Influence of Different Liquid Spray Pollination Parameters on Pollen Activity of Fruit Trees—Pear Liquid Spray Pollination as an Example
Abstract
1. Introduction
2. Materials and Methods
2.1. Pear Pollen and Pollen Solution Configuration
2.2. Pollen Suspension Configuration and Pollen Activity Determination Method
2.2.1. Pollen Suspension Configuration
2.2.2. Pollen Activity Determination Method
2.3. Test Sprayers
2.4. Tests of Pollen Suspension Storage Time on Pollen Activity
2.5. Tests of the Recirculation Device on Pollen Activity
2.6. Tests of Pump Types on Pollen Activity
2.7. Tests of Nozzle Size and Spray Pressure on Pollen Activity
2.8. Tests of Rotary Atomiser Revolution Speeds on Pollen Activity
2.9. Tests of UAVS Downwash Airflow on Pollen Activity
2.10. Data Processing
3. Results
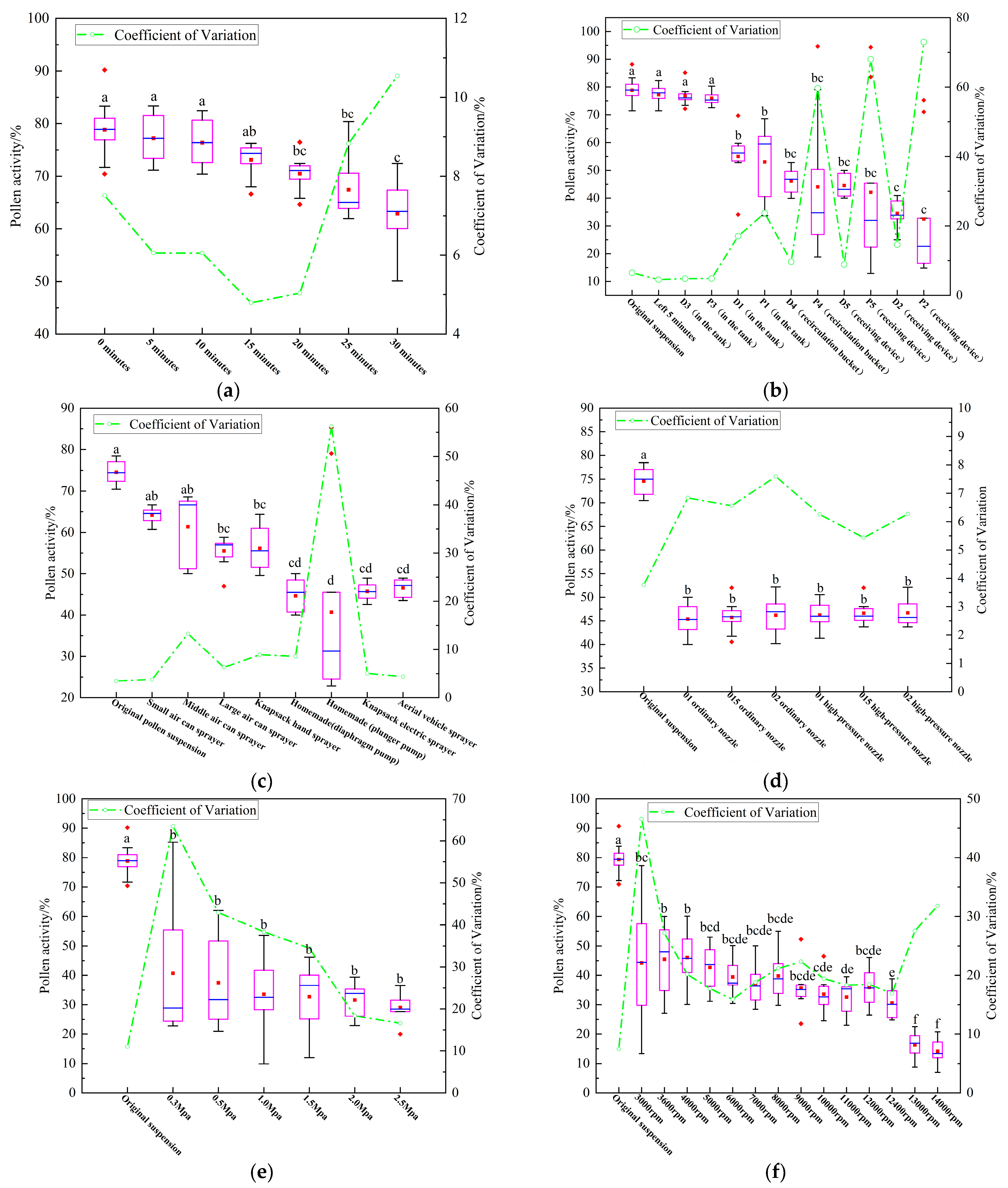
3.1. Influence of Storage Time on the Pollen Activity
3.2. Influence of the Recirculation Device on the Pollen Activity
3.3. Influence of Pump Types on Pollen Activity
3.4. Effect of Nozzle Size on Pollen Activity
3.5. Effect of Spray Pressure on Pollen Activity
3.6. Influence of RA Revolution Speed on Droplet Parameters and Pollen Activity
3.7. Influence of UAVS Downwash Airflow on the Pollen Activity
4. Discussion
5. Conclusions and Future Arrangement
- (1)
- The storage time of the pollen suspension and the mean pollen activity were extremely significantly negatively correlated (r = −0.98). After 20 min of storage, the pollen activity of the pollen suspension was significantly different from that of the original pollen suspension, and its activity decreased by 10.06%.
- (2)
- Different nozzle sizes had no significant effect on pollen activity. There was no significant difference between the pollen activity in the tank (D3 and P3) without recirculation device and the original pollen suspension, whereas the pollen activity in the tank (D1 and P1) with recirculation device did. The different spraying pressure of the same pump was negatively and highly significantly correlated with the pollen activity and its CV value (r = −0.951 and r = −0.936). However, there was no significant difference in pollen activity between different spraying pressures. Different types of pumps had significant effects on pollen activity and decreased with the increase of pump pressure range. There was a significant correlation between the RA revolution speed and pollen activity (droplet parameters). The mean pollen activity decreased from 44.25% to 14.14% as the rpm of RA increased from 3000 rpm to 14,000 rpm.
- (3)
