Relationship between Flower Color and Cellular Physicochemical Factors in Bletilla striata
Abstract
1. Introduction
2. Materials and Methods
2.1. Plant Materials
2.2. Methods
2.2.1. Colorimetric Analysis
2.2.2. Epidermal Cell Shape Measurements
2.2.3. Quantification of Total Flavonoids
2.2.4. Determination of Total Anthocyanidin
2.2.5. pH Measurement
2.2.6. Determination of Metal Ions
2.2.7. Correlation between Colorimetric Values and Physicochemical Factors
3. Results
3.1. Measurement of Colorimetric Values of 21 Bletilla Varieties
3.2. Cell Shape Measurements
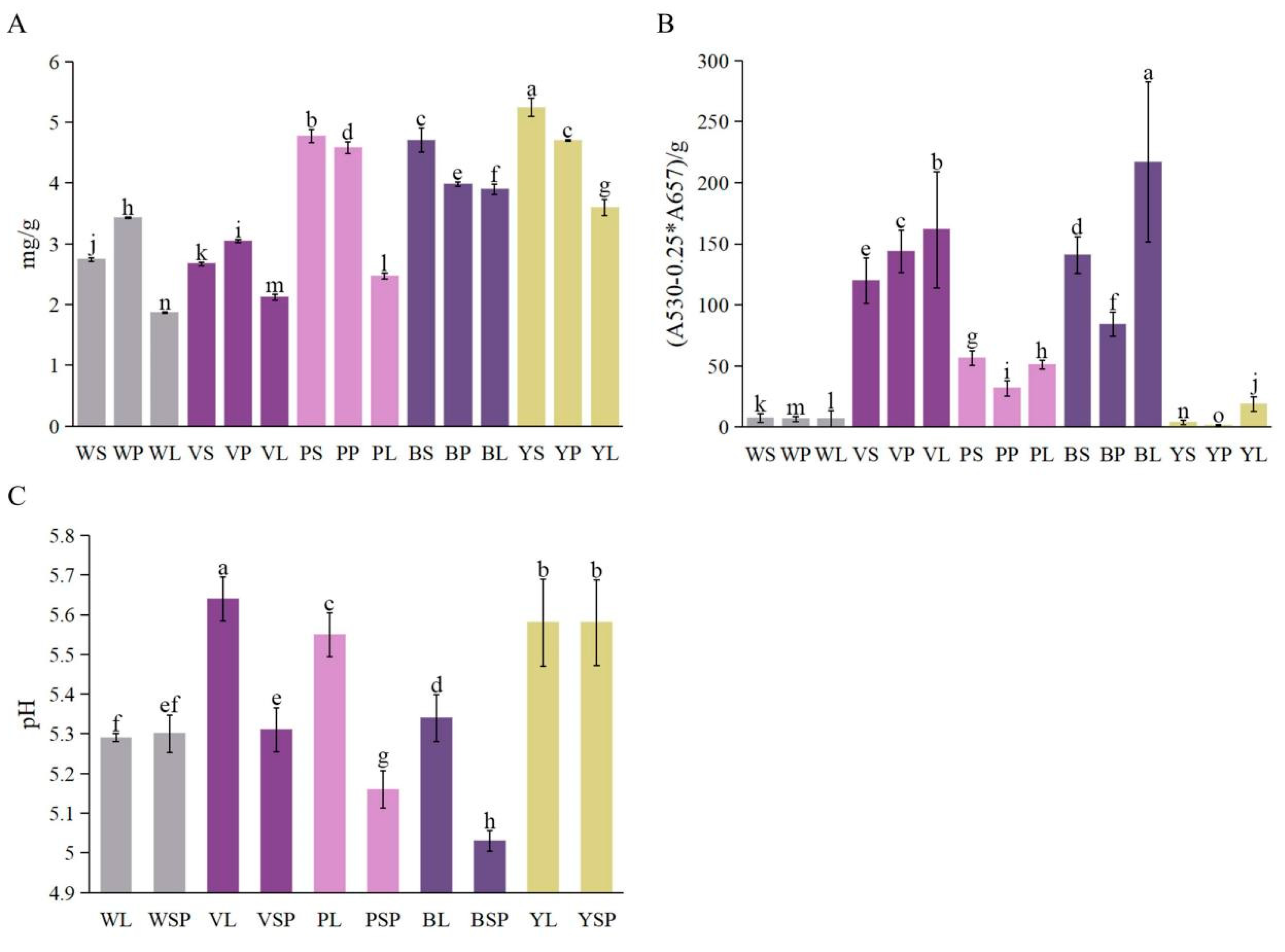
3.3. Quantification of Total Flavonoids and Total Anthocyanidins
3.4. pH Measurement
3.5. Quantification of Metal Ions
3.6. Correlation Analysis
4. Discussion
4.1. Flower Color Characteristics
4.2. Physicochemical Factors Associated with the Main Flower Color of B. striata
4.3. Physicochemical Factors Not Associated with the Main Flower Color of B. striata
5. Conclusions
Supplementary Materials
Author Contributions
Funding
Institutional Review Board Statement
Informed Consent Statement
Data Availability Statement
Acknowledgments
Conflicts of Interest
References
- Trunschke, J.; Lunau, K.; Pyke, G.H.; Ren, Z.; Wang, H. Flower color evolution and the evidence of pollinator-mediated selection. Front. Plant Sci. 2021, 12, 617851. [Google Scholar] [CrossRef]
- Vogelmann, T.C. Plant Tissue Optics. Annu. Rev. Plant Physiol. Plant Mol. Biol. 1993, 44, 231–251. [Google Scholar] [CrossRef]
- Grotewold, E. The genetics and biochemistry of floral pigments. Annu. Rev. Plant Biol. 2006, 57, 761–780. [Google Scholar] [CrossRef]
- Tanaka, Y.; Sasaki, N.; Ohmiya, A. Biosynthesis of plant pigments: Anthocyanins, betalains and carotenoids. Plant J. 2008, 54, 733–749. [Google Scholar] [CrossRef]
- van der Kooi, C.J.; Dyer, A.G.; Kevan, P.G.; Lunau, K. Functional significance of the optical properties of flowers for visual signalling. Ann. Bot. 2019, 123, 263–276. [Google Scholar] [CrossRef] [PubMed]
- Stavenga, D.G.; Leertouwer, H.L.; Dudek, B.; Van der Kooi, C.J. Coloration of flowers by flavonoids and consequences of pH dependent absorption. Front. Plant Sci. 2021, 11, 600124. [Google Scholar] [CrossRef]
- Sigurdson, G.T.; Robbins, R.J.; Collins, T.M.; Giusti, M.M. Spectral and colorimetric characteristics of metal chelates of acylated cyanidin derivatives. Food Chem. 2017, 221, 1088–1095. [Google Scholar] [CrossRef] [PubMed]
