Genome-Wide Resequencing Reveals Genetic Relationships between Main Gardenia jasminoides Ellis Cultivars
Abstract
1. Introduction
2. Materials and Methods
2.1. Methods
2.2. DNA Extraction and Genome Sequencing
2.2.1. DNA Extraction and Database Establishment
2.2.2. Sequencing
2.3. Resequencing Data Analysis
3. Results and Analysis
3.1. Quality of Genome Resequencing Data from 19 Samples of G. jasminoides and Comparison with the Reference Genome
3.2. InDel Site and SNP Site of G. jasminoides
3.3. InDel Annotation and SNP Annotation of G. jasminoides Samples
3.4. Population Genetic Structure of G. jasminoides Samples
3.5. The Construction of the Phylogenetic Tree of G. jasminoides
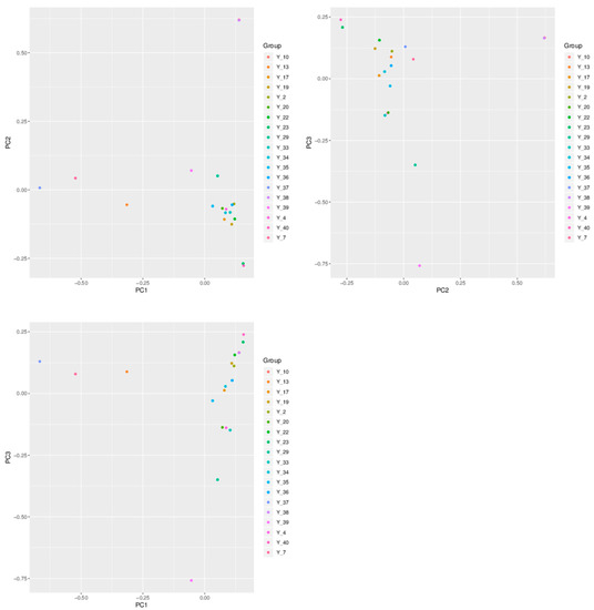
3.6. The Principal Component Analysis (PCA) of the Population of G. jasminoides
4. Discussion
Author Contributions
Funding
Data Availability Statement
Conflicts of Interest
References
- Chen, T.; Taylor, C.M. Gardenia. In Flora of China; Wu, Z.Y., Raven, P.H., Hong, D.Y., Eds.; Science Press: Beijing, China; Botanical Garden Press: St. Louis, MO, USA, 2011; Volume 19, pp. 141–144. [Google Scholar]
- Ye, X.E.; Xis, N.H. Gardenia reflexisepala (Rubiaceae), a New Species from Hainan Province, China with Typification of G. angkorensis and G. cambodiana. Phytotaxa 2016, 257, 193–197. [Google Scholar] [CrossRef]
- Chen, Y.L. Study on Resources Survey of Gardenia and Herbalism of Gardenia jasminoides J. Ellis. Master’s Thesis, Peking Union Medical College, Beijing, China, 2018. [Google Scholar]
- Yu, X.S.; Zhou, Q. Aesthetic Culture of Gardenia Flower in China. J. Beijing For. Univ. (Soc. Sci.) 2010, 9, 6–12. [Google Scholar]
- National Pharmacopoeia Committee. Pharmacopoeia of the People’s Republic of China, 1st ed.; China Medical Science Press: Beijing, China, 2020; pp. 259–260. [Google Scholar]
- Ni, H.Y.; Zhang, Z.H.; Fu, H.Z. Research and development of Fructus Gardeniae. China J. Chin. Mater. Med. 2006, 31, 538–541. [Google Scholar]
- Li, X.Y.; Wu, M.; Wang, S.Z.; Liu, L.T. Pharmacological effects of Gardenia jasminoside Ellis on cardiovascular system. Chin. J. Integr. Tradit. West. Med. 2022, 42, 373–378. [Google Scholar]
- Deng, S.Y.; Zhu, P.L.; Wang, X.R. Cultivar classification of Gardenia plants. South China For. Sci. 2018, 46, 13–18. [Google Scholar]
- Deng, S.R.; Yang, H.; Zhu, P.L.; Chen, Y.J.; Li, T.; Li, K.Q. Numerical Taxonomy of Cultivars and Their Related Wild Species in the Genus Gardenia. Acta Agric. Univ. Jiangxiensis 2020, 42, 92–100. [Google Scholar]
- Deng, S.Y.; Li, K.Q.; Jia, Q.Q.; Chen, Y.J.; Zhu, P.L.; Yang, C.X. ITS2 sequence analysis of cultivars and their related wild species in Gardenia genus. Acta Agric. Univ. Jiangxiensis 2021, 43, 1140–1148. [Google Scholar]
