Thyme Essential Oil Reduces Disease Severity and Induces Resistance against Alternaria linariae in Tomato Plants
Abstract
1. Introduction
2. Materials and Methods
2.1. Essential Oils, Biological Control Agent and Fungicides
2.2. Fungal Isolate, DNA Extraction, Amplification, and Phylogenetic Analyses
2.3. Inoculum Preservation and Preparation
2.4. In Vitro Evaluation of the Antifungal Activity of Essential Oils against the Fungal Isolate
2.5. In Vivo Evaluation of the Antifungal Activity of Essential Oils against the Fungal Isolate
2.5.1. Experimental Conditions
2.5.2. Plant Inoculation
2.5.3. Application of Treatments
2.5.4. Disease Assessment
2.5.5. Evaluation of Vegetative Growth and Yield Parameters
2.6. Biochemical Analysis of Defense-Related Enzyme Activity
2.6.1. Obtaining Enzymatic Extracts
2.6.2. Determination of Enzyme Activity
2.7. Histochemical Analysis of Leaf Tissues Infected or Not by the Fungal Isolate
2.8. Data Analysis
3. Results
3.1. Identification of the Fungal Isolate
3.2. Antifungal Activity of Essential Oils against the Fungal Isolate under In Vitro Conditions
3.3. Antifungal Activity of Essential Oils against the Fungal Isolate under In Vivo Conditions
3.3.1. Infected Leaf Area
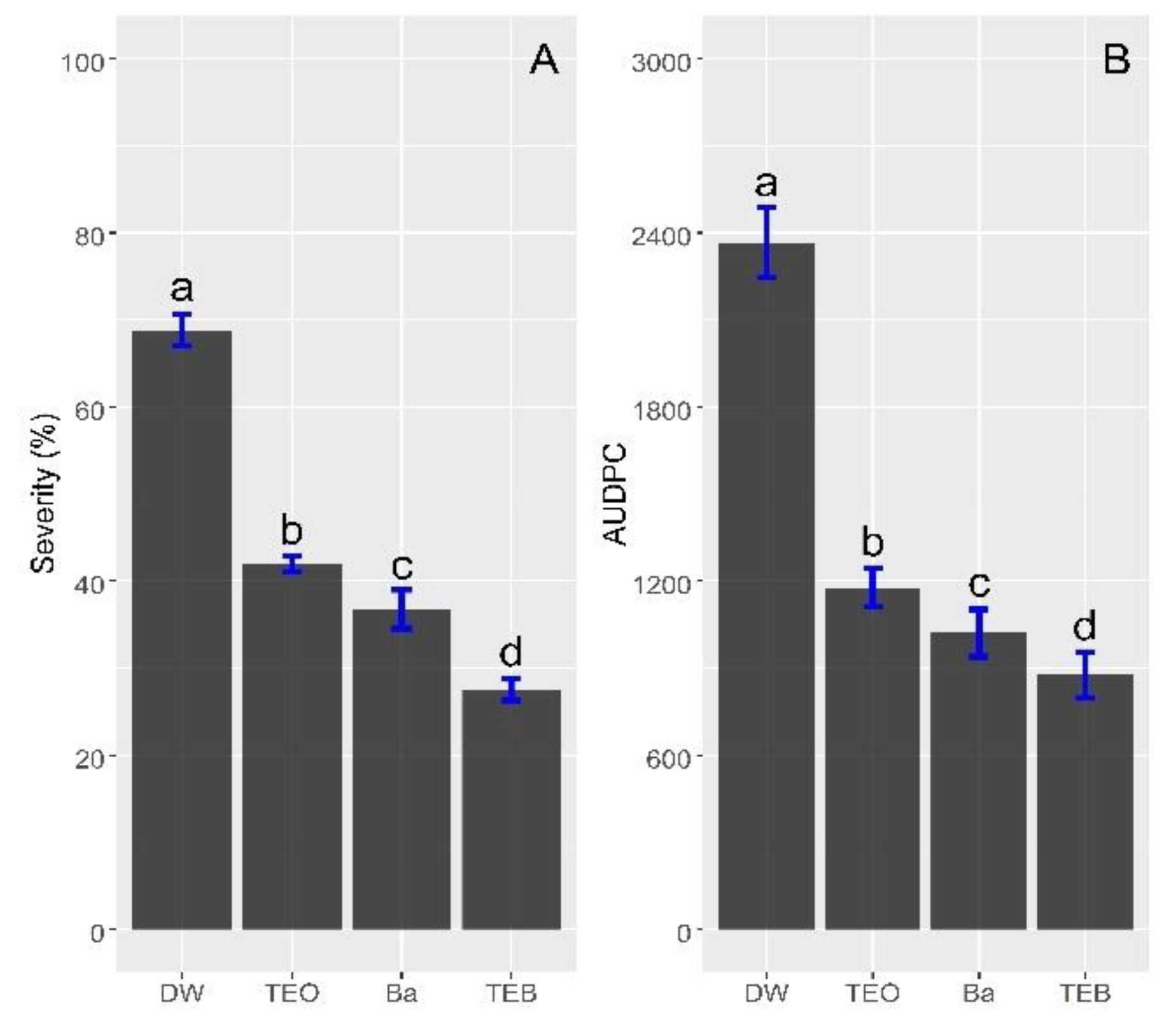
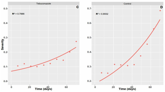
3.3.2. Disease Progress Curve, Severity and AUDPC
3.4. Vegetative Growth and Yield Parameters
3.5. Pearson’s Correlation
3.6. Defense-Related Enzyme Activity
3.7. Histochemical Analysis of Foliar Tissues Infected or Not by Alternaria linariae
4. Discussion
Supplementary Materials
Author Contributions
Funding
Data Availability Statement
Acknowledgments
Conflicts of Interest
References
- Li, Y.; Wang, H.; Zhang, Y.; Martin, C. Can the World’s Favorite Fruit, Tomato, Provide an Effective Biosynthetic Chassis for High-Value Metabolites? Plant Cell Rep. 2018, 37, 1443–1450. [Google Scholar] [CrossRef]
- FAO. Food and Agriculture Organitation. Available online: https://www.fao.org/faostat/en/#home (accessed on 9 March 2022).
