Effects of Different Root Zone Heating Methods on the Growth and Photosynthetic Characteristics of Cucumber
Abstract
1. Introduction
2. Materials and Methods
2.1. Experimental Setup
2.2. Experiment Design
2.3. Measurement and Methods
2.3.1. Greenhouse Environment and Root Zone Temperature
2.3.2. Plant Biomass
2.3.3. Photosynthetic Characteristics
2.3.4. Fruit Yield
2.4. Statistical Analysis
3. Results and Analysis
3.1. Changes in Air Temperature in the Greenhouse
3.2. Effect of Different Heating Treatments on Root Zone Temperature
3.3. Effects of Different Heating Treatments on the Growth and Dry Matter Accumulation of Cucumber
3.4. Effect of Different Heating Treatments on Fruit Quality and Yield of Cucumber
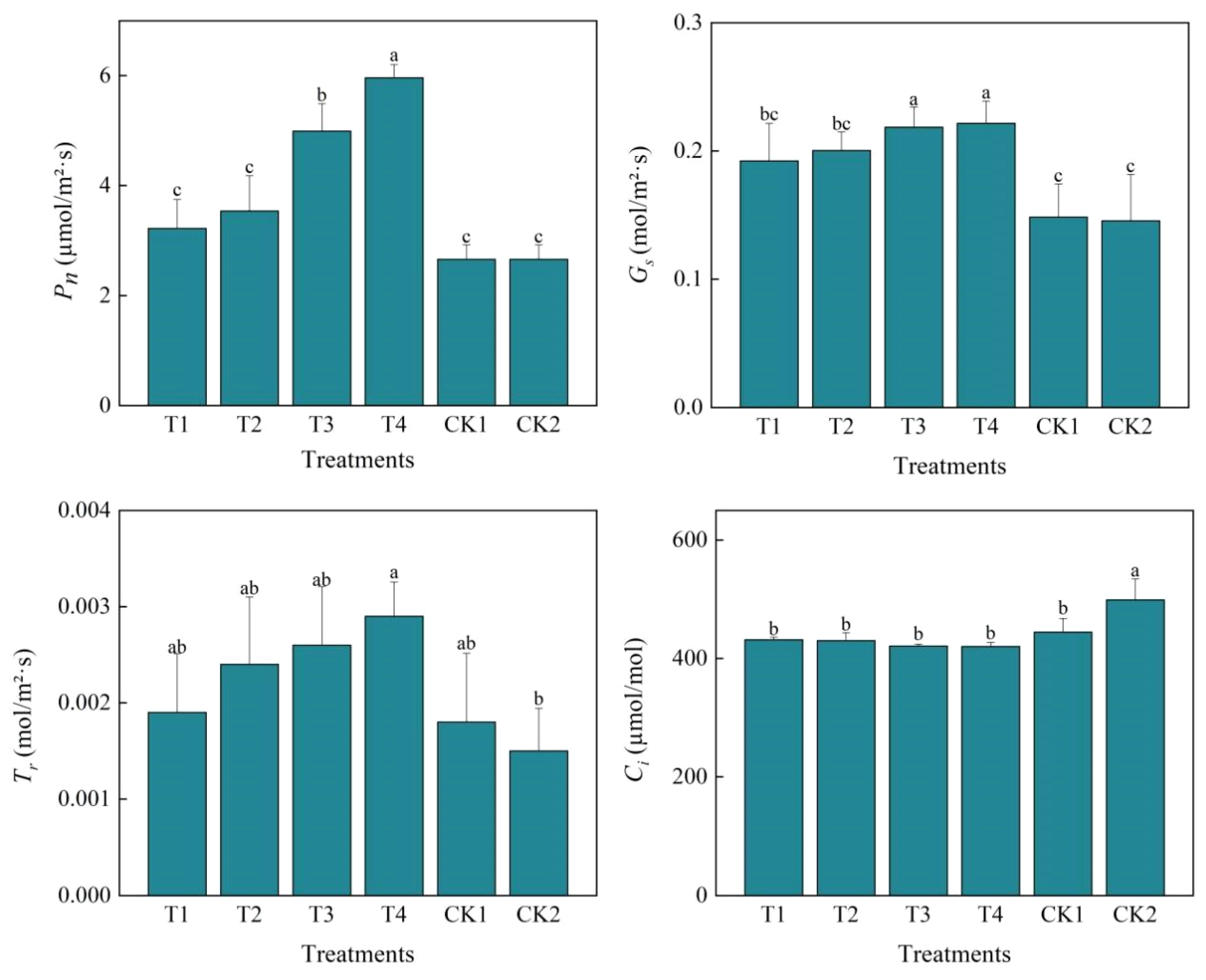
3.5. Effect of Different Heating Treatments on Photosynthetic Parameters of Cucumber Leaves
3.6. PCA Analysis and Parameter Assessment
3.7. Root Zone Heating Economic Benefit Analysis
4. Discussion
5. Conclusions
- (1)
- The T1 treatment increased the average soil temperature at 10 cm below ground throughout the day by 11.4–21.4 °C, T2 by 12.1–22.4 °C, T3 by 11.5–23.1 °C, and T4 by 12.3–21.4 °C. Thus, it seems that the T4 treatment (water curtain–floor heating system) had the best warming effect on the root zone temperature.