- Xie, Z.W. Research on variety and quality evaluation of Gardenia jasminoides Ellis. J. Chin. Med. Mater. 1991, 14, 45–46. [Google Scholar]
- Zhou, H.C.; Zhang, X.C.; Luo, J.; Yu, H.M.; Hu, K.Z. Comprehensive Evaluation of Gardenia jasminoides Ellis Variety Resources. China J. Chin. Mater. Med. 1998, 23, 141. [Google Scholar]
- Cao, L.; Liu, D.W.; Dai, Z.X. Investigation and Analysis of Gardenia jasminoides Ellis Resources in Jiangxi Province. Li Shi Zhen Med. Mater. Madica Res. 2008, 2, 288–290. [Google Scholar]
- Deng, S.Y.; Wang, X.R.; Zhu, P.L.; Wen, Q.; Yang, C.X. Development of polymorphic microsatellite markers in the medicinal plant Gardenia jasminoides (Rubiaceae). Biochem. Syst. Ecol. 2015, 58, 149–155. [Google Scholar] [CrossRef]
- Deng, S.Y.; Zhu, P.L.; Li, K.Q.; Chen, Y.J.; Zhu, P.L.; Wang, X.R.; Li, T.; Tang, S. Genetic relationship analysis and fingerprint construction of Gardenia jasminoides cultivars based on EST-SSR markers. Chin. Tradit. Herb. Drugs 2022, 53, 2795–2802. [Google Scholar]
- Xu, Z.C.; Pu, X.D.; Gao, R.R.; Demurtas, O.C.; Fleck, S.J.; Richter, M.; He, C.; Ji, A.; Sun, W.; Kong, J.; et al. Tandem gene duplications drive divergent evolution of caffeine and crocin biosynthetic pathways in plants. BMC Biol. 2020, 18, 63. [Google Scholar] [CrossRef]
- Zhang, M.; Chen, W.D.; Li, Y.Y.; Zhang, C.; Chai, Z.-H.; Li, Y.-F.; Xie, S.-W.; Deng, S.-Y.; Duan, Y.-F.; Wang, X.-R. Complete chloroplast genome of a wild-type Gardenia jasminoides ellis (rubiaceae) adapted to island climate. Mitochondrial DNA Part B 2021, 6, 313–314. [Google Scholar] [CrossRef] [PubMed]
- Shen, T.F.; Zheng, Y.J.; Liu, Q.; Chen, C.H.; Huang, L.L.; Deng, S.Y.; Xu, M.; Yang, C.X. Integrated SMRT and Illumina Sequencing Provide New Insights into Crocin Biosynthesis of Gardenia jasminoides. Int. J. Mol. Sci. 2022, 23, 6321. [Google Scholar] [CrossRef] [PubMed]
- Ley, T.J.; Mardis, E.R.; Li, D.; Fulton, B.; Wilson, R.K. DNA sequencing of a cytogenetically normal acute myeloid leukaemia genome. Nature 2018, 456, 66–72. [Google Scholar] [CrossRef] [PubMed]
- Hu, M.; Yao, S.L.; Cheng, X.H.; Liu, Y.Y.; Ma, L.X.; Xiang, Y.; Huang, J.Y.; Tong, C.B.; Liu, S.Y. Genomic variation of spring, semi-winter and winter Brassica napus by high-depth DNA re-sequencing. Chin. J. Oil Crop Sci. 2018, 40, 469–478. [Google Scholar]
- Chen, X.; Guo, R.; Wang, L.; Liu, Y.H.; Guo, M.B.; Xu, Y.P.; Guo, H.Y.; Yang, M.; Zhang, Q.Y. SNP analysis of wild cultivation cannabis based on whole genome resequencing. Mol. Plant Breed. 2018, 16, 893–897. [Google Scholar]
- Fan, W. Population Genetic Analysis of Castor (Ricinus communis) Based on Whole Genome Resequencing. Ph.D. Thesis, Chinese Academy of Agricultural Sciences, Beijing, China, 2020. [Google Scholar]