- Shoji, K.; Miki, N.; Nakajima, N.; Momonoi, K.; Kato, C.; Yoshida, K. Perianth bottom-specific blue color development in Tulip cv. Murasakizuisho requires ferric ions. Plant Cell Physiol. 2007, 48, 243–251. [Google Scholar] [CrossRef] [PubMed]
- Akbari, R.; Hatamzadeh, A.; Sariri, R.; Bakhshi, D. Relationship of flower color parameters and metal ions of petal tissue in fully opened flowers of Gerbera. J. Plant Stud. 2013, 2, 89–96. [Google Scholar] [CrossRef]
- Chen, S.; Liu, Z.; Zhu, G.; Lang, K.; Ji, K.; Luo, Y.; Jin, X.; Cribb, P.; Wood, J.; Gale, S.; et al. Flora of China; Science Press: Beijing, China; Missouri Botanical Garden Press: St. Louis, MO, USA, 2009; Volume 25, pp. 209–210. [Google Scholar]
- Huang, J.I.E.; Wang, M.; Chen, L.-J.; Huang, Z.-C.; Rao, W.-H.; Zhang, Y.-Q.; Chen, J.-B.; Chen, G.-Z. Bletilla guizhouensis (Orchidaceae; Epidendroideae), a new species from Guizhou China: Evidence from morphological and molecular analyses. Phytotaxa 2019, 406, 279–286. [Google Scholar] [CrossRef]
- Huang, W.; Liu, Z.; Jiang, K.; Luo, Y.; Jin, X.; Zhang, Z.; Xu, R.; Muchuku, J.K.; Musungwa, S.S.; Yukawa, T.; et al. Phylogenetic analysis and character evolution of tribe Arethuseae (Orchidaceae) reveal a new genus Mengzia. Mol. Phylogenet. Evol. 2022, 167, 107362. [Google Scholar] [CrossRef] [PubMed]
- Jiang, S.; Wang, M.; Jiang, L.; Xie, Q.; Yuan, H.; Yang, Y.; Zafar, S.; Liu, Y.; Jian, Y.; Li, B.; et al. The medicinal uses of the genus Bletilla in traditional Chinese medicine: A phytochemical and pharmacological review. J. Ethnopharmacol. 2021, 280, 114263. [Google Scholar] [CrossRef]
- IUCN. IUCN Red List of Threatened Species. 2019. Available online: https://www.iucnredlist.org (accessed on 1 March 2023).
- Lu, J.; Liu, Y.; Yang, Y.; Sun, L.; Xia, X.; Zhou, M.; Huang, C. The analysis of Bletilla rchb. f. research development review from literatures in china. J. Yunnan Agric. Univ. 2011, 26, 288–292. [Google Scholar]
- Zhu, J.; Huang, W.; Cao, J.; Zhou, X. Evaluation and selection of Bletilla species through AHP method. Chin. J. Trop. Crops 2020, 41, 1553–1559. [Google Scholar]
- Hong, Y.; Bai, X.; Sun, W.; Jia, F.; Dai, S. The numerical classification of Chrysanthemum flower color phenotype. Acta Hortic. Sin. 2012, 39, 1330–1340. [Google Scholar]