- The UAVS downwash airflow had no significant influence on pollen activity but had a significant influence on the CV value of pollen activity. Compared with the pollen suspension sprayed on the ground, the CV value of pollen activity sprayed by UAV in the air increased by at least 40.67%.
Author Contributions
Funding
Institutional Review Board Statement
Informed Consent Statement
Data Availability Statement
Acknowledgments
Conflicts of Interest
References
- Garibaldi, L.A.; Carvalheiro, L.G.; Leonhardt, S.D.; Aizen, M.A.; Blaauw, B.R.; Isaacs, R.; Kuhlmann, M.; Kleijn, D.; Klein, A.M.; Kremen, C.; et al. From research to action: Enhancing crop yield through wild pollinators. Front. Ecol. Environ. 2016, 12, 439–447. [Google Scholar] [CrossRef]
- Castro, H.; Siopa, C.; Casais, V.; Castro, M.; Loureiro, J.; Gaspar, H.; Castro, S. Pollination as a key management tool in crop production: Kiwifruit orchards as a study case. Sci. Hortic. 2021, 290, 110533. [Google Scholar] [CrossRef]
- Potts, S.G.; Imperatriz-fonseca, V.; Ngo, H.T.; Biesmeijer, J.C.; Breeze, T.D.; Dicks, L.V.; Garibaldi, L.A.; Hill, R.; Settele, J.; Vanbergen, A.J.; et al. Summary for Policymakers of the Thematic Assessment on Pollinators, Pollination and Food Production Intergovernmental Science-Policy Platform on Biodiversity and Ecosystem Key Messages Values of Pollinators and Pollination. Biota Neotrop. 2016, 16, e20160101. [Google Scholar]
- Eyles, A.; Close, D.C.; Quarrell, S.R.; Allen, G.R.; Spurr, C.J.; Barry, K.M.; Whiting, M.D.; Gracie, A.J. Feasibility of Mechanical Pollination in Tree Fruit and Nut Crops: A Review. Agronomy 2022, 12, 1113. [Google Scholar] [CrossRef]
- Barrera, W.B., Jr.; Trinidad, K.A.D.; Presas, J.A. Hand pollination and natural pollination by carpenter bees (Xylocopa spp.) in Passiflora edulis Sims. f. flavicarpa Deg. (yellow passion fruit). J. Apic. Res. 2020, 60, 845–852. [Google Scholar] [CrossRef]
- Traynor, K.S.; Mondet, F.; de Miranda, J.R.; Techer, M.; Kowallik, V.; Oddie, M.A.; Chantawannakul, P.; McAfee, A. Varroa destructor: A Complex Parasite, Crippling Honey Bees Worldwide. Trends Parasitol. 2020, 36, 592–606. [Google Scholar] [CrossRef] [PubMed]
- Ren, Z.; Zhao, Y.; Liang, H.; Tao, Z.; Tang, H.; Zhang, H.; Wang, H. Pollination ecology in China from 1977 to 2017. Plant Divers 2018, 40, 172–180. [Google Scholar] [CrossRef] [PubMed]
- Ryalls, J.M.; Langford, B.; Mullinger, N.J.; Bromfield, L.M.; Nemitz, E.; Pfrang, C.; Girling, R.D. Anthropogenic air pollutants reduce insect-mediated pollination services. Environ. Pollut. 2022, 297, 118847. [Google Scholar] [CrossRef]