- Yin, M.H.; Wang, Q.; Zhang, H.L.; Cai, X.H.; Xu, C.Q.; Chen, F.L.; Liu, S.Y.; Zhang, Q.W.; Cai, H.; Chen, R.H. Whole genome re-sequencing analysis of alpine potato and local farm potato in Huaiyu Mountain under high altitude habitats. Genom. Appl. Biol. 2020, 39, 1198–1207. [Google Scholar]
- Shen, Y.Y.; Jin, Q.L.; Cai, W.M.; Fan, L.J.; Feng, W.L.; Song, T.T. Analyses of population diversity and structure of Flammulina filiformis strains based on whole genome resequencing data. Mycosystema 2020, 39, 1016–1028. [Google Scholar]
- Du, H.D.; You, X.; Li, Y.F.; Wang, S.; Mao, X.J.; Zhang, N. Genomic variation detection analysis of 3 self-pruning Tomato Lines Based on Resequencing. Mol. Plant Breed. 2022, 20, 756–764. [Google Scholar] [CrossRef]
- Chen, S.; Zhou, Y.; Chen, Y.; Gu, J. fastp: An ultra-fast all-in-one FASTQ preprocessor. Bioinformatics 2018, 34, 884–890. [Google Scholar] [CrossRef] [PubMed]
- Li, H. Aligning sequence reads, clone sequences and assembly contigs with BWA-MEM. arXiv 2013, arXiv:13033997. [Google Scholar]
- Mckenna, A.; Hanna, M.; Banks, E.; Sivachenko, A.; Cibulskis, K.; Kernytsky, A.; Garimella, K.; Altshuler, D.; Gabriel, S.; Daly, M. The genome analysis toolkit: A mapreduce framework for analyzing next-generation DNA sequencing data. Genome Res. 2010, 20, 1297–1303. [Google Scholar] [CrossRef]
- Yang, H.; Wang, K. Genomic variant annotation and prioritization with ANNOVAR and wANNOVAR. Nat. Protoc. Erecipes Res. 2015, 10, 1556–1566. [Google Scholar] [CrossRef]
- Nguyen, L.T.; Schmidt, H.A.; Haeseler, A.; Minh, B.Q. IQ-TREE: A fast and effective stochastic algorithm for estimating maximum-likelihood phylogenies. Mol. Biol. Evol. 2014, 32, 268–274. [Google Scholar] [CrossRef]





| No. | Cultivar Names | Origin |
|---|---|---|
| Y_2 | G. jasminoides ‘Hehua’ | Jiangxi Ganzhou |
| Y_4 | G. jasminoides ‘Grandiflora’ | Sichuan Chongqing |
| Y_7 | G. jasminoides ‘Xiao Baichan’ | Jiangxi Ganzhou |
| Y_10 | G. jasminoides ‘Radicans’ | Jiangxi Nanchang |
| Y_13 | G. jasminoides ‘Longicarpa’ | Guangxi Jinxiu |
| Y_17 | G. jasminoides ‘Fortuneana’ | Jiangxi Nanchang |
| Y_19 | G. jasminoides ‘Variegata’ | Jiangxi Nanchang |
| Y_20 | G. jasminoides ‘Chrysanthemum’ | Jiangxi Nanchang |
| Y_22 | G. jasminoides ‘Fenguan 1′ | Fujian Fuding |
| Y_23 | G. jasminoides ‘Jinfu Shuizhi’ | Zhejiang Anji |
| Y_29 | G. jasminoides | Jiangxi Nanchang |
| Y_33 | G. jasminoides ‘Yinzhan’ | Jiangxi Nanchang |
| Y_34 | G. jasminoides ‘Zongheng’ | Jiangxi Nanchang |
| Y_35 | G. jasminoides ‘Yuanye’ | Jiangxi Nanchang |
| Y_36 | G. jasminoides ‘Xiangxue’ | Zhejiang Shengzhou |
| Y_37 | G. jasminoides ‘Ranye’ | Hunan Chenzhou |
| Y_38 | G. jasminoides ‘Albomarginata’ | Hunan Chenzhou |