- Salehi, B.; Sharifi-Rad, R.; Sharopov, F.; Namiesnik, J.; Roointan, A.; Kamle, M.; Kumar, P.; Martins, N.; Sharifi-Rad, J. Beneficial Effects and Potential Risks of Tomato Consumption for Human Health: An Overview. Nutrition 2019, 62, 201–208. [Google Scholar] [CrossRef]
- Foolad, M.R.; Merk, H.L.; Ashrafi, H. Genetics, Genomics and Breeding of Late Blight and Early Blight Resistance in Tomato. Crit. Rev. Plant Sci. 2008, 27, 75–107. [Google Scholar] [CrossRef]
- Woudenberg, J.H.C.; Truter, M.; Groenewald, J.Z.; Crous, P.W. Large-Spored Alternaria Pathogens in Section Porri Disentangled. Stud. Mycol. 2014, 79, 1–47. [Google Scholar] [CrossRef]
- Patel, S.J.; Subramanian, R.B.; Jha, Y.S. Biochemical and Molecular Studies of Early Blight Disease in Tomato. Phytoparasitica 2011, 39, 269–283. [Google Scholar] [CrossRef]
- Adhikari, P.; Oh, Y.; Panthee, D. Current Status of Early Blight Resistance in Tomato: An Update. Int. J. Mol. Sci. 2017, 18, 2019. [Google Scholar] [CrossRef]
- Sanoubar, R.; Barbanti, L. Fungal Diseases On Tomato Plant Under Greenhouse Condition. Eur. J. Biol. Res. 2017, 7, 299–308. [Google Scholar] [CrossRef]
- He, D.; Zhan, J.; Xie, L. Problems, Challenges and Future of Plant Disease Management: From an Ecological Point of View. J. Integr. Agric. 2016, 15, 705–715. [Google Scholar] [CrossRef]
- Avenot, H.F.; Solorio, C.; Morgan, D.P.; Michailides, T.J. Sensitivity and Cross-Resistance Patterns to Demethylation-Inhibiting Fungicides in California Populations of Alternaria alternata Pathogenic on Pistachio. Crop. Prot. 2016, 88, 72–78. [Google Scholar] [CrossRef]
- Matić, S.; Gilardi, G.; Varveri, M.; Gullino, M.L. Molecular Diversity of Alternaria spp. from Leafy Vegetable Crops, and Their Sensitivity to Azoxystrobin and Boscalid. Phytopathol. Mediterr. 2019, 53, 519–533. [Google Scholar] [CrossRef]
- Odilbekov, F.; Edin, E.; Mostafanezhad, H.; Coolman, H.; Grenville-Briggs, L.J.; Liljeroth, E. Within-Season Changes in Alternaria solani Populations in Potato in Response to Fungicide Application Strategies. Eur. J. Plant Pathol. 2019, 155, 953–965. [Google Scholar] [CrossRef]
- Mugao, L.G.; Gichimu, B.M.; Muturi, P.W.; Njoroge, E.K. Essential Oils as Biocontrol Agents of Early and Late Blight Diseases of Tomato under Greenhouse Conditions. Int. J. Agron. 2021, 2021, 1–10. [Google Scholar] [CrossRef]
- Jamiołkowska, A. Natural Compounds as Elicitors of Plant Resistance Against Diseases and New Biocontrol Strategies. Agronomy 2020, 10, 173. [Google Scholar] [CrossRef]
- O’Brien, P.A. Biological Control of Plant Diseases. Australas. Plant Pathol. 2017, 46, 293–304. [Google Scholar] [CrossRef]
- Dimopoulou, A.; Theologidis, I.; Liebmann, B.; Kalantidis, K.; Vassilakos, N.; Skandalis, N. Bacillus amyloliquefaciens MBI600 Differentially Induces Tomato Defense Signaling Pathways Depending on Plant Part and Dose of Application. Sci. Rep. 2019, 9, 19120. [Google Scholar] [CrossRef]
- Radhakrishnan, R.; Hashem, A.; Abd_Allah, E.F. Bacillus: A Biological Tool for Crop Improvement through Bio-Molecular Changes in Adverse Environments. Front. Physiol. 2017, 8, 667. [Google Scholar] [CrossRef]
- Saravanakumar, D.; Thomas, A.; Banwarie, N. Antagonistic Potential of Lipopeptide Producing Bacillus amyloliquefaciens against Major Vegetable Pathogens. Eur. J. Plant Pathol. 2019, 154, 319–335. [Google Scholar] [CrossRef]
- Miljaković, D.; Marinković, J.; Balešević-Tubić, S. The Significance of Bacillus spp. in Disease Suppression and Growth Promotion of Field and Vegetable Crops. Microorganisms 2020, 8, 1037. [Google Scholar] [CrossRef]
- Arraiza, M.P.; González-Coloma, A.; Andres, M.F.; Berrocal-Lobo, M.; Domínguez-Núñez, J.A.; Da Costa, A.C., Jr.; Navarro-Rocha, J.; Calderón-Guerrero, C. Antifungal Effect of Essential Oils. In Potential of Essential Oils; El-Shemy, H.A., Ed.; InTech, 2018; pp. 145–164. ISBN 978-1-78923-779-5. [Google Scholar]
