Effect of Phytosanitary Irradiation Treatment on the Storage Life of ‘Jiro’ Persimmons at 15 °C
Abstract
1. Introduction
2. Materials and Methods
2.1. Plant Materials and Experimental Procedure
2.2. Physio-Chemical Assessments
2.2.1. Weight Loss
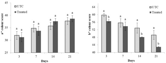
2.2.2. Skin Colour and Blemish
2.2.3. Calyx Condition
2.2.4. Flesh Firmness
2.2.5. Respiration Rate and Ethylene Production Rate
2.2.6. Internal Fruit Quality Assessments
2.3. Statistical Analysis
3. Results and Discussion
3.1. Changes in External Quality
3.2. Changes in Internal Quality
4. Conclusions
Author Contributions
Funding
Acknowledgments
Conflicts of Interest
References
- FAO. Food and Agriculture Organization of the United Nations: Division of Statistics, FAOSTAT. 2018. Persimmon Production in 2017; Crops/World Regions/Production Quantity. Available online: http://www.fao.org/faostat/ (accessed on 15 November 2020).
- Golding, J.B.; Singh, S.P. Advances in the use of irradiation for the market access of fresh horticultural produce. In Advances in Postharvest Management of Horticultural Produce; Watkins, C., Ed.; Burleigh Dodds Science Publishing: Cambridge, UK, 2020; pp. 251–272. [Google Scholar]
- Mitcham, E.J.; Attia, M.M.; Biasi, W. Tolerance of ‘Fuyu’ persimmons to low oxygen and high carbon dioxide atmospheres for insect disinfestation. Postharvest Biol. Technol. 1997, 10, 155–160. [Google Scholar] [CrossRef]
- Monzon, M.E.; Biasi, B.; Mitcham, E.J.; Wang, S.; Tang, J.; Hallman, G.J. Effect of radiofrequency heating on the quality of ‘Fuyu’ persimmon fruit as a treatment for control of the Mexican fruit fly. HortScience 2007, 42, 125–129. [Google Scholar] [CrossRef]
- Follet, P.A. Generic radiation quarantine treatments: The next steps. J. Econ. Entomol. 2009, 102, 1399–1406. [Google Scholar] [CrossRef] [PubMed]
- FAO, Food and Agriculture Organisation of the United Nations. Phytosanitary Treatments for Regulated Pests; ISPM No. 28; FAO: Rome, Italy, 2009; Available online: https://www.ippc.int/en/publications/591/ (accessed on 15 November 2020).
- Golding, J.B.; Blades, B.L.; Satyan, S.; Spohr, L.J.; Harris, A.; Jessup, A.J.; Archer, J.R.; Davies, J.B.; Banos, C. Low dose gamma irradiation does not affect the quality or total ascorbic acid concentration of ‘Sweetheart’ passionfruit (Passiflora edulis). Foods 2015, 4, 376–390. [Google Scholar] [CrossRef] [PubMed]
- Maherani, B.; Hossain, F.; Criado, P.; Ben-Fadhel, Y.; Salmieri, S.; Lacroix, M. World market development and consumer acceptance of irradiation technology. Foods 2016, 5, 79. [Google Scholar] [CrossRef] [PubMed]
- Wheeler, D.A.; Packer, J.E.; MacRae, E.A. Responses of ‘Fuyu’ persimmon to gamma-irradiation. HortScience 1989, 24, 635–637. [Google Scholar]
- Ahn, G.H.; Choi, S.J.; Shin, G.H.; Kim, J.T. Quality assessment of ‘Fuyu’ persimmon treated by a combination of γ-irradiation and 1-methylcyclopropene. Korean J. Food Preserv. 2018, 25, 411–416. [Google Scholar] [CrossRef]
- Nawito, M.A.A. Effect of Safe Environmental Pre and Post Harvest Treatments and Irradiation on Handling of Some Fruits. Ph.D. Thesis, Institute of Environmental Studies and Research, Ain Shams University, Cairo, Egypt, 2008. [Google Scholar]
- DAWE, Department of Agriculture, Water and the Environment (Australia). 2020; Manual of Importing Country Requirements. Available online: https://micor.agriculture.gov.au (accessed on 15 November 2020).