- Yousefi, M.; Mohd Rafie, A.S.; Abd Aziz, S.; Azrad, S.; ABD Razak, A.b. Introduction of Current Pollination Techniques and Factors Affecting Pollination Effectiveness by Elaeidobius Kamerunicus in Oil Palm Plantations on Regional and Global Scale: A Review. S. Afr. J. Bot. 2020, 132, 171–179. [Google Scholar] [CrossRef]
- Reitmayer, C.M.; Ryalls, J.M.W.; Farthing, E.; Jackson, C.W.; Girling, R.D.; Newman, T.A. Acute exposure to diesel exhaust induces central nervous system stress and altered learning and memory in honey bees. Sci. Rep. 2019, 9, 5793. [Google Scholar] [CrossRef]
- Gianni, T.; Vania, M. Artificial Pollination in Kiwifruit and Olive Trees. In Pollination in Plants; IntechOpen: Cambridge, UK, 2018. [Google Scholar] [CrossRef]
- Wurz, A.; Grass, I.; Tscharntke, T. Hand pollination of global crops—A systematic review. Basic Appl. Ecol. 2021, 56, 299–321. [Google Scholar] [CrossRef]
- Sakamoto, D.; Hayama, H.; Ito, A.; Kashimura, Y.; Moriguchi, T.; Nakamura, Y. Spray pollination as a labor-saving pollination system in Japanese pear (Pyrus pyrifolia (Burm.f.) Nakai): Development of the suspension medium. Sci. Hortic. 2009, 119, 280–285. [Google Scholar] [CrossRef]
- Hayati, A.; Marzban, A.; Rahnama, M. Occupational safety and health in traditional date palm works. Int. Arch. Occup. Environ. Health. 2021, 94, 1455–1473. [Google Scholar] [CrossRef] [PubMed]
- Mokdad, M.; Bouhafs, M.; Lahcene, B.; Mokdad, I. Ergonomic practices in Africa: Date palm work in Algeria as an example. Work 2019, 62, 657–665. [Google Scholar] [CrossRef] [PubMed]
- Dahab, M.H.; Osman, M.S.; Abdalla, O.A. Comparison of Locally Developed Date Palm Pollination Machine with Manual Pollination under Shambat Condition—Sudan. Asian J. Agric. Hortic. Res. 2020, 16–25. [Google Scholar] [CrossRef]
- Shi, F.; Jiang, Z.; Ma, C.; Zhu, Y.; Liu, Z. Controlled Parameters of Targeted Pollination Deposition by Air-Liquid Nozzle. Trans. Chin. Soc. Agric. Mach. 2019, 50, 115–124. [Google Scholar] [CrossRef]
- Xiongkui, H.; Bonds, J.; Herbst, A.; Langenakens, J. Recent development of unmanned aerial vehicle for plant protection in East Asia. Int. J. Agric. Biol. Eng. 2017, 10, 18–30. [Google Scholar] [CrossRef]
- He, X. Rapid Development of Unmanned Aerial Vehicles (UAV) for Plant Protection and Application Technology in China. Outlooks Pest Manag. 2018, 29, 162–167. [Google Scholar] [CrossRef]
- Wang, C.; Liu, Y.; Zhang, Z.; Han, L.; Li, Y.; Zhang, H.; Wongsuk, S.; Li, Y.; Wu, X.; He, X. Spray performance evaluation of a six-rotor unmanned aerial vehicle sprayer for pesticide application using an orchard operation mode in apple orchards. Pest Manag. Sci. 2022, 78, 2449–2466. [Google Scholar] [CrossRef]