- Raveau, R.; Fontaine, J.; Lounès-Hadj Sahraoui, A. Essential Oils as Potential Alternative Biocontrol Products against Plant Pathogens and Weeds: A Review. Foods 2020, 9, 365. [Google Scholar] [CrossRef]
- Proto, M.R.; Biondi, E.; Baldo, D.; Levoni, M.; Filippini, G.; Modesto, M.; Di Vito, M.; Bugli, F.; Ratti, C.; Minardi, P.; et al. Essential Oils and Hydrolates: Potential Tools for Defense against Bacterial Plant Pathogens. Microorganisms 2022, 10, 702. [Google Scholar] [CrossRef]
- Doost, A.; Nasrabadi, M.; Kassozi, V.; Nakisozi, H.; Van der Meeren, P. Recent Advances in Food Colloidal Delivery Systems for Essential Oils and Their Main Components. Trends Food Sci. Technol. 2020, 99, 474–486. [Google Scholar] [CrossRef]
- Xu, S.; Ni, Z.; Ma, L.; Zheng, X. Control of Alternaria Rot of Cherry Tomatoes by Food-Grade Laurus Nobilis Essential Oil Microemulsion: Control of Alternaria Rot of Cherry Tomatoes. J. Food Saf. 2016, 37, e12286. [Google Scholar] [CrossRef]
- França, K.R.S.; Silva, T.L.; Cardoso, T.A.L.; Ugulino, A.L.N.; Rodrigues, A.P.M.; Júnior, A.F.D.M. In Vitro Effect of Essential Oil of Peppermint (Mentha x piperita L.) on the Mycelial Growth of Alternaria alternata. J. Exp. Agric. Int. 2018, 26, 1–7. [Google Scholar] [CrossRef]
- Jing, C.; Zhao, J.; Han, X.; Huang, R.; Cai, D.; Zhang, C. Essential Oil of Syringa oblata Lindl. as a Potential Biocontrol Agent against Tobacco Brown Spot Caused by Alternaria alternata. Crop Prot. 2018, 104, 41–46. [Google Scholar] [CrossRef]
- Yakoubi, M.; Hamini-Kadar, N.; Gherib, M.; Amrouche, A.; Yezli, W.; Benichou, S.L.; Kihal, M. Inhibitory Effect of Essential Oils from Pulicaria mauritanica and Micromeria debilis on Growth of Alternaria spp., the Causal Agent of Tomato Early Blight. Environ. Exp. Biol. 2019, 17, 185–191. [Google Scholar] [CrossRef]
- Gadhi, M.A.; Nizamani, Z.A.; Jatoi, G.H.; Abro, M.A.; Keerio, A.U.; Poussio, G.B.; Qiu, D. In-Vitro Efficacy of Bio-Control Agent and Essential Oils against Leaf Blight of Chickpea Caused by Alternaria alternata. Acta Ecol. Sin. 2020, 40, 166–171. [Google Scholar] [CrossRef]
- López-Meneses, A.K.; Sánchez-Mariñez, R.I.; Quintana-Obregón, E.A.; Parra-Vergara, N.V.; González-Aguilar, G.A.; López-Saiz, C.M.; Cortez-Rocha, M.O. In Vitro Antifungal Activity of Essential Oils and Major Components against Fungi Plant Pathogens. J. Phytopathol. 2017, 165, 232–237. [Google Scholar] [CrossRef]
- Nikolova, M.; Yordanov, P.; Slavov, S.; Berkov, S. Antifungal Activity of Plant Extracts against Phytopathogenic Fungi. J. Biosci. Biotechnol. 2017, 6, 155–161. [Google Scholar]
- Salhi, N.; Rahmani, B.; Mehani, M.; Terzi, V.; Benouaar, M.; Amraoui, K.; Bissati, S. The Antifungal Activity of Artemisia herba-alba Aqueous Extract and Essential Oil against Storage Fungus Alternaria spp and Fusarium spp. J. Appl. Biol. Sci. 2019, 13, 108–112. [Google Scholar]
- Waithaka, P.N.; Gathuru, E.M.; Githaiga, B.M.; Kimani, S.N. Control of Passion Fruit Fungal Diseases Using Essential Oils Extracted from Rosemary (Rosmarinus officinalis) and Eucalyptus (Eucalyptus agglomerata) in Egerton University Main Campus Njoro, Kenya. Int. J. Microbiol. 2017, 2017, 1–6. [Google Scholar] [CrossRef]
- Elsayed, Y.; Shabana, Y. The Effect of Some Essential Oils on Aspergillus niger and Alternaria alternata Infestation in Archaeological Oil Paintings. Mediterr. Archaeol. Archaeom. 2018, 18, 71–87. [Google Scholar] [CrossRef]
- Basak, S.; Guha, P. A Review on Antifungal Activity and Mode of Action of Essential Oils and Their Delivery as Nano-Sized Oil Droplets in Food System. J. Food Sci. Technol. 2018, 55, 4701–4710. [Google Scholar] [CrossRef]
- Ni, Z.-J.; Wang, X.; Shen, Y.; Thakur, K.; Han, J.; Zhang, J.-G.; Hu, F.; Wei, Z.-J. Recent Updates on the Chemistry, Bioactivities, Mode of Action, and Industrial Applications of Plant Essential Oils. Trends Food Sci. Technol. 2021, 110, 78–89. [Google Scholar] [CrossRef]