| Y_39 | G. stenophylla | Guangxi Shangsi |
| Y_40 | G. jasminoides ‘Yuanbao’ | Jiangxi Nanchang |
| Sample | Total Reads | Mapped Reads | Map Rate | Depth |
|---|---|---|---|---|
| Y_2 | 105,596,481 | 96,592,799 | 91.47% | 25.37 |
| Y_4 | 101,217,821 | 98,605,436 | 97.42% | 26.26 |
| Y_7 | 105,750,781 | 102,054,975 | 96.51% | 26.83 |
| Y_10 | 106,458,216 | 102,010,351 | 95.82% | 27.16 |
| Y_13 | 109,062,736 | 106,190,645 | 97.37% | 27.97 |
| Y_17 | 106,512,424 | 104,695,583 | 98.29% | 27.93 |
| Y_19 | 106,523,616 | 100,518,465 | 94.36% | 26.48 |
| Y_20 | 107,973,692 | 103,292,568 | 95.66% | 27.15 |
| Y_22 | 100,501,420 | 96,158,590 | 95.68% | 25.6 |
| Y_23 | 108,586,915 | 104,984,470 | 96.68% | 27.73 |
| Y_29 | 107,167,950 | 104,453,740 | 97.47% | 27.56 |
| Y_33 | 105,326,872 | 103,145,335 | 97.93% | 27.46 |
| Y_34 | 113,620,470 | 111,162,883 | 97.84% | 29.18 |
| Y_35 | 107,515,057 | 104,407,978 | 97.11% | 27.6 |
| Y_36 | 106,107,648 | 103,809,911 | 97.83% | 27.57 |
| Y_37 | 101,826,775 | 95,543,687 | 93.83% | 25.04 |
| Y_38 | 108,285,156 | 105,925,938 | 97.82% | 28.12 |
| Y_39 | 103,841,142 | 94,325,355 | 90.84% | 24.86 |
| Y_40 | 117,006,775 | 114,367,172 | 97.74% | 30.23 |
| Sample | Raw Reads | Raw Data Bases | Clean Reads | Clean Data Bases | Clean Data Q20 (%) | Clean Data Q30 (%) | Clean Data GC (%) |
|---|---|---|---|---|---|---|---|
| Y_2 | 104,766,778 | 15,715,016,700 | 103,844,236 | 15,571,238,801 | 97.2942 | 92.3132 | 36.5976 |
| Y_4 | 100,284,624 | 15,042,693,600 | 99,479,274 | 14,918,507,842 | 97.5184 | 92.7602 | 36.9725 |
| Y_7 | 104,288,604 | 15,643,290,600 | 103,437,202 | 15,511,718,995 | 97.3432 | 92.4252 | 36.9655 |
| Y_10 | 105,574,806 | 15,836,220,900 | 104,444,590 | 15,663,891,662 | 97.0138 | 91.5168 | 36.7306 |
| Y_13 | 107,667,926 | 16,150,188,900 | 106,773,716 | 16,012,260,004 | 97.4158 | 92.3666 | 36.8606 |
| Y_17 | 105,417,386 | 15,812,607,900 | 104,642,230 | 15,691,175,041 | 97.6076 | 92.9364 | 36.846 |
| Y_19 | 105,379,038 | 15,806,855,700 | 104,464,210 | 15,665,126,295 | 97.3311 | 92.2127 | 37.4898 |
| Y_20 | 106,834,198 | 16,025,129,700 | 105,972,702 | 15,892,031,774 | 97.4486 | 92.5993 | 37.3449 |
| Y_22 | 99,694,304 | 14,954,145,600 | 98,716,252 | 14,803,722,258 | 97.0766 | 91.8422 | 36.8508 |
| Y_23 | 107,562,908 | 16,134,436,200 | 106,504,612 | 15,972,466,344 | 97.1726 | 91.9723 | 37.1265 |
| Y_29 | 105,807,138 | 15,871,070,700 | 105,020,410 | 15,748,709,809 | 96.8783 | 91.1877 | 36.977 |
| Y_33 | 104,159,382 | 15,623,907,300 | 103,383,162 | 15,503,602,703 | 97.5407 | 92.7427 | 36.6882 |
| Y_34 | 112,314,170 | 16,847,125,500 | 111,452,850 | 16,712,594,029 | 97.5652 | 92.748 | 37.271 |
| Y_35 | 106,181,248 | 15,927,187,200 | 105,315,842 | 15,794,010,405 | 97.4682 | 92.5616 | 36.6638 |