- Montilla-Pacheco, A.D.J.; Pacheco-Gil, H.A.; Pastrán-Calles, F.R.; Rodríguez-Pincay, I.R. Pollination with drones: A successful response to the decline of entomophiles pollinators? Sci. Agropecu. 2021, 12, 509–516. [Google Scholar] [CrossRef]
- Li, J.Y.; Lan, Y.B.; Wang, J.W.; Chen, S.; Huang, C.; Liu, Q.; Liang, Q. Distribution Law of Rice Pollen in the Wind Field of Small UAV. Int. J. Agric. Biol. Eng. 2017, 10, 32–40. [Google Scholar] [CrossRef]
- Oh, E.U.; Kim, S.C.; Lee, M.H.; Song, K.J. Pollen Application Methods Affecting Fruit Quality and Seed Formation in Artificial Pollination of Yellow-Fleshed Kiwifruit. Horticulturae 2022, 8, 150. [Google Scholar] [CrossRef]
- Naik, S.; Rana, V. Spray pollination: An efficient and labour saving method for kiwifruit (Actinidia deliciosa A. Chev.) production. J. Appl. Hortic. 2013, 15, 202–206. [Google Scholar] [CrossRef]
- Wang, L.; Wu, J.; Chen, J.; Fu, D.; Zhang, C.; Cai, C.; Ou, L. A simple pollen collection, dehydration, and long-term storage method for litchi (Litchi chinensis Sonn.). Sci. Hortic. 2015, 188, 78–83. [Google Scholar] [CrossRef]
- Wang, X.; Wu, Y.; Lombardini, L. In vitro viability and germination of Carya illinoinensis pollen under different storage conditions. Sci. Hortic. 2020, 275, 109662. [Google Scholar] [CrossRef]
- Mauriello, G.; De Prisco, A.; Di Prisco, G.; La Storia, A.; Caprio, E. Microbial characterization of bee pollen from the Vesuvius area collected by using three different traps. PLoS ONE 2017, 12, e0183208. [Google Scholar] [CrossRef]
- Filho, J.; Torres, A.; Nascimento, W.; Boiteux, L. Tomato hybrid seed production using stored pollen grains: Temperature and storage time interactions and their effects on pollen viability. Acta Hortic. 2019, 1249, 201–204. [Google Scholar] [CrossRef]
- Kadri, K.; Elsafy, M.; Makhlouf, S.; Awad, M.A. Effect of pollination time, the hour of daytime, pollen storage temperature and duration on pollen viability, germinability, and fruit set of date palm (Phoenix dactylifera L.) cv “Deglet Nour”. Saudi J. Biol. Sci. 2021, 29, 1085–1091. [Google Scholar] [CrossRef]
- Dinis, A.M.; Mesquita, J.F. Uptake of heavy metal salt solutions by pollen grains of Magnolia soulangeana(Magnoliaceae). Can. J. Bot. 2004, 82, 1758–1767. [Google Scholar] [CrossRef]
- Mostaan, A.; Marashi, S.S.; Ahmadizadeh, S. Development of a New Date Palm Pollinator. In Proceedings of the IV International Date Palm Conference, Abu Dhabi, United Arab Emirates, 15–17 March 2010; Volume 882. [Google Scholar]