- (2)
- Compared with CK1 and CK2, the different warming treatments improved the plant height, stem thickness, leaf area, fruiting number, chlorophyll, and plant root morphological parameters of cucumber, with the T2 treatment (water-heated soil cultivation) showing the most obvious performance enhancement.
- (3)
- The chlorophyll content and photosynthetic rate under T2 and T4 treatments were increased significantly compared with CK1 and CK2, and the photosynthetic capacity was notably enhanced.
- (4)
- Using different heating methods increased the soluble sugars, soluble solids, and vitamin C content in cucumber fruit, and the cucumber yield was also further increased. In particular, the results for T2 and T4 differed from CK1 and CK2 at significant levels.
- (5)
- The results of this study indicated that different root zone heating methods are effective for increasing the root zone temperature, thus enhancing the plant growth characteristics and photosynthetic characteristics, as well as the fruit yield and quality. T4 played a good role in increasing the yield and improving the quality, while having the lowest cost, in terms of energy consumption. Therefore, T4 was found to be the most suitable for the safe over-wintering cultivation of cucumber.
Author Contributions
Funding
Data Availability Statement
Acknowledgments
Conflicts of Interest
References
- Tong, G.; Christopher, D.M.; Li, T.; Wang, T. Passive solar energy utilization: A review of cross-section building parameter selection for Chinese solar greenhouses. Renew. Sustain. Energy Rev. 2013, 26, 540–548. [Google Scholar] [CrossRef]
- Zhang, X.; Lv, J.; Dawuda, M.M.; Xie, J.; Yu, J.; Gan, Y.; Li, J. Innovative passive heat-storage walls improve thermal performance and energy efficiency in Chinese solar greenhouses for non-arable lands. Sol. Energy 2019, 190, 561–575. [Google Scholar] [CrossRef]
- Singh, J.; Salaria, A.; Kaul, A. Impact of soil compaction on soil physical properties and root growth: A review. Int. J. Food Agric. Vet. Sci. 2015, 5, 23–32. [Google Scholar]
- Peng, N.; Wang, K.F.; Xie, X.L.; Hu, S. Effects of different utilization model on soil water redistributions, runoff and nutrition loss on red sloping lands. Res. Soil Water Conserv. 2002, 15, 53–55. [Google Scholar]
- He, Y.; Yang, J.; Zhu, B.; Zhu, Z. Low root zone temperature exacerbates the ion imbalance and photosynthesis inhibition and induces antioxidant responses in tomato plants under salinity. J. Integr. Agric. 2014, 13, 89–99. [Google Scholar] [CrossRef]
- Clarke, S.J.; Lamont, K.J.; Pan, H.Y.; Barry, L.A.; Hall, A.; Rogiers, S.Y. Spring root-zone temperature regulates root growth, nutrient uptake and shoot growth dynamics in grapevines. Aust. J. Grape. Wine. R. 2015, 21, 479–489. [Google Scholar] [CrossRef]
- Lam, V.P.; Kim, S.J.; Bok, G.J.; Lee, J.W.; Park, J.S. The effects of root temperature on growth, physiology, and accumulation of bioactive compounds of Agastache rugosa. Agriculture 2020, 10, 162. [Google Scholar] [CrossRef]
- Aidoo, M.K.; Sherman, T.; Lazarovitch, N.; Fait, A.; Rachmilevitch, S. Physiology and metabolism of grafted bell pepper in response to low root-zone temperature. Funct. Plant. Biol. 2019, 46, 339–349. [Google Scholar] [CrossRef]
- Li, Y.; Yue, X.; Zhao, L.; Xu, H.; Liu, X.; Li, T. Effect of north wall internal surface structure on heat storage-release performance and thermal environment of Chinese solar greenhouse. J. Build. Phys. 2022, 45, 507–527. [Google Scholar] [CrossRef]