- Kong, J.; Zhang, Y.; Ju, J.; Xie, Y.; Guo, Y.; Cheng, Y.; Qian, H.; Quek, S.Y.; Yao, W. Antifungal Effects of Thymol and Salicylic Acid on Cell Membrane and Mitochondria of Rhizopus stolonifer and Their Application in Postharvest Preservation of Tomatoes. Food Chem. 2019, 285, 380–388. [Google Scholar] [CrossRef]
- Ben-Jabeur, M.; Ghabri, E.; Myriam, M.; Hamada, W. Thyme Essential Oil as a Defense Inducer of Tomato against Gray Mold and Fusarium Wilt. Plant Physiol. Biochem. 2015, 94, 35–40. [Google Scholar] [CrossRef]
- Perina, F.J.; de Andrade, C.C.L.; Moreira, S.I.; Nery, E.M.; Ogoshi, C.; Alves, E. Cinnamomun zeylanicum Oil and Trans-Cinnamaldehyde against Alternaria Brown Spot in Tangerine: Direct Effects and Induced Resistance. Phytoparasitica 2019, 47, 575–589. [Google Scholar] [CrossRef]
- Leslie, J.F.; Summerell, B.A. The Fusarium Laboratory Manual, 1st ed.; Blackwell Pub: Ames, IA, USA, 2006; ISBN 978-0-8138-1919-8. [Google Scholar]
- Hong, S.G.; Cramer, R.A.; Lawrence, C.B.; Pryor, B.M. Alt a 1 Allergen Homologs from Alternaria and Related Taxa: Analysis of Phylogenetic Content and Secondary Structure. Fungal Genet. Biol. 2005, 42, 119–129. [Google Scholar] [CrossRef]
- Berbee, M.L.; Pirseyedi, M.; Hubbard, S. Cochliobolus Phylogenetics and the Origin of Known, Highly Virulent Pathogens, Inferred from ITS and Glyceraldehyde-3-Phosphate Dehydrogenase Gene Sequences. Mycologia 1999, 91, 964–977. [Google Scholar] [CrossRef]
- Lawrence, D.P.; Gannibal, P.B.; Peever, T.L.; Pryor, B.M. The Sections of Alternaria: Formalizing Species-Group Concepts. Mycologia 2013, 105, 530–546. [Google Scholar] [CrossRef]
- Kumar, S.; Stecher, G.; Li, M.; Knyaz, C.; Tamura, K. MEGA X: Molecular Evolutionary Genetics Analysis across Computing Platforms. Mol. Biol. Evol. 2018, 35, 1547–1549. [Google Scholar] [CrossRef]
- Castellani, A. A Maintenance and Cultivation of the Common Pathogenic Fungi of Man in Sterile Distilled Water. J. Trop. Med. Hyg. 1967, 70, 181–184. [Google Scholar]
- Ji, S.H.; Paul, N.C.; Deng, J.X.; Kim, Y.S.; Yun, B.-S.; Yu, S.H. Biocontrol Activity of Bacillus amyloliquefaciens CNU114001 against Fungal Plant Diseases. Mycobiology 2013, 41, 234–242. [Google Scholar] [CrossRef]
- Marchi, C.E.; Borges, M.d.F.; Mizubuti, E.S.G. Atividades amilolítica e pectinolítica de Alternaria solani e a relação com a agressividade em tomateiro. Summa Phytopathol. 2006, 32, 345–352. [Google Scholar] [CrossRef]
- Meier, U. Growth Stages of Mono- and Dicotyledonous Plants: BBCH Monograph, 2nd ed.; BBCH: Quedlinburg, Germany, 2018; ISBN 978-3-95547-071-5. [Google Scholar]
- Abuley, I.K.; Nielsen, B.J. Evaluation of Models to Control Potato Early Blight (Alternaria solani) in Denmark. Crop. Prot. 2017, 102, 118–128. [Google Scholar] [CrossRef]
- Olivoto, T. Pliman: Tools for Plant Image Analysis; R Package: Vienna, Austria, 2021. [Google Scholar]
- McKinney, H. Influence of Soil Temperature and Moisture on Unfection of Young Wheat Plants by Ophiobolus graminis. J. Agric. Res. 1923, 9, 827–840. [Google Scholar]
- Campbell, C.; Madden, L. Introduction to Plant Disease Epidemiology, 1st ed.; John Wiley & Sons: New York, NY, USA, 1990; ISBN 0-471-83236-7. [Google Scholar]
- Bowen, K.L. Models of Disease Progress. In Exercises in Plant Disease Epidemiology; Stevenson, K.L., Jeger, M.J., Eds.; The American Phytopathological Society: St. Paul, MI, USA, 2017; pp. 15–19. ISBN 978-0-89054-442-6. [Google Scholar]
- Kar, M.; Mishra, D. Catalase, Peroxidase, and Polyphenoloxidase Activities during Rice Leaf Senescence. Plant Physiol. 1976, 57, 315–319. [Google Scholar] [CrossRef]
- Chance, B.; Maehley, A. Assay of Catalases and Peroxidases. Methods in Enzymology. Methods Enzymol. 1955, 2, 764–775. [Google Scholar]