- Williams, H.; Nejati, M.; Hussein, S.; Penhall, N.; Lim, J.Y.; Jones, M.; Bell, J.; Ahn, H.S.; Bradley, S.; Schaare, P.; et al. Autonomous pollination of individual kiwifruit flowers: Toward a robotic kiwifruit pollinator. J. Field Robot. 2019, 37, 246–262. [Google Scholar] [CrossRef]
- Munir, M. Influence of liquid pollination technique on fruit yield and physicochemical characteristics of date palm cultivars Khadrawy and Zahidi. J. Appl. Hortic. 2020, 22, 12–17. [Google Scholar] [CrossRef]
- Cacioppo, O.; Michelotti, V.; Vittone, G.; Tacconi, G. Pollination of kiwifruit: 30 years of applied research leads to a model system for studying the interaction between pollination and flowering stage. Acta Hortic. 2018, 1229, 355–364. [Google Scholar] [CrossRef]
- Craig, I.P.; Hewitt, A.; Terry, H. Rotary atomiser design requirements for optimum pesticide application efficiency. Crop. Prot. 2014, 66, 34–39. [Google Scholar] [CrossRef]
- Yang, J.; Yang, H.; Xie, W.; Hao, H.; Feng, H.; Wang, L. Parameter Optimization and Economic Analysis of Unmanned Aerial Vehicle (UAV) Assisted Liquid Pollination for Kuerlexiangli Pear. J. Fruit Sci. 2021, 38, 2561. [Google Scholar] [CrossRef]
- Yang, F.; Xue, X.; Cai, C.; Zhou, Q. Effect of down wash airflow in hover on droplet motion law for multi–rotor unmanned plant protection machine. Trans. Chin. Soc. Agric. Eng. 2018, 34, 64–73. [Google Scholar] [CrossRef]
- Law, S.; Wetzstein, H.; Banerjee, S.; Eisikowitch, D. Electrostatic application of pollen sprays: Effects of charging field intensity and aerodynamic shear upon deposition and germinability. IEEE Trans. Ind. Appl. 2000, 36, 998–1009. [Google Scholar] [CrossRef]






| Ingredients | Content (%) | Volume or Mass |
|---|---|---|
| Pure water | - | Fixed volume to 50 L |
| Sucrose | 10.00 | 5.00 kg |
| Xanthan gum | 0.02 | 10.00 g |
| Calcium gluconate | 0.05 | 25.00 g |
| Boric acid | 0.01 | 5.00 g |
| Types | Small Air Can Sprayer | Middle Air Can Sprayer | Large Air Can Sprayer | Knapsack Hand Sprayer | Knapsack Electric Sprayer | Homemade Orchard Sprayer | DJI T20 Unmanned Aerial Vehicle Sprayer |
|---|---|---|---|---|---|---|---|
| Picture | ![]() | ![]() | ![]() | ![]() | ![]() | ![]() | ![]() |
| Pump types | Air compression pump | Air compression pump | Air compression pump | leather cup-type piston pump | Diaphragm pump | Diaphragm pump (plunger pump) | Diaphragm pump |
| Recirculation device | without | without | without | without | without | with (with) | without |
| rpm of pumps | - | - | - | - | 450 | 550 (960) | 400 |
| Tank volume/L | 0.6 | 2 | 5 | 16 | 20 | 25 (25) | 20 |