- He, X.; Wang, P.; Song, W.; Wu, G.; Ma, C.; Li, M. Experimental study on the feasibility and thermal performance of a multifunctional air conditioning system using surplus air thermal energy to heat a Chinese solar greenhouse. Renew Energy 2022, 198, 1148–1161. [Google Scholar] [CrossRef]
- Xia, T.; Li, Y.; Wu, X.; Fan, Z.; Shi, W.; Liu, X.; Li, T. Performance of a new active solar heat storage–release system for Chinese assembled solar greenhouses used in high latitudes and cold regions. Energy Rep. 2022, 8, 784–797. [Google Scholar] [CrossRef]
- Xu, W.; Guo, H.; Ma, C. An active solar water wall for passive solar greenhouse heating. Appl. Energy 2022, 308, 118270. [Google Scholar] [CrossRef]
- Wang, Z.W.; Li, M.; Liu, W.Q.; Liu, Y.F. Study on optimization design of water curtain heat collection-ground heating heating system in desert greenhouse in South Xinjiang. Agric. Eng. Technol. 2020, 40, 42–46. [Google Scholar] [CrossRef]
- Fick, G.W.; Holt, D.A.; Lugg, D.G. Environmental physiology and crop growth. Alfalfa Alfalfa Improv. 1998, 29, 163–194. [Google Scholar] [CrossRef]
- Escuredo, O.; Seijo, M.C.; Fernández-González, M.; Iglesias, I. Effects of meteorological factors on the levels of Alternaria spores on a potato crop. Int. J. Biometeorol. 2011, 55, 243–252. [Google Scholar] [CrossRef] [PubMed]
- Tryon, P.R.; Chapin, F.S., III. Temperature control over root growth and root biomass in taiga forest trees. Can. J. Forest Res. 1983, 13, 827–833. [Google Scholar] [CrossRef]
- Kang, E.X.; Luo, J.J.; Qiu, H.Z.; Chen, N.L.; Su, D.; He, B.L. Effects of low temperature and light stress on gas exchange and chlorophyll fluorescence of pumpkin seedlings. In Advanced Materials Research; Trans Tech Publications Ltd.: Bäch, Switzerland, 2012; Volume 450, pp. 537–542. [Google Scholar] [CrossRef]
- He, F.; Hou, Y.; Li, K.; Wei, X.; Liu, Y. Investigation of a root zone heating system for greenhouse seedling and its effects on micro-environment. Int. J. Agric. Biol. Eng. 2020, 13, 47–52. [Google Scholar] [CrossRef]
- Elwell, D.L.; Roller, W.L.; Short, T.H. Heat and moisture transfer in heated greenhouse soils and floors. In Proceedings of the III International Symposium on Energy in Protected Cultivation, Columbus, OH, USA, 21–26 August 1983; Volume 148, pp. 377–384. [Google Scholar] [CrossRef]
- Li, Z.K.; Fu, G.H.; Liu, W.K. Diurnal Temperature Changes of Root Zone and Lateral Side of Four Soil-Ridged Substrate-Embedded Cultivation Ridges Planted Sweet Pepper in Chinese Solar Greenhouse. J. Agric. Sci. Tech-Iran. 2018, 20, 108–115. [Google Scholar] [CrossRef]
- Hu, J.; Fan, G. CFD simulation of heating process of greenhouse irrigation water in wintering period. Appl. Eng. Agric. 2017, 33, 575–586. [Google Scholar] [CrossRef]
- Anderegg, W.R. Spatial and temporal variation in plant hydraulic traits and their relevance for climate change impacts on vegetation. New Phytol. 2015, 205, 1008–1014. [Google Scholar] [CrossRef]
- Rasmann, S.; Bennett, A.; Biere, A.; Karley, A.; Guerrieri, E. Root symbionts: Powerful drivers of plant above-and belowground indirect defenses. Insect Sci. 2017, 24, 947–960. [Google Scholar] [CrossRef] [PubMed]
- Xia, Z.Q.; Si, L.Y.; Jin, Y.; Fu, Y.F.; Wang, Q.; Lu, H.D. Effects of root zone temperature increase on physiological indexes and photosynthesis of different genotype maize seedlings. Russ. J. Plant Physl. 2021, 68, 169–178. [Google Scholar] [CrossRef]
- Ahn, S.J.; Im, Y.J.; Chung, G.C.; Cho, B.H.; Suh, S.R. Physiological responses of grafted-cucumber leaves and rootstock roots affected by low root temperature. Sci. Hortic. 1999, 81, 397–408. [Google Scholar] [CrossRef]