| Y_36 | 105,071,900 | 15,760,785,000 | 104,059,074 | 15,605,273,052 | 97.2468 | 92.2791 | 36.4943 |
| Y_37 | 100,583,990 | 15,087,598,500 | 99,502,286 | 14,922,554,618 | 97.0624 | 91.8679 | 37.5747 |
| Y_38 | 107,076,298 | 16,061,444,700 | 106,128,316 | 15,916,032,960 | 97.2595 | 92.1902 | 36.539 |
| Y_39 | 102,724,070 | 15,408,610,500 | 101,780,936 | 15,263,588,273 | 97.2868 | 92.3928 | 38.6095 |
| Y_40 | 115,852,754 | 17,377,913,100 | 114,833,892 | 17,220,086,903 | 97.308 | 92.3968 | 36.8944 |
| Sample | inDel | SNP | ||||||||||
|---|---|---|---|---|---|---|---|---|---|---|---|---|
| Ref | Alt (Homo) | Het | Miss | Total | Het-Ratio (%) | Ref | Alt (Homo) | Het | Miss | Total | Het-Ratio (%) | |
| Y_2 | 968,377 | 166,940 | 292,767 | 89,182 | 381,949 | 63.69 | 8,645,929 | 1,364,587 | 2,522,950 | 565,227 | 3,088,177 | 64.90 |
| Y_4 | 961,937 | 50,148 | 471,006 | 34,175 | 505,181 | 90.38 | 8,507,660 | 326,582 | 4,138,168 | 126,283 | 4,264,451 | 92.69 |
| Y_7 | 827,058 | 210,842 | 359,887 | 119,479 | 479,366 | 63.06 | 7,161,063 | 1,999,799 | 3,150,651 | 787,180 | 3,937,831 | 61.17 |
| Y_10 | 897,743 | 167,534 | 363,604 | 88,385 | 451,989 | 68.46 | 7,976,193 | 1,458,129 | 3,129,161 | 535,210 | 3,664,371 | 68.21 |
| Y_13 | 859,509 | 162,858 | 407,697 | 87,202 | 494,899 | 71.46 | 7,538,318 | 1,514,630 | 3,523,949 | 521,796 | 4,045,745 | 69.94 |
| Y_17 | 989,056 | 133,451 | 320,607 | 74,152 | 394,759 | 70.61 | 8,814,944 | 1,054,951 | 2,792,870 | 435,928 | 3,228,798 | 72.58 |
| Y_19 | 959,677 | 207,689 | 243,788 | 106,112 | 349,900 | 54.00 | 8,527,054 | 1,776,246 | 2,113,135 | 682,258 | 2,795,393 | 54.33 |
| Y_20 | 966,179 | 149,165 | 323,075 | 78,847 | 401,922 | 68.41 | 8,551,852 | 1,241,956 | 2,854,708 | 450,177 | 3,304,885 | 69.68 |
| Y_22 | 960,848 | 189,916 | 267,897 | 98,605 | 366,502 | 58.52 | 8,571,449 | 1,617,125 | 2,281,939 | 628,180 | 2,910,119 | 58.53 |
| Y_23 | 977,376 | 215,789 | 206,526 | 117,575 | 324,101 | 48.90 | 8,632,259 | 1,782,127 | 1,857,746 | 826,561 | 2,684,307 | 51.04 |
| Y_29 | 951,393 | 199,188 | 253,175 | 113,510 | 366,685 | 55.97 | 8,324,675 | 1,815,923 | 2,233,593 | 724,502 | 2,958,095 | 55.16 |
| Y_33 | 959,593 | 172,150 | 288,054 | 97,469 | 385,523 | 62.59 | 8,541,087 | 1,496,052 | 2,450,649 | 610,905 | 3,061,554 | 62.09 |
| Y_34 | 968,605 | 169,365 | 295,428 | 83,868 | 379,296 | 63.56 | 8,572,703 | 1,441,721 | 2,575,470 | 508,799 | 3,084,269 | 64.11 |
| Y_35 | 943,637 | 195,582 | 271,056 | 106,991 | 378,047 | 58.09 | 8,287,763 | 1,773,989 | 2,345,404 | 691,537 | 3,036,941 | 56.94 |
| Y_36 | 955,703 | 189,632 | 277,934 | 93,997 | 371,931 | 59.44 | 8,472,819 | 1,626,685 | 2,407,683 | 591,506 | 2,999,189 | 59.68 |
| Y_37 | 831,256 | 242,998 | 295,607 | 147,405 | 443,012 | 54.88 | 7,182,956 | 2,308,285 | 2,534,193 | 1,073,259 | 3,607,452 | 52.33 |