- Gonnet, J.-F. Colour effects of co-pigmentation of anthocyanins revisited-1. A colorimetric definition using the CIELAB scale. Food Chem. 1998, 63, 409–415. [Google Scholar] [CrossRef]
- Papiorek, S.; Junker, R.R.; Lunau, K. Gloss, colour and grip: Multifunctional epidermal cell shapes in bee- and bird-pollinated flowers. PLoS ONE 2014, 9, e112013. [Google Scholar] [CrossRef] [PubMed]
- Yang, S.; Han, L.; Liu, L.; Xu, R.; He, X.; Chen, L. Optimization of extraction process for total flavonoids from flowers of Rosa xanthina lindle. Chin. J. Trop. Crops 2011, 32, 111. [Google Scholar]
- Rabino, I.; Mancinelli, A.L. Light, temperature, and anthocyanin production. Plant Physiol. 1986, 81, 922–924. [Google Scholar] [CrossRef]
- Qi, Y.; Lou, Q.; Li, H.; Yue, J.; Liu, Y.; Wang, Y. Anatomical and biochemical studies of bicolored flower development in Muscari latifolium. Protoplasma 2013, 250, 1273–1281. [Google Scholar] [CrossRef]
- Jiang, L.; Li, J.; Tong, R.; He, L.; Zhang, L.; Li, Z.; Huang, X. Relationship between flower color and important cellular environment elemental factors in yellow Camellia. Guihaia 2019, 39, 1605–1612. [Google Scholar]
- Yan, J.; Wang, G.; Sui, Y.; Wang, M.; Zhang, L. Pollinator responses to floral colour change, nectar and scent promote reproductive fitness in Quisqualis indica (Combretaceae). Sci. Rep. 2016, 6, 24408. [Google Scholar] [CrossRef]
- Reverté, S.; Retana, J.; Gómez, J.M.; Bosch, J. Pollinators show flower colour preferences but flowers with similar colours do not attract similar pollinators. Ann. Bot. 2016, 118, 249–257. [Google Scholar] [CrossRef]
- Zheng, Q.; Wang, Y.; Ou, Y.; Ke, Y.; Yao, Y.; Wang, M.; Chen, J.; Ai, Y. Research advances of genes responsible for flower colors in Orchidaceae. Acta Hortic. Sin. 2021, 48, 2057. [Google Scholar]
- Hossain, M.M.; Kant, R.; Van, P.T.; Winarto, B.; Zeng, S.; Teixeira da Silva, J.A. The application of biotechnology to orchids. Crit. Rev. Plant Sci. 2013, 32, 69–139. [Google Scholar] [CrossRef]
- Fan, H.; Cui, M.; Li, N.; Li, X.; Liang, Y.; Liu, L.; Cai, Y.; Lin, Y. Genome-wide identification and expression analyses of R2R3-MYB transcription factor genes from two Orchid species. PeerJ 2020, 8, e9781. [Google Scholar] [CrossRef] [PubMed]
- Yuan, Y.; Li, X.; Yao, X.; Fu, X.; Cheng, J.; Shan, H.; Yin, X.; Kong, H. Mechanisms underlying the formation of complex color patterns on Nigella orientalis (Ranunculaceae) petals. New Phytol. 2022, 237, 2450–2466. [Google Scholar] [CrossRef] [PubMed]