- El-Shora, H.M. Properties of Phenylalanine Ammonia-Lyase from Marrow Cotyledons. Plant Sci. 2002, 162, 1–7. [Google Scholar] [CrossRef]
- Zucker, M. Induction of Phenylalanine Deaminase by Light and Its Relation to Chlorogenic Acid Synthesis in Potato Tuber Tissue. Plant Physiol. 1965, 40, 779–784. [Google Scholar] [CrossRef]
- Lever, M. A New Reaction for Calorimetric Determination of Carbohydrates. Anal. Biochem. 1972, 47, 273–279. [Google Scholar] [CrossRef]
- Marques, J.P.R.; Soares, M.K.M. Manual de Técnicas Aplicadas à Histopatologia Vegetal; ESALQ: Piracicaba, Brazil, 2021. [Google Scholar]
- Eggert, D.; Naumann, M.; Reimer, R.; Voigt, C.A. Nanoscale Glucan Polymer Network Causes Pathogen Resistance. Sci. Rep. 2015, 4, 4159. [Google Scholar] [CrossRef]
- R Core Team. R: A Language and Environment for Statistical Computing; R Core Team: Vienna, Austria, 2021. [Google Scholar]
- Kowalczyk, A.; Przychodna, M.; Sopata, S.; Bodalska, A.; Fecka, I. Thymol and Thyme Essential Oil—New Insights into Selected Therapeutic Applications. Molecules 2020, 25, 4125. [Google Scholar] [CrossRef]
- Sellamuthu, P.S.; Sivakumar, D.; Soundy, P.; Korsten, L. Essential Oil Vapours Suppress the Development of Anthracnose and Enhance Defence Related and Antioxidant Enzyme Activities in Avocado Fruit. Postharvest Biol. Technol. 2013, 81, 66–72. [Google Scholar] [CrossRef]
- Mohammad, T.G.M.; El-Nahas, S.E.M.; Edris, A.E. Formulation and Evaluation of Solvent-Free Microemulsions of Lemongrass Oil and Citral as Natural Antifungal Agent against Some Phytopathogenic Fungi. Plant Arch. 2019, 19, 2097–2107. [Google Scholar]
- Ragupathi, K.P.; Renganayaki, P.R.; Sundareswaran, S.; Kumar, S.M.; Kamalakannan, A. Evaluation of Essential Oils against Early Blight (Alternaria solani) of Tomato. Int. Res. J. Pure Appl. Chem. 2020, 21, 164–169. [Google Scholar] [CrossRef]
- Hong, J.K.; Jo, Y.S.; Ryoo, D.H.; Jung, J.H.; Kwon, H.J.; Lee, Y.H.; Chang, S.W.; Park, C.-J. Alternaria Spots in Tomato Leaves Differently Delayed by Four Plant Essential Oil Vapours. Res. Plant Dis. 2018, 24, 292–301. [Google Scholar] [CrossRef]
- Sowmya, V.; Thera, U.K.; Srinivas, K.; Pranaya, K. Antimicrobial Activity of Essential Oils against Early Blight of Tomato under in Vitro Conditions. J. Pharmacogn. Phytochem. 2021, 10, 1103–1105. [Google Scholar] [CrossRef]
- Moumni, M.; Romanazzi, G.; Najar, B.; Pistelli, L.; Ben Amara, H.; Mezrioui, K.; Karous, O.; Chaieb, I.; Allagui, M.B. Antifungal Activity and Chemical Composition of Seven Essential Oils to Control the Main Seedborne Fungi of Cucurbits. Antibiotics 2021, 10, 104. [Google Scholar] [CrossRef]
- Zhou, H.; Tao, N.; Jia, L. Antifungal Activity of Citral, Octanal and α-Terpineol against Geotrichum Citri-Aurantii. Food Control. 2014, 37, 277–283. [Google Scholar] [CrossRef]
- Tao, N.; OuYang, Q.; Jia, L. Citral Inhibits Mycelial Growth of Penicillium italicum by a Membrane Damage Mechanism. Food Control. 2014, 41, 116–121. [Google Scholar] [CrossRef]
- Yu, D.; Wang, J.; Shao, X.; Xu, F.; Wang, H. Antifungal Modes of Action of Tea Tree Oil and Its Two Characteristic Components against Botrytis cinerea. J. Appl. Microbiol. 2015, 119, 1253–1262. [Google Scholar] [CrossRef]
- Banani, H.; Olivieri, L.; Santoro, K.; Garibaldi, A.; Gullino, M.; Spadaro, D. Thyme and Savory Essential Oil Efficacy and Induction of Resistance against Botrytis cinerea through Priming of Defense Responses in Apple. Foods 2018, 7, 11. [Google Scholar] [CrossRef]
- Vilaplana, R.; Pazmiño, L.; Valencia-Chamorro, S. Control of Anthracnose, Caused by Colletotrichum musae, on Postharvest Organic Banana by Thyme Oil. Postharvest Biol. Technol. 2018, 138, 56–63. [Google Scholar] [CrossRef]
- Perina, F.J.; Amaral, D.C.; Fernandes, R.S.; Labory, C.R.; Teixeira, G.A.; Alves, E. Thymus vulgaris Essential Oil and Thymol against Alternaria alternata (Fr.) Keissler: Effects on Growth, Viability, Early Infection and Cellular Mode of Action: Thymol (2-Isopropyl-5-Methylphenol) for the Control of Alternaria alternata: Mode of Action. Pest Manag. Sci. 2015, 71, 1371–1378. [Google Scholar] [CrossRef]