- Bayoumi, Y.; Abd-Alkarim, E.; El-Ramady, H.; El-Aidy, F.; Hamed, E.S.; Taha, N.; Rakha, M. Grafting improves fruit yield of cucumber plants grown under combined heat and soil salinity stresses. Horticulturae 2021, 7, 61. [Google Scholar] [CrossRef]







| Treatment | Cultivation Method | Heating Method |
|---|---|---|
| CK1 | Soil cultivation | _ |
| CK2 | Sand cultivation | _ |
| T1 | Sand cultivation | Soil-ridged sand-embedded cultivation |
| T2 | Soil cultivation | Water heating (35 °C) |
| T3 | Sand cultivation | Water heating (35 °C) |
| T4 | Soil cultivation | Water-curtain and floor-heating system |
| Treatment | Average Temperature (°C) | Maximum Temperature (°C) | Minimal Temperature (°C) | Temperature Difference (°C) | |
|---|---|---|---|---|---|
| Daytime | Night-Time | ||||
| CK1 | 16.1 | 14.7 | 20.7 | 11.6 | 9.1 |
| CK2 | 16.4 | 13.9 | 22.1 | 11.1 | 11.0 |
| T1 | 16.7 | 14.9 | 21.4 | 11.9 | 9.5 |
| T2 | 17.7 | 15.4 | 22.4 | 12.1 | 9.7 |
| T3 | 17.5 | 14.3 | 23.1 | 11.5 | 11.6 |
| T4 | 16.8 | 15.6 | 21.4 | 12.3 | 9.1 |
| Treatment | Plant Height (cm) | Stem Diameter (mm) | Leaf Area (cm2) | Number of Leaves | SPAD |
|---|---|---|---|---|---|
| CK1 | 67.4 ± 1.7 c | 5.9 ± 0.1 cd | 94.6 ± 1.9 bc | 10.3 ± 0.5 de | 47.2 b |
| CK2 | 62.7 ± 1.3 d | 5.7 ± 0.2 d | 91.6 ± 0.8 c | 9.7 ± 0.5 e | 45.7 c |
| T1 | 73.5 ± 1.3 b | 6.2 ± 0.1 bc | 96.4 ± 1.5 b | 11.3 ± 0.5 cd | 51.4 a |
| T2 | 78.8 ± 1.8 a | 6.7 ± 0.2 a | 103.8 ± 1.5 a | 13.3 ± 0.5 a | 49.4 ab |
| T3 | 73.0 ± 1.7 b | 6.3 ± 0.2 ab | 97.6 ± 1.2 b | 11.7 ± 0.5 bc | 47.2 bc |
| T4 | 77.9 ± 1.3 a | 6.6 ± 0.2 a | 104.2 ± 3.0 a | 12.7 ± 0.5 ab | 47.8 bc |
| Treatment | Average Single Fruit Weight (g) | Number of Fruits per Plant | Yield (kg/667 m2) |
|---|---|---|---|
| CK1 | 55.41 bc | 13.59 c | 6402.67 b |
| CK2 | 58.18 a | 15.88 a | 5508.93 c |
| T1 | 55.05 b | 15.46 a | 6182.86 b |
| T2 | 52.91 bc | 13.41 c | 6731.93 a |
| T3 | 55.82 b | 14.3 b | 6094.40 b |
| T4 | 57.27 c | 15.59 a | 6899.59 a |
| Root Zone Heating Equipment | Investment Cost of Equipment (RMB) | Running Time (h/day) | Heating Time Interval (day) | Daily Energy Consumption (kWh) | Daily Running Costs (RMB/day) | Total Cost of Energy Consumption (RMB) |
|---|---|---|---|---|---|---|
| Soil-ridged Sand-embedded (T1) | 3600 | — | — | — | — | — |
| Water heating system (T2, T3) | 2000 | 5 | 3 | 18 | 42.3 | 1269 |
| Water-curtain and floor-heating System (T4) | 2500 | 9 | Every day | 2.75 | 11.63 | 1046.92 |
Publisher’s Note: MDPI stays neutral with regard to jurisdictional claims in published maps and institutional affiliations. |
© 2022 by the authors. Licensee MDPI, Basel, Switzerland. This article is an open access article distributed under the terms and conditions of the Creative Commons Attribution (CC BY) license (https://creativecommons.org/licenses/by/4.0/).
Share and Cite
Bi, X.; Wang, X.; Zhang, X. Effects of Different Root Zone Heating Methods on the Growth and Photosynthetic Characteristics of Cucumber. Horticulturae 2022, 8, 1137. https://doi.org/10.3390/horticulturae8121137
Bi X, Wang X, Zhang X. Effects of Different Root Zone Heating Methods on the Growth and Photosynthetic Characteristics of Cucumber. Horticulturae. 2022; 8(12):1137. https://doi.org/10.3390/horticulturae8121137
Chicago/Turabian StyleBi, Xueting, Xiaozhuo Wang, and Xueyan Zhang. 2022. "Effects of Different Root Zone Heating Methods on the Growth and Photosynthetic Characteristics of Cucumber" Horticulturae 8, no. 12: 1137. https://doi.org/10.3390/horticulturae8121137
APA StyleBi, X., Wang, X., & Zhang, X. (2022). Effects of Different Root Zone Heating Methods on the Growth and Photosynthetic Characteristics of Cucumber. Horticulturae, 8(12), 1137. https://doi.org/10.3390/horticulturae8121137