- Lv, W.; Zhao, M.; Qin, H.; Duan, S.; Li, K.; Liao, C.; Zhou, P. Study on determination of anthocyanin from Bletilla striata flower and antioxidant activity in vitro. Genom. Appl. Biol. 2017, 36, 5269–5276. [Google Scholar]
- Tatsuzawa, F.; Saito, N.; Shigihara, A.; Honda, T.; Toki, K.; Shinoda, K.; Yukawa, T.; Miyoshi, K. An acylated cyanidin 3,7-diglucoside in the bluish flowers of Bletilla striata ‘Murasaki Shikibu’ (Orchidaceae). J. Jpn. Soc. Hortic. Sci. 2010, 79, 215–220. [Google Scholar] [CrossRef]
- Wessinger, C.A.; Rausher, M.D. Lessons from flower colour evolution on targets of selection. J. Exp. Bot. 2012, 63, 5741–5749. [Google Scholar] [CrossRef]
- Yoshida, K.; Mori, M.; Kondo, T. Blue flower color development by anthocyanins: From chemical structure to cell physiology. Nat. Prod. Rep. 2009, 26, 884–915. [Google Scholar] [CrossRef] [PubMed]
- Takeda, K.; Osakabe, A.; Saito, S.; Furuyama, D.; Tomita, A.; Kojima, Y.; Yamadera, M.; Sakuta, M. Components of protocyanin, a blue pigment from the blue flowers of Centaurea cyanus. Phytochemistry 2005, 66, 1607–1613. [Google Scholar] [CrossRef] [PubMed]
- Liu, J.; Du, L.; Chen, S.; Cao, J.; Ding, X.; Zheng, C.; Sun, C. Comparative analysis of the effects of internal factors on the floral color of four Chrysanthemum cultivars of different colors. Agriculture 2022, 12, 635. [Google Scholar] [CrossRef]
- Faraco, M.; Spelt, C.; Bliek, M.; Verweij, W.; Hoshino, A.; Espen, L.; Prinsi, B.; Jaarsma, R.; Tarhan, E.; de Boer, A.H.; et al. Hyperacidification of vacuoles by the combined action of two different P-ATPases in the Tonoplast determines flower color. Cell Rep. 2014, 6, 32–43. [Google Scholar] [CrossRef]
- Pu, Y.; Huang, H.; Wen, X.; Lu, C.; Zhang, B.; Gu, X.; Qi, S.; Fan, G.; Wang, W.; Dai, S. Comprehensive transcriptomic analysis provides new insights into the mechanism of ray floret morphogenesis in Chrysanthemum. BMC Genom. 2020, 21, 728. [Google Scholar] [CrossRef]
- Baudino, S.; Caissard, J.-C.; Bergougnoux, V.; Jullien, F.; Magnard, J.-L.; Scalliet, G.; Cock, J.M.; Hugueney, P. Production and emission of volatile compounds by petal cells. Plant Signal Behav. 2007, 2, 525–526. [Google Scholar] [CrossRef]
- Smith, M.T.; Saks, Y.; Staden, J.V. Ultrastructural changes in the petals of senescing flowers of Dianthus caryophyllus L. Ann. Bot. 1992, 69, 277–285. [Google Scholar] [CrossRef]