- Elanchezhiyan, K.; Keerthana, U.; Nagendran, K.; Prabhukarthikeyan, S.R.; Prabakar, K.; Raguchander, T.; Karthikeyan, G. Multifaceted Benefits of Bacillus amyloliquefaciens Strain FBZ24 in the Management of Wilt Disease in Tomato Caused by Fusarium oxysporum f. Sp. lycopersici. Physiol. Mol. Plant Pathol. 2018, 103, 92–101. [Google Scholar] [CrossRef]
- Chowdhury, S.P.; Hartmann, A.; Gao, X.; Borriss, R. Biocontrol Mechanism by Root-Associated Bacillus amyloliquefaciens FZB42—A Review. Front. Microbiol. 2015, 6, 1–11. [Google Scholar] [CrossRef]
- Vanitha, S.C.; Niranjana, S.R.; Umesha, S. Role of Phenylalanine Ammonia Lyase and Polyphenol Oxidase in Host Resistance to Bacterial Wilt of Tomato. J. Phytopathol. 2009, 157, 552–557. [Google Scholar] [CrossRef]
- Bill, M.; Sivakumar, D.; Korsten, L.; Thompson, A.K. The Efficacy of Combined Application of Edible Coatings and Thyme Oil in Inducing Resistance Components in Avocado (Persea americana Mill.) against Anthracnose during Post-Harvest Storage. Crop Prot. 2014, 64, 159–167. [Google Scholar] [CrossRef]
- Wu, L.; Huang, Z.; Li, X.; Ma, L.; Gu, Q.; Wu, H.; Liu, J.; Borriss, R.; Wu, Z.; Gao, X. Stomatal Closure and SA-, JA/ET-Signaling Pathways Are Essential for Bacillus amyloliquefaciens FZB42 to Restrict Leaf Disease Caused by Phytophthora nicotianae in Nicotiana benthamiana. Front. Microbiol. 2018, 9, 847. [Google Scholar] [CrossRef]
- Wang, C.-J.; Wang, Y.-Z.; Chu, Z.-H.; Wang, P.-S.; Liu, B.-Y.; Li, B.-Y.; Yu, X.-L.; Luan, B.-H. Endophytic Bacillus amyloliquefaciens YTB1407 Elicits Resistance against Two Fungal Pathogens in Sweet Potato (Ipomoea batatas (L.) Lam.). J. Plant Physiol. 2020, 253, 153260. [Google Scholar] [CrossRef]
- Van Wees, S.C.; Van der Ent, S.; Pieterse, C.M. Plant Immune Responses Triggered by Beneficial Microbes. Curr. Opin. Plant Biol. 2008, 11, 443–448. [Google Scholar] [CrossRef]
- Niu, D.-D.; Liu, H.-X.; Jiang, C.-H.; Wang, Y.-P.; Wang, Q.-Y.; Jin, H.-L.; Guo, J.-H. The Plant Growth–Promoting Rhizobacterium Bacillus cereus AR156 Induces Systemic Resistance in Arabidopsis thaliana by Simultaneously Activating Salicylate- and Jasmonate/Ethylene-Dependent Signaling Pathways. Mol. Plant-Microbe Interact. 2011, 24, 533–542. [Google Scholar] [CrossRef]
- Chandrasekaran, M.; Chun, S.C. Expression of PR-Protein Genes and Induction of Defense-Related Enzymes by Bacillus subtilis CBR05 in Tomato (Solanum lycopersicum) Plants Challenged with Erwinia Carotovora Subsp. Carotovora. Biosci. Biotechnol. Biochem. 2016, 80, 2277–2283. [Google Scholar] [CrossRef]
- Francoz, E.; Ranocha, P.; Nguyen-Kim, H.; Jamet, E.; Burlat, V.; Dunand, C. Roles of Cell Wall Peroxidases in Plant Development. Phytochemistry 2015, 112, 15–21. [Google Scholar] [CrossRef]
- Shigeto, J.; Tsutsumi, Y. Diverse Functions and Reactions of Class III Peroxidases. New Phytol. 2016, 209, 1395–1402. [Google Scholar] [CrossRef]
- Hasanuzzaman, M.; Bhuyan, M.H.M.; Zulfiqar, F.; Raza, A.; Mohsin, S.; Mahmud, J.; Fujita, M.; Fotopoulos, V. Reactive Oxygen Species and Antioxidant Defense in Plants under Abiotic Stress: Revisiting the Crucial Role of a Universal Defense Regulator. Antioxidants 2020, 9, 681. [Google Scholar] [CrossRef]
- Constabel, C.P.; Barbehenn, R. Defensive Roles of Polyphenol Oxidase in Plants. In Induced Plant Resistance to Herbivory; Schaller, A., Ed.; Springer Netherlands: Dordrecht, The Netherlands, 2008; pp. 253–270. ISBN 978-1-4020-8181-1. [Google Scholar]
- Boeckx, T.; Winters, A.L.; Webb, K.J.; Kingston-Smith, A.H. Polyphenol Oxidase in Leaves: Is There Any Significance to the Chloroplastic Localization? J. Exp. Bot. 2015, 66, 3571–3579. [Google Scholar] [CrossRef]
