electronic structure and magnetic ordering of the semiconducting chromium trihalides CrCl3, CrBr3, and CrI3. J. Phys. Condens. Matter 2011, 23, 116003. [Google Scholar] [CrossRef]
- Jiang, J.; Liang, Q.; Meng, R.; Yang, Q.; Tan, C.; Sun, X.; Chen, X. Exploration of new ferromagnetic, semiconducting and biocompatible Nb3X8 (X= Cl, Br or I) monolayers with considerable visible and infrared light absorption. Nanoscale 2017, 9, 2992–3001. [Google Scholar] [CrossRef]
- Sun, Z.; Zhou, H.; Wang, C.; Kumar, S.; Geng, D.; Yue, S.; Han, X.; Haraguchi, Y.; Shimada, K.; Cheng, P.; et al. Observation of topological flat bands in the kagome semiconductor Nb3Cl8. Nano Lett. 2022, 22, 4596–4602. [Google Scholar] [CrossRef]
- Liu, B.; Zhang, Y.; Han, X.; Sun, J.; Zhou, H.; Li, C.; Cheng, J.; Yan, S.; Lei, H.; Shi, Y.; et al. Possible quantum-spin-liquid state in van der Waals cluster magnet Nb3Cl8. J. Phys. Condens. Matter 2024, 36, 155602. [Google Scholar] [CrossRef]
- Yoon, J.; Lesne, E.; Sklarek, K.; Sheckelton, J.; Pasco, C.; Parkin, S.S.; McQueen, T.M.; Ali, M.N. Anomalous thickness-dependent electrical conductivity in van der Waals layered transition metal halide, Nb3Cl8. J. Phys. Condens. Matter 2020, 32, 304004. [Google Scholar] [CrossRef]
- Chen, J.G.; Cao, G.M.; Liu, Q.; Meng, P.; Liu, Z.; Liu, F.C. Two-dimensional Nb3Cl8 memristor based on desorption and adsorption of O2 molecules. Rare Met. 2022, 41, 325–332. [Google Scholar] [CrossRef]
- Yang, K.; Gao, X.; Wang, Y.; Zhang, T.; Gao, Y.; Lu, X.; Zhang, S.; Liu, J.; Gu, P.; Luo, Z.; et al. Unconventional correlated insulator in CrOCl-interfaced Bernal bilayer graphene. Nat. Commun. 2023, 14, 2136. [Google Scholar] [CrossRef] [PubMed]
- Ye, J.; Inoue, S.; Kobayashi, K.; Kasahara, Y.; Yuan, H.; Shimotani, H.; Iwasa, Y. Liquid-gated interface superconductivity on an atomically flat film. Nat. Mater. 2010, 9, 125–128. [Google Scholar] [CrossRef]
- Yuan, H.; Shimotani, H.; Ye, J.; Yoon, S.; Aliah, H.; Tsukazaki, A.; Kawasaki, M.; Iwasa, Y. Electrostatic and electrochemical nature of liquid-gated electric-double-layer transistors based on oxide semiconductors. J. Am. Chem. Soc. 2010, 132, 18402–18407. [Google Scholar] [CrossRef]
- Wang, Z.; Zhang, T.; Ding, M.; Dong, B.; Li, Y.; Chen, M.; Li, X.; Huang, J.; Wang, H.; Zhao, X.; et al. Electric-field control of magnetism in a few-layered van der Waals ferromagnetic semiconductor. Nat. Nanotechnol. 2018, 13, 554–559. [Google Scholar] [CrossRef] [PubMed]
- Fujimoto, T.; Awaga, K. Electric-double-layer field-effect transistors with ionic liquids. Phys. Chem. Chem. Phys. 2013, 15, 8983–9006. [Google Scholar] [CrossRef]




Disclaimer/Publisher’s Note: The statements, opinions and data contained in all publications are solely those of the individual author(s) and contributor(s) and not of MDPI and/or the editor(s). MDPI and/or the editor(s) disclaim responsibility for any injury to people or property resulting from any ideas, methods, instructions or products referred to in the content. |
© 2024 by the authors. Licensee MDPI, Basel, Switzerland. This article is an open access article distributed under the terms and conditions of the Creative Commons Attribution (CC BY) license (https://creativecommons.org/licenses/by/4.0/).
Share and Cite
Lu, Y.; Zhao, K.; Zhang, T.; Dong, B. Bipolar Nb3Cl8 Field Effect Transistors. Magnetochemistry 2024, 10, 43. https://doi.org/10.3390/magnetochemistry10060043
Lu Y, Zhao K, Zhang T, Dong B. Bipolar Nb3Cl8 Field Effect Transistors. Magnetochemistry. 2024; 10(6):43. https://doi.org/10.3390/magnetochemistry10060043
Chicago/Turabian StyleLu, Yixiang, Kai Zhao, Tongyao Zhang, and Baojuan Dong. 2024. "Bipolar Nb3Cl8 Field Effect Transistors" Magnetochemistry 10, no. 6: 43. https://doi.org/10.3390/magnetochemistry10060043
APA StyleLu, Y., Zhao, K., Zhang, T., & Dong, B. (2024). Bipolar Nb3Cl8 Field Effect Transistors. Magnetochemistry, 10(6), 43. https://doi.org/10.3390/magnetochemistry10060043