- Schlüter, P.M.; Schiestl, F.P. Molecular mechanisms of floral mimicry in orchids. Trends Plant Sci. 2008, 13, 228–235. [Google Scholar] [CrossRef]
- Ogawa, Y.; Miyake, T. How do rewardless Bletilla striata flowers attract pollinators to achieve pollination? Plant Syst. Evol. 2020, 306, 78. [Google Scholar] [CrossRef]
- Tanikawa, N.; Kashiwabara, T.; Hokura, A.; Abe, T.; Shibata, M.; Nakayama, M. A peculiar yellow flower coloration of Camellia using aluminum-flavonoid interaction. J. Jpn. Soc. Hortic. Sci. 2008, 77, 402–407. [Google Scholar] [CrossRef]
- Morita, Y.; Hoshino, A. Recent advances in flower color variation and patterning of Japanese morning glory and petunia. Breed. Sci. 2018, 68, 128–138. [Google Scholar] [CrossRef] [PubMed]






| Group | L* | a* | b* | c* | h |
|---|---|---|---|---|---|
| gW | 68.33~73.11 | 0.36~2.73 | −3.50~5.70 | 0.59~5.71 | 36.1~86.39, 297.96~307.95 |
| gP | 24.82~69.37 | 0.00~46.86 | −33.55~6.59 | 4.56~57.63 | 1.76~90.00, 307.57~327.34 |
| gPY | 26.56~71.20 | −2.69~33.17 | −25.43~65.21 | 5.06~65.32 | 81.44~93.97, 303.06~323.89 |
| gYP | 33.06~76.75 | −3.87~29.56 | −23.76~54.82 | 3.44~57.13 | 39.90~106.92, 311.46~358.32 |
| gY | 39.72~75.34 | −8.15~26.41 | 8.65~68.01 | 8.65~72.96 | 68.78~109.88 |
| Parts | White (W) | Violet (V) | Pink (P) | Blue (B) | Yellow (Y) |
|---|---|---|---|---|---|
| Petal | 0.62 ab | 0.53 bc | 0.51 bc | 0.69 a | 0.42 c |
| Sepal | 0.58 | 0.54 | 0.61 | 0.50 | 0.57 |
| Lip1 | 0.34 ab | 0.44 a | 0.18 b | 0.39 a | 0.44 a |
| Lip2 | 0.12 b | 0.15 b | 0.17 b | 0.06 c | 0.22 a |
| Lip3 | 0.62 bc | 0.53 c | 0.81 a | 0.74 ab | 0.68 abc |
| Metal Ion | White (W) | Violet (V) | Pink (P) | Blue (B) | Yellow (Y) |
|---|---|---|---|---|---|
| Al3+ | 68.72 b | 57.05 e | 65.20 d | 68.53 c | 213.36 a |
| Ca2+ | 2191.85 b | 471.81 e | 2916.15 a | 1574.58 d | 1589.72 c |
| Fe3+ | 92.10 b | 61.68 e | 65.46 d | 77.29 c | 277.23 a |
| K+ | 17,625.41 a | 15,081.57 c | 14,266.14 d | 13,237.87 e | 16,111.15 b |
| Mg2+ | 1764.78 a | 1271.43 d | 1413.14 c | 1238.52 e | 1739.63 b |
| Na+ | 304.44 a | 163.24 b | 141.19 c | 123.69 e | 135.31 d |
| P5+ | 2225.16 c | 2253.83 b | 1898.21 e | 1984.29 d | 2592.46 a |
| Zn2+ | 25.69 c | 30.87 b | 24.56 d | 18.20 e | 34.61 a |
| Mo6+ | 0.29 d | 0.25 e | 1.22 c | 1.73 b | 1.88 a |
| Cu2+ | 9.54 c | 10.43 b | 7.96 d | 6.31 e | 11.20 a |