| Pressure/ MPa | 0.08–0.12 | 0.12–0.25 | 0.32–0.65 | 0.25–0.45 | 0.3–0.65 | 0.35–0.55 (0–3) | 0.2–0.4 |
| Flow rate/ (L·min−1) | 0.2–0.6 | 1.1–1.8 | 1.9–3.2 | 2.8–3.8 | 2.2–4.2 | 10.0–19.8 (8–12) | 4.5–6 |
| rpm | Dv10/(μm) | Dv50/(μm) | Dv90/(μm) | RS | V75μ/(%) | V100μ/(%) | V150μ/(%) | V200μ/(%) | V250μ/(%) |
|---|---|---|---|---|---|---|---|---|---|
| 3000 | 129.54 ± 10.46 a | 294.03 ± 6.18 a | 584.51 ± 28.12 a | 1.55 ± 0.05 b | 3.60 ± 0.62 hi | 6.08 ± 1.05 g | 13.72 ± 1.95 h | 25.19 ± 2.22 h | 38.52 ± 1.89 g |
| 3600 | 125.62 ± 10.65 a | 247.51 ± 7.21 b | 436.35 ± 23.08 b | 1.32 ± 0.11 abc | 2.36 ± 1.02 i | 4.49 ± 2.21 g | 18.48 ± 3.41 gh | 37.46 ± 2.84 g | 54.58 ± 2.28 f |
| 4000 | 121.55 ± 13.41 a | 199.09 ± 7.30 c | 337.24 ± 26.46 c | 1.08 ± 0.21 cd | 1.07 ± 1.50 i | 3.77 ± 3.73 f | 23.43 ± 5.50 g | 50.24 ± 3.76 f | 71.31 ± 3.24 e |
| 5000 | 94.70 ± 11.28 b | 161.32 ± 5.91 d | 271.40 ± 9.69 d | 1.10 ± 0.17 bcd | 4.03 ± 2.41 ghi | 12.70 ± 5.22 f | 42.82 ± 4.85 f | 69.41 ± 1.75 e | 85.94 ± 1.56 d |
| 6000 | 87.21 ± 7.34 bc | 140.19 ± 7.61 e | 225.03 ± 14.8 e | 1.00 ± 0.09 d | 4.94 ± 2.50 fghi | 18.32 ± 4.96 f | 53.44 ± 14.49 e | 83.07 ± 4.05 d | 94.20 ± 2.41 c |
| 7000 | 79.18 ± 4.59 cde | 130.40 ± 2.32 f | 207.84 ± 9.13 def | 0.99 ± 0.11 d | 8.04 ± 2.13 efg | 24.45 ± 2.96 e | 64.50 ± 1.90 d | 87.91 ± 2.46 c | 96.92 ± 1.38 abc |
| 8000 | 77.13 ± 4.44 de | 124.18 ± 4.18 fgh | 196.74 ± 8.69 ef | 0.96 ± 0.03 d | 8.84 ± 0.76 de | 27.97 ± 2.43 ef | 69.68 ± 3.73 cd | 90.76 ± 2.16 abc | 97.91 ± 0.79 a |
| 9000 | 70.01 ± 2.71 e | 117.04 ± 5.44 h | 186.88 ± 27.88 f | 1.04 ± 0.15 cd | 13.23 ± 1.94 d | 34.68 ± 3.44 c | 74.35 ± 5.623 bc | 92.13 ± 4.73 abc | 97.50 ± 3.02 ab |
| 10,000 | 72.85 ± 2.90 de | 125.03 ± 5.64 fg | 205.14 ± 21.60 ef | 1.05 ± 0.15 d | 11.13 ± 1.49 de | 29.57 ± 2.28 cde | 68.06 ± 6.29 cd | 88.79 ± 5.23 bc | 96.76 ± 2.76 abc |
| 11,000 | 73.36 ± 4.21 de | 120.77 ± 4.97 gh | 188.96 ± 9.66 f | 0.95 ± 0.08 d | 11.08 ± 2.63 de | 30.92 ± 4.01 cd | 72.48 ± 3.87 c | 92.84 ± 2.46 ab | 98.84 ± 1.08 a |
| 12,000 | 80.84 ± 10.77 cd | 123.06 ± 3.58 fgh | 182.24 ± 14.56 fg | 0.83 ± 0.22 cd | 7.62 ± 5.18 efgh | 24.97 ± 8.05 e | 74.57 ± 4.73 bc | 94.96 ± 3.63 a | 99.04 ± 1.27 a |
| 12,400 | 80.84 ± 4.18 f | 101.18 ± 5.05 i | 187.27 ± 32.91 f | 1.39 ± 0.32 bc | 27.22 ± 4.18 c | 46.42 ± 4.68 b | 80.50 ± 3.86 ab | 93.51 ± 3.04 a | 96.58 ± 1.75 abc |
| 13,000 | 35.04 ± 4.92 g | 81.87 ± 8.20 j | 189.19 ± 58.37 f | 1.87 ± 0.53 a | 44.17 ± 6.47 b | 64.41 ± 6.56 a | 86.48 ± 5.82 a | 92.66 ± 4.59 ab | 94.6 ± 3.19 c |
| 14,000 | 26.99 ± 3.50 g | 58.37 ± 6.18 k | 149.31 ± 42.94 g | 2.06 ± 0.49 a | 50.28 ± 5.62 a | 67.7 ± 5.76 a | 87.68 ± 6.18 a | 94.41 ± 3.19 a | 95.03 ± 3.16 bc |