- Dzhavakhiya, V.G.; Ozeretskovskaya, O.L.; Zinovyeva, S.V. Immune Response. In Comprehensive and Molecular Phytopathology; Dyakov, Y.T., Dzhavakhiya, V.G., Korpela, T., Eds.; Elsevier: Amsterdam, 2007; pp. 265–314. [Google Scholar]
- Wu, Z.; Huang, Y.; Li, Y.; Dong, J.; Liu, X.; Li, C. Biocontrol of Rhizoctonia solani via Induction of the Defense Mechanism and Antimicrobial Compounds Produced by Bacillus subtilis SL-44 on Pepper (Capsicum annuum L.). Front. Microbiol. 2019, 10, 2676. [Google Scholar] [CrossRef]
- Kong, J.-Q. Phenylalanine Ammonia-Lyase, a Key Component Used for Phenylpropanoids Production by Metabolic Engineering. RSC Adv. 2015, 5, 62587–62603. [Google Scholar] [CrossRef]
- Balasubramanian, V.; Vashisht, D.; Cletus, J.; Sakthivel, N. Plant β-1,3-Glucanases: Their Biological Functions and Transgenic Expression against Phytopathogenic Fungi. Biotechnol. Lett. 2012, 34, 1983–1990. [Google Scholar] [CrossRef]
- Franzener, G.; Schwan-Estrada, K.R.F.; Moura, G.S.; Kuhn, O.J.; Stangarlin, J.R. Induction of Defense Enzymes and Control of Anthracnose in Cucumber by Corymbia citriodora Aqueous Extract. Summa Phytopathol. 2018, 44, 10–16. [Google Scholar] [CrossRef]
- Kloepper, J.W.; Ryu, C.-M.; Zhang, S. Induced Systemic Resistance and Promotion of Plant Growth by Bacillus spp. Phytopathology 2004, 94, 1259–1266. [Google Scholar] [CrossRef] [PubMed]
- Lu, X.; Zhou, D.; Chen, X.; Zhang, J.; Huang, H.; Wei, L. Isolation and Characterization of Bacillus altitudinis JSCX-1 as a New Potential Biocontrol Agent against Phytophthora sojae in Soybean [Glycine Max (L.) Merr.]. Plant Soil 2017, 416, 53–66. [Google Scholar] [CrossRef]
- Shetty, N.P.; Jensen, J.D.; Knudsen, A.; Finnie, C.; Geshi, N.; Blennow, A.; Collinge, D.B.; Jorgensen, H.J.L. Effects of -1,3-Glucan from Septoria tritici on Structural Defence Responses in Wheat. J. Exp. Bot. 2009, 60, 4287–4300. [Google Scholar] [CrossRef] [PubMed]
- Wang, C.Y.; Wang, S.Y.; Chen, C. Increasing Antioxidant Activity and Reducing Decay of Blueberries by Essential Oils. J. Agric. Food Chem. 2008, 56, 3587–3592. [Google Scholar] [CrossRef]











| Eos *, BCA † and Fungicides ‡ | Active Compounds | Manufacturer |
|---|---|---|
| Thyme (Thymus vulgaris) * | p-cymene 37–40%, 1,8-ceneole 1–2%, camphene 1%, myrcene 1–2%, linalool 3–4%, thymol 45–48%, limonene < 1%, α and β-pinene 4–5%. | LASZLO |
| Lemon-grass (Cymbopogon citratus) * | Myrcene 14–20%, citronellal < 3%, neral 26–32%, geranial 32–38%, linalool 1–2%, pinene 3–5%, geraniol 2–3%, borneol < 3%. | LASZLO |
| Tee tree (Melaleuca alternifolia) * Timorex gold® | M. alternifolia oil extract 222.5 g/L (22.25%). | STK bio-ag Technologies |
| Bacillus amyloliquefaciens (Duravel®) † | B. amyloliquefaciens MBI600 (5.5 × 1010/g) - 110 g/Kg (11%). | BASF |
| Tebuconazole (Folicur®) ‡ | Tebuconazole 200 g/L (20%). | Bayer |
| Azoxystrobin (Amistar®) ‡ | Azoxystrobin 500 g/kg (50.0%). | Syngenta |
| Treatment | Concentration (ppm) | |||
|---|---|---|---|---|
| 500 | 1000 | 2000 | 4000 | |
| Thyme essential oil | 72.26 a,†,+ | 66.28 a,†,*,+ | 100.00 a,†,*,+ | 100.00 a,†,*,+ |
| Lemongrass essential oil | 20.85 b,†,*,+ | 32.86 b,†,* | 100.00 a,†,*,+ | 100.00 a,†,*,+ |
| Tea tree essential oil | 10.93 c,†,*,+ | 11.14 c,†,*,+ | 4.97 b,†,*,+ | 1,92 b,†,*,+ |
| Bacillus amyloliquefaciens MBI600 | 85.29 | |||
| Tebuconazole | 79.83 | |||
| Azoxystrobin | 37.04 | |||
| Thyme Essential Oil Treatment | |||||||
|---|---|---|---|---|---|---|---|
| Fitting Models | Statistics | rd | y0e | ||||
| CCC a | R2 b | RSE c | Estimate | Std. Error | Estimate | Std. Error | |
| Exponential | 0.8553 | 0.7345 | 0.0526 | 0.0223 | 0.0048 | 0.0742 | 0.0203 |
| Logistic | 0.8236 | 0.6862 | 0.0621 | 0.0268 | 0.0065 | 0.0727 | 0.0236 |
| Gompertz | 0.7717 | 0.6171 | 0.0621 | 0.0119 | 0.0033 | 0.0717 | 0.0309 |
| Bacillus amyloliquefaciens MBI600 treatment | |||||||
| Statistics | r | y0 | |||||