| Y_38 | 900,524 | 165,563 | 366,952 | 84,227 | 451,179 | 68.91 | 7,996,491 | 1,436,066 | 3,158,462 | 507,674 | 3,666,136 | 68.74 |
| Y_39 | 951,825 | 213,640 | 224,748 | 127,053 | 351,801 | 51.27 | 8,380,993 | 1,911,871 | 2,022,263 | 783,566 | 2,805,829 | 51.40 |
| Y_40 | 991,248 | 235,861 | 167,512 | 122,645 | 290,157 | 41.53 | 8,803,606 | 1,903,034 | 1,547,967 | 844,086 | 2,392,053 | 44.86 |
| Total | 7,568,199 | 61,535,595 | ||||||||||
| Feature | SNP | inDel | ||
|---|---|---|---|---|
| Number | Ratio (%) | Number | Ratio (%) | |
| Intergenic | 6,574,417 | 67.2360 | 890,740 | 62.6415 |
| Intronic | 1,305,200 | 13.3482 | 224,165 | 15.7645 |
| Upstream | 670,522 | 6.8574 | 140,251 | 9.8632 |
| Exonic | 528,512 | 5.4050 | 29,624 | 2.0833 |
| Downstream | 622,523 | 6.3665 | 121,929 | 8.5747 |
| upstream; downstream | 70,239 | 0.7183 | 14,026 | 0.9864 |
| splicing | 3207 | 0.0328 | 711 | 0.0500 |
| UTR5 | 2221 | 0.0227 | 376 | 0.0264 |
| UTR3 | 1267 | 0.0130 | 143 | 0.0101 |
| exonic; splicing | 7 | 0.0001 | ||
| Total | 9,778,115 | 1,421,965 | ||
Disclaimer/Publisher’s Note: The statements, opinions and data contained in all publications are solely those of the individual author(s) and contributor(s) and not of MDPI and/or the editor(s). MDPI and/or the editor(s) disclaim responsibility for any injury to people or property resulting from any ideas, methods, instructions or products referred to in the content. |
© 2023 by the authors. Licensee MDPI, Basel, Switzerland. This article is an open access article distributed under the terms and conditions of the Creative Commons Attribution (CC BY) license (https://creativecommons.org/licenses/by/4.0/).
Share and Cite
Li, K.; Gao, L.; Yang, X.; Wang, M.; Feng, X.; Deng, S. Genome-Wide Resequencing Reveals Genetic Relationships between Main Gardenia jasminoides Ellis Cultivars. Horticulturae 2023, 9, 754. https://doi.org/10.3390/horticulturae9070754
Li K, Gao L, Yang X, Wang M, Feng X, Deng S. Genome-Wide Resequencing Reveals Genetic Relationships between Main Gardenia jasminoides Ellis Cultivars. Horticulturae. 2023; 9(7):754. https://doi.org/10.3390/horticulturae9070754
Chicago/Turabian StyleLi, Kangqin, Liqin Gao, Xiaoli Yang, Meixia Wang, Xiaotao Feng, and Shaoyong Deng. 2023. "Genome-Wide Resequencing Reveals Genetic Relationships between Main Gardenia jasminoides Ellis Cultivars" Horticulturae 9, no. 7: 754. https://doi.org/10.3390/horticulturae9070754
APA StyleLi, K., Gao, L., Yang, X., Wang, M., Feng, X., & Deng, S. (2023). Genome-Wide Resequencing Reveals Genetic Relationships between Main Gardenia jasminoides Ellis Cultivars. Horticulturae, 9(7), 754. https://doi.org/10.3390/horticulturae9070754