- Ullio, L. Persimmon growing in New South Wales. In Agfact H3.1.17, 3rd ed.; AGDEX 431/622; NSW Agriculture: Sydney, Australia, 2003. [Google Scholar]
- McGuire, R.G. Reporting of objective color measurements. HortScience 1992, 27, 1254–1255. [Google Scholar] [CrossRef]
- Li, Y.; Wills, R.B.H.; Golding, J.B.; Huque, R. Effect of halide salts on development of surface browning on fresh-cut ‘Granny Smith’ (Malus × domestica Borkh) apple slices during storage at low temperature. J. Sci. Food Agric. 2015, 95, 945–952. [Google Scholar] [CrossRef] [PubMed]
- Golding, J.B.; Blades, B.L.; Satyan, S.; Jessup, A.J.; Spohr, L.J.; Harris, A.M.; Banos, C.; Davies, J.B. Low dose gamma irradiation does not affect the quality, proximate or nutritional profile of ‘Brigitta’ blueberry and ‘Maravilla’ raspberry fruit. Postharvest Biol. Technol. 2014, 96, 49–52. [Google Scholar] [CrossRef]
- Woolf, A.B.; Ben-Arie, R. Persimmon (Diospyros kaki L.). In Woodhead Publishing Series in Food Science, Technology and Nutrition, Postharvest Biology and Technology of Tropical and Subtropical Fruits; Yahia, E.M., Ed.; Woodhead Publishing: Cambridge, UK, 2011; pp. 166–194. [Google Scholar]
- Nakano, R.; Inoue, S.; Kubo, Y.; Inaba, A. Water stress-induced ethylene in the calyx triggers autocatalytic ethylene production and fruit softening in ‘Tonewase’ persimmon grown in a heated plastic-house. Postharvest Biol. Technol. 2002, 25, 293–300. [Google Scholar] [CrossRef]
- Wills, R.B.H.; Golding, J.B. Postharvest: An Introduction to the Physiology and Handling of Fruit and Vegetables, 6th ed.; NewSouth Publishing: Sydney, Australia, 2016; pp. 34–62. [Google Scholar]
- Na, Y.G.; Kim, W.S.; Park, H.S.; Choi, H.S.; Choi, K.J.; Lee, Y.; Lee, Y.S. Calyx-end browning in various persimmon (Diospyros kaki) cultivars and anatomical observations in flesh tissues. Korean J. Org. Agric. 2011, 19, 109–120. [Google Scholar]








| Assessment Time | ||||||||
|---|---|---|---|---|---|---|---|---|
| 3 Days | 7 Days | 14 Days | 21 Days | |||||
| Fruit Quality Parameter | UTC | Treated | UTC | Treated | UTC | Treated | UTC | Treated |
| Weight loss (%) | - | - | 1.8a | 1.9a | - | - | 3.3a | 3.4a |
| Calyx freshness score | 2.3a | 2.3a | 1.9a | 2.0a | 2.5a | 2.8a | 3.4a | 3.6a |
| Flesh firmness score | 0.5a | 0.6a | 0.9a | 0.9a | 1.5a | 1.5a | 1.6a | 1.5a |
| Flesh firmness-penetrometer (kg firmness) | - | - | 5.4a | 4.9b | - | - | 2.1a | 2.3a |
| Total soluble solids (TSS, % Brix) | - | - | 17.6a | 17.7a | - | - | 17.8a | 17.5a |
| Titratable acidity (TA, % citric acid) | - | - | 0.088a | 0.079a | - | - | 0.057a | 0.071a |
| Internal gelling score | - | - | 2.0a | 2.0a | - | - | 2.5a | 2.6a |
| Ethylene production rate (μL C2H4 kg−1 h−1) | n.d. | n.d. | n.d. | n.d. | 0.062a | 0.103a | 0.036a | 0.106a |
Publisher’s Note: MDPI stays neutral with regard to jurisdictional claims in published maps and institutional affiliations. |
© 2020 by the authors. Licensee MDPI, Basel, Switzerland. This article is an open access article distributed under the terms and conditions of the Creative Commons Attribution (CC BY) license (http://creativecommons.org/licenses/by/4.0/).
Share and Cite
Golding, J.B.; Pristijono, P.; Wang, B. Effect of Phytosanitary Irradiation Treatment on the Storage Life of ‘Jiro’ Persimmons at 15 °C. Horticulturae 2020, 6, 92. https://doi.org/10.3390/horticulturae6040092
Golding JB, Pristijono P, Wang B. Effect of Phytosanitary Irradiation Treatment on the Storage Life of ‘Jiro’ Persimmons at 15 °C. Horticulturae. 2020; 6(4):92. https://doi.org/10.3390/horticulturae6040092
Chicago/Turabian StyleGolding, John B., Penta Pristijono, and Baogang Wang. 2020. "Effect of Phytosanitary Irradiation Treatment on the Storage Life of ‘Jiro’ Persimmons at 15 °C" Horticulturae 6, no. 4: 92. https://doi.org/10.3390/horticulturae6040092
APA StyleGolding, J. B., Pristijono, P., & Wang, B. (2020). Effect of Phytosanitary Irradiation Treatment on the Storage Life of ‘Jiro’ Persimmons at 15 °C. Horticulturae, 6(4), 92. https://doi.org/10.3390/horticulturae6040092