| CCC | R2 | RSE | Estimate | Std. error | Estimate | Std. error | |
| Exponential | 0.8689 | 0.7575 | 0.0427 | 0.0221 | 0.0045 | 0.0649 | 0.0166 |
| Logistic | 0.8451 | 0.7202 | 0.0456 | 0.0258 | 0.0059 | 0.0636 | 0.0188 |
| Gompertz | 0.8015 | 0.6588 | 0.0499 | 0.0111 | 0.0028 | 0.0615 | 0.0243 |
| Tebuconazole treatment | |||||||
| Statistics | r | y0 | |||||
| CCC | R2 | RSE | Estimate | Std. error | Estimate | Std. error | |
| Exponential | 0.8867 | 0.7886 | 0.0272 | 0.0174 | 0.0032 | 0.0688 | 0.0120 |
| Logistic | 0.8729 | 0.7665 | 0.0285 | 0.0200 | 0.0039 | 0.0679 | 0.0132 |
| Gompertz | 0.8438 | 0.7230 | 0.0309 | 0.0084 | 0.0018 | 0.0660 | 0.0162 |
| Distilled water treatment | |||||||
| Statistics | r | y0 | |||||
| CCC | R2 | RSE | Estimate | Std. error | Estimate | Std. error | |
| Exponential | 0.9449 | 0.8932 | 0.0496 | 0.0174 | 0.0022 | 0.1839 | 0.0220 |
| Logistic | 0.9076 | 0.8292 | 0.0623 | 0.0273 | 0.0047 | 0.1723 | 0.0318 |
| Gompertz | 0.8813 | 0.7888 | 0.0692 | 0.0166 | 0.0032 | 0.1626 | 0.0412 |
| Treatments | Vegetative Growth Parameters | ||||
|---|---|---|---|---|---|
| Plant Height (cm) | Stem Diameter (mm) | No. Leaves | Plant Fresh Weight (g) | Plant Dry Weight (g) | |
| Thyme essential oil | 128.78 ± 4.99 b | 16.17 ± 0.66 a | 11.50 ± 0.52 c | 466.75 ± 120.07 c | 97.88 ± 28.95 b |
| B. amyloliquefaciens MBI600 | 139.23 ± 3.56 a | 16.00 ± 0.87 a | 12.83 ± 0.83 b | 543.92 ± 93.83 b | 110.95 ± 29.84 b |
| Tebuconazole | 135.31 ± 4.37 a | 16.17 ± 0.78 a | 13.50 ± 0.52 a | 675.00 ± 128.78 a | 130.16 ± 28.98 a |
| Distilled water | 120.44 ± 6.95 c | 13.98 ± 0.82 b | 6.83 ± 0.94 d | 328.58 ± 64.92 d | 68.82 ± 14.30 c |
| CV (%) * | 3.91 | 6.98 | 6.52 | 20.83 | 25.82 |
| Treatments | Reproductive Parameters | ||
|---|---|---|---|
| Average Fruit Weight (g) | No. Fruits/Plants | Average Plant Yield (Kg) | |
| Thyme essential oil | 125.91 ± 9.56 a | 18.67 ± 2.67 a | 2.34 ± 0.32 a |
| B. amyloliquefaciens MBI600 | 131.11 ± 5.48 a | 19.67 ± 1.72 a | 2.58 ± 0.27 a |
| Tebuconazole | 132.39 ± 5.92 a | 19.33 ± 2.71 a | 2.55 ± 0.36 a |
| Distilled water | 100.82 ± 7.56 b | 17.50 ± 1.45 a | 1.76 ± 0.13 b |
| CV (%) * | 5.96 | 11.6 | 12.3 |
Publisher’s Note: MDPI stays neutral with regard to jurisdictional claims in published maps and institutional affiliations. |
© 2022 by the authors. Licensee MDPI, Basel, Switzerland. This article is an open access article distributed under the terms and conditions of the Creative Commons Attribution (CC BY) license (https://creativecommons.org/licenses/by/4.0/).
Share and Cite
Saltos-Rezabala, L.A.; Silveira, P.R.D.; Tavares, D.G.; Moreira, S.I.; Magalhães, T.A.; Botelho, D.M.D.S.; Alves, E. Thyme Essential Oil Reduces Disease Severity and Induces Resistance against Alternaria linariae in Tomato Plants. Horticulturae 2022, 8, 919. https://doi.org/10.3390/horticulturae8100919
Saltos-Rezabala LA, Silveira PRD, Tavares DG, Moreira SI, Magalhães TA, Botelho DMDS, Alves E. Thyme Essential Oil Reduces Disease Severity and Induces Resistance against Alternaria linariae in Tomato Plants. Horticulturae. 2022; 8(10):919. https://doi.org/10.3390/horticulturae8100919
Chicago/Turabian StyleSaltos-Rezabala, Luis Alberto, Patrícia Ricardino Da Silveira, Dérica Gonçalves Tavares, Silvino Intra Moreira, Thiago Alves Magalhães, Deila Magna Dos Santos Botelho, and Eduardo Alves. 2022. "Thyme Essential Oil Reduces Disease Severity and Induces Resistance against Alternaria linariae in Tomato Plants" Horticulturae 8, no. 10: 919. https://doi.org/10.3390/horticulturae8100919
APA StyleSaltos-Rezabala, L. A., Silveira, P. R. D., Tavares, D. G., Moreira, S. I., Magalhães, T. A., Botelho, D. M. D. S., & Alves, E. (2022). Thyme Essential Oil Reduces Disease Severity and Induces Resistance against Alternaria linariae in Tomato Plants. Horticulturae, 8(10), 919. https://doi.org/10.3390/horticulturae8100919