| Mn2+ | 15.24 b | 8.76 d | 12.07 c | 8.00 e | 22.12 a |
| L* | a* | b* | |
|---|---|---|---|
| a* | −0.823 ** | 1 | −0.853 ** |
| b* | 0.546 ** | −0.853 ** | 1 |
| C* | −0.877 ** | 0.833 ** | −0.468 * |
| h | −0.334 | 0.555 ** | −0.703 ** |
| S | 0.298 | 0.032 | −0.386 |
| TF | 0.010 | −0.097 | −0.039 |
| TA | −0.709 ** | 0.444 * | −0.156 |
| pH | −0.359 | 0.281 | −0.025 |
| Al3+ | 0.530 ** | −0.749 ** | 0.558 ** |
| Ca2+ | 0.382 | −0.469 * | 0.299 |
| Fe3+ | 0.725 ** | −0.734 ** | 0.541 ** |
| K+ | 0.629 ** | −0.311 | 0.182 |
| Mg2+ | 0.750 ** | −0.544 ** | 0.348 |
| Na+ | 0.708 ** | −0.454 * | 0.296 |
| P5+ | 0.204 | 0.103 | −0.080 |
| Zn2+ | −0.087 | 0.469 * | −0.390 |
| Mo6+ | −0.244 | −0.155 | 0.156 |
| Cu2+ | 0.101 | 0.301 | −0.264 |
| Mn2+ | 0.693 ** | −0.488 * | 0.294 |
Disclaimer/Publisher’s Note: The statements, opinions and data contained in all publications are solely those of the individual author(s) and contributor(s) and not of MDPI and/or the editor(s). MDPI and/or the editor(s) disclaim responsibility for any injury to people or property resulting from any ideas, methods, instructions or products referred to in the content. |
© 2023 by the authors. Licensee MDPI, Basel, Switzerland. This article is an open access article distributed under the terms and conditions of the Creative Commons Attribution (CC BY) license (https://creativecommons.org/licenses/by/4.0/).
Share and Cite
Xie, C.; Hu, C.; Deng, X.; Shao, W.; Gao, Y.; Huang, W.; Song, X. Relationship between Flower Color and Cellular Physicochemical Factors in Bletilla striata. Horticulturae 2023, 9, 426. https://doi.org/10.3390/horticulturae9040426
Xie C, Hu C, Deng X, Shao W, Gao Y, Huang W, Song X. Relationship between Flower Color and Cellular Physicochemical Factors in Bletilla striata. Horticulturae. 2023; 9(4):426. https://doi.org/10.3390/horticulturae9040426
Chicago/Turabian StyleXie, Chengzhi, Chao Hu, Xinyan Deng, Wen Shao, Yanping Gao, Weichang Huang, and Xiqiang Song. 2023. "Relationship between Flower Color and Cellular Physicochemical Factors in Bletilla striata" Horticulturae 9, no. 4: 426. https://doi.org/10.3390/horticulturae9040426
APA StyleXie, C., Hu, C., Deng, X., Shao, W., Gao, Y., Huang, W., & Song, X. (2023). Relationship between Flower Color and Cellular Physicochemical Factors in Bletilla striata. Horticulturae, 9(4), 426. https://doi.org/10.3390/horticulturae9040426