| Types | rpm | Dv10 | Dv50 | Dv90 | RS | V75μ | V100μ | V150μ | V200μ | V250μ |
|---|---|---|---|---|---|---|---|---|---|---|
| rpm and spray parameters | - | −0.827 ** | −0.96 ** | −0.908 ** | 0.059 | 0.889 ** | 0.925 ** | 0.978 ** | 0.943 ** | 0.6 * |
| spray parameters and pollen activity | −0.943 ** | 0.847 ** | 0.925 ** | 0.824 ** | −0.16 | −0.96 ** | −0.952 ** | −0.908 ** | −0.837 ** | −0.503 |
| Types (μm) | 75–100 | 75–150 | 75–200 | 75–250 | 100–150 | 100–200 | 100–250 | 150–200 | 150–250 | 200–250 |
|---|---|---|---|---|---|---|---|---|---|---|
| Correlation | −0.785 ** | −0.42 | −0.16 | 0.073 | 0.045 | 0.15 | 0.336 | 0.569 * | 0.793 ** | 0.921 ** |
Disclaimer/Publisher’s Note: The statements, opinions and data contained in all publications are solely those of the individual author(s) and contributor(s) and not of MDPI and/or the editor(s). MDPI and/or the editor(s) disclaim responsibility for any injury to people or property resulting from any ideas, methods, instructions or products referred to in the content. |
© 2023 by the authors. Licensee MDPI, Basel, Switzerland. This article is an open access article distributed under the terms and conditions of the Creative Commons Attribution (CC BY) license (https://creativecommons.org/licenses/by/4.0/).
Share and Cite
Liu, L.; Liu, Z.; Han, H.; Jiang, Y.; He, X.; Liu, Y.; Wang, D.; Guo, X.; Liang, Z. Influence of Different Liquid Spray Pollination Parameters on Pollen Activity of Fruit Trees—Pear Liquid Spray Pollination as an Example. Horticulturae 2023, 9, 350. https://doi.org/10.3390/horticulturae9030350
Liu L, Liu Z, Han H, Jiang Y, He X, Liu Y, Wang D, Guo X, Liang Z. Influence of Different Liquid Spray Pollination Parameters on Pollen Activity of Fruit Trees—Pear Liquid Spray Pollination as an Example. Horticulturae. 2023; 9(3):350. https://doi.org/10.3390/horticulturae9030350
Chicago/Turabian StyleLiu, Limin, Ziyan Liu, Hu Han, Yulin Jiang, Xiongkui He, Yajia Liu, Dongsheng Wang, Xianping Guo, and Zhao Liang. 2023. "Influence of Different Liquid Spray Pollination Parameters on Pollen Activity of Fruit Trees—Pear Liquid Spray Pollination as an Example" Horticulturae 9, no. 3: 350. https://doi.org/10.3390/horticulturae9030350
APA StyleLiu, L., Liu, Z., Han, H., Jiang, Y., He, X., Liu, Y., Wang, D., Guo, X., & Liang, Z. (2023). Influence of Different Liquid Spray Pollination Parameters on Pollen Activity of Fruit Trees—Pear Liquid Spray Pollination as an Example. Horticulturae, 9(3), 350. https://doi.org/10.3390/horticulturae9030350








